Impact of Ethanol on Electrostatic Behaviour of Fluorocarbon Pharmaceutical Propellants
Abstract
1. Introduction
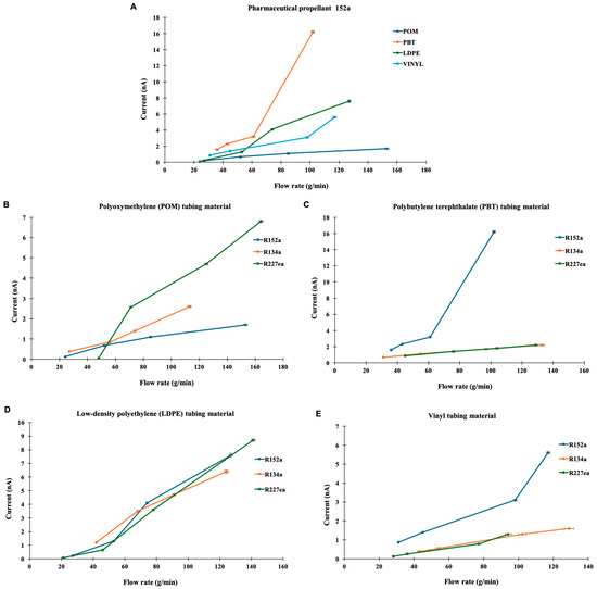
2. Results and Discussion
3. Materials and Methods
3.1. Materials
3.2. Methods
3.2.1. Flow-Through Cell
3.2.2. Preparation of Samples
3.2.3. Performing the Flow-Through Cell Tests
3.2.4. Simulation Method
Simulation of Current from 152a + Ethanol Mixture Through LDPE
3.2.5. Statistical Analysis
4. Conclusions
Author Contributions
Funding
Institutional Review Board Statement
Informed Consent Statement
Data Availability Statement
Acknowledgments
Conflicts of Interest
References
- Kim, W.-G.; Kim, D.-W.; Tcho, I.-W.; Kim, J.-K.; Kim, M.-S.; Choi, Y.-K. Triboelectric Nanogenerator: Structure, Mechanism, and Applications. ACS Nano 2021, 15, 258–287. [Google Scholar] [CrossRef]
- Hoe, S.; Young, P.M.; Traini, D. A Review of Electrostatic Measurement Techniques for Aerosol Drug Delivery to the Lung: Implications in Aerosol Particle Deposition. J. Adhes. Sci. Technol. 2011, 25, 385–405. [Google Scholar] [CrossRef]
- Kim, D.W.; Lee, J.H.; Kim, J.K.; Jeong, U. Material Aspects of Triboelectric Energy Generation and Sensors. NPG Asia Mater. 2020, 12, 6. [Google Scholar] [CrossRef]
- Stein, S.W.; Sheth, P.; Hodson, P.D.; Myrdal, P.B. Advances in Metered Dose Inhaler Technology: Hardware Development. AAPS PharmSciTech 2014, 15, 326–338. [Google Scholar] [CrossRef] [PubMed]
- Chen, Y.; Lenggoro, I.W.; Okuyama, K.; Chow, M.Y.T.; Kwok, P.C.L.; Chan, H.-K. The Effect of Active Pharmaceutical Ingredients on Aerosol Electrostatic Charges from Pressurized Metered Dose Inhalers. Pharm. Res. 2015, 32, 2928–2936. [Google Scholar] [CrossRef] [PubMed]
- Chen, Y.; Chow, M.Y.T.; Kwok, P.C.L.; Chan, H.-K. The Effect of Actuator Nozzle Designs on the Electrostatic Charge Generated in Pressurised Metered Dose Inhaler Aerosols. Pharm. Res. 2014, 32, 1237–1248. [Google Scholar] [CrossRef] [PubMed][Green Version]
- Armitage, J.L. Tribology and the Triboelectric Effect: A study into the Influence of Tribological Factors on Frictional Electrification. Ph.D. Thesis, University of Leeds, Leeds, UK, 2022. [Google Scholar]
- Yudaev, P.A.; Tamboura, B.; Chistyakov, E.M. Antistatic polymer materials. Nanotekhnol. Stroit. 2023, 15, 139–151. [Google Scholar] [CrossRef]
- Berkenfeld, K.; Garmany, R.; Eckert, F.; Wagner, K.G. Formulation Strategies, Preparation Methods, and Devices for Pulmonary Delivery of Biologics. Eur. J. Pharm. Biopharm. 2024, 204, 114530. [Google Scholar] [CrossRef]
- Lavorini, F.; Fontana, G.A. Targeting Drugs to the Airways: The Role of Spacer Devices. Expert Opin. Drug Deliv. 2009, 6, 91–102. [Google Scholar] [CrossRef]
- Mitchell, J.; Coppolo, D.; Nagel, M. Electrostatics and Inhaled Medications: Influence on Delivery via Pressurized Metered-Dose Inhalers and Add-on Devices. Respir. Care 2007, 52, 283–300. [Google Scholar]
- Said, A.S.A.; AbuRuz, S.; Chrystyn, H. Bioavailability of Beclometasone from Two HFA-BDP Formulations with a Spacer. Respir. Care 2019, 64, 1222–1230. [Google Scholar] [CrossRef]
