Enhancing the Drug Release and Physicochemical Properties of Rivaroxaban via Cyclodextrin Complexation: A Comprehensive Analytical Approach
Abstract
1. Introduction
2. Results and Discussions
2.1. Phase-Solubility Diagrams
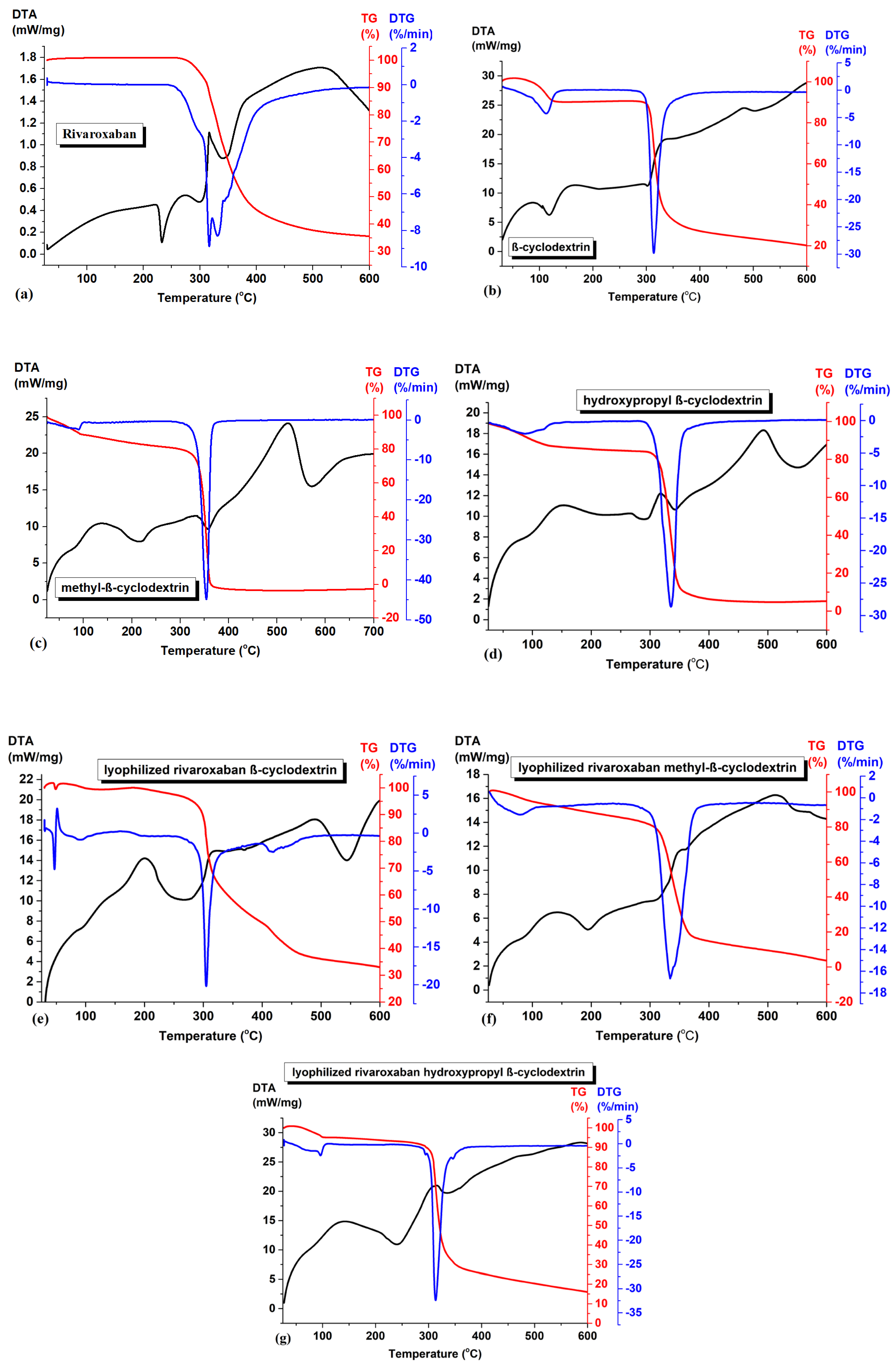
2.2. Binary Systems Characterization
2.3. Physicochemical Characterization
- (i)
- The absence of the melting peak of rivaroxaban clearly signifies that the drug was completely included in the cyclodextrin cavity;
- (ii)
- The dehydration processes have a mass loss lower than the parent cyclodextrins (0.63% for inclusion complex of rivaroxaban-β-cyclodextrin (Figure 5e); 8.18% for inclusion complex of rivaroxaban-methyl-β-cyclodextrin (Figure 5f), and 5.13% for inclusion complex of rivaroxaban-hydroxypropyl-β-cyclodextrin (Figure 5g)) suggesting that the water molecule inside the cyclodextrin cavity were replaced by rivaroxaban molecules;
- (iii)
- The degradation processes of the inclusion complexes are not completed at a temperature around 600 °C compared with the parent cyclodextrins, suggesting a higher thermal stability of the inclusion complexes. The TGA/DTA thermograms of the inclusion complexes show the near-complete disappearance of the thermal events characteristic of the individual components, strongly indicating the formation of a new compound.
