Increased Free Radical Generation during the Interaction of a Quinone-Quinoline Chelator with Metal Ions and the Enhancing Effect of Light
Abstract
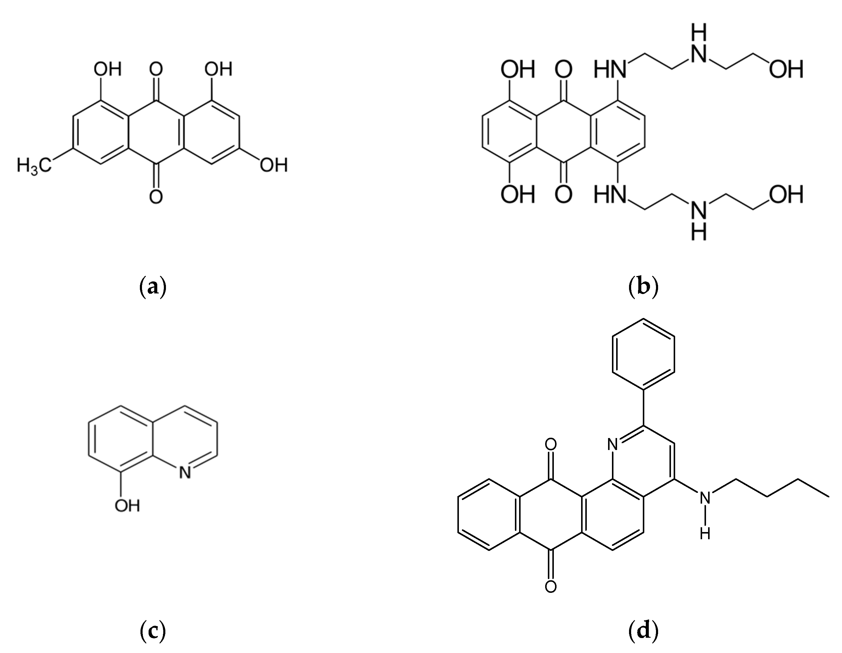
1. Introduction
2. Results and Discussion
2.1. Formation of the Semiquinone Radical in Dark Conditions in the Presence of Reducing Agents
2.2. Formation of the Semiquinone Radical in the Presence of Light
3. Materials and Methods
4. Conclusions
Author Contributions
Funding
Institutional Review Board Statement
Informed Consent Statement
Data Availability Statement
Acknowledgments
Conflicts of Interest
Abbreviations
| CIDNP | chemically induced dynamic nuclear polarization |
| DHP | 2,6-dimethyl-3,5-dicarbmethoxy-1,4-dihydropyridine |
| EPR | electron paramagnetic resonance |
| GSH | glutathione |
| ISC | intersystem crossing |
| MeOD or CD3OD | deuterated methanol |
| NADH | nicotinamide adenine dinucleotide |
| NMR | nuclear magnetic resonance |
| RP | radical pair |
| Pyr | pyridine product |
| ROS | reactive oxygen species |
| Q1 | 2-phenyl-4-(butylamino)naphtho [2,3-h]quinoline- 7,12-dione |
| 3Q1 | quinone triplet state |
References
- Sung, H.; Ferlay, J.; Siegel, R.L.; Laversanne, M.; Soerjomataram, I.; Jemal, A.; Bray, F. Global Cancer Statistics 2020: GLOBOCAN Estimates of Incidence and Mortality Worldwide for 36 Cancers in 185 Countries. CA Cancer J. Clin. 2021, 71, 209–249. [Google Scholar] [CrossRef] [PubMed]
- Kankeu, C.; Clarke, K.; Passante, E.; Huber, H.J. Doxorubicin-induced chronic dilated cardiomyopathy—The apoptosis hypothesis revisited. J. Mol. Med. 2017, 95, 239–248. [Google Scholar] [CrossRef] [PubMed]
- Hrelia, S.; Fiorentini, D.; Maraldi, T.; Angeloni, C.; Bordoni, A.; Biagi, P.L.; Hakim, G. Doxorubicin induces early lipid peroxidation associated with changes in glucose transport in cultured cardiomyocytes. Biochim. Biophys. Acta-Biomembr. 2002, 1567, 150–156. [Google Scholar] [CrossRef] [PubMed]
- Bhattacharya, B.; Mukherjee, S.; Bhattacharya, B.; Mukherjee, S. Cancer Therapy Using Antibiotics. J. Cancer Ther. 2015, 6, 849–858. [Google Scholar] [CrossRef]
- Polyakov, N.; Leshina, T.; Fedenok, L.; Slepneva, I.; Kirilyuk, I.; Furso, J.; Olchawa, M.; Sarna, T.; Elas, M.; Bilkis, I.; et al. Redox-Active Quinone Chelators: Properties, Mechanisms of Action, Cell Delivery, and Cell Toxicity. Antioxid. Redox Signal. 2018, 28, 1394–1403. [Google Scholar] [CrossRef]
- Beretta, G.L.; Zunino, F. Molecular mechanisms of anthracycline activity. Top. Curr. Chem. 2008, 283, 1–19. [Google Scholar] [CrossRef]
