Drug Delivery Device Design and Compatibility with Nitrogen Dioxide Gas Sterilization
Abstract
1. Introduction
1.1. NO2 Sterilization Process
- -
- Evacuation: The chamber is evacuated down to the designated minimum process pressure, which removes air from the sterilization chamber, permitting the addition of the process gases.
- -
- Humidity Addition: Relative Humidity (RH) is added to the chamber until the desired percentage is reached, typically between 65% RH and 80% RH.
- -
- NO2 Injection: the NO2 is metered into the sterilization chamber, with a target concentration typically between 5 mg/L and 20 mg/L.
- -
- Pressurization: Dry air is added to the sterilization chamber to reach the target process pressure (dwell pressure), which is typically between 700 mbar and 800 mbar.
- -
- NO2 Exposure Stage: The NO2 and RH remain in the chamber for the set dwell time of the NO2 exposure. The dwell time ranges from 5 min to 30 min.
- -
- Aerations: Aeration consists of repeated stages of evacuating and refilling the chamber with air until the sterilant is removed from the chamber.
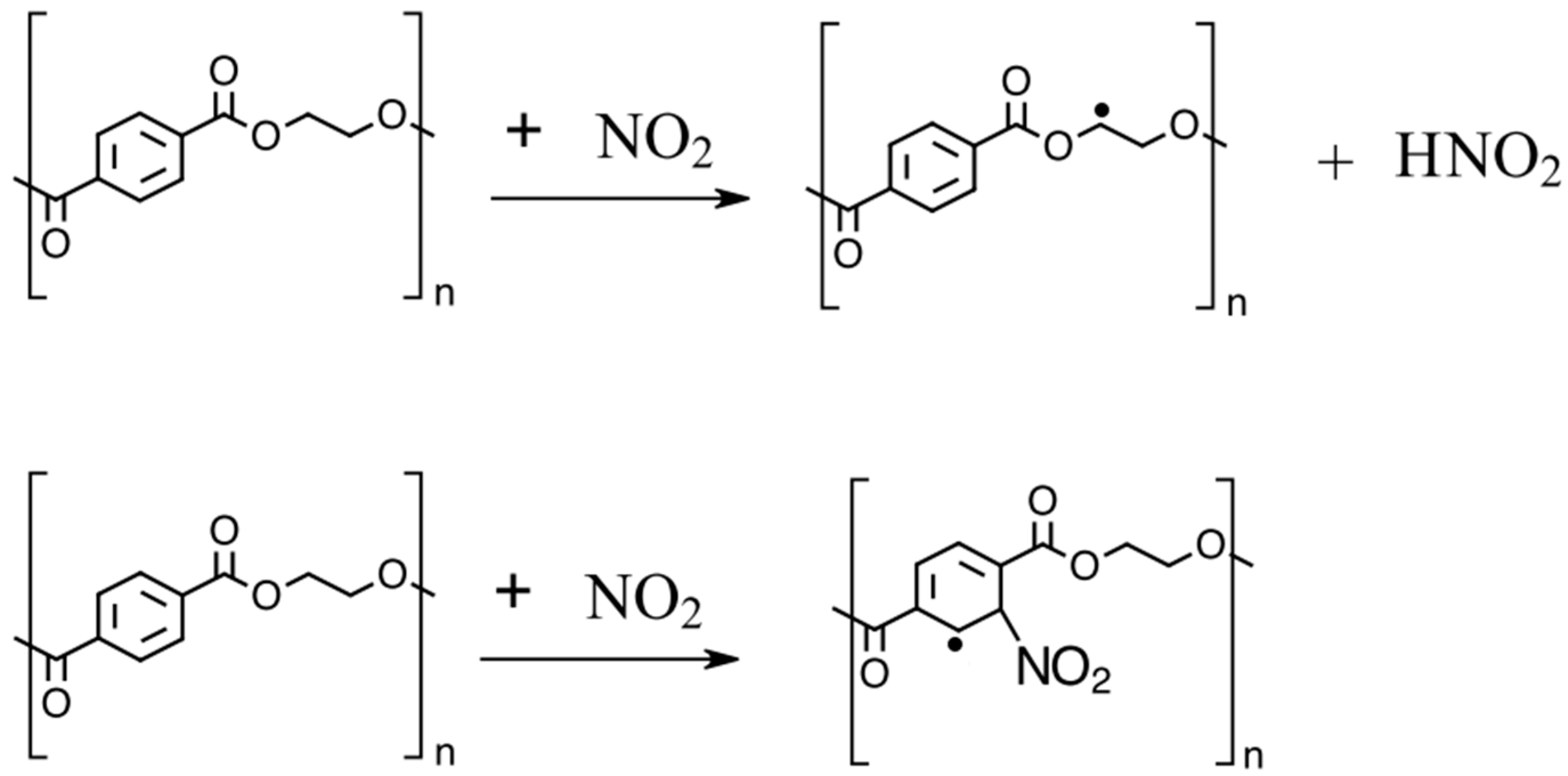
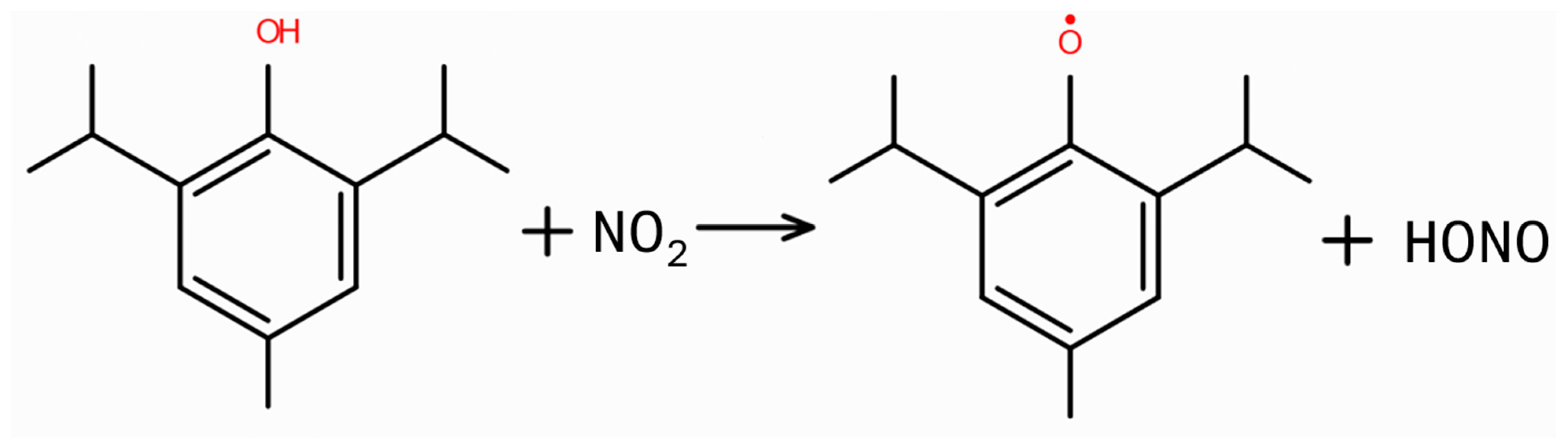
1.2. NO2 Reactions
2. Results
2.1. NO2 Achieved Parameters
2.2. NO2-Induced Chemical Reactions
2.2.1. Surface Characterization Changes
2.2.2. Free Radicals
2.2.3. Change in Morphology
2.2.4. Mechanical Changes
2.2.5. Shore Hardness
2.2.6. Color Change
2.2.7. Surface Residuals
2.2.8. Biocompatibility
3. Discussion
3.1. FTIR
3.2. EPR
3.3. Tensile Testing and Shore Hardness Durometer
3.4. Color Change
3.5. Residuals and Cytotoxicity
3.6. Material Resistance
4. Materials and Methods
4.1. Materials
4.2. Material Characterization Methods
- FTIR–ATR: Fourier Transform InfraRed Attenuated Total Reflectance (FTIR-ATR) Spectroscopy is a technique used to analyze the molecular structure of materials. The FTIR-ATR absorption spectrum was normalized to provide consistent evaluation across samples and groups. FTIR-ATR measures to a depth of 0.5 × 10−6 m to 5 × 10−6 m.
- EPR: Electron Paramagnetic Resonance (EPR) was used for evaluating the formation of radicals on the material after NO2 exposure. The presence of an EPR signal indicates free radicals in the polymer. Comparing the spectra from control samples with the spectra of exposed samples can detect the creation of radicals in the polymer due to the exposure to the NO2 process.
- DSC: Differential Scanning Calorimetry (DSC) was used to determine whether a change in morphology occurred—specifically, a change in the glass transition temperature or melt temperature from chain scissions or cross-linking. The critical temperatures were evaluated for each material and reported with the uncertainty values. Variations in these measurements indicate alterations in polymer structure, such as changes in crystallinity, crosslinking, or scissions.
- Mechanical Properties: Tensile testing was used to determine the yield strength, strength at break, and elongation at break for unexposed control, Mid-Range-exposed, and High-Range-exposed samples. The results indicate whether the sterilization process affected the bulk mechanical properties of the materials.