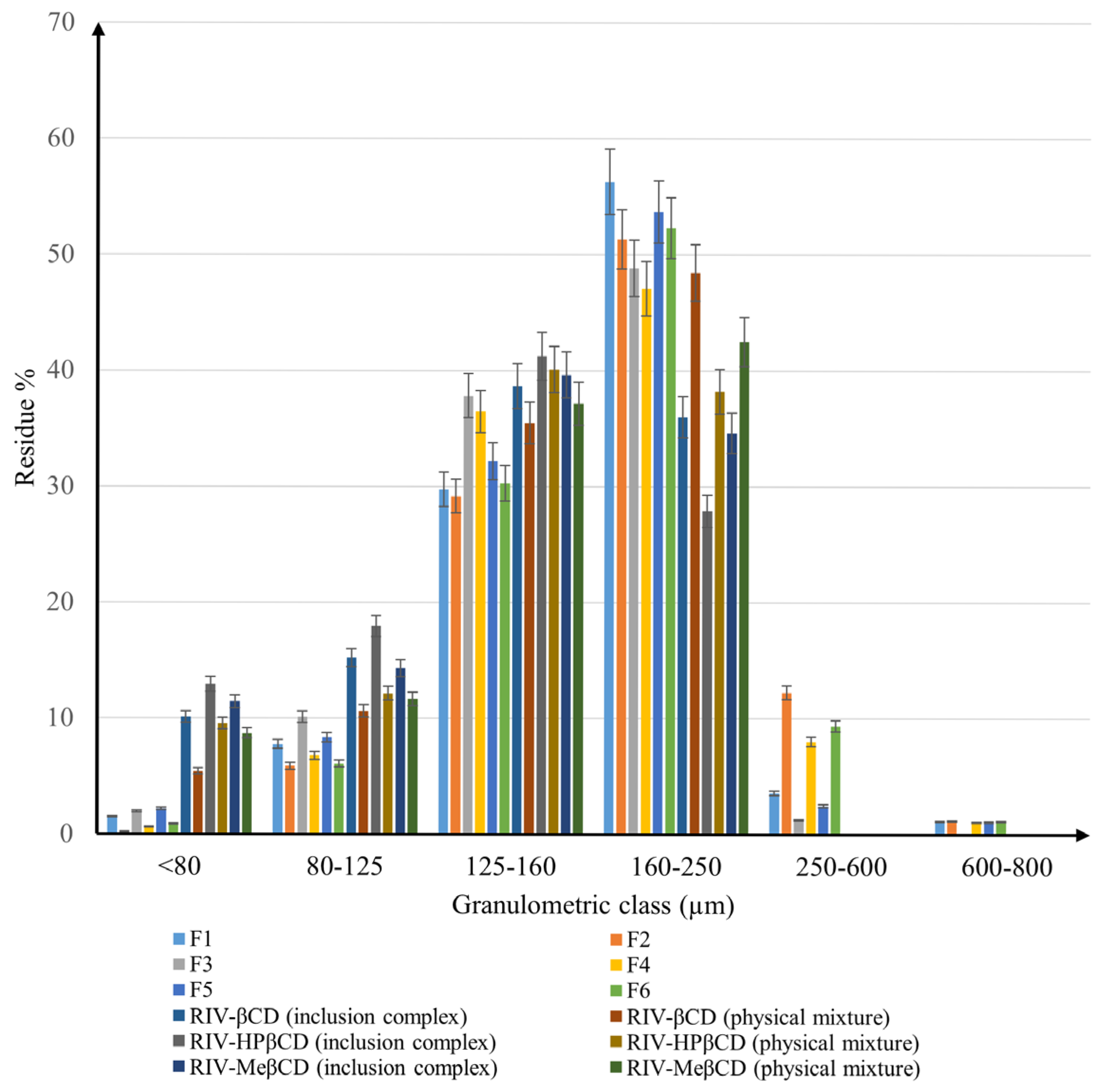
2.4. Precompression Studies for the Tablets Containing RIV-CD Binary Systems
2.5. Quality Control of the Tablets
3. Materials and Methods
3.1. Materials
3.2. Solubility Studies
Phase-Solubility Diagrams
- (1)
- 0.0145 M solution of β-CD by dissolving 0.342 g of β-CD in 20 mL of distilled water;
- (2)
- 0.0196 M solution of Me-β-CD by dissolving 0.513 g of Me-β-CD in 20 mL of distilled water;
- (3)
- 0.1006 M solution of HP-β-CD by dissolving 2.061 g of HP-β-CD in 15 mL of distilled water.
