Ferroptosis, a Distinct Form of Cell Death, and Research Progress on Its Modulators
Abstract
1. Introduction
2. Molecular Mechanisms of Ferroptosis
2.1. Ferroptosis Drivers
2.1.1. Lipid Peroxidation
2.1.2. Disordered Iron Metabolism
2.2. Defense Systems of Ferroptosis
2.2.1. System xc−/GSH/GPX4 Antioxidant Pathway
2.2.2. GPX4-Independent Antioxidant Pathways
3. Ferroptosis Inducers
3.1. Targeting the System xc−/GSH/GPX4 Axis
3.1.1. Erastin and Its Combination Therapy
3.1.2. FA-S Derivative

3.1.3. Sorafenib Derivative
3.1.4. Lepadin E/H
3.1.5. RSL3 Derivatives and RSL3 Combination Therapy
3.1.6. Indirubin Derivative
3.1.7. Tubastatin A
3.1.8. N6F11
3.1.9. Dual-Targeting Compounds Inducing Ferroptosis and Apoptosis
3.2. Targeting Fe2+ and ROS
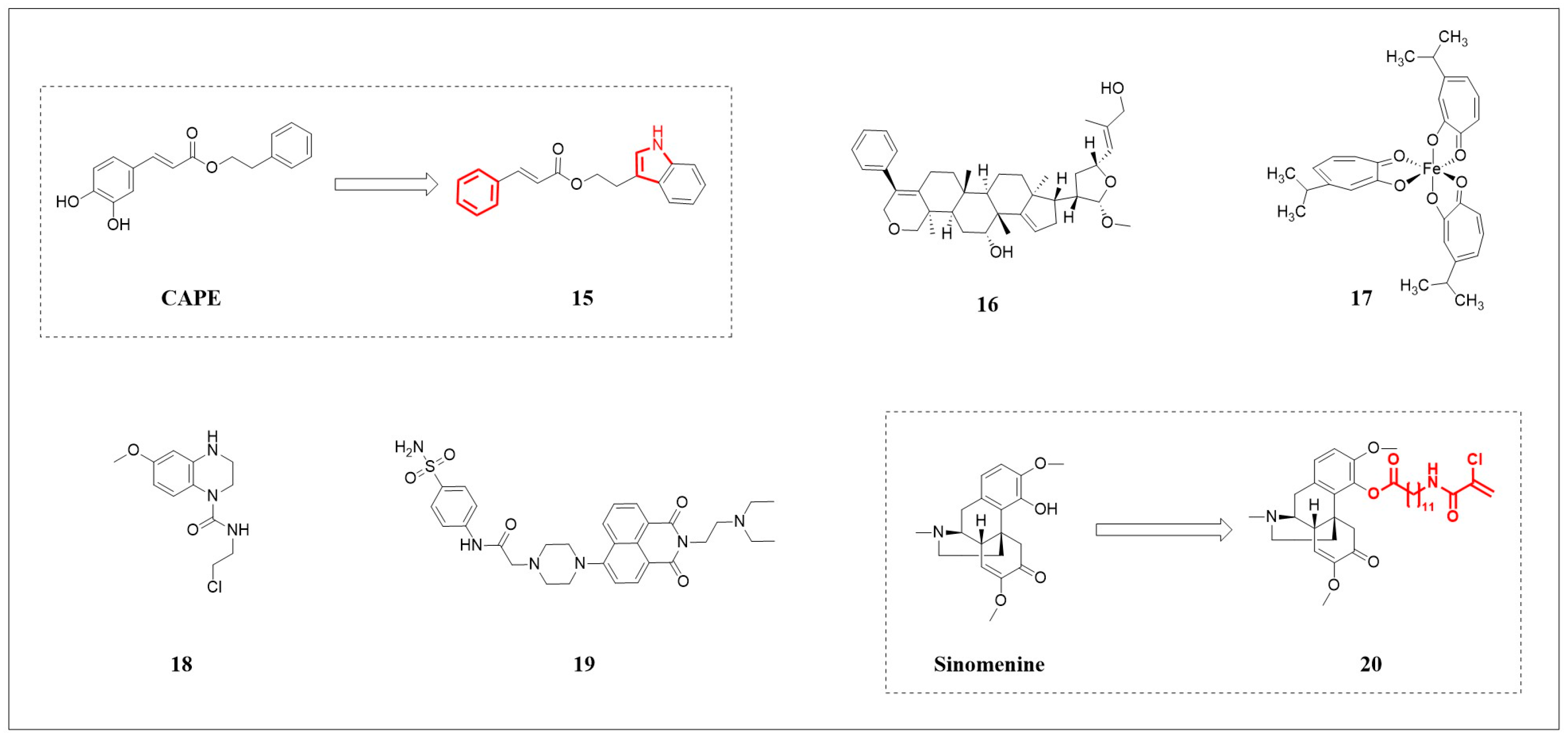
3.2.1. Caffeic Acid Phenethyl Ester (CAPE) Derivative

3.2.2. Pacidusin B
3.2.3. Hinokitiol-Iron Complex (Fe(hino)3)
3.2.4. Urea Derivative
3.2.5. Benzenesulfonamide Derivatives
3.2.6. Sinomenine Derivative
3.3. Targeting Lipid Metabolism
3.3.1. Seco-Lupane Triterpene Derivative

3.3.2. (20S)-Protopanaxatriol
3.3.3. Solanine
3.4. Targeting GPX4-Independent Antioxidant Pathways
3.4.1. Ferroptosis Sensitizer 1 (FSEN1)
3.4.2. Brequinar Derivative
3.4.3. Oxaliplatin–Artesunate Complex (OART)
4. Ferroptosis Inhibitors
4.1. Synthetic Inhibitors
4.1.1. Arylamine Inhibitors
4.1.2. N-Heterocyclic Inhibitors
4.1.3. Phenothiazine and Phenazine Inhibitors
4.1.4. Diphenylbutenyl Inhibitors
4.1.5. Hybrid Inhibitors
4.2. Natural Inhibitors
4.2.1. Polyphenolic Inhibitors
4.2.2. Flavonoid Inhibitors
4.2.3. Hinokitiol
4.2.4. Berberine
4.2.5. 7-Dehydrocholesterol (7-DHC)
5. Discussion and Future Perspectives
Author Contributions
Funding
Data Availability Statement
Conflicts of Interest
References
- Dixon, S.J.; Lemberg, K.M.; Lamprecht, M.R.; Skouta, R.; Zaitsev, E.M.; Gleason, C.E.; Patel, D.N.; Bauer, A.J.; Cantley, A.M.; Yang, W.S.; et al. Ferroptosis: An Iron-Dependent Form of Nonapoptotic Cell Death. Cell 2012, 149, 1060–1072. [Google Scholar] [CrossRef] [PubMed]
- Stockwell, B.R.; Angeli, J.P.F.; Bayir, H.; Bush, A.I.; Conrad, M.; Dixon, S.J.; Fulda, S.; Gascon, S.; Hatzios, S.K.; Kagan, V.E.; et al. Ferroptosis: A Regulated Cell Death Nexus Linking Metabolism, Redox Biology, and Disease. Cell 2017, 171, 273–285. [Google Scholar] [CrossRef] [PubMed]
- Yuan, H.; Li, X.; Zhang, X.; Kang, R.; Tang, D. Identification of ACSL4 as a Biomarker and Contributor of Ferroptosis. Biochem. Biophys. Res. Commun. 2016, 478, 1338–1343. [Google Scholar] [CrossRef] [PubMed]
- Yang, W.S.; SriRamaratnam, R.; Welsch, M.E.; Shimada, K.; Skouta, R.; Viswanathan, V.S.; Cheah, J.H.; Clemons, P.A.; Shamji, A.F.; Clish, C.B.; et al. Regulation of Ferroptotic Cancer Cell Death by GPX4. Cell 2014, 156, 317–331. [Google Scholar] [CrossRef]
- Hu, W.; Liang, K.; Zhu, H.; Zhao, C.; Hu, H.; Yin, S. Ferroptosis and Its Role in Chronic Diseases. Cells 2022, 11, 2040. [Google Scholar] [CrossRef]
- Berndt, C.; Alborzinia, H.; Amen, V.S.; Ayton, S.; Barayeu, U.; Bartelt, A.; Bayir, H.; Bebber, C.M.; Birsoy, K.; Böttcher, J.P.; et al. Ferroptosis in Health and Disease. Redox Biol. 2024, 75, 103211. [Google Scholar] [CrossRef]
- Chen, F.; Kang, R.; Tang, D.; Liu, J. Ferroptosis: Principles and Significance in Health and Disease. J. Hematol. Oncol. 2024, 17, 41. [Google Scholar] [CrossRef]
- Sun, S.; Shen, J.; Jiang, J.; Wang, F.; Min, J. Targeting Ferroptosis Opens New Avenues for the Development of Novel Therapeutics. Sig. Transduct. Target. Ther. 2023, 8, 372. [Google Scholar] [CrossRef]
- Sui, X.; Zhang, R.; Liu, S.; Duan, T.; Zhai, L.; Zhang, M.; Han, X.; Xiang, Y.; Huang, X.; Lin, H.; et al. RSL3 Drives Ferroptosis Through GPX4 Inactivation and ROS Production in Colorectal Cancer. Front. Pharmacol. 2018, 9, 1371. [Google Scholar] [CrossRef]
- Yu, H.; Yang, C.; Jian, L.; Guo, S.; Chen, R.; Li, K.; Qu, F.; Tao, K.; Fu, Y.; Luo, F.; et al. Sulfasalazine-Induced Ferroptosis in Breast Cancer Cells Is Reduced by the Inhibitory Effect of Estrogen Receptor on the Transferrin Receptor. Oncol. Rep. 2019, 42, 826–838. [Google Scholar] [CrossRef]
- Yu, H.; Guo, P.; Xie, X.; Wang, Y.; Chen, G. Ferroptosis, a New Form of Cell Death, and Its Relationships with Tumourous Diseases. J. Cell. Mol. Med. 2017, 21, 648–657. [Google Scholar] [CrossRef] [PubMed]
- Xie, Y.; Hou, W.; Song, X.; Yu, Y.; Huang, J.; Sun, X.; Kang, R.; Tang, D. Ferroptosis: Process and Function. Cell Death Differ. 2016, 23, 369–379. [Google Scholar] [CrossRef] [PubMed]
- Jiang, X.; Stockwell, B.R.; Conrad, M. Ferroptosis: Mechanisms, Biology and Role in Disease. Nat. Rev. Mol. Cell Biol. 2021, 22, 266–282. [Google Scholar] [CrossRef] [PubMed]