- Groves, M.J.; Alkan, M.H.; Deer, M.A. The Evaluation of a Column-Type Dissolution Apparatus. J. Pharm. Pharmacol. 1975, 27, 400–407. [Google Scholar] [CrossRef]
- Gavtash, B.; Ismail, H.; Traini, D.; Young, P.M.; Finlay, W.H.; Longest, P.W. A Model of Transient Internal Flow and Atomization of Propellant/Ethanol Mixtures in Pressurized Metered Dose Inhalers (pMDI). Aerosol Sci. Technol. 2018, 52, 494–504. [Google Scholar] [CrossRef]
- Haynes, W.M. CRC Handbook of Chemistry and Physics, 97th ed.; CRC Press: Boca Raton, FL, USA, 2016. [Google Scholar]
- Ekeberg, D.; Jablonska-Jentoft, A.M. Ion–Neutral Reactions in the Ion Source of a Mixture of CO2/CH3OH, CO2/C2H5OH, and CO2/2-C3H7OH by Packed Capillary Supercritical Fluid Chromatography–Mass Spectrometry (SFC–MS). J. Am. Soc. Mass Spectrom. 2007, 18, 2173–2179. [Google Scholar] [CrossRef]
- Wildhaber, J.H.; Devadason, S.G.; Eber, E.; Hayden, M.J.; Everard, M.L.; Summers, Q.A.; Le Souëf, P.N. Effect of Electrostatic Charge, Flow, Delay and Multiple Actuations on the In Vitro Delivery of Salbutamol from Different Small Volume Spacers for Infants. Thorax 1996, 51, 985–988. [Google Scholar] [CrossRef]
- Bensch, L.; Day, M. Electrostatic charge generation-in hydraulic and lubrication systems. Pract. Oil Anal. Mag. 2005, 11, 16–20. [Google Scholar]
- Ahmad, H.; Rasekh, M.; Manivannan, N.; Balachandran, W. Liquid Resistivity of Pharmaceutical Propellants Using Novel Resistivity Cell. Sci. Rep. 2023, 13, 19122. [Google Scholar] [CrossRef]
- Zou, H.; Zhang, Y.; Guo, L.; Wang, Z.L. Quantifying and Understanding the Triboelectric Series of Inorganic Non-Metallic Materials. Nat. Commun. 2020, 11, 2093. [Google Scholar] [CrossRef]
- Zou, H.; Zhang, Y.; Guo, L.; Wang, Z.L. Quantifying the Triboelectric Series. Nat. Commun. 2019, 10, 1427. [Google Scholar] [CrossRef]
- Sahu, S.S.; Ghosh, D.; Bhattacharyya, S.; Barman, A.; Bhattacharyya, T.K. Influence of Molecular Size and Zeta Potential in Electrokinetic Biosensing. Biosens. Bioelectron. 2020, 152, 112005. [Google Scholar] [CrossRef]
- Riad, A.; Khorshidi, B.; Sadrzadeh, M. Analysis of Streaming Potential Flow and Electroviscous Effect in a Shear-Driven Charged Slit Microchannel. Sci. Rep. 2020, 10, 18317. [Google Scholar] [CrossRef]
- Wildhaber, J.H.; Waterer, G.W.; Hall, G.L.; Summers, Q.A. Reducing Electrostatic Charge on Spacer Devices and Bronchodilator Response. Br. J. Clin. Pharmacol. 2000, 50, 277–280. [Google Scholar] [CrossRef]
- Zhao, Z.; Zhou, L.; Li, S.; Liu, D.; Li, Y.; Gao, Y.; Liu, Y.; Dai, Y.; Wang, J.; Wang, Z.L. Selection rules of triboelectric materials for direct-current triboelectric nanogenerator. Nat. Commun. 2021, 12, 4686. [Google Scholar] [CrossRef]
- Castle, G.S.P. Contact charging between insulators. J. Electrostat. 1997, 40, 13–20. [Google Scholar] [CrossRef]