3.3. Methods
3.3.1. Synthesis
Preparation of the RIV-Cyclodextrins Binary Systems
Preparation of the RIV-Cyclodextrin Inclusion Complexes
Preparation of the RIV-Cyclodextrins Physical Mixtures
3.3.2. Physicochemical Characterization of the Binary Systems
3.3.3. Precompression Studies for the Tablets Containing RIV—CD Binary Systems
Formulations of the Materials for Direct Compression
Preparation of the Direct Compression Blends
Pharmacotechnical Analysis of the Materials
3.3.4. Development and Manufacturing of the Tablets
Formulation of the Oral Tablets
Manufacturing Process of Tablets
3.3.5. Quality Control of the Tablets
Organoleptic Properties
Dimensions (Diameter and Thickness)
Mass Uniformity
Hardness
Friability
In Vitro Disintegration Time
3.3.6. In Vitro Drug Release Studies
3.3.7. HPLC Analysis
4. Conclusions
Author Contributions
Funding
Institutional Review Board Statement
Informed Consent Statement
Data Availability Statement
Conflicts of Interest
References
- Dawwas, G.K.; Cuker, A. Comparative effectiveness and safety of rivaroxaban with other oral anticoagulants in older adults with nonvalvular atrial fibrillation: Population-based analysis in response to updated Beers Criteria. J. Thromb. Haemost. 2025, 23, 546–555. [Google Scholar] [CrossRef] [PubMed]
- Mueck, W.; Stampfuss, J.; Kubitza, D.; Becka, M. Clinical pharmacokinetic and pharmacodynamic profile of rivaroxaban. Clin. Pharmacokinet. 2014, 53, 1–16. [Google Scholar] [CrossRef] [PubMed]
- Bhalani, D.V.; Nutan, B.; Kumar, A.; Chandel, A.K.S. Bioavailability Enhancement Techniques for Poorly Aqueous Soluble Drugs and Therapeutics. Biomedicines 2022, 10, 2055. [Google Scholar] [CrossRef]
- Nicolaescu, O.E.; Belu, I.; Mocanu, A.G.; Manda, V.C.; Rău, G.; Pîrvu, A.S.; Ionescu, C.; Ciulu-Costinescu, F.; Popescu, M.; Ciocîlteu, M.V. Cyclodextrins: Enhancing Drug Delivery, Solubility and Bioavailability for Modern Therapeutics. Pharmaceutics 2025, 17, 288. [Google Scholar] [CrossRef]
- Poulson, B.G.; Alsulami, Q.A.; Sharfalddin, A.; El Agammy, E.F.; Mouffouk, F.; Emwas, A.-H.; Jaremko, L.; Jaremko, M. Cyclodextrins: Structural, Chemical, and Physical Properties, and Applications. Polysaccharides 2022, 3, 1–31. [Google Scholar] [CrossRef]
- Omidian, H.; Akhzarmehr, A.; Gill, E.J. Cyclodextrin–Hydrogel Hybrids in Advanced Drug Delivery. Gels 2025, 11, 177. [Google Scholar] [CrossRef]
- Zhang, X.; Xing, H.; Zhao, Y.; Ma, Z. Pharmaceutical Dispersion Techniques for Dissolution and Bioavailability Enhancement of Poorly Water-Soluble Drugs. Pharmaceutics 2018, 10, 74. [Google Scholar] [CrossRef]
- Sharma, A.; Khamar, D.; Cullen, S.; Hayden, A.; Hughes, H. Innovative Drying Technologies for Biopharmaceuticals. Int. J. Pharm. 2021, 609, 121115. [Google Scholar] [CrossRef]
- Khan, W.H.; Asghar, S.; Khan, I.U.; Irfan, M.; Alshammari, A.; Rajoka, M.S.R.; Munir, R.; Shah, P.A.; Khalid, I.; Razzaq, F.A.; et al. Effect of hydrophilic polymers on the solubility and dissolution enhancement of rivaroxaban/beta-cyclodextrin inclusion complexes. Heliyon 2023, 9, e19658. [Google Scholar] [CrossRef]
- Ozon, E.A.; Mati, E.; Karampelas, O.; Anuta, V.; Sarbu, I.; Musuc, A.M.; Mitran, R.-A.; Culita, D.C.; Atkinson, I.; Anastasescu, M.; et al. The development of an innovative method to improve the dissolution performance of rivaroxaban. Heliyon 2024, 10, E33162. [Google Scholar] [CrossRef]
- Kapourani, A.; Valkanioti, V.; Kontogiannopoulos, K.N.; Barmpalexis, P. Determination of the physical state of a drug in amorphous solid dispersions using artificial neural networks and ATR-FTIR spectroscopy. Int. J. Pharm. X 2020, 2, 100064. [Google Scholar] [CrossRef] [PubMed]
- Alloush, T.; Kırımlıoğlu, G.Y. Enhancing the Solubility of Isoconazole Nitrate Using Methyl-β-Cyclodextrin: Formulation and Characterization of Inclusion Complexes. Molecules 2025, 30, 1654. [Google Scholar] [CrossRef]
- Alloush, T.; Kırımlıoğlu, G.Y. Development of Vaginal In Situ Gel Containing ISN/HP-β-CD Inclusion Complex for Enhanced Solubility and Antifungal Efficacy. Polymers 2025, 17, 514. [Google Scholar] [CrossRef]
- Sherje, A.P.; Jadhav, M. β-Cyclodextrin-based inclusion complexes and nanocomposites of rivaroxaban for solubility enhancement. J. Mater. Sci. Mater. Med. 2018, 29, 186. [Google Scholar] [CrossRef]
- Zhai, L.; Zhang, Z.; Guo, L.; Zhu, Z.; Hu, C.; Zhang, G. Synthesis, Characterization, and Properties of Rivaroxaban New Crystalline Forms. Cryst. Res. Technol. 2021, 56, 2000243. [Google Scholar] [CrossRef]