- Fang, X.; Wang, H.; Han, D.; Xie, E.; Yang, X.; Wei, J.; Gu, S.; Gao, F.; Zhu, N.; Yin, X.; et al. Ferroptosis as a Target for Protection against Cardiomyopathy. Proc. Natl. Acad. Sci. USA 2019, 116, 2672–2680. [Google Scholar] [CrossRef]
- Qiang, R.R.; Xiang, Y.; Zhang, L.; Bai, X.Y.; Zhang, D.; Li, Y.J.; Yang, Y.L.; Liu, X.L. Ferroptosis: A New Strategy for Targeting Alzheimer’s Disease. Neurochem. Int. 2024, 178, 105773. [Google Scholar] [CrossRef]
- Fine, J.M.; Renner, D.B.; Forsberg, A.C.; Cameron, R.A.; Galick, B.T.; Le, C.; Conway, P.M.; Stroebel, B.M.; Frey, W.H.; Hanson, L.R. Intranasal Deferoxamine Engages Multiple Pathways to Decrease Memory Loss in the APP/PS1 Model of Amyloid Accumulation. Neurosci. Lett. 2015, 584, 362–367. [Google Scholar] [CrossRef]
- Zhou, Q.; Meng, Y.; Li, D.; Yao, L.; Le, J.; Liu, Y.; Sun, Y.; Zeng, F.; Chen, X.; Deng, G. Ferroptosis in Cancer: From Molecular Mechanisms to Therapeutic Strategies. Signal Transduct. Target. Ther. 2024, 9, 55. [Google Scholar] [CrossRef]
- Jiang, M.; Qiao, M.; Zhao, C.; Deng, J.; Li, X.; Zhou, C. Targeting Ferroptosis for Cancer Therapy: Exploring Novel Strategies from Its Mechanisms and Role in Cancers. Transl. Lung Cancer Res. 2020, 9, 1569–1584. [Google Scholar] [CrossRef]
- Cao, J.Y.; Dixon, S.J. Mechanisms of Ferroptosis. Cell. Mol. Life Sci. 2016, 73, 2195–2209. [Google Scholar] [CrossRef]
- Bai, Y.; Meng, L.; Han, L.; Jia, Y.; Zhao, Y.; Gao, H.; Kang, R.; Wang, X.; Tang, D.; Dai, E. Lipid Storage and Lipophagy Regulates Ferroptosis. Biochem. Biophys. Res. Commun. 2019, 508, 997–1003. [Google Scholar] [CrossRef]
- Hirschhorn, T.; Stockwell, B.R. The Development of the Concept of Ferroptosis. Free Radic. Biol. Med. 2019, 133, 130–143. [Google Scholar] [CrossRef]
- Hou, W.; Xie, Y.; Song, X.; Sun, X.; Lotze, M.T.; Zeh, H.J.; Kang, R.; Tang, D. Autophagy Promotes Ferroptosis by Degradation of Ferritin. Autophagy 2016, 12, 1425–1428. [Google Scholar] [CrossRef]
- Knutson, M.D. Non-Transferrin-Bound Iron Transporters. Free Radic. Biol. Med. 2019, 133, 101–111. [Google Scholar] [CrossRef]
- Rouault, T.A. The Role of Iron Regulatory Proteins in Mammalian Iron Homeostasis and Disease. Nat. Chem. Biol. 2006, 2, 406–414. [Google Scholar] [CrossRef] [PubMed]
- Zhang, X.-D.; Liu, Z.-Y.; Wang, M.-S.; Guo, Y.-X.; Wang, X.-K.; Luo, K.; Huang, S.; Li, R.-F. Mechanisms and Regulations of Ferroptosis. Front. Immunol. 2023, 14, 1269451. [Google Scholar] [CrossRef] [PubMed]
- Yao, F.; Cui, X.; Zhang, Y.; Bei, Z.; Wang, H.; Zhao, D.; Wang, H.; Yang, Y. Iron Regulatory Protein 1 Promotes Ferroptosis by Sustaining Cellular Iron Homeostasis in Melanoma. Oncol. Lett. 2021, 22, 657. [Google Scholar] [CrossRef] [PubMed]
- Fan, X.; Li, A.; Yan, Z.; Geng, X.; Lian, L.; Lv, H.; Gao, D.; Zhang, J. From Iron Metabolism to Ferroptosis: Pathologic Changes in Coronary Heart Disease. Oxid. Med. Cell. Longev. 2022, 2022, 6291889. [Google Scholar] [CrossRef]
- Tang, D.; Chen, X.; Kang, R.; Kroemer, G. Ferroptosis: Molecular Mechanisms and Health Implications. Cell Res. 2021, 31, 107–125. [Google Scholar] [CrossRef]
- Murphy, M.P. How Mitochondria Produce Reactive Oxygen Species. Biochem. J. 2009, 417, 1–13. [Google Scholar] [CrossRef]
- Zheng, J.; Conrad, M. The Metabolic Underpinnings of Ferroptosis. Cell Metab. 2020, 32, 920–937. [Google Scholar] [CrossRef]
- Gochenauer, G.E.; Robinson, M.B. Dibutyryl-cAMP (dbcAMP) up-Regulates Astrocytic Chloride-Dependent L-[3H]Glutamate Transport and Expression of Both System xc- Subunits. J. Neurochem. 2001, 78, 276–286. [Google Scholar] [CrossRef] [PubMed]
- Parker, J.L.; Deme, J.C.; Kolokouris, D.; Kuteyi, G.; Biggin, P.C.; Lea, S.M.; Newstead, S. Molecular Basis for Redox Control by the Human Cystine/Glutamate Antiporter System xc-. Nat. Commun. 2021, 12, 7147. [Google Scholar] [CrossRef] [PubMed]
- Lu, S.C. Regulation of Hepatic Glutathione Synthesis. Semin. Liver Dis. 1998, 18, 331–343. [Google Scholar] [CrossRef]
- Fujii, J.; Osaki, T.; Soma, Y.; Matsuda, Y. Critical Roles of the Cysteine-Glutathione Axis in the Production of γ-Glutamyl Peptides in the Nervous System. Int. J. Mol. Sci. 2023, 24, 8044. [Google Scholar] [CrossRef] [PubMed]
- Costa, I.; Barbosa, D.J.; Benfeito, S.; Silva, V.; Chavarria, D.; Borges, F.; Remiao, F.; Silva, R. Molecular Mechanisms of Ferroptosis and Their Involvement in Brain Diseases. Pharmacol. Ther. 2023, 244, 108373. [Google Scholar] [CrossRef]
- Ma, T.; Du, J.; Zhang, Y.; Wang, Y.; Wang, B.; Zhang, T. GPX4-Independent Ferroptosis-a New Strategy in Disease’s Therapy. Cell Death Discov. 2022, 8, 434. [Google Scholar] [CrossRef]
- Guo, J.; Chen, L.; Ma, M. Ginsenoside Rg1 Suppresses Ferroptosis of Renal Tubular Epithelial Cells in Sepsis-Induced Acute Kidney Injury via the FSP1-CoQ10-NAD(P)H Pathway. Curr. Med. Chem. 2024, 31, 2119–2132. [Google Scholar] [CrossRef]