- Hardness (Durometer): Shore Hardness Durometer was used to evaluate the bulk surface characteristic of the unexposed control, Mid-Range-exposed samples, and High-Range-exposed samples. Shore D was used to measure all of the materials hardness values. Hardness changes can indicate a change in polymer morphology. The change in polymer hardness from cross-linking after radiation sterilization is well studied [5].
- Color Change: Color change (ΔE) was measured between the control and Mid-Range-exposed samples and between and the control and High-Range-exposed samples. The exposure of polymers to NO2 can lead to discoloration (yellowing). This discoloration has multiple mechanisms, including reaction with additives, oxidative degradation, and surface adsorption [63]. NO2 reacts with additives like phenolic-type stabilizers in the polymer matrix, forming quinone-like structures or nitroso derivatives [64]. These compounds absorb light in the visible spectrum, causing a yellow or pink tint. Additionally, NO2 is an oxidizer and can initiate chain scission or crosslinking, which can alter the polymer’s chemical structure and create chromophoric groups that absorb visible light. Finally, NO2 can permeate into the polymer surface and cause color change from the NO2 molecules present in the material.
- Surface Residuals: Surface residuals were measured using a colorimetric Griess reagent assay. Relating the level of surface residuals (nitrates and nitrites) to the cytotoxicity provides insight into whether biocompatibility will depend on reactive byproducts between NO2 and the polymer blend (including additives), or from the sterilant residuals. Published literature has shown that sterilant residuals are cytotoxic above threshold levels [59,61].
- Cytotoxicity: Cytotoxicity was used as an indicator of biocompatibility, combined with measured surface residuals (nitrates and nitrites). Cytotoxicity was performed in an external laboratory following GLP measures.
4.3. Material Preparation
4.4. Material Exposure
4.5. Post-Exposure Handling and Testing
5. Conclusions
Author Contributions
Funding
Institutional Review Board Statement
Informed Consent Statement
Data Availability Statement
Acknowledgments
Conflicts of Interest
Abbreviations
| DPPH | 2,2-diphenyl-1-picrylhydrazyl |
| DSC | Differential Scanning Calorimetry |
| EO | Ethylene Oxide |
| EPR | Electron Paramagnetic Resonance |
| FTIR-ATR | Fourier Transform InfraRed Attenuated Total Reflectance Spectroscopy |
| HNO2 | Nitrous Acid |
| HNO3 | Nitric Acid |
| H2O2 | Hydrogen Peroxide |
| NO2 | Nitrogen Dioxide |
| PAEK | PolyArylEtherKetone |
| PC | Polycarbonate |
| PE | Polyethylene |
| PEEK | PolyEtherEtherKetone |
| PETG | Polyethylene Terephthalate Glycol |
| PP | Polypropylene |
| PSU | Polysulfone |
| RH | Relative Humidity |
| SAL | Sterility Assurance Level |
References
- Skalko-Basnet, N. Biologics: The Role of Delivery Systems in Improved Therapy. Biol. Targets Ther. 2014, 8, 107. [Google Scholar] [CrossRef] [PubMed]
- Altasciences. Terminal Sterilization of Pharmaceutical Products. The Altascientist 2021, 21. Available online: https://www.altasciences.com/sites/default/files/2021-12/The-Altascientist_issue-21_Terminal-Sterilization.pdf (accessed on 16 October 2025).