- Kudo, Y.; Yasuda, M.; Matsusaka, S. Effect of particle size distribution on flowability of granulated lactose. Adv. Powder Technol. 2020, 31, 121–127. [Google Scholar] [CrossRef]
- Shekunov, B.Y.; Chattopadhyay, P.; Tong, H.H.Y.; Chow, A.H.L. Particle Size analysis in Pharmaceutics: Principles, Methods and Applications. Pharm. Res. 2006, 24, 203–227. [Google Scholar] [CrossRef]
- Wünsch, I.; Finke, J.H.; John, E.; Juhnke, M.; Kwade, A. The influence of particle size on the application of compression and compaction models for tableting. Int. J. Pharm. 2021, 599, 120424. [Google Scholar] [CrossRef]
- Wang, Y.; Li, T.; Muzzio, F.J.; Glasser, B.J. Predicting feeder performance based on material flow properties. Powder Technol. 2017, 308, 135–148. [Google Scholar] [CrossRef]
- Koumbogle, K.; Gosselin, R.; Gitzhofer, F.; Abatzoglou, N. Moisture Behavior of Pharmaceutical Powder during the Tableting Process. Pharmaceutics 2023, 15, 1652. [Google Scholar] [CrossRef]
- Juarez-Enriquez, E.; Olivas, G.; Zamudio-Flores, P.; Ortega-Rivas, E.; Perez-Vega, S.; Sepulveda, D. Effect of water content on the flowability of hygroscopic powders. J. Food Eng. 2017, 205, 12–17. [Google Scholar] [CrossRef]
- Hirschberg, C.; Sun, C.C.; Risbo, J.; Rantanen, J. Effects of Water on Powder Flowability of Diverse Powders Assessed by Complimentary Techniques. J. Pharm. Sci. 2019, 108, 2613–2620. [Google Scholar] [CrossRef] [PubMed]
- Mukherjee, R.; Sen, K.; Fontana, L.; Mao, C.; Chaudhuri, B. Quantification of Moisture-Induced Cohesion in Pharmaceutical Mixtures. J. Pharm. Sci. 2019, 108, 223–233. [Google Scholar] [CrossRef]
- Lüddecke, A.; Pannitz, O.; Zetzener, H.; Sehrt, J.; Kwade, A. Powder properties and flowability measurements of tailored nanocomposites for powder bed fusion applications. Mater. Des. 2021, 202, 109536. [Google Scholar] [CrossRef]
- Wu, Z.; Wu, Y.; Zakhvatayeva, A.; Wang, X.; Liu, Z.; Yang, M.; Zheng, Q.; Wu, C.-Y. Influence of moisture content on die filling of pharmaceutical powders. J. Drug Deliv. Sci. Technol. 2022, 78, 103985. [Google Scholar] [CrossRef]
- Chendo, C.; Pinto, J.F.; Paisana, M.C. Comprehensive powder flow characterization with reduced testing. Int. J. Pharm. 2023, 642, 123107. [Google Scholar] [CrossRef]
- Novac, M.; Musuc, A.M.; Ozon, E.A.; Sarbu, I.; Mitu, M.A.; Rusu, A.; Gheorghe, D.; Petrescu, S.; Atkinson, I.; Lupuliasa, D. Manufacturing and Assessing the New Orally Disintegrating Tablets, Containing Nimodipine-hydroxypropyl-β-cyclodextrin and Nimodipine-methyl-β-cyclodextrin Inclusion Complexes. Molecules 2022, 27, 2012. [Google Scholar] [CrossRef]
- Novac, M.; Musuc, A.M.; Ozon, E.A.; Sarbu, I.; Mitu, M.A.; Rusu, A.; Petrescu, S.; Atkinson, I.; Gheorghe, D.; Lupuliasa, D. Design and Evaluation of Orally Dispersible Tablets Containing Amlodipine Inclusion Complexes in Hydroxypropyl-β-cyclodextrin and Methyl-β-cyclodextrin. Materials 2022, 15, 5217. [Google Scholar] [CrossRef]
- Council of Europe. European Pharmacopoeia, 10th ed.; EDQM, Council of Europe: Strasbourg, France, 2019. [Google Scholar]
- Shah, R.B.; Tawakkul, M.A.; Khan, M.A. Comparative evaluation of flow for pharmaceutical powders and granules. AAPS PharmSciTech 2008, 9, 250–258. [Google Scholar] [CrossRef]
- Einfalt, T.; Planinšek, O.; Hrovat, K. Methods of amorphization and investigation of the amorphous state. Acta Pharm. 2013, 63, 305–334. [Google Scholar] [CrossRef]
- Amidon, G.E.; Meyer, P.J.; Mudie, D.M. Chapter 10—Particle, Powder, and Compact Characterization. In Developing Solid Oral Dosage Forms, 2nd ed.; Qiu, Y., Chen, Y., Zhang, G.G.Z., Yu, L., Mantri, R.V., Eds.; Academic Press: Cambridge, MA, USA, 2017; pp. 271–293. ISBN 9780128024478. [Google Scholar] [CrossRef]
- Chen, F.-C.; Liu, W.-J.; Zhu, W.-F.; Yang, L.-Y.; Zhang, J.-W.; Feng, Y.; Ming, L.-S.; Li, Z. Surface Modifiers on Composite Particles for Direct Compaction. Pharmaceutics 2022, 14, 2217. [Google Scholar] [CrossRef] [PubMed]
- Qu, L.; Zhou, Q.; Gengenbach, T.; Denman, J.A.; Stewart, P.J.; Hapgood, K.P.; Gamlen, M.; Morton, D.A.V. Investigation of the potential for direct compaction of a fine ibuprofen powder dry-coated with magnesium stearate. Drug Dev. Ind. Pharm. 2015, 41, 825–837. [Google Scholar] [CrossRef]