- Mao, C.; Liu, X.; Zhang, Y.; Lei, G.; Yan, Y.; Lee, H.; Koppula, P.; Wu, S.; Zhuang, L.; Fang, B.; et al. DHODH-Mediated Ferroptosis Defence Is a Targetable Vulnerability in Cancer. Nature 2021, 593, 586–590. [Google Scholar] [CrossRef]
- Cronin, S.J.F.; Rao, S.; Tejada, M.A.; Turnes, B.L.; Licht-Mayer, S.; Omura, T.; Brenneis, C.; Jacobs, E.; Barrett, L.; Latremoliere, A.; et al. Phenotypic Drug Screen Uncovers the Metabolic GCH1/BH4 Pathway as Key Regulator of EGFR/KRAS-Mediated Neuropathic Pain and Lung Cancer. Sci. Transl. Med. 2022, 14, eabj1531. [Google Scholar] [CrossRef]
- Yagoda, N.; von Rechenberg, M.; Zaganjor, E.; Bauer, A.J.; Yang, W.S.; Fridman, D.J.; Wolpaw, A.J.; Smukste, I.; Peltier, J.M.; Boniface, J.J.; et al. RAS-RAF-MEK-Dependent Oxidative Cell Death Involving Voltage-Dependent Anion Channels. Nature 2007, 447, 864–868. [Google Scholar] [CrossRef]
- Dixon, S.J.; Patel, D.N.; Welsch, M.; Skouta, R.; Lee, E.D.; Hayano, M.; Thomas, A.G.; Gleason, C.E.; Tatonetti, N.P.; Slusher, B.S.; et al. Pharmacological Inhibition of Cystine–Glutamate Exchange Induces Endoplasmic Reticulum Stress and Ferroptosis. eLife 2014, 3, e02523. [Google Scholar] [CrossRef] [PubMed]
- Hu, Q.; Wei, W.; Wu, D.; Huang, F.; Li, M.; Li, W.; Yin, J.; Peng, Y.; Lu, Y.; Zhao, Q.; et al. Blockade of GCH1/BH4 Axis Activates Ferritinophagy to Mitigate the Resistance of Colorectal Cancer to Erastin-Induced Ferroptosis. Front. Cell. Dev. Biol. 2022, 10, 810327. [Google Scholar] [CrossRef] [PubMed]
- Zheng, Y.; Li, L.; Chen, H.; Zheng, Y.; Tan, X.; Zhang, G.; Jiang, R.; Yu, H.; Lin, S.; Wei, Y.; et al. Luteolin Exhibits Synergistic Therapeutic Efficacy with Erastin to Induce Ferroptosis in Colon Cancer Cells through the HIC1-Mediated Inhibition of GPX4 Expression. Free Radic. Biol. Med. 2023, 208, 530–544. [Google Scholar] [CrossRef] [PubMed]
- Wang, W.; Zhou, L.; Zhang, X.; Li, Z. Mollugin Suppresses Proliferation and Drives Ferroptosis of Colorectal Cancer Cells through Inhibition of Insulin-like Growth Factor 2 mRNA Binding Protein 3/Glutathione Peroxidase 4 Axis. Biomed. Pharmacother. 2023, 166, 115427. [Google Scholar] [CrossRef]
- Bian, Z.; Sun, X.; Liu, L.; Qin, Y.; Zhang, Q.; Liu, H.; Mao, L.; Sun, S. Sodium Butyrate Induces CRC Cell Ferroptosis via the CD44/SLC7A11 Pathway and Exhibits a Synergistic Therapeutic Effect with Erastin. Cancers 2023, 15, 423. [Google Scholar] [CrossRef]
- Fang, Y.; Tan, Q.; Zhou, H.; Xu, J.; Gu, Q. Discovery and Optimization of 2-(Trifluoromethyl)Benzimidazole Derivatives as Novel Ferroptosis Inducers in Vitro and in Vivo. Eur. J. Med. Chem. 2023, 245, 114905. [Google Scholar] [CrossRef]
- Wilhelm, S.M.; Carter, C.; Tang, L.Y.; Wilkie, D.; McNabola, A.; Rong, H.; Chen, C.; Zhang, X.M.; Vincent, P.; McHugh, M.; et al. BAY 43-9006 Exhibits Broad Spectrum Oral Antitumor Activity and Targets the RAF/MEK/ERK Pathway and Receptor Tyrosine Kinases Involved in Tumor Progression and Angiogenesis. Cancer Res. 2004, 64, 7099–7109. [Google Scholar] [CrossRef]
- Coriat, R.; Nicco, C.; Chereau, C.; Mir, O.; Alexandre, J.; Ropert, S.; Weill, B.; Chaussade, S.; Goldwasser, F.; Batteux, F. Sorafenib-Induced Hepatocellular Carcinoma Cell Death Depends on Reactive Oxygen Species Production In Vitro and In Vivo. Mol. Cancer Ther. 2012, 11, 2284–2293. [Google Scholar] [CrossRef]
- Kim, Y.-J.; Lim, B.; Kim, S.Y.; Shin, Y.-Z.; Yu, N.; Shin, E.-K.; Lee, J.-E.; Jeon, Y.H.; Kim, D.-D.; Lee, J.; et al. Remodeling of Sorafenib as an Orally Bioavailable Ferroptosis Inducer for Lung Cancer by Chemical Modification of Adenine-Binding Motif. Biomed. Pharmacother. 2024, 176, 116758. [Google Scholar] [CrossRef]
- Mehta, P.P.; Ozarde, Y.; Gadhave, R.; Swami, A. Selective Optimization of Side Activities (SOSA) as an Efficient Approach for Generation of New Leads from Old Drugs. J. Pharm. Res. Int. 2021, 33, 287–297. [Google Scholar] [CrossRef]
- Wang, W.; Ma, F.; Cheung, Y.T.; Zeng, G.; Zhou, Y.; Chen, Z.; Liang, L.; Luo, T.; Tong, R. Marine Alkaloid Lepadins E and H Induce Ferroptosis for Cancer Chemotherapy. J. Med. Chem. 2023, 66, 11201–11215. [Google Scholar] [CrossRef]
- Yang, W.S.; Stockwell, B.R. Synthetic Lethal Screening Identifies Compounds Activating Iron-Dependent, Nonapoptotic Cell Death in Oncogenic-RAS-Harboring Cancer Cells. Chem. Biol. 2008, 15, 234–245. [Google Scholar] [CrossRef]
- Weiwer, M.; Bittker, J.A.; Lewis, T.A.; Shimada, K.; Yang, W.S.; MacPherson, L.; Dandapani, S.; Palmer, M.; Stockwell, B.R.; Schreiber, S.L.; et al. Development of Small-Molecule Probes That Selectively Kill Cells Induced to Express Mutant RAS. Bioorg. Med. Chem. Lett. 2012, 22, 1822–1826. [Google Scholar] [CrossRef]
- Randolph, J.T.; O’Connor, M.J.; Han, F.; Hutchins, C.W.; Siu, Y.A.; Cho, M.; Zheng, Y.; Hickson, J.A.; Markley, J.L.; Manaves, V.; et al. Discovery of a Potent Chloroacetamide GPX4 Inhibitor with Bioavailability to Enable Target Engagement in Mice, a Potential Tool Compound for Inducing Ferroptosis In Vivo. J. Med. Chem. 2023, 66, 3852–3865. [Google Scholar] [CrossRef]