- Parenky, A.C.; Wadhwa, S.; Chen, H.H.; Bhalla, A.S.; Graham, K.S.; Shameem, M. Container Closure and Delivery Considerations for Intravitreal Drug Administration. AAPS PharmSciTech 2021, 22, 100. [Google Scholar] [CrossRef] [PubMed]
- Mollah, M.Z.I.; Rahaman, M.S.; Faruque, M.R.I.; Khandaker, M.U.; Osman, H.; Alamri, S.; Al-Assaf, S. Effects of Radiation Sterilization Dose on the Molecular Weight and Gelling Properties of Commercial Alginate Samples. Front. Mater. 2021, 8, 761995. [Google Scholar] [CrossRef]
- Naikwadi, A.T.; Sharma, B.K.; Bhatt, K.D.; Mahanwar, P.A. Gamma Radiation Processed Polymeric Materials for High Performance Applications: A Review. Front. Chem. 2022, 10, 837111. [Google Scholar] [CrossRef]
- Styron LLC. Advances in Polycarbonate Color Compensation Technology to Withstand Sterilization by Irradiation Methods. Med. Des. Briefs 2012, September Issue. Available online: https://www.medicaldesignbriefs.com/component/content/article/14641-advances-in-polycarbonate-color-compensation-technology-to-withstand-sterilization-by-irradiation-methods (accessed on 11 August 2025).
- Fujiwara, S.; Ueda, T.; Ishii, N.; Abe, Y.; Hayashihara-Kakuhou, K.; Takeda, K.; Kurinomaru, T.; Fukuhara, A.; Uchiyama, S.; Carpenter, J.F. Chemical-Gas Sterilization of External Surface of Polymer-Based Prefilled Syringes and Its Effect on Stability of Model Therapeutic Protein. J. Pharm. Sci. 2022, 111, 41–50. [Google Scholar] [CrossRef]
- Wang, W. Lyophilization and Development of Solid Protein Pharmaceuticals. Int. J. Pharm. 2000, 203, 1–60. [Google Scholar] [CrossRef]
- Ebrahim, A.; DeVore, K.; Fischer, T. Limitations of Accelerated Stability Model Based on the Arrhenius Equation for Shelf Life Estimation of In Vitro Diagnostic Products. Clin. Chem. 2021, 67, 684–688. [Google Scholar] [CrossRef]
- Phatak, A.; Burns, C.M.; Huang, R.Y.M. Transport of Ethylene Oxide through Polymer Films. J. Appl. Polym. Sci. 1987, 34, 1835–1859. [Google Scholar] [CrossRef]
- Chempedia. Gas Permeability of Polymers and Rubbers. Available online: https://chempedia.info/info/gas_permeability_of_polymers_and_rubbers/ (accessed on 20 June 2025).
- Gitsov, I.P.I.; Liu, Y.; Saylor, D.M.; Hendrick, A.L.; Gronda, A.M.; Sinha, M.N.; Long, E.; Liu, S.; Hu, R.; Weeks, J.W.; et al. Diffusion of Hydrogen Peroxide Through Medical Grade Poly(Ether)Urethane: Analyzing Mechanisms of Sorption and Transport to Support Sterilization With Vapor Hydrogen Peroxide. J. Biomed. Mater. Res. B Appl. Biomater. 2025, 113, e35567. [Google Scholar] [CrossRef]
- Mehta, S.B.; Cook, J.; Liu, W.; Brisbane, C. Risk Mitigation of Plunger-Stopper Displacement Under Low Atmospheric Pressure by Establishing Design Space for Filling-Stoppering Process of Prefilled Syringes: A Design of Experiment (DoE) Approach. J. Pharm. Sci. 2022, 111, 2038–2048. [Google Scholar] [CrossRef]
- Evans, C.; Oni, Y.; Paniagua, D.; Franck, J.; Dahlheim, C.; Kulshrestha, A. Stopper Movement and Headspace (Air Bubble Size) Limitations for 2.25 mL Prefilled Syringe. PDA J. Pharm. Sci. Technol. 2023, 77, 472–484. [Google Scholar] [CrossRef] [PubMed]
- Gillet, A.; DeMent, A.; Haghedooren, E.; Offermann, E.; Tsakas, R. Nitrogen Dioxide Sterilization is a New State-of-the-Art Sterilization Technology to Control Contamination Risks from Your Prefilled Devices and Combination Drug Products. PDA J. Pharm. Sci. Technol. 2025, 79, 244–245. [Google Scholar] [CrossRef]
- Zaikov, G.; Davydov, E.; Pariiskii, G.; Gapanova, I.; Pokholok, T. Interaction of Polymers with Polluted Atmosphere: Nitrogen Oxides; Smithers Rapra: Shropshire, UK, 2009; ISBN 9781847353795. Available online: http://ndl.ethernet.edu.et/bitstream/123456789/58268/1/Gennady%20Zaikov_2009.pdf (accessed on 16 October 2025).