- Al-Aamri, H.M.; Ku, H.; Irving, H.R.; Tucci, J.; Meehan-Andrews, T.; Bradley, C. Time dependent response of daunorubicin on cytotoxicity, cell cycle and DNA repair in acute lymphoblastic leukaemia. BMC Cancer 2019, 19, 179. [Google Scholar] [CrossRef]
- Mitra, S.; Nguyen, L.N.; Akter, M.; Park, G.; Choi, E.H.; Kaushik, N.K. Impact of ROS Generated by Chemical, Physical, and Plasma Techniques on Cancer Attenuation. Cancers 2019, 11, 1030. [Google Scholar] [CrossRef]
- Gilliam, L.A.A.; Moylan, J.S.; Patterson, E.W.; Smith, J.D.; Wilson, A.S.; Rabbani, Z.; Reid, M.B. Doxorubicin acts via mitochondrial ROS to stimulate catabolism in C2C12 myotubes. Am. J. Physiol. Cell Physiol. 2012, 302, 195–202. [Google Scholar] [CrossRef]
- Carmichael, A.J.; Mossoba, M.M.; Riesz, P. Photogeneration of superoxide by adriamycin and daunomycin: An electron spin resonance and spin trapping study. FEBS Lett. 1983, 164, 401–405. [Google Scholar] [CrossRef]
- Lo, Y.L.; Wang, W. Formononetin potentiates epirubicin-induced apoptosis via ROS production in HeLa cells in vitro. Chem. Biol. Interact. 2013, 205, 188–197. [Google Scholar] [CrossRef]
- Pang, M.J.; Yang, Z.; Zhang, X.L.; Liu, Z.F.; Fan, J.; Zhang, H.Y. Physcion, a naturally occurring anthraquinone derivative, induces apoptosis and autophagy in human nasopharyngeal carcinoma. Acta Pharmacol. Sin. 2016, 37, 1623–1640. [Google Scholar] [CrossRef] [PubMed]
- Doroshow, J.H. Mechanisms of Anthracycline-Enhanced Reactive Oxygen Metabolism in Tumor Cells. Oxid. Med. Cell. Longev. 2019, 2019, 9474823. [Google Scholar] [CrossRef] [PubMed]
- Davies, K.J.A.; Doroshow, J.H. Redox cycling of anthracyclines by cardiac mitochondria. I. Anthracycline radical formation by NADH dehydrogenase. J. Biol. Chem. 1986, 261, 3060–3067. [Google Scholar] [CrossRef]
- Nguyen, B.; Gutierrez, P.L. Mechanism(s) for the metabolism of mitoxantrone: Electron spin resonance and electrochemical studies. Chem. Biol. Interact. 1990, 74, 139–162. [Google Scholar] [CrossRef]
- Carmichael, A.J.; Riesz, P. Photoinduced reactions of anthraquinone antitumor agents with peptides and nucleic acid bases: An electron spin resonance and spin trapping study. Arch. Biochem. Biophys. 1985, 237, 433–444. [Google Scholar] [CrossRef]
- Markova, I.D.; Polyakov, N.E.; Selyutina, O.Y.; Fedenok, L.G.; Fedotov, K.Y.; Slepneva, I.A.; Leshina, T.V.; Pokrovsky, A.G.; Vasilieva, N.V.; Weiner, L.M. Light-Stimulated Generation of Free Radicals by Quinones-Chelators. Z. Fur Phys. Chem. 2017, 231, 369–389. [Google Scholar] [CrossRef]