- Hao, J.; Chen, Q.; Feng, Y.; Jiang, Q.; Sun, H.; Deng, B.; Huang, X.; Guan, J.; Chen, Q.; Liu, X.; et al. Combination Treatment with FAAH Inhibitors/URB597 and Ferroptosis Inducers Significantly Decreases the Growth and Metastasis of Renal Cell Carcinoma Cells via the PI3K-AKT Signaling Pathway. Cell Death Dis. 2023, 14, 247. [Google Scholar] [CrossRef]
- Chen, T.; Leng, J.; Tan, J.; Zhao, Y.; Xie, S.; Zhao, S.; Yan, X.; Zhu, L.; Luo, J.; Kong, L.; et al. Discovery of Novel Potent Covalent Glutathione Peroxidase 4 Inhibitors as Highly Selective Ferroptosis Inducers for the Treatment of Triple-Negative Breast Cancer. J. Med. Chem. 2023, 66, 10036–10059. [Google Scholar] [CrossRef]
- Xu, C.; Xiao, Z.; Wang, J.; Lai, H.; Zhang, T.; Guan, Z.; Xia, M.; Chen, M.; Ren, L.; He, Y.; et al. Discovery of a Potent Glutathione Peroxidase 4 Inhibitor as a Selective Ferroptosis Inducer. J. Med. Chem. 2021, 64, 13312–13326. [Google Scholar] [CrossRef]
- Gu, S.; Yang, G.; Bian, H.; Yang, F.; Zhang, Y.; Huang, Y.; Su, R.; Zhang, H.; Zhao, X.; Liu, J.; et al. Development of a Highly Selective Ferroptosis Inducer Targeting GPX4 with 2-Ethynylthiazole-4-Carboxamide as Electrophilic Warhead. J. Med. Chem. 2025, 68, 3309–3323. [Google Scholar] [CrossRef] [PubMed]
- Zhu, J.-M.; Chen, C.; Kong, M.; Zhu, L.; Li, Y.-L.; Zhang, J.-F.; Yu, Z.-P.; Xu, S.-S.; Kong, L.-Y.; Luo, J.-G. Discovery and Optimization of Indirubin Derivatives as Novel Ferroptosis Inducers for the Treatment of Colon Cancer. Eur. J. Med. Chem. 2023, 261, 115829. [Google Scholar] [CrossRef] [PubMed]
- Liu, S.; Zhang, H.-L.; Li, J.; Ye, Z.-P.; Du, T.; Li, L.-C.; Guo, Y.-Q.; Yang, D.; Li, Z.-L.; Cao, J.-H.; et al. Tubastatin A Potently Inhibits GPX4 Activity to Potentiate Cancer Radiotherapy through Boosting Ferroptosis. Redox Biol. 2023, 62, 102677. [Google Scholar] [CrossRef] [PubMed]
- Li, J.; Liu, J.; Zhou, Z.; Wu, R.; Chen, X.; Yu, C.; Stockwell, B.; Kroemer, G.; Kang, R.; Tang, D. Tumor-Specific GPX4 Degradation Enhances Ferroptosis-Initiated Antitumor Immune Response in Mouse Models of Pancreatic Cancer. Sci. Transl. Med. 2023, 15, eadg3049. [Google Scholar] [CrossRef] [PubMed]
- Ma, F.; Li, Y.; Cai, M.; Yang, W.; Wu, Z.; Dong, J.; Qin, J.-J. ML162 Derivatives Incorporating a Naphthoquinone Unit as Ferroptosis/Apoptosis Inducers: Design, Synthesis, Anti-Cancer Activity, and Drug-Resistance Reversal Evaluation. Eur. J. Med. Chem. 2024, 270, 116387. [Google Scholar] [CrossRef] [PubMed]
- Li, Y.; Zhang, H.; Merkher, Y.; Chen, L.; Liu, N.; Leonov, S.; Chen, Y. Recent Advances in Therapeutic Strategies for Triple-Negative Breast Cancer. J. Hematol. Oncol. 2022, 15, 121. [Google Scholar] [CrossRef]
- Rathert, P.; Roth, M.; Neumann, T.; Muerdter, F.; Roe, J.-S.; Muhar, M.; Deswal, S.; Cerny-Reiterer, S.; Peter, B.; Jude, J.; et al. Transcriptional Plasticity Promotes Primary and Acquired Resistance to BET Inhibition. Nature 2015, 525, 543–547. [Google Scholar] [CrossRef]
- Sui, S.; Zhang, J.; Xu, S.; Wang, Q.; Wang, P.; Pang, D. Ferritinophagy Is Required for the Induction of Ferroptosis by the Bromodomain Protein BRD4 Inhibitor (+)-JQ1 in Cancer Cells. Cell Death Dis. 2019, 10, 331. [Google Scholar] [CrossRef]
- Ding, R.; Tang, L.; Zeng, D.; Li, J.; Jia, Y.; Yan, X.; Zhang, C.; Wu, L. Discovery of Novel JQ1 Derivatives as Dual Ferroptosis and Apoptosis Inducers for the Treatment of Triple-Negative Breast Cancer. Eur. J. Med. Chem. 2025, 286, 117275. [Google Scholar] [CrossRef]
- Ma, L.-F.; Xu, L.; Yuan, L.-J.; Yang, X.; Wu, R.; Bao, S.-M.; Chen, Y.-L.; Duan, H.-L.; Fang, L.; Zhao, H.-J.; et al. Discovery of NO Donor-Aurovertin Hybrids as Dual Ferroptosis and Apoptosis Inducers for Treating Triple Negative Breast Cancer. J. Med. Chem. 2024, 67, 13089–13105. [Google Scholar] [CrossRef]
- Jiang, S.; Deng, C.; Lv, J.; Fan, C.; Hu, W.; Di, S.; Yan, X.; Ma, Z.; Liang, Z.; Yang, Y. Nrf2 Weaves an Elaborate Network of Neuroprotection Against Stroke. Mol. Neurobiol. 2017, 54, 1440–1455. [Google Scholar] [CrossRef]
- Chiang, S.-K.; Chen, S.-E.; Chang, L.-C. A Dual Role of Heme Oxygenase-1 in Cancer Cells. Int. J. Mol. Sci. 2019, 20, 39. [Google Scholar] [CrossRef]
- Suzuki, K.; Tanaka, I.; Nakanishi, I.; Kurematsua, A.; Yakumaru, H.; Ikota, N.; Ishihara, H. Drastic Effect of Several Caffeic Acid Derivatives on the Induction of Heme Oxygenase-1 Expression Revealed by Quantitative Real-Time RT-PCR. Biofactors 2006, 28, 151–158. [Google Scholar] [CrossRef] [PubMed]
- Kim, J.-K.; Jang, H.-D. Nrf2-Mediated HO-1 Induction Coupled with the ERK Signaling Pathway Contributes to Indirect Antioxidant Capacity of Caffeic Acid Phenethyl Ester in HepG2 Cells. Int. J. Mol. Sci. 2014, 15, 12149–12165. [Google Scholar] [CrossRef]