- Park, C.H.; Park, J.K.; Jeon, H.S.; Chun, B.C. Triboelectric series and charging properties of plastics using the designed vertical-reciprocation charger. J. Electrostat. 2008, 66, 578–583. [Google Scholar] [CrossRef]
- Kneissl, L.M.; Joffe, R.; Kalin, M.; Emami, N. Improving the Tribological Performance of POM Through the Incorporation of Bio-Based Materials. Polymers 2024, 16, 2310. [Google Scholar] [CrossRef]
- Vervaet, C.; Byron, P.R. Drug–surfactant–propellant interactions in HFA-formulations. Int. J. Pharm. 1999, 186, 13–30. [Google Scholar]
- Santos, F.J.V.; Pai-Panandiker, R.S.; De Castro, C.N.; Mardolcar, U.V. Dielectric properties of alternative refrigerants. IEEE Trans. Dielectr. Electr. Insul. 2006, 13, 503–511. [Google Scholar] [CrossRef]
- Šutka, A.; Lapčinskis, L.; He, D.; Kim, H.; Berry, J.D.; Bai, J.; Knite, M.; Ellis, A.V.; Jeong, C.K.; Sherrell, P.C. Engineering polymer interfaces: A review toward controlling triboelectric surface charge. Adv. Mater. Interfaces 2023, 10, 2300323. [Google Scholar] [CrossRef]
- Meng, Z.; Li, N.; Chen, X. Exploring Triboelectric Polymers: Strategies for Performance Optimization and Long-Term Stability. Small Methods 2025, e01487. [Google Scholar] [CrossRef]
- Pham, N.T.H. Characterization of low-density polyethylene and LDPE-based/ethylene-vinyl acetate with medium content of vinyl acetate. Polymers 2021, 13, 2352. [Google Scholar] [CrossRef]
- Baytekin, H.T.; Patashinski, A.Z.; Branicki, M.; Baytekin, B.; Soh, S.; Grzybowski, B.A. The mosaic of surface charge in contact electrification. Science 2011, 333, 308–312. [Google Scholar] [CrossRef]
- Harper, W.R. Contact and Frictional Electrification; Laplacian Press: Morgan Hill, CA, USA, 1998. [Google Scholar]
- Hunter, R.J. Zeta Potential in Colloid Science: Principles and Applications; Academic Press: Cambridge, MA, USA, 2013; Volume 2. [Google Scholar]
- Mirbozorgi, S.A.; Niazmand, H.; Renksizbulut, M. Streaming electric potential in pressure-driven flows through reservoir-connected microchannels. J. Fluids Eng. 2007, 129, 1346–1357. [Google Scholar] [CrossRef]
- Yu, Y.; Li, H.; Zhao, D.; Gao, Q.; Li, X.; Wang, J.; Wang, Z.L.; Cheng, T. Material’s selection rules for high performance triboelectric nanogenerators. Mater. Today 2023, 64, 61–71. [Google Scholar] [CrossRef]
- Burgo, T.A.; Ducati, T.R.; Francisco, K.R.; Clinckspoor, K.J.; Galembeck, F.; Galembeck, S.E. Triboelectricity: Macroscopic charge patterns formed by self-arraying ions on polymer surfaces. Langmuir 2012, 28, 7407–7416. [Google Scholar] [CrossRef]
- Wu, J. Understanding the electric double-layer structure, capacitance, and charging dynamics. Chem. Rev. 2022, 122, 10821–10859. [Google Scholar] [CrossRef]
- Xu, Z.; Wang, W.; Cao, Y.; Xue, B. Liquid-liquid phase separation: Fundamental physical principles, biological implications, and applications in supramolecular materials engineering. Supramol. Mater. 2023, 2, 100049. [Google Scholar] [CrossRef]
- Guo, H.; Chen, X.; Yao, Y.; Du, G.; Li, H. Detection of ethanol and methanol vapors using polymer-coated piezoresistive Si bridge. Sens. Actuators B Chem. 2011, 155, 519–523. [Google Scholar] [CrossRef]