- Kirchengast, M.; Celikovic, S.; Rehrl, J.; Sacher, S.; Kruisz, J.; Khinast, J.; Horn, M. Ensuring tablet quality via model-based control of a continuous direct compaction process. Int. J. Pharm. 2019, 567, 118457. [Google Scholar] [CrossRef]
- Li, Z.; Zhao, L.; Lin, X.; Shen, L.; Feng, Y. Direct compaction: An update of materials, trouble-shooting, and application. Int. J. Pharm. 2017, 529, 543–556. [Google Scholar] [CrossRef]
- Kalia, S.; Dufresne, A.; Cherian, B.M.; Kaith, B.S.; Avérous, L.; Njuguna, J.; Nassiopoulos, E. Cellulose-based bio- and nanocomposites: A review. Int. J. Polym. Sci. 2011, 2011, 837875. [Google Scholar] [CrossRef]
- Thoorens, G.; Krier, F.; Leclercq, B.; Carlin, B.; Evrard, B. Microcrystalline cellulose, a direct compression binder in a quality by design environment—A review. Int. J. Pharm. 2014, 473, 64–72. [Google Scholar] [CrossRef]
- Olorunsola, E.O.; Akpan, G.A.; Adikwu, M.U. Evaluation of Chitosan-Microcrystalline Cellulose Blends as Direct Compression Excipients. J. Drug Deliv. 2017, 2017, 8563858. [Google Scholar] [CrossRef]
- Chitedze, J.; Monjerezi, M.; Saka, J.K.; Steenkamp, J. Binding effect of cassava starches on the compression and mechanical properties of ibuprofen tablets. J. Appl. Pharm. Sci. 2012, 2, 31–37. [Google Scholar] [CrossRef]
- Akin-Ajani, O.D.; Odeku, O.A.; Olumakinde-Oni, O. Evaluation of the mechanical and release properties of lactose and microcrystalline cellulose and their binary mixtures as directly compressible excipients in paracetamol tablets. J. Excipients and Food Chem. 2020, 11, 42–52. [Google Scholar]
- Klevan, I.; Nordström, J.; Tho, I.; Alderborn, G. A statistical approach to evaluate the potential use of compression parameters for classification of pharmaceutical powder materials. Eur. J. Pharm. Biopharm. 2010, 75, 425–435. [Google Scholar] [CrossRef]
- Al-Zoubi, N.; Gharaibeh, S.; Aljaberi, A.; Nikolakakis, I. Spray Drying for Direct Compression of Pharmaceuticals. Processes 2021, 9, 267. [Google Scholar] [CrossRef]
- Hashmat, D.; Shoaib, M.H.; Alam Mehmood, Z.; Bushra, R.; Yousuf, R.I.; Lakhani, F. Development of Enteric Coated Flurbiprofen Tablets using Opadry/acryleze System—A Technical Note. AAPS PharmSciTech 2008, 9, 116–121. [Google Scholar] [CrossRef] [PubMed][Green Version]
- Paul, S.; Tajarobi, P.; Boissier, C.; Sun, C.C. Tableting performance of various mannitol and lactose grades assessed by compaction simulation and chemometrical analysis. Int. J. Pharm. 2019, 566, 24–31. [Google Scholar] [CrossRef]
- Gong, X.; Sun, C.C. A new tablet brittleness index. Eur. J. Pharm. Biopharm. 2015, 93, 260–266. [Google Scholar] [CrossRef]
- Cabiscol, R.; Finke, J.H.; Zetzener, H.; Kwade, A. Characterization of Mechanical Property Distributions on Tablet Surfaces. Pharmaceutics 2018, 10, 184. [Google Scholar] [CrossRef]
- Mangal, S.; Meiser, F.; Morton, D.; Larson, I. Particle Engineering of Excipients for Direct Compression: Understanding the Role of Material Properties. Curr. Pharm. Des. 2015, 21, 5877–5889. [Google Scholar] [CrossRef]
- Dokala, G.K.; Pallavi, C. Direct Compression—An Overview. Int. J. Res. Pharm. Biomed. Sci. 2013, 4, 155–158. [Google Scholar]
- Wang, J.; Wen, H.; Desai, D. Lubrication in tablet formulations. Eur. J. Pharm. Biopharm. 2010, 75, 1–15. [Google Scholar] [CrossRef]
- Rojas, J.; Guisao, S.; Ruge, V. Functional assessment of four types of disintegrants and their effect on the spironolactone release properties. AAPS PharmSciTech 2012, 13, 1054–1062. [Google Scholar] [CrossRef]
- Putra, O.N.; Musfiroh, I.; Elisa, S.; Musa, M.; Ikram, E.H.K.; Chaidir, C.; Muchtaridi, M. Sodium Starch Glycolate (SSG) from Sago Starch (Metroxylon sago) as a Superdisintegrant: Synthesis and Characterization. Molecules 2024, 29, 151. [Google Scholar] [CrossRef]
- Steffens, K.E.; Wagner, K.G. Immediate-Release Formulations Produced via Twin-Screw Melt Granulation: Systematic Evaluation of the Addition of Disintegrants. AAPS PharmSciTech 2021, 22, 183. [Google Scholar] [CrossRef] [PubMed]
- Wingert, N.R.; dos Santos, N.O.; Campanharo, S.C.; Simon, E.S.; Volpato, N.M.; Steppe, M. In vitro dissolution method fitted to in vivo absorption profile of rivaroxaban immediate-release tablets applying in silico data. Drug Dev. Ind. Pharm. 2018, 44, 723–728. [Google Scholar] [CrossRef] [PubMed]
- XARELTO Label Information by USFDA. Available online: https://www.accessdata.fda.gov/drugsatfda_docs/label/2018/022406s028lbl.pdf (accessed on 12 March 2025).