- Consoli, V.; Fallica, A.N.; Virzi, N.F.; Salerno, L.; Intagliata, S.; Sorrenti, V.; Greish, K.; Giuffrida, A.; Vanella, L.; Pittala, V. Synthesis and in Vitro Evaluation of CAPE Derivatives as Ferroptosis Inducers in Triple Negative Breast Cancer. ACS Med. Chem. Lett. 2024, 15, 706–713. [Google Scholar] [CrossRef]
- Zhu, G.; Luo, D.; Zhao, Y.; Xiang, Z.; Chen, C.; Li, N.; Hao, X.; Ding, X.; Zhang, Y.; Zhao, Y. Pacidusin B Isolated from Phyllanthus acidus Triggers Ferroptotic Cell Death in HT1080 Cells. Nat. Products Bioprospect. 2024, 14, 34. [Google Scholar] [CrossRef]
- Zhao, H.; Zhang, M.; Zhang, J.; Sun, Z.; Zhang, W.; Dong, W.; Cheng, C.; Yao, Y.; Li, K. Hinokitiol-Iron Complex Is a Ferroptosis Inducer to Inhibit Triple-Negative Breast Tumor Growth. Cell Biosci. 2023, 13, 87. [Google Scholar] [CrossRef] [PubMed]
- Liang, T.; Dong, H.; Wang, Z.; Lu, L.; Song, X.; Qi, J.; Zhang, Y.; Wang, J.; Du, G. Discovery of Novel Urea Derivatives as Ferroptosis and Autophagy Inducer for Human Colon Cancer Treatment. Eur. J. Med. Chem. 2024, 268, 116277. [Google Scholar] [CrossRef] [PubMed]
- Liang, S.-M.; Liang, G.-B.; Wang, H.-L.; Jiang, H.; Ma, X.-L.; Wei, J.-H.; Huang, R.-Z.; Zhang, Y. Discovery of 4-(N-Dithiobenzyl Piperazine)-1,8-Naphthalimide as a Potent Multi-Target Antitumor Agent with Good Efficacy, Limited Toxicity, and Low Resistance. Eur. J. Med. Chem. 2024, 263, 115937. [Google Scholar] [CrossRef] [PubMed]
- Liang, Q.; Zhang, S.; Liu, J.; Zhou, X.; Syamimi Ariffin, N.; Wei, J.; Shi, C.; Ma, X.; Zhang, Y.; Huang, R. Discovery of Novel 1,8-Naphthalimide Piperazinamide Based Benzenesulfonamides Derivatives as Potent Carbonic Anhydrase IX Inhibitors and Ferroptosis Inducers for the Treatment of Triple-Negative Breast Cancer. Bioorg. Chem. 2024, 150, 107596. [Google Scholar] [CrossRef]
- Zhu, L.; Chen, C.; Cai, Y.; Li, Y.; Gong, L.; Zhu, T.; Kong, L.; Luo, J. Identification of a Ferritinophagy Inducer via Sinomenine Modification for the Treatment of Colorectal Cancer. Eur. J. Med. Chem. 2024, 268, 116250. [Google Scholar] [CrossRef]
- Wang, H.; Wu, D.; Gao, C.; Teng, H.; Zhao, Y.; He, Z.; Chen, W.; Zong, Y.; Du, R. Seco-Lupane Triterpene Derivatives Induce Ferroptosis through GPX4/ACSL4 Axis and Target Cyclin D1 to Block the Cell Cycle. J. Med. Chem. 2022, 65, 10014–10044. [Google Scholar] [CrossRef]
- Chen, Z.; Ni, R.; Hu, Y.; Yang, Y.; Tian, Y. A Natural Protopanaxatriol from Panax notoginseng Enhances Osteosarcoma Sensitivity to Ferroptosis via ASCL4 Upregulation. J. Funct. Food 2024, 122, 106488. [Google Scholar] [CrossRef]
- Ma, X.; Li, Y.; Liang, D.; Jiang, F.; Zhang, L.; Song, W.; Wan, B.; Xia, C.; Lu, Q. Solanine Induces Ferroptosis in Colorectal Cancer Cells through ALOX12B/ADCY4 Molecular Axis. J. Pharm. Pharmacol. 2024, 76, 224–235. [Google Scholar] [CrossRef]
- Hendricks, J.M.; Doubravsky, C.E.; Wehri, E.; Li, Z.; Roberts, M.A.; Deol, K.K.; Lange, M.; Lasheras-Otero, I.; Momper, J.D.; Dixon, S.J.; et al. Identification of Structurally Diverse FSP1 Inhibitors That Sensitize Cancer Cells to Ferroptosis. Cell Chem. Biol. 2023, 30, 1090–1103.e7. [Google Scholar] [CrossRef]
- Koppula, P.; Lei, G.; Zhang, Y.; Yan, Y.; Mao, C.; Kondiparthi, L.; Shi, J.; Liu, X.; Horbath, A.; Das, M.; et al. A Targetable CoQ-FSP1 Axis Drives Ferroptosis- and Radiation-Resistance in KEAP1 Inactive Lung Cancers. Nat. Commun. 2022, 13, 2206. [Google Scholar] [CrossRef] [PubMed]
- Hai, Y.; Fan, R.; Zhao, T.; Lin, R.; Zhuang, J.; Deng, A.; Meng, S.; Hou, Z.; Wei, G. A Novel Mitochondria-Targeting DHODH Inhibitor Induces Robust Ferroptosis and Alleviates Immune Suppression. Pharmacol. Res. 2024, 202, 107115. [Google Scholar] [CrossRef] [PubMed]
- Eling, N.; Reuter, L.; Hazin, J.; Hamacher-Brady, A.; Brady, N.R. Identification of Artesunate as a Specific Activator of Ferroptosis in Pancreatic Cancer Cells. Oncoscience 2015, 2, 517–532. [Google Scholar] [CrossRef]
- Fan, R.; Deng, A.; Lin, R.; Zhang, S.; Cheng, C.; Zhuang, J.; Hai, Y.; Zhao, M.; Yang, L.; Wei, G. A Platinum(IV)-Artesunate Complex Triggers Ferroptosis by Boosting Cytoplasmic and Mitochondrial Lipid Peroxidation to Enhance Tumor Immunotherapy. MedComm 2024, 5, e570. [Google Scholar] [CrossRef]
- Huang, M.; Cao, X.; Jiang, Y.; Shi, Y.; Ma, Y.; Hu, D.; Song, X. Evaluation of the Combined Effect of Artemisinin and Ferroptosis Inducer RSL3 against Toxoplasma gondii. Int. J. Mol. Sci. 2023, 24, 229. [Google Scholar] [CrossRef]
- Hirata, Y.; Okazaki, R.; Sato, M.; Oh-hashi, K.; Takemori, H.; Furuta, K. Effect of Ferroptosis Inhibitors Oxindole-Curcumin Hybrid Compound and N,N-Dimethylaniline Derivatives on Rotenone-Induced Oxidative Stress. Eur. J. Pharmacol. 2022, 928, 175119. [Google Scholar] [CrossRef]