- Cowen, T.; Grammatikos, S.; Cheffena, M. Highly selective ethanol vapour sensing materials for a new generation of gas sensors based on molecularly imprinted polymers. Talanta 2025, 281, 126902. [Google Scholar] [CrossRef]
- Balmer, R.T. Electrostatic Generation in Dielectric Fluids: The Viscoelectric Effect. In Proceedings of the World Tribology Congress III, Washington, DC, USA, 12–16 September 2005; Volume 42010, pp. 521–527. [Google Scholar]
- Zmarzły, D.; Frącz, P. Measurement of dielectric liquid electrification in the shuttle system with two parallel electrodes. Energies 2021, 14, 970. [Google Scholar] [CrossRef]
- Yoo, D.; Jang, S.; Cho, S.; Choi, D.; Kim, D.S. A Liquid Triboelectric Series. Adv. Mater. 2023, 35, 2300699. [Google Scholar] [CrossRef]
- Fourie, F. Limitations of the Helmholtz–Smoluchowski Equation in Electroseismics. In Proceedings of the 10th SAGA Biennial Technical Meeting and Exhibition, Wild Coast, South Africa, 22–27 October 2007; European Association of Geoscientists & Engineers: Utrecht, The Netherlands, 2007. [Google Scholar] [CrossRef]
- Blees, M.H. Foundations of Colloid Science: R.J. Hunter, second ed., Clarendon Press, Oxford, 2001. 806 pp., ISBN 0-19-850502-7; £ 60.00. Colloids Surf. A Physicochem. Eng. Asp. 2002, 210, 125. [Google Scholar] [CrossRef]
- Shao, J.; Willatzen, M.; Wang, Z.L. Theoretical Modeling of Triboelectric Nanogenerators (TENGs). J. Appl. Phys. 2020, 128, 111101. [Google Scholar] [CrossRef]
- National Center for Biotechnology Information. PubChem Compound Summary for CID 702, Ethanol. Available online: https://pubchem.ncbi.nlm.nih.gov/compound/Ethanol (accessed on 16 September 2025).
- Lide, D.R. (Ed.) CRC Handbook of Chemistry and Physics, 84th ed.; CRC Press: Boca Raton, FL, USA, 2003; p. 2616. ISBN 0-8493-0484-9. [Google Scholar]
- Wiącek, A.E.; Chibowski, E. Zeta Potential and Droplet Size of n-Tetradecane/Ethanol (Protein) Emulsions. Colloids Surf. B: Biointerfaces 2002, 25, 55–67. [Google Scholar] [CrossRef]
- Breite, D.; Went, M.; Prager, A.; Schulze, A. The critical zeta potential of polymer membranes: How electrolytes impact membrane fouling. RSC Adv. 2016, 6, 98180–98189. [Google Scholar] [CrossRef]
- Zanoni, I.; Briccolani, L.; Faccani, L.; Blosi, M.; Ortelli, S.; Crosera, M.; Marussi, G.; Albonetti, S.; Costa, A.L. Characterization of polyethylene and polyurethane microplastics and their adsorption behavior on Cu2+ and Fe3+ in environmental matrices. Environ. Sci. Eur. 2025, 37, 1–11. [Google Scholar] [CrossRef]
- Pisano, A. From Tubes and Catheters to the Basis of Hemodynamics: Viscosity and Hagen–Poiseuille Equation. In Physics for Anesthesiologists and Intensivists: From Daily Life to Clinical Practice; Springer: Cham, Switzerland, 2021; pp. 89–98. [Google Scholar] [CrossRef]
- Moreau, O.; Cabaleiro, J.M.; Paillat, T.; Artana, G.; Touchard, G. Influence of the Wall Shearing Stress on Flow Electrification. In Proceedings of the International Symposium on Non Thermal Plasmas Electrical Discharges and Dielectric Material, Reunion Island, France, 26–29 October 2016. [Google Scholar]