- Kang, J.-H.; Lee, J.-E.; Jeong, S.-J.; Park, C.-W.; Kim, D.-W.; Weon, K.-Y. Design and Optimization of Rivaroxaban-Cyclodextrin-Polymer Triple Complex Formulation with Improved Solubility. Drug Des. Dev. Ther. 2022, 16, 4279–4289. [Google Scholar] [CrossRef]
- Sarabia-Vallejo, Á.; Caja, M.d.M.; Olives, A.I.; Martín, M.A.; Menéndez, J.C. Cyclodextrin Inclusion Complexes for Improved Drug Bioavailability and Activity: Synthetic and Analytical Aspects. Pharmaceutics 2023, 15, 2345. [Google Scholar] [CrossRef]
- Budura, E.; Lupuleasa, D.; Aramă, C.; Niţulescu, M.; Balaci, T. Preparation and characterization of inclusion complexes formed between simvastatin and hydroxypropyl-β-cyclodextrin. Farmacia 2011, 59, 512–530. [Google Scholar]
- Gavriloaia, M.R.; Budura, E.A.; Toma, C.C.; Mitu, M.A.; Karampelas, O.; Arama, C.; Lupuleasa, D. In vitro evaluation of diffusion and rheological profiles for dexamethasone inclusion complexes with beta-cyclodextrin or hydroxypropyl beta-cyclodextrin. Farmacia 2012, 60, 895–904. [Google Scholar]
- Sbora, R.; Budura, E.A.; Nitulescu, G.M.; Balaci, T.; Lupuleasa, D. Preparation and characterization of inclusion complexes formed by avobenzone with beta-cyclodextrin, hydroxypropyl-beta-cyclodextrin and hydroxypropyl-alpha-cyclodextrin. Farmacia 2015, 63, 548–555. [Google Scholar]
- Mititelu, M.; Moroșan, E.; Nicoară, A.C.; Secăreanu, A.A.; Musuc, A.M.; Atkinson, I.; Cusu, J.P.; Nițulescu, G.M.; Ozon, E.A.; Sarbu, I.; et al. Development of Immediate Release Tablets Containing Calcium Lactate Synthetized from Black Sea Mussel Shells. Mar. Drugs 2022, 20, 45. [Google Scholar] [CrossRef]
- Mitu, M.A.; Cretu, E.A.; Novac, M.; Karampelas, O.; Nicoara, A.; Nitulescu, G.; Lupuleasa, D. The Flowing Characteristics of Some Composed Powders Containing Inclusion Complexes in Beta-Cyclodextrin. In Proceedings of the 17th Romanian National Congress of Pharmacy, 17th Edition: 21st Century Pharmacy—Between Intelligent Specialization and Social Responsibility 2018, Bucharest, Romania, 26–29 September 2018; Draganescu, D., Arsene, A., Eds.; InFOROmatica S.r.l.: Bologna, Italy, 2018; pp. 129–133. [Google Scholar]
- Pop, A.L.; Crișan, S.; Bârcă, M.; Ciobanu, A.-M.; Varlas, V.N.; Pop, C.; Pali, M.-A.; Cauni, D.; Ozon, E.A.; Udeanu, D.; et al. Evaluation of Dissolution Profiles of a Newly Developed Solid Oral Immediate-Release Formula Containing Alpha-Lipoic Acid. Processes 2021, 9, 176. [Google Scholar] [CrossRef]
- Musuc, A.M.; Anuta, V.; Atkinson, I.; Sarbu, I.; Popa, V.T.; Munteanu, C.; Mircioiu, C.; Ozon, E.A.; Nitulescu, G.M.; Mitu, M.A. Formulation of Chewable Tablets Containing Carbamazepine-β-cyclodextrin Inclusion Complex and F-Melt Disintegration Excipient. The Mathematical Modeling of the Release Kinetics of Carbamazepine. Pharmaceutics 2021, 13, 915. [Google Scholar] [CrossRef]
- Moreton, C. Functionality and performance of excipients in a quality-by design world, part VIII: Excipient specifications. Am. Pharm. Rev. 2010, 13, 46–50. [Google Scholar]
- USP. Rivarovaban Tablets Monograph; USP-NF: Rockville, MD, USA, 2023. [Google Scholar] [CrossRef]
- Nica, M.-A.; Anuța, V.; Nicolae, C.A.; Popa, L.; Ghica, M.V.; Cocoș, F.-I.; Dinu-Pîrvu, C.-E. Exploring Deep Eutectic Solvents as Pharmaceutical Excipients: Enhancing the Solubility of Ibuprofen and Mefenamic Acid. Pharmaceuticals 2024, 17, 1316. [Google Scholar] [CrossRef] [PubMed]
- ICH. International Conference on Harmonisation of Technical Requirements for Registration of Pharmaceuticals for Human Use. ICH Harmonised Tripartite Guideline: Validation of Analytical Procedures: Text and Methodology Q2(R2) Step 5 Version 1. Available online: https://www.ema.europa.eu/en/documents/scientific-guideline/ich-q2r2-guideline-validation-analytical-procedures-step-5-revision-1_en.pdf (accessed on 12 March 2025).