- Fan, Y.; Zhang, Y.; Shi, K.; Cheng, S.; Pei, D.; Shu, X. Identification of a Group of Bisbenzylisoquinoline (BBIQ) Compounds as Ferroptosis Inhibitors. Cell Death Dis. 2022, 13, 1000. [Google Scholar] [CrossRef]
- Devisscher, L.; Van Coillie, S.; Hofmans, S.; Van Rompaey, D.; Goossens, K.; Meul, E.; Maes, L.; De Winter, H.; Van Der Veken, P.; Vandenabeele, P.; et al. Discovery of Novel, Drug-Like Ferroptosis Inhibitors with in Vivo Efficacy. J. Med. Chem. 2018, 61, 10126–10140. [Google Scholar] [CrossRef]
- Scarpellini, C.; Klejborowska, G.; Lanthier, C.; Toye, A.; Musiałek, K.; Van San, E.; Walravens, M.; Berg, M.; Hassannia, B.; Van der Veken, P.; et al. Oxazole-Based Ferroptosis Inhibitors with Promising Properties to Treat Central Nervous System Diseases. J. Med. Chem. 2025, 68, 4908–4928. [Google Scholar] [CrossRef] [PubMed]
- Jiang, X.; Teng, X.; Shi, H.; Cao, L.; He, L.; Gu, Q. Discovery and Optimization of Olanzapine Derivatives as New Ferroptosis Inhibitors. Bioorganic Chem. 2023, 133, 106393. [Google Scholar] [CrossRef] [PubMed]
- Ying, D.; Shen, X.; Wang, S.; Chen, J.; Wu, Z.; Chen, W.; Wang, F.; Min, J.; Yu, Y. Discovery of 4-Hydroxyl Pyrazole Derivatives as Potent Ferroptosis Inhibitors. Eur. J. Med. Chem. 2024, 263, 115913. [Google Scholar] [CrossRef] [PubMed]
- Zhang, J.; Lin, F.; Xiao, Y.; Cen, S.-Y.; Wan, B.-W.; Li, X.; Zhao, Y.; He, Y.; Yuan, H.-X.; Nie, S. Discovery and Optimization of 1,2,4-Triazole Derivatives as Novel Ferroptosis Inhibitors. Eur. J. Med. Chem. 2025, 284, 117192. [Google Scholar] [CrossRef]
- Lu, Y.; Shen, Z.; Xu, Y.; Lin, H.; Shen, L.; Jin, Y.; Guo, Y.; Lu, J.; Li, L.; Zhuang, Y.; et al. Discovery of New Phenyltetrazolium Derivatives as Ferroptosis Inhibitors for Treating Ischemic Stroke: An Example Development from Free Radical Scavengers. J. Med. Chem. 2024, 67, 11712–11731. [Google Scholar] [CrossRef]
- You, J.; Yang, W.; Ma, R.; Xia, A.; Zhang, G.; Fang, Z.; Guo, N.; Yang, S.; Li, L. Discovery of 2-Vinyl-10H-Phenothiazine Derivatives as a Class of Ferroptosis Inhibitors with Minimal Human Ether-a-Go-Go Related Gene (hERG) Activity for the Treatment of DOX-Induced Cardiomyopathy. Bioorg. Med. Chem. Lett. 2022, 74, 128911. [Google Scholar] [CrossRef]
- Bai, X.; Yang, Y.; Luo, Y.; Zhang, D.; Zhai, T.; Hu, Q.; Zhang, N.; Dai, Q.; Liang, J.; Bian, H.; et al. Design and Synthesis of Sulfonamide Phenothiazine Derivatives as Novel Ferroptosis Inhibitors and Their Therapeutic Effects in Spinal Cord Injury. Bioorg. Chem. 2024, 148, 107458. [Google Scholar] [CrossRef]
- Wu, Y.; Yang, L.; You, J.; Tian, C.; Yang, S.; Li, L. Discovery of Phenazine Derivatives as a New Class of Non-Classical Ferroptosis Inhibitors and Efficacy Evaluation on a Mouse Model of Liver Injury. Eur. J. Med. Chem. 2025, 282, 117042. [Google Scholar] [CrossRef]
- Fang, Y.; Tan, Q.; Zhou, H.; Gu, Q.; Xu, J. Discovery of Novel Diphenylbutene Derivative Ferroptosis Inhibitors as Neuroprotective Agents. Eur. J. Med. Chem. 2022, 231, 114151. [Google Scholar] [CrossRef]
- Zhang, C.; Lu, Y.; Zhang, J.; Zang, A.; Ren, J.; Zheng, Z.; Fan, M.; Xie, Y. Novel 3-Hydroxypyridin-4(1H)-One Derivatives as Ferroptosis Inhibitors with Iron-Chelating and Reactive Oxygen Species Scavenging Activities and Therapeutic Effect in Cisplatin-Induced Cytotoxicity. Eur. J. Med. Chem. 2024, 263, 115945. [Google Scholar] [CrossRef]
- Cai, Y.-Z.; Sun, M.; Xing, J.; Luo, Q.; Corke, H. Structure-Radical Scavenging Activity Relationships of Phenolic Compounds from Traditional Chinese Medicinal Plants. Life Sci. 2006, 78, 2872–2888. [Google Scholar] [CrossRef]
- Guenther, M.; Dabare, S.; Fuchs, J.; Gunesch, S.; Hofmann, J.; Decker, M.; Culmsee, C. Flavonoid-Phenolic Acid Hybrids Are Potent Inhibitors of Ferroptosis via Attenuation of Mitochondrial Impairment. Antioxidants 2024, 13, 44. [Google Scholar] [CrossRef] [PubMed]
- Wen, L.; Zhou, T.; Jiang, Y.; Gong, L.; Yang, B. Identification of Prenylated Phenolics in Mulberry Leaf and Their Neuroprotective Activity. Phytomedicine 2021, 90, 153641. [Google Scholar] [CrossRef] [PubMed]
- Sun, Y.; He, L.; Wang, W.; Xie, Z.; Zhang, X.; Wang, P.; Wang, L.; Yan, C.; Liu, Z.; Zhao, J.; et al. Activation of Atg7-Dependent Autophagy by a Novel Inhibitor of the Keap1–Nrf2 Protein–Protein Interaction from Penthorum chinense Pursh. Attenuates 6-Hydroxydopamine-Induced Ferroptosis in Zebrafish and Dopaminergic Neurons. Food Funct. 2022, 13, 7885–7900. [Google Scholar] [CrossRef] [PubMed]
- Yong, Y.; Yan, L.; Wei, J.; Feng, C.; Yu, L.; Wu, J.; Guo, M.; Fan, D.; Yu, C.; Qin, D.; et al. A Novel Ferroptosis Inhibitor, Thonningianin A, Improves Alzheimer’s Disease by Activating GPX4. Theranostics 2024, 14, 6161–6184. [Google Scholar] [CrossRef]
- Luo, L.; Liu, K.; Deng, L.; Wang, W.; Lai, T.; Li, X. Chicoric Acid Acts as an ALOX15 Inhibitor to Prevent Ferroptosis in Asthma. Int. Immunopharmacol. 2024, 142, 113187. [Google Scholar] [CrossRef]