- McDonnell, G.; Hansen, J. Nitrogen Dioxide. In Block’s Disinfection, Sterilization, and Preservation; McDonnell, G., Hansen, J., Eds.; Lippincott Williams & Wilkins: Philadelphia, PA, USA, 2020; pp. 726–755. [Google Scholar]
- U.S. Food and Drug Administration, Center for Drug Evaluation and Research. Approval Package for: Pavblu (Aflibercept-Ayyh) Injection; U.S. Food and Drug Administration: Silver Spring, MD, USA, 2024. Available online: https://www.accessdata.fda.gov/drugsatfda_docs/nda/2025/761298Orig1s000Approv.pdf (accessed on 16 October 2025).
- Richards, T.P.; Lisco, D.; Bianchi, T.; Shahine, G.; Nyugen, H.; Simmons, N.; Dufresne, S.; Opie, D. Nitrogen Dioxide Sterilization Follows Log-Linear Microbial Inactivation Kinetics Using Geobacillus Stearothermophilus Biological Indicators. PDA J. Pharm. Sci. Technol. 2025, 79, 379–390. [Google Scholar] [CrossRef] [PubMed]
- ISO 14937:2009; Sterilization of Health Care Products—General Requirements for Characterization of a Sterilizing Agent and the Development, Validation and Routine Control of a Sterilization Process for Medical Devices. International Organization for Standardization: Geneva, Switzerland, 2009.
- Polyakov, A.A.; Trazhetsets’ka, T.A.; Arbuzov, K.N.; Akhumova, A.A.; Chepurov, K.P. Bactericidal Action of Nitrogen Dioxide on the Vegetative and Sporous Forms of Bacillus anthracis. Mikrobiol. Zh 1963, 24, 43–45. (In Ukrainian) [Google Scholar]
- de Souza, F.M.; Kahol, P.K.; Gupta, R.K. Introduction to Polyurethane Chemistry. In Polymer Chemistry for Advanced Applications; American Chemical Society: Washington, DC, USA, 2021; pp. 1–24. [Google Scholar] [CrossRef]
- Majka, T.M.; Berkowicz-Płatek, G.; Żukowski, W. Modeling of the Kinetics of Polyoxymethylene Decomposition under Oxidative and Non-Oxidative Conditions. Materials 2021, 14, 2281. [Google Scholar] [CrossRef]
- Davydov, E.; Gapanova, I.; Pariiskii, G.; Pokholok, T.; Zaikov, G. Reactivity of Polymers on Exposure to Nitrogen Dioxide. Chem. Chem. Technol. 2010, 4, 281–290. [Google Scholar] [CrossRef]
- Brentwood Industries. Top 8 Materials for Medical Device Packaging. 2024. Available online: https://www.brentwoodindustries.com/resources/learning-center/medical/top-8-materials-for-medical-device-packaging/ (accessed on 16 October 2025).
- Aprios. PETG: The Go-To Resin for Clarity and Durability in Diverse Applications. 2025. Available online: https://www.aprios.com/insights/petg-the-go-to-resin-for-clarity-and-durability-in-diverse-applications (accessed on 21 November 2025).
- Genesis Medical Plastics. Plastics for Implantable Medical Devices. 2024. Available online: https://www.genesismedicalplastics.com/materials/implantable-medical-devices/ (accessed on 16 October 2025).
- Foster Corporation. Polysulfones in Healthcare Applications. 2023. Available online: https://www.fostercomp.com/polysulfones-in-healthcare-applications/ (accessed on 21 November 2025).
- Covestro AG. High-Quality Plastics for Drug Delivery: Medical-Grade Polycarbonates, PC+ABS Blends and Thermoplastics for Drug Delivery Devices. 2021. Available online: https://solutions.covestro.com/en/highlights/articles/theme/applications/drug-delivery (accessed on 16 October 2025).
- Invibio Biomaterial Solutions. Active Implants & Drug Delivery—Application Areas. 2025. Available online: https://www.invibio.com/en/application-areas/medical-devices/ (accessed on 16 October 2025).
- Sprovieri, J. New Plastics for Medical Devices. 2018. Available online: https://www.assemblymag.com/articles/94276-new-plastics-for-medical-devices (accessed on 21 November 2025).
- Drake Plastics. Life Science & Medical—High-Performance Thermoplastics for Life Science, Medical and Analytical Equipment Applications. 2019. Available online: https://drakeplastics.com/life-science-medical/ (accessed on 16 October 2025).
- Solvay Specialty Polymers USA, LLC. ConMed Linvatec Launches First UL-Approved Autoclavable Battery for Powered Surgical Tools. 2013. Available online: https://www.solvay.com/sites/g/files/srpend616/files/tridion/documents/ConMed_Linvatec_Lithium_Battery_System_Uses_AvaSpire%20PAEK_Final_EN.pdf (accessed on 21 November 2025).
- Sacks, G.; Shah, V.; Yao, L.; Yan, C.; Shah, D.; Limeta, L.; DeStefano, V. Polyaryletherketones: Properties and Applications in Modern Medicine. Biomed. Technol. 2024, 6, 75–89. [Google Scholar] [CrossRef]
- Reno, F.E.; Edwards, C.N.; Jensen, M.B.; Török-Bathó, M.; Esdaile, D.J.; Piché, C.; Triest, M.; Carballo, D. Needle-free nasal delivery of glucagon for treatment of diabetes-related severe hypoglycemia: Toxicology of polypropylene resin used in delivery device. Cutan. Ocul. Toxicol. 2016, 35, 242–247. [Google Scholar] [CrossRef]
- ResMart. Applications of Medical-Grade Polypropylene: A Versatile Solution for Healthcare Needs. 2024. Available online: https://resmart.com/news/post/applications-of-medical-grade-polypropylene-a-versatile-solution-for-healthcare-needs1.html (accessed on 21 November 2025).