| System | Slope | Intrinsic Solubility (M) | Stability Constant (M−1) |
|---|---|---|---|
| rivaroxaban–β-CD | 0.004 | 0.000008 | 251 |
| rivaroxaban–Me-β-CD | 0.0046 | 0.00001 | 289 |
| rivaroxaban–HP-β-CD | 0.0103 | 0.00003 | 650 |
| Formulation Code | Parameter | |||||||
|---|---|---|---|---|---|---|---|---|
| Moisture Content (%) | Flow Time (s) * | Angle of Repose (θ Degrees) | Flow Rate (g/s) | Bulk Density (g/mL) | Tapped Density (g/mL) | Carr Index (CI) (%) | Hausner’s Ratio (HR) | |
| RIV-β-CD (inclusion complex) | 4.03 ± 0.94 | -* | -* | -* | 0.258 | 0.427 | 39.57 | 1.65 |
| RIV-β-CD (physical mixture) | 2.14 ± 0.55 | 23.8 ± 0.27 * | 36.14 ± 2.45 * | 2.521 * | 0.385 | 0.520 | 25.96 | 1.35 |
| RIV-HP-β-CD (inclusion complex) | 4.25 ± 0.79 | -* | -* | -* | 0.233 | 0.375 | 37.86 | 1.60 |
| RIV-HP-β-CD (physical mixture) | 2.63 ± 0.81 | 24.6 ± 0.38 * | 37.27 ± 2.16 * | 2.439 * | 0.341 | 0.498 | 31.52 | 1.46 |
| RIV-Me-β-CD (inclusion complex) | 4.78 ± 0.83 | -* | -* | -* | 0.222 | 0.384 | 42.18 | 1.72 |
| RIV-Me-β-CD (physical mixture) | 2.97 ± 0.66 | 28.4 ± 0.15 * | 39.09 ± 2.75 * | 2.112 * | 0.316 | 0.463 | 31.74 | 1.47 |
| F1 | 1.86 ± 0.43 | 17.2 ± 0.25 ** | 29.11 ± 1.86 ** | 3.488 ** | 0.461 | 0.577 | 20.10 | 1.25 |
| F2 | 1.47 ± 0.52 | 16.9 ± 0.47 ** | 28.82 ± 1.39 ** | 3.550 ** | 0.554 | 0.681 | 18.64 | 1.22 |
| F3 | 2.39 ± 0.88 | 15.4 ± 0.28 ** | 27.66 ± 1.02 ** | 3.896 ** | 0.453 | 0.542 | 16.42 | 1.19 |
| F4 | 1.98 ± 0.84 | 14.8 ± 0.31 ** | 27.08 ± 0.84 ** | 4.054 ** | 0.446 | 0.521 | 14.39 | 1.16 |
| F5 | 2.61 ± 0.76 | 18.8 ± 0.23 ** | 30.15 ± 2.28 ** | 3.191 ** | 0.457 | 0.596 | 23.32 | 1.30 |
| F6 | 2.14 ± 0.65 | 18.1 ± 0.44 ** | 29.79 ± 2.12 ** | 3.314 ** | 0.494 | 0.617 | 19.93 | 1.24 |
| Parameter | Formulation Code | |||||
|---|---|---|---|---|---|---|
| F1 | F2 | F3 | F4 | F5 | F6 | |
| Thickness (mm) | 2.71 ± 0.09 | 2.67 ± 0.11 | 2.70 ± 0.23 | 2.71 ± 0.34 | 2.69 ± 0.14 | 2.69 ± 0.36 |
| Diameter (mm) | 10 ± 0.25 | 10 ± 0.82 | 10 ± 0.19 | 10 ± 0.44 | 10 ± 0.30 | 10 ± 0.41 |
| Mass uniformity (mg) | 200 ± 1.68 | 199 ± 2.07 | 201 ± 1.05 | 200 ± 2.73 | 199 ± 1.54 | 200 ± 2.30 |
| Hardness (N) | 70 ± 2.85 | 86 ± 3.18 | 84 ± 3.67 | 67 ± 2.04 | 78 ± 3.09 | 85 ± 3.77 |
| Friability (%) | 0.05 ± 0.01 | 0.07 ± 0.03 | 0.07 ± 0.04 | 0.04 ± 0.02 | 0.10 ± 0.04 | 0.11 ± 0.03 |
| In vitro disintegration time (seconds) | 35 | 40 | 88 | 97 | 123 | 145 |
| Ingredients | Formulation/Amount (%) | |||||
|---|---|---|---|---|---|---|
| F1 | F2 | F3 | F4 | F5 | F6 | |
| RIV-β-CD (lyophilized inclusion complex) | 18 | - | - | - | - | - |
| RIV-β-CD (physical mixture) | - | 18 | - | - | - | - |
| RIV-HP-β-CD (lyophilized inclusion complex) | - | - | 22.50 | - | - | - |
| RIV-HP-β-CD (physical mixture) | - | - | - | 22.50 | - | - |
| RIV-Me-β-CD (lyophilized inclusion complex) | - | - | - | - | 20 | - |
| RIV-Me-β-CD (physical mixture) | - | - | - | - | - | 20 |
| Avicel® PH 102 –microcrystalline cellulose | 40 | 40 | 37.75 | 37.75 | 39 | 39 |
| Flowlac® 100—spray-dried lactose | 40 | 40 | 37.75 | 37.75 | 39 | 39 |
| EXPLOTAB®—Sodium starch glycolate | 1.00 | 1.00 | 1.00 | 1.00 | 1.00 | 1.00 |