- Sun, X.; Zhang, X.; Yan, H.; Wu, H.; Cao, S.; Zhao, W.; Dong, T.; Zhou, A. Protective Effect of Curcumin on Hepatolenticular Degeneration through Copper Excretion and Inhibition of Ferroptosis. Phytomedicine 2023, 113, 154539. [Google Scholar] [CrossRef]
- Zhou, J.; Zhang, L.; Yan, J.; Hou, A.; Sui, W.; Sun, M. Curcumin Induces Ferroptosis in A549 CD133+ Cells through the GSH-GPX4 and FSP1-CoQ10-NAPH Pathways. Discov. Med. 2023, 35, 251–263. [Google Scholar] [CrossRef]
- Lin, J.; Zhang, Y.; Guan, H.; Li, S.; Sui, Y.; Hong, L.; Zheng, Z.; Huang, M. Myricitrin Inhibited Ferritinophagy-Mediated Ferroptosis in Cisplatin-Induced Human Renal Tubular Epithelial Cell Injury. Front. Pharmacol. 2024, 15, 1372094. [Google Scholar] [CrossRef]
- Wang, Z.; Wang, B.; Jin, X. Amentoflavone Attenuates Homocysteine-Induced Neuronal Ferroptosis-Mediated Inflammatory Response: Involvement of the SLC7A11/GPX4 Axis Activation. Brain Res. Bull. 2024, 215, 111005. [Google Scholar] [CrossRef]
- Xi, J.; Zhang, Z.; Wang, Z.; Wu, Q.; He, Y.; Xu, Y.; Ding, Z.; Zhao, H.; Da, H.; Zhang, F.; et al. Hinokitiol Functions as a Ferroptosis Inhibitor to Confer Neuroprotection. Free Radic. Biol. Med. 2022, 190, 202–215. [Google Scholar] [CrossRef]
- Hong, Y.; Feng, J.; Dou, Z.; Sun, X.; Hu, Y.; Chen, Z.; Liu, L.; Xu, H.; Du, M.; Tang, P.; et al. Berberine as a Novel ACSL4 Inhibitor to Suppress Endothelial Ferroptosis and Atherosclerosis. Biomed. Pharmacother. 2024, 177, 117081. [Google Scholar] [CrossRef]
- Freitas, F.P.; Alborzinia, H.; Dos Santos, A.F.; Nepachalovich, P.; Pedrera, L.; Zilka, O.; Inague, A.; Klein, C.; Aroua, N.; Kaushal, K.; et al. 7-Dehydrocholesterol Is an Endogenous Suppressor of Ferroptosis. Nature 2024, 626, 401–410. [Google Scholar] [CrossRef]
- Li, Y.; Ran, Q.; Duan, Q.; Jin, J.; Wang, Y.; Yu, L.; Wang, C.; Zhu, Z.; Chen, X.; Weng, L.; et al. 7-Dehydrocholesterol Dictates Ferroptosis Sensitivity. Nature 2024, 626, 411–418. [Google Scholar] [CrossRef]







| Classes | Compound Name (Number) | Mechanisms of Action | Related Disease | Refs. |
|---|---|---|---|---|
| Targeting the system xc−/GSH/GPX4 axis | Erastin (1) | Inhibit the activity of system xc− to affect the synthesis of GSH; bind to VDAC2/3 to induce mitochondrial dysfunction | Colorectal cancer | [43,44,45] |
| FA16 (2) | Inhibit the activity of system xc− | Human fibrosarcoma and hepatocellular carcinoma | [46] | |
| Sorafenib derivative (3) | Inhibit the activity of system xc− | Lung cancer | [49] | |
| Lepadin H (4) | Downregulate SLC7A11 and GPX4 expression and upregulate p53 and ACSL4 expression | Human cervical cancer and melanoma | [51] | |
| RSL3 (5) & RSL24 (6) | Covalently bind to GPX4 at the selenocysteine site | Diffuse large B-cell lymphoma and renal carcinoma | [52,53,54,55,87] | |
| C18 (7) | Covalently bind to GPX4 and form hydrogen bonds with other amino acid residues | Triple-negative breast cancer | [56] | |
| R-9i (8) | Covalently bind to GPX4 and form hydrogen bonds with other amino acid residues | Human fibrosarcoma | [58] | |
| Indirubin derivative (9) | Covalently bind to GPX4 and promote its ubiquitination | Colon cancer | [59] | |
| Tubastatin A (10) | Inhibit the activity of GPX4 | Triple-negative breast cancer | [60] | |
| N6F11 (11) | Trigger the ubiquitination-mediated degradation of GPX4 | Pancreatic cancer | [61] | |
| GIC-20 (12) | Dual induction of ferroptosis and apoptosis | Human fibrosarcoma | [62] | |
| JQ1 derivative (13) | Dual induction of ferroptosis and apoptosis | Triple-negative breast cancer | [66] | |
| AVB derivative (14) | Dual induction of ferroptosis and apoptosis | Triple-negative breast cancer | [67] | |
| Targeting Fe2+ and ROS | CAPE derivative (15) | Excessively activate the HO-1 pathway to increase intracellular labile Fe2+ and ROS | Triple-negative breast cancer | [72] |
| Pacidusin B (16) | Excessively activate the HO-1 pathway and inhibit the activity of system xc− | Human fibrosarcoma | [73] | |
| Fe(hino)3 (17) | Act as a redox-active complex to induce the Fenton reaction and deplete GSH | Triple-negative breast cancer | [74] | |
| Urea derivative (18) | Elevate ROS to trigger ferroptosis and autophagy | Colon cancer | [75] | |
| Benzenesulfo-namides derivative (19) | Dual induction of ferroptosis and apoptosis | Triple-negative breast cancer | [77] | |
| Sinomenine derivative (20) | Trigger ferritinophagy and increase intracellular labile Fe2+ | Colorectal cancer | [78] | |
| Targeting lipid metabolism | Seco-lupane triterpene derivative (21) | Upregulate the expression of ACSL4 and downregulate the expression of GPX4 | Hepatocellular carcinoma | [79] |
| (20 S)-Protopanaxatriol (22) | Upregulate ACSL4 transcription | Osteosarcoma | [80] | |
| Solanine (23) | Upregulate the expression of ALOX12B and ALOX5 | Colorectal cancer | [81] | |