- Xie, H.; Saito, T.; Hickner, M.A. Zeta Potential of Ion-Conductive Membranes by Streaming Current Measurements. Langmuir 2011, 27, 4721–4727. [Google Scholar] [CrossRef] [PubMed]








| Variance | R134a | R152a | R227ea |
|---|---|---|---|
| LDPE | 4.776667 | 0.050229 | 15.53723 |
| PBT | 0.444122 | 48.26917 | 0.322734 |
| POM | 0.91406 | 0.443895 | 8.34374 |
| VINYL | 0.339109 | 4.530149 | 0.286834 |
| R152a | |||||||
|---|---|---|---|---|---|---|---|
| POM | PBT | LDPE | VINYL | ||||
| Flow Rate (g/min) | Current (amp) | Flow Rate (g/min) | Current (amp) | Flow Rate (g/min) | Current (amp) | Flow Rate (g/min) | Current (amp) |
| 24 | 123 pA | 61 | 3.2 nA | 53 | 1.3 nA | 45 | 1.4 nA |
| 52 | 681 pA | 36 | 1.6 nA | 74 | 4.1 nA | 98 | 3.1 nA |
| 85 | 1.1 nA | 43 | 2.3 nA | 127 | 7.6 nA | 117 | 5.6 nA |
| 153 | 1.7 nA | 102 | 16.2 nA | 27 | 233 pA | 31 | 873 pA |
| Propellant | Common Name | Molecular Formula | Relative Permittivity | Density (kg/m3) | Viscosity (Pa·s) | Propellant Resistivity (Ω·m) |
|---|---|---|---|---|---|---|
| R152a | 1,1-Difluoroethane | C2H4F2 | 1.004 | 899 | 0.00031 | 2.37 × 109 |
| R134a | 1,1,1,2-Tetrafluoroethane | C2H2F4 | 1.15–1.22 | 1206.7 | 0.00050 | 3.02 × 1010 |
| R227ea | 1,1,1,2,3,3,3-Heptafluoropropane | C3HF7 | 1.25–1.29 | 1590.6 | 0.00076 | 1.31 × 1010 |
Disclaimer/Publisher’s Note: The statements, opinions and data contained in all publications are solely those of the individual author(s) and contributor(s) and not of MDPI and/or the editor(s). MDPI and/or the editor(s) disclaim responsibility for any injury to people or property resulting from any ideas, methods, instructions or products referred to in the content. |
© 2025 by the authors. Licensee MDPI, Basel, Switzerland. This article is an open access article distributed under the terms and conditions of the Creative Commons Attribution (CC BY) license (https://creativecommons.org/licenses/by/4.0/).
Share and Cite
Ranatunge, L.; Rasekh, M.; Ahmad, H.; Balachandran, W. Impact of Ethanol on Electrostatic Behaviour of Fluorocarbon Pharmaceutical Propellants. Pharmaceuticals 2025, 18, 1755. https://doi.org/10.3390/ph18111755
Ranatunge L, Rasekh M, Ahmad H, Balachandran W. Impact of Ethanol on Electrostatic Behaviour of Fluorocarbon Pharmaceutical Propellants. Pharmaceuticals. 2025; 18(11):1755. https://doi.org/10.3390/ph18111755
Chicago/Turabian StyleRanatunge, Lochana, Manoochehr Rasekh, Hussein Ahmad, and Wamadeva Balachandran. 2025. "Impact of Ethanol on Electrostatic Behaviour of Fluorocarbon Pharmaceutical Propellants" Pharmaceuticals 18, no. 11: 1755. https://doi.org/10.3390/ph18111755
APA StyleRanatunge, L., Rasekh, M., Ahmad, H., & Balachandran, W. (2025). Impact of Ethanol on Electrostatic Behaviour of Fluorocarbon Pharmaceutical Propellants. Pharmaceuticals, 18(11), 1755. https://doi.org/10.3390/ph18111755