| LIGAMED® MF-2-V—Magnesium stearate | 1.00 | 1.00 | 1.00 | 1.00 | 1.00 | 1.00 |
| Ingredients | Quantity mg/Tablet | Role in Formulation | |||||
|---|---|---|---|---|---|---|---|
| F1 | F2 | F3 | F4 | F5 | F6 | ||
| RIV-β-CD inclusion complex (1:1) | 36 | - | - | - | - | - | Active ingredient |
| RIV-β-CD physical mixture (1:1) | - | 36 | - | - | - | - | Active ingredient |
| RIV-HP-β-CD inclusion complex (1:1) | - | - | 45 | - | - | - | Active ingredient |
| RIV-HP-β-CD physical mixture (1:1) | - | - | - | 45 | - | - | Active ingredient |
| RIV-Me-β-CD inclusion complex (1:1) | - | - | - | - | 40 | - | Active ingredient |
| RIV-Me-β-CD physical mixture (1:1) | - | - | - | - | - | 40 | Active ingredient |
| Avicel® PH 102 –microcrystalline cellulose | 80 | 80 | 75.5 | 75.5 | 78 | 78 | Filler Binder |
| Flowlac® 100—spray-dried lactose | 80 | 80 | 75.5 | 75.5 | 78 | 78 | Filler Binder |
| EXPLOTAB®—Sodium starch glycolate | 2 | 2 | 2 | 2 | 2 | 2 | Superdisintegrant |
| LIGAMED® MF-2-V—Magnesium stearate | 2 | 2 | 2 | 2 | 2 | 2 | Glidant |
| TOTAL | 200 | 200 | 200 | 200 | 200 | 200 | |
Disclaimer/Publisher’s Note: The statements, opinions and data contained in all publications are solely those of the individual author(s) and contributor(s) and not of MDPI and/or the editor(s). MDPI and/or the editor(s) disclaim responsibility for any injury to people or property resulting from any ideas, methods, instructions or products referred to in the content. |
© 2025 by the authors. Licensee MDPI, Basel, Switzerland. This article is an open access article distributed under the terms and conditions of the Creative Commons Attribution (CC BY) license (https://creativecommons.org/licenses/by/4.0/).
Share and Cite
Solomon, C.; Anuța, V.; Sarbu, I.; Ozon, E.A.; Musuc, A.M.; Bratan, V.; Rusu, A.; Surdu, V.-A.; Croitoru, C.; Chandak, A.; et al. Enhancing the Drug Release and Physicochemical Properties of Rivaroxaban via Cyclodextrin Complexation: A Comprehensive Analytical Approach. Pharmaceuticals 2025, 18, 761. https://doi.org/10.3390/ph18060761
Solomon C, Anuța V, Sarbu I, Ozon EA, Musuc AM, Bratan V, Rusu A, Surdu V-A, Croitoru C, Chandak A, et al. Enhancing the Drug Release and Physicochemical Properties of Rivaroxaban via Cyclodextrin Complexation: A Comprehensive Analytical Approach. Pharmaceuticals. 2025; 18(6):761. https://doi.org/10.3390/ph18060761
Chicago/Turabian StyleSolomon, Cristina, Valentina Anuța, Iulian Sarbu, Emma Adriana Ozon, Adina Magdalena Musuc, Veronica Bratan, Adriana Rusu, Vasile-Adrian Surdu, Cătălin Croitoru, Abhay Chandak, and et al. 2025. "Enhancing the Drug Release and Physicochemical Properties of Rivaroxaban via Cyclodextrin Complexation: A Comprehensive Analytical Approach" Pharmaceuticals 18, no. 6: 761. https://doi.org/10.3390/ph18060761
APA StyleSolomon, C., Anuța, V., Sarbu, I., Ozon, E. A., Musuc, A. M., Bratan, V., Rusu, A., Surdu, V.-A., Croitoru, C., Chandak, A., Gavriloaia, R. M., Balaci, T. D., Niță, D. T., & Mitu, M. A. (2025). Enhancing the Drug Release and Physicochemical Properties of Rivaroxaban via Cyclodextrin Complexation: A Comprehensive Analytical Approach. Pharmaceuticals, 18(6), 761. https://doi.org/10.3390/ph18060761