- Nicolau, S.T.; Matzger, A.J. An Evaluation of Resolution, Accuracy, and Precision in FT-IR Spectroscopy. Spectrochim. Acta A Mol. Biomol. Spectrosc. 2024, 319, 124545. [Google Scholar] [CrossRef]
- Ekgasit, S.; Padermshoke, A. Optical Contact in ATR/FT-IR Spectroscopy. Appl. Spectrosc. 2001, 55, 1352–1359. [Google Scholar] [CrossRef]
- Nisticò, R. Polyethylene Terephthalate (PET) in the Packaging Industry. Polym. Test. 2020, 86, 106707. [Google Scholar] [CrossRef]
- Black, J.; Hastings, G. (Eds.) Handbook of Biomaterial Properties; Springer: Boston, MA, USA, 1998; Available online: https://link.springer.com/book/10.1007/978-1-4615-5801-9 (accessed on 15 September 2025).
- Brunelle, D.J. Polycarbonates. In Encyclopedia of Polymer Science and Technology; Wiley: Hoboken, NJ, USA, 2006. [Google Scholar] [CrossRef]
- Day, M.; Supaphol, T.; Cooney, J.D.; Wiles, D.M. Thermal Degradation of Poly(Aryl-Ether-Ether-Ketone) (PEEK): A Differential Scanning Calorimetry Study. J. Appl. Polym. Sci. 1988, 36, 951–959. [Google Scholar] [CrossRef]
- Audouit, J.; Rivière, L.; Dandurand, J.; Louison, A.; Dantas, E.; Lacabanne, C. Thermal, Mechanical and Dielectric Behaviour of Poly(Aryl Ether Ketone) with Low Melting Temperature. J. Therm. Anal. Calorim. 2018, 135, 2147–2157. [Google Scholar] [CrossRef]
- Maddah, H.A. Polypropylene as a Promising Plastic: A Review. Am. J. Polym. Sci. 2016, 6, 1–11. [Google Scholar] [CrossRef]
- Wunderlich, B. (Ed.) Thermal Analysis of Polymeric Materials; SpringerLink Bücher; Springer: Berlin/Heidelberg, Germany, 2005; ISBN 978-3-540-23629-0. [Google Scholar]
- Yi, N.; Chaplin, A.; Grasmeder, J.; Ghita, O. Adaptable Polyaryletherketones (PAEKs) with Competing Crosslinking and Crystallisation Mechanisms. Sci. Rep. 2024, 14, 679. [Google Scholar] [CrossRef]
- Alvaredo, A.; Martín, M.; Castell, P.; Guzmán de Villoria, R.; Fernández-Blázquez, J. Non-IsothermalCrystallization Behavior of PEEK/Graphene Nanoplatelets Composites from Melt and Glass States. Polymers 2019, 11, 124. [Google Scholar] [CrossRef]
- Liebe, H.J.; Wolfe, V.L.; Howe, D.A. Test of Wall Coatings for Controlled Moist Air Experiments. Rev. Sci. Instrum. 1984, 55, 1702–1705. [Google Scholar] [CrossRef][Green Version]
- Tian, L.; Koshland, C.P.; Yano, J.; Yachandra, V.K.; Yu, T.; Lee, S.C.; Lucas, D. Carbon-Centered Free Radicals in Particulate Matter Emissions from Wood and Coal Combustion. Energy Fuels 2009, 23, 2523–2526. [Google Scholar] [CrossRef]
- Green, U.; Shenberger, Y.; Aizenshtat, Z.; Cohen, H.; Ruthstein, S. Exploring the Radical Nature of a Carbon Surface by Electron Paramagnetic Resonance and a Calibrated Gas Flow. J. Vis. Exp. 2014, 51548. [Google Scholar] [CrossRef]
- Azevedo, A.M.; Mendonça da Silveira, P.H.P.; Lopes, T.J.; Costa, O.L.B.; Monteiro, S.N.; Veiga-Júnior, V.F.; Silveira, P.C.R.; Cardoso, D.O.; Ben-Hur da Silva Figueiredo, A. Ionizing Radiation and Its Effects on Thermoplastic Polymers: An Overview. Polymers 2025, 17, 1110. [Google Scholar] [CrossRef]
- Saint-Gobain Performance Plastics. Effect of Sterilization on the Mechanical Properties of Silicone Rubbers; Saint-Gobain Biopharm: Plymouth, MN, USA, 2025; Available online: https://www.biopharm.saint-gobain.com/sites/hps-mac3-lifesciences-bioprocess/files/effect-of-sterilization-on-the-mechanical-properties-of-silicone-rubbers.pdf (accessed on 14 August 2025).
- Wild, N. Everything You Need to Know about Color—Delta E. 2025. Available online: https://blog.hybridhelix.com/everything-you-need-to-know-about-color-delta-e/ (accessed on 21 November 2025).
- Sharma, G.; Wu, W.; Dalal, E.N. The CIEDE2000 Color-Difference Formula: Implementation Notes, Supplementary Test Data, and Mathematical Observations. Color Res. Appl. 2005, 30, 21–30. [Google Scholar] [CrossRef]
- BASF SE. Antioxidants—Plastic Additives for Plastics and Rubber. Available online: https://plastics-rubber.basf.com/global/en/plastic_additives/products/antioxidants (accessed on 21 November 2025).
- Wang, Y.; Ren, H.; Yan, Y.; He, S.; Wu, S.; Zhao, Q. Hindered Phenolic Antioxidants as Heat-Oxygen Stabilizers for HDPE. Polym. Polym. Compos. 2020, 28, 662–673. [Google Scholar] [CrossRef]
- Schmid, D.; Hupa, M.; Paavola, M.; Karlström, O. NO2 Absorption in Aqueous Solutions with Phenolic Additives: Hydroquinone and 4-Methylaminophenol Sulfate. Ind. Eng. Chem. Res. 2023, 62, 21007–21012. [Google Scholar] [CrossRef]
- Jhamb, S.K.; Goyal, A.; Pandey, A.; Bhowmik, A. A Review of Cytotoxicity Testing Methods and In Vitro Study of Biodegradable Mg-1%Sn-2%HA Composite by Elution Method. J. Mater. Sci. Mater. Med. 2025, 36, 92. [Google Scholar] [CrossRef]
- Ikarashi, Y.; Tsuchiya, T.; Nakamura, A. Cytotoxicity of medical materials sterilized with vapour-phase hydrogen peroxide. Biomaterials 1995, 16, 177–183. [Google Scholar] [CrossRef]
- ISO 10993-7; Biological Evaluation of Medical Devices—Part 7: Ethylene Oxide Sterilization Residuals. ISO: Geneva, Switzerland, 2008.