| Targeting GPX4-independent antioxidant pathways | FSEN1 (24) | Non-competitively inhibit FSP1 | Lung cancer | [82,83] |
| BRQ derivative (25) | Inhibit DHODH expression to impair mitochondrial function and alleviate immunosuppression | Melanoma | [84] | |
| OART (26) | Inhibit the antioxidant pathways of DHODH and GPX4 | Breast cancer | [86] |
| Source | Structure Classes | Compound Name (Number) | Mechanisms of Action | Related Disease/Model | Refs. |
|---|---|---|---|---|---|
| Synthetic inhibitors | Arylamines | Fer-1 (27) | Capture free radicals and inhibit lipid peroxidation | Ferroptosis model of HT-1080 cells induced by erastin/RSL3 | [1] |
| UAMC-4821 (28) | Capture free radicals and inhibit lipid peroxidation | Ferroptosis model of HT-1080 cells induced by ML162 | [91] | ||
| N-heterocyclic | Thienobenzodiazepine derivative (29) | Capture free radicals and inhibit lipid peroxidation | Ferroptosis model of HT22 cells induced by RSL3 | [92] | |
| HW-3 derivative (30) | Capture free radicals and inhibit lipid peroxidation | Ferroptosis model of HT-1080 cells induced by RSL3 | [93] | ||
| NY-26 (31) | Capture free radicals and inhibit lipid peroxidation | Acute liver injury | [94] | ||
| Phenyltetrazolium derivative (32) | Capture free radicals and inhibit lipid peroxidation | Ischemic stroke | [95] | ||
| Phenothiazines and Phenazines | Phenothiazine derivative (33) | Capture free radicals and inhibit lipid peroxidation | Cardiomyopathy induced by doxorubicin | [96] | |
| Sulfonamide phenothiazine (34) | Capture free radicals and inhibit lipid peroxidation | Spinal cord injury | [97] | ||
| Phenazine derivative (35) | Inhibit ferritinophagy and reduce liable Fe2+ | Drug-induced liver injury | [98] | ||
| Diphenylbutenyl | Diphenylbutenyl derivative (36) | Activate the FSP1-CoQ10 pathway | Ischemic stroke | [99] | |
| Hybrid | 3-hydroxypyridin-4(1H)-one derivative (37) | Chelate intracellular Fe2+ and scavenge free radicals | Acute kidney injury | [100] | |
| UW-MD-190 (38) | Inhibit the activity of mitochondrial complex I and reduce mitochondrial respiration | Ferroptosis model of HT22 cells induced by RSL3/erastin/glutamate | [102] | ||
| Natural inhibitors | Polyphenolic | Moracin N (39) | Inhibiting GSH depletion, prevent GPX4 inactivation, reduce ROS and Fe2+ accumulation | Ferroptosis model of HT22 cells induced by erastin | [103] |
| Thonningianin A (40) | Activate Keap1/Nrf2/HO-1 and AMPK/Nrf2/GPX4 pathways | Parkinson’s disease and Alzheimer’s disease | [104,105] | ||
| Chicoric acid (41) | Inhibit the activity of ALOX15 and inhibit lipid peroxidation | Asthma | [106] | ||
| Flavonoids | Myricitrin (42) | Inhibit ferritinophagy | Acute kidney injury | [109] | |
| Amentoflavone (43) | Activate the system xc−/GPX4 axis | Nerve injury induced by homocysteine | [110] | ||
| ______ | Hinokitiol (44) | Chelate intracellular Fe2+ and activate the Nrf2/ARE signaling pathway | Parkinson’s disease | [111] | |
| ______ | Berberine (45) | Inhibit the activity of ACSL4 and inhibit lipid peroxidation | Atherosclerosis | [112] | |
| ______ | 7-DHC (46) | Scavenge free radicals and inhibit lipid peroxidation | Renal ischemia-reperfusion injury | [113,114] |
Disclaimer/Publisher’s Note: The statements, opinions and data contained in all publications are solely those of the individual author(s) and contributor(s) and not of MDPI and/or the editor(s). MDPI and/or the editor(s) disclaim responsibility for any injury to people or property resulting from any ideas, methods, instructions or products referred to in the content. |
© 2025 by the authors. Licensee MDPI, Basel, Switzerland. This article is an open access article distributed under the terms and conditions of the Creative Commons Attribution (CC BY) license (https://creativecommons.org/licenses/by/4.0/).
Share and Cite
Chen, J.; Gou, Z.; Yang, G.; Zhou, L.; Kim, A.N.; Shi, W.; Zhou, Y. Ferroptosis, a Distinct Form of Cell Death, and Research Progress on Its Modulators. Pharmaceuticals 2025, 18, 1785. https://doi.org/10.3390/ph18121785
Chen J, Gou Z, Yang G, Zhou L, Kim AN, Shi W, Zhou Y. Ferroptosis, a Distinct Form of Cell Death, and Research Progress on Its Modulators. Pharmaceuticals. 2025; 18(12):1785. https://doi.org/10.3390/ph18121785
Chicago/Turabian StyleChen, Junwei, Zhonglang Gou, Guoxin Yang, Lingli Zhou, An Na Kim, Wenchao Shi, and You Zhou. 2025. "Ferroptosis, a Distinct Form of Cell Death, and Research Progress on Its Modulators" Pharmaceuticals 18, no. 12: 1785. https://doi.org/10.3390/ph18121785
APA StyleChen, J., Gou, Z., Yang, G., Zhou, L., Kim, A. N., Shi, W., & Zhou, Y. (2025). Ferroptosis, a Distinct Form of Cell Death, and Research Progress on Its Modulators. Pharmaceuticals, 18(12), 1785. https://doi.org/10.3390/ph18121785