- Lucas, A.D.; Merritt, K.; Hitchins, V.M.; Woods, T.O.; McNamee, S.G.; Lyle, D.B.; Brown, S.A. Residual ethylene oxide in medical devices and device material. J. Biomed. Mater. Res. B Appl. Biomater. 2003, 66, 548–552. [Google Scholar] [CrossRef]
- Athipatla, V. Polysulfones and Their Applications. J. High Sch. Sci. 2023, 7, 2. [Google Scholar] [CrossRef]
- Nova Chemicals. Preventing Gas Fading in Polyethylene; Nova Chemicals: Calgary, AB, Canada, 2019; Available online: https://www.novachem.com/wp-content/uploads/NOVA-Chem-Tech-Bulletin-GasFading-FINAL-2019.pdf (accessed on 16 October 2025).
- Cai, B.; Wang, Y.; Yang, X.; Li, Y.; Zhai, J.; Zeng, Y.; Ye, J.; Zhu, L.; Fu, T.-M.; Zhang, Q. Rapid Aqueous-Phase Dark Reaction of Phenols with Nitrosonium Ions: Novel Mechanism for Atmospheric Nitrosation and Nitration at Low pH. PNAS Nexus 2024, 3, pgae385. [Google Scholar] [CrossRef]
- ASTM D638-22; Standard Test Method for Tensile Properties of Plastics. ASTM International: West Conshohocken, PA, USA, 2022.
- ISO 10993-12:2021; Biological Evaluation of Medical Devices—Part 12: Sample Preparation and Reference Materials. International Organization for Standardization: Geneva, Switzerland, 2021.
- ASTM E168-16 (2023); Standard Practices for General Techniques of Infrared Quantitative Analysis. ASTM International: West Conshohocken, PA, USA, 2023.
- ASTM D3418-21; Standard Test Method for Transition Temperatures of Polymers by Differential Scanning Calorimetry. ASTM International: West Conshohocken, PA, USA, 2021.
- ASTM E2655-14 (R20); Standard Guide for Reporting Uncertainty of Test Results and Use of the Term Measurement Uncertainty in ASTM Test Methods. ASTM International: West Conshohocken, PA, USA, 2020.
- ASTM D2240-15 (R21); Standard Test Method for Rubber Property—Durometer Hardness. ASTM International: West Conshohocken, PA, USA, 2021.
- ASTM E1347-06 (2020); Standard Test Method for Color and Color-Difference Measurement by Tristimulus (Filter) Colorimetry. ASTM International: West Conshohocken, PA, USA, 2020.
- García-Robledo, E.; Corzo, A.; Papaspyrou, S. A Fast and Direct Spectrophotometric Method for the Sequential Determination of Nitrate and Nitrite at Low Concentrations in Small Volumes. Mar. Chem. 2014, 162, 30–36. [Google Scholar] [CrossRef]
- ISO 10993-5:2009; Biological Evaluation of Medical Devices—Part 5: Tests for In Vitro Cytotoxicity. International Organization for Standardization: Geneva, Switzerland, 2009.








| Material | Supplier | Molecular Structure/Functional Group | Used in (Medical Device) |
|---|---|---|---|
| Amorphous Polyester | Ensinger | Contains ester (–COO–) linkage; amorphous, transparent structure | Rigid trays for pre-filled syringes, packaging of devices and pharmaceutical products, implants [25,26] |
| Polysulfone (PSU) | Ensinger | Sulfone (–SO2–) group with aromatic rings | Catheters, access port implants, dialysis cartridges, surgical instrument trays [27,28] |
| Polycarbonate (PC) | Covestro | Carbonate (–O–(C=O)–O–) linkage between aromatic rings | Disposable auto-injectors, portable drug delivery devices, on-body drug delivery devices [29] |
| PolyEtherEtherKetone (PEEK) | Ensinger | Ketone (C=O) and ether (–O–) groups in aromatic backbone | Implantable drug-delivery pumps, on-body e-drug delivery devices, surgical instruments, orthopedic implants [30,31] |
| PolyArylEtherKetone (PAEK) | Syensqo | Aromatic backbone with ether and ketone groups | Structural components of drug-delivery devices, orthopedic surgical tools, orthopedic implants [32,33,34] |
| Polypropylene (PP) | Ensinger | Aliphatic hydrocarbon chain with methyl (–CH3) side groups | Syringes, IV bags, catheters, Intranasal delivery actuator [35,36] |
| Group | Vacuum Level (Torr) | NO2 Injection (mg/L) | Relative Humidity (%RH) | NO2 Exposure Time (mm:ss) | Exposure Temperature (°C) | Exposure Pressure (Torr) | No. of Pulses |
|---|---|---|---|---|---|---|---|
| Mid-Range | 20 | 15.4 ± 0.1 | 79.6 | 15:00 | 24.43 ± 0.11 | 592 | 6 |
| High-Range | 20 | 15.3 ± 0.1 | 79.6 | 15:01 | 24.54 ± 0.07 | 592 | 12 |
| Within Tolerance (Y/N) | Y | Y | Y | Y | Y | Y | Y |
| Polymer | Literature Reported Tg (°C) | Measured Tg Control (°C) | Measured Tg Mid-Range-Exposed (°C) | Measured Tg High-Range-Exposed (°C) |
|---|---|---|---|---|
| Amorphous Polyester | 67–125 | 105.1 ± 0.1 | 103.7 ± 0.5 | 103 ± 2 |
| Polysulfone (PSU) | 180–230 | 191.3 ± 2.0 | 189.2 ± 2.5 | 187.4 ± 3.0 |
| Polycarbonate (PC) | 140–155 | 146.1 ± 0.9 | 146.7 ± 0.4 | 146.3 ± 0.7 |
| Polymer | Literature Reported Tm (°C) | Measured Tm Control (°C) | Measured Tm Mid-Range-Exposed (°C) | Measured Tm High-Range-Exposed (°C) |
|---|---|---|---|---|
| PolyEtherEtherKetone (PEEK) | 340–350 | 343.0 ± 0.7 | 343 ± 2 | 343.5 ± 0.2 |
| PolyArylEtherKetone (PAEK) | 300–400 | 344 ± 4 | 341 ± 3 | 342 ± 6 |
| Polypropylene (PP) | 160–166 | 159.1 ± 0.6 | 159.9 ± 0.3 | 160 ± 3 |
| Polymer | Mid-Range-Exposed Percent Difference in Crystallinity (%) | High-Range-Exposed Percent Difference in Crystallinity (%) |
|---|---|---|
| PolyEtherEtherKetone (PEEK) | −0.6 ± 2 | −0.1 ± 0.6 |
| PolyArylEtherKetone (PAEK) | −1.5 ± 5 | 1.6 ± 3 |
| Polypropylene (PP) | 0.4 ± 0.4 | −0.35 ± 0.09 |
| Polymer | Group | Yield Strength (MPa) | Strength at Fracture (MPa) | Elongation at Fracture (%) |
|---|---|---|---|---|
| Amorphous Polyester | Control | 49.9 ± 0.9 | 112 ± 4 | 92 ± 2 |
| Mid-Range-Exposed | 50.7 ± 0.4 | 110 ± 6 | 90 ± 3 | |
| High-Range-Exposed | 50.1 ± 0.6 | 110 ± 4 | 90 ± 2 | |
| Polysulfone (PSU) | Control | 89.8 ± 1.0 | 56.2 ± 3.6 | 14 ± 3 |
| Mid-Range-Exposed | 90.2 ± 0.3 | 59.1 ± 2.0 | 14 ± 2 | |
| High-Range-Exposed | 88.0 ± 2.4 | 55.5 ± 1.8 | 13 ± 1 | |
| Polycarbonate (PC) | Control | 65.6 ± 0.3 | 117 ± 12 | 68 ± 5 |
| Mid-Range-Exposed | 64.9 ± 0.5 | 112 ± 19 | 65 ± 10 | |
| High-Range-Exposed | 64.7 ± 0.6 | 120 ± 13 | 69 ± 6 | |
| PolyEtherEtherKetone (PEEK) | Control | 116 ± 1 | 81 ± 3 | 16 ± 2 |
| Mid-Range-Exposed | 117 ± 1 | 82 ± 1 | 16.3 ± 0.9 | |
| High-Range-Exposed | 117.2 ± 0.3 | 80 ± 2 | 13.7 ± 0.8 | |
| PolyArylEtherKetone (PAEK) | Control | 101 ± 10 | 94 ± 7 | 39 ± 10 |
| Mid-Range-Exposed | 95 ± 5 | 90 ± 3 | 30 ± 8 | |
| High-Range-Exposed | 112 ± 6 | 112 ± 6 | 50 ± 5 | |
| Polypropylene (PP) | Control | 39 ± 4 | 41 ± 2 | 37 ± 8 |
| Mid-Range-Exposed | 37 ± 5 | 42 ± 2 | 40 ± 6 | |
| High-Range-Exposed | 35 ± 3 | 38 ± 3 | 36 ± 5 |
| Material | Control | Mid-Range-Exposed | High-Range-Exposed |
|---|---|---|---|
| Amorphous Polyester | 78 ± 0 | 78 ± 1 | 79 ± 1 |
| Polysulfone (PSU) | 85 ± 0 | 85 ± 0 | 86 ± 0 |
| Polycarbonate (PC) | 85 ± 0 | 84 ± 1 | 85 ± 0 |
| PolyEtherEtherKetone (PEEK) | 89 ± 1 | 89 ± 1 | 90 ± 0 |
| PolyArylEtherKetone (PAEK) | 88 ± 0 | 89 ± 0 | 88 ± 0 |
| Polypropylene (PP) | 75 ± 0 | 75 ± 0 | 76 ± 0 |
| Material | ΔE Between Control and Mid-Range-Exposed | ΔE Between Control and High-Range-Exposed |
|---|---|---|
| Amorphous Polyester | 1.1 ± 0.3 | 2.0 ± 1.1 |
| Polysulfone (PSU) | 1.0 ± 0.3 | 0.5 ± 0.1 |
| Polycarbonate (PC) | 3.1 ± 0.1 | 4.1 ± 0.1 |
| PolyEtherEtherKetone (PEEK) | 1.2 ± 0.1 | 1.9 ± 0.2 |
| PolyArylEtherKetone (PAEK) | 0.8 ± 0.1 | 1.8 ± 0.1 |
| Polypropylene (PP) | 3.7 ± 0.5 | 4.8 ± 0.1 |
| Material | Nitrate Levels (µg/cm2) | Nitrite Levels (µg/cm2) |
|---|---|---|
| Amorphous Polyester | 90.8 ± 3.1 | 0.065 ± 0.004 |
| Polysulfone (PSU) | 70.7 ± 2.7 | 0.029 ± 0.004 |
| Polycarbonate (PC) | 35.1 ± 0.4 | <LOQ |
| PolyEtherEtherKetone (PEEK) | 18.8 ± 0.9 | 0.073 ± 0.000 |
| PolyArylEtherKetone (PAEK) | 16.5 ± 0.1 | 0.076 ± 0.005 |
| Polypropylene (PP) | 0.412 ± 0.070 | 0.265 ± 0.027 |
| Material | Control Grade | Mid-Range-Exposed Grade | High-Range-Exposed Grade |
|---|---|---|---|
| Amorphous Polyester | 0 | -- * | 0 |
| Polysulfone (PSU) | 0 | -- * | 0 |
| Polycarbonate (PC) | 0 | 0 ** | 0 |
| PEEK | 0 | -- * | 0 |
| PAEK | 0 | -- * | 0 |
| Polypropylene | 0 | 0 | 1 |
| Test | Material | Material Supplier | Samples Tested | Signal Found |
|---|---|---|---|---|
| Initial | Amorphous Polyester (Tecadur MT TR) | Ensinger | 1 | Yes |
| Retest, Dry Ice Storage | 1 | No | ||
| Retest, Dry Ice Storage | 2 | 1 Yes 1 No | ||
| Retest, Dry Ice Storage | Semi-Crystalline Polyethylene Terephthalate Glycol (PETG) | E&T Plastics | 3 | No |
| Crystalline Polyester (Tecapet PET Natural) | Ensinger | 3 | No |
| ΔE Value | Perceptibility | Description |
|---|---|---|
| <1 | Not perceptible | Color difference is imperceptible to the human eye |
| 1–2 | Slight | Only noticeable to trained observers or under controlled conditions |
| 2–3 | Small | Visible when colors are compared side-by-side |
| 3–5 | Moderate | Noticeable under normal viewing conditions |
| 5–10 | Significant | Clear color difference; easily perceived |
| >10 | Major | Colors appear distinctly different |
| Material | Product Name | Supplier |
|---|---|---|
| Amorphous Polyester | Tecadur MT TR | Ensinger (Nufringen, Germany) |
| Polysulfone (PSU) | Tecason S Natural Udel P1700 | Ensinger (Nufringen, Germany) |
| Polycarbonate (PC) | Makrolon 2458 | Covestro (Leverkusen, Germany) |
| PolyEtherEtherKetone (PEEK) | Tecapeek Natural | Ensinger (Nufringen, Germany) |
| PolyArylEtherKetone (PAEK) | Avaspire AV651 | Syensqo (Brussels, Belgium) |
| Polypropylene (PP) | Tecapro MT | Ensinger (Nufringen, Germany) |
| Group | Vacuum Level (Torr) | NO2 Injection (mg/L) | Relative Humidity (%RH) | NO2 Exposure Time (mm:ss) | Exposure Temperature (°C) | Exposure Pressure (Torr) | No. of Pulses |
|---|---|---|---|---|---|---|---|
| Mid-Range | 20 | 15 | 80 | 15:00 | 24 | 590 | 6 |
| High-Range | 20 | 15 | 80 | 15:00 | 24 | 590 | 12 |
| Tolerance | ±10 | ±1.5 | ±10% | ±00:10 | ±1.5 | ±30 | ±0 |
| Grade | Reactivity | Conditions of all Cultures |
|---|---|---|
| 0 | None | Discrete intracytoplasmic granules, no cell lysis, no reduction in cell growth. |
| 1 | Slight | Not more than 20% of the cells are round, are loosely attached and without intracytoplasmic granules, or show changes in morphology; occasional lysed cells are present; only slight growth inhibition observable. |
| 2 | Mild | Not more than 50% of the cells are round or devoid of intracytoplasmic granules; no extensive cell lysis; not more than 50% growth inhibition observed. |
| 3 | Moderate | Not more than 70% of the cell layers contain rounded cells or are lysed; cell layers not completely destroyed, but more than 50% growth inhibition was observed. |
| 4 | Severe | Nearly complete or complete destruction of the cell layers. |
Disclaimer/Publisher’s Note: The statements, opinions and data contained in all publications are solely those of the individual author(s) and contributor(s) and not of MDPI and/or the editor(s). MDPI and/or the editor(s) disclaim responsibility for any injury to people or property resulting from any ideas, methods, instructions or products referred to in the content. |
© 2025 by the authors. Licensee MDPI, Basel, Switzerland. This article is an open access article distributed under the terms and conditions of the Creative Commons Attribution (CC BY) license (https://creativecommons.org/licenses/by/4.0/).
Share and Cite
Ray, N.; Schexnayder, J.D.; Ashfaq, A.; Sarwahrdy, N.; Lisco, D.; Abdollahi Khabisi, M.; Bateman, T.; Sadler, T.; Opie, D.; Al-Sheikhly, M. Drug Delivery Device Design and Compatibility with Nitrogen Dioxide Gas Sterilization. Pharmaceuticals 2025, 18, 1869. https://doi.org/10.3390/ph18121869
Ray N, Schexnayder JD, Ashfaq A, Sarwahrdy N, Lisco D, Abdollahi Khabisi M, Bateman T, Sadler T, Opie D, Al-Sheikhly M. Drug Delivery Device Design and Compatibility with Nitrogen Dioxide Gas Sterilization. Pharmaceuticals. 2025; 18(12):1869. https://doi.org/10.3390/ph18121869
Chicago/Turabian StyleRay, Noelle, Julia Diane Schexnayder, Aiysha Ashfaq, Nusrat Sarwahrdy, Delaney Lisco, Minufar Abdollahi Khabisi, Trevor Bateman, Tom Sadler, David Opie, and Mohamad Al-Sheikhly. 2025. "Drug Delivery Device Design and Compatibility with Nitrogen Dioxide Gas Sterilization" Pharmaceuticals 18, no. 12: 1869. https://doi.org/10.3390/ph18121869
APA StyleRay, N., Schexnayder, J. D., Ashfaq, A., Sarwahrdy, N., Lisco, D., Abdollahi Khabisi, M., Bateman, T., Sadler, T., Opie, D., & Al-Sheikhly, M. (2025). Drug Delivery Device Design and Compatibility with Nitrogen Dioxide Gas Sterilization. Pharmaceuticals, 18(12), 1869. https://doi.org/10.3390/ph18121869