- Sokkar, P.; Babu, A.; Kolandaswamy, A.; Daison, F.A.; Ramachandran, M. Effect of Substituents on the Photodynamic Action of Anthraquinones: EPR, Computational and In Vitro Studies. Photochem. Photobiol. 2022, 98, 1426–1433. [Google Scholar] [CrossRef]
- Comini, L.R.; Fernandez, I.M.; Vittar, N.B.R.; Núñez Montoya, S.C.; Cabrera, J.L.; Rivarola, V.A. Photodynamic activity of anthraquinones isolated from Heterophyllaea pustulata Hook f. (Rubiaceae) on MCF-7c3 breast cancer cells. Phytomedicine 2011, 18, 1093–1095. [Google Scholar] [CrossRef] [PubMed]
- Cogno, I.S.; Gilardi, P.; Comini, L.; Núñez-Montoya, S.C.; Cabrera, J.L.; Rivarola, V.A. Natural photosensitizers in photodynamic therapy: In vitro activity against monolayers and spheroids of human colorectal adenocarcinoma SW480 cells. Photodiagnosis Photodyn. Ther. 2020, 31, 101852. [Google Scholar] [CrossRef] [PubMed]
- Montazerabadi, A.R.; Sazgarnia, A.; Bahreyni-Toosi, M.H.; Ahmadi, A.; Shakeri-Zadeh, A.; Aledavood, A. Mitoxantrone as a prospective photosensitizer for photodynamic therapy of breast cancer. Photodiagnosis Photodyn. Ther. 2012, 9, 46–51. [Google Scholar] [CrossRef] [PubMed]
- Mugas, M.L.; Calvo, G.; Marioni, J.; Céspedes, M.; Martinez, F.; Sáenz, D.; Di Venosa, G.; Cabrera, J.L.; Montoya, S.N.; Casas, A. Photodynamic therapy of tumour cells mediated by the natural anthraquinone parietin and blue light. J. Photochem. Photobiol. B Biol. 2021, 214, 112089. [Google Scholar] [CrossRef] [PubMed]
- Nowak-Perlak, M.; Bromke, M.A.; Ziółkowski, P.; Woźniak, M. The Comparison of the Efficiency of Emodin and Aloe-Emodin in Photodynamic Therapy. Int. J. Mol. Sci. 2022, 23, 6276. [Google Scholar] [CrossRef] [PubMed]
- Huang, A.; Hu, A.; Li, L.; Ma, C.; Yang, T.; Gao, H.; Zhu, C.; Cai, Z.; Qiu, X.; Xu, J.; et al. Effect of Zn2+ on emodin molecules studied by time-resolved fluorescence spectroscopy and quantum chemical calculations. Spectrochim. Acta Part A Mol. Biomol. Spectrosc. 2023, 289, 122217. [Google Scholar] [CrossRef]
- Mandal, B.; Singha, S.; Dey, S.K.; Mazumdar, S.; Kumar, S.; Karmakar, P.; Das, S. CuII complex of emodin with improved anticancer activity as demonstrated by its performance on HeLa and Hep G2 cells. RSC Adv. 2017, 7, 41403–41418. [Google Scholar] [CrossRef]
- Jabłońska-Trypuć, A.; Świderski, G.; Krętowski, R.; Lewandowski, W. Newly Synthesized Doxorubicin Complexes with Selected Metals-Synthesis, Structure and Anti-Breast Cancer Activity. Molecules 2017, 22, 1106. [Google Scholar] [CrossRef]
- Abraham, S.A.; Edwards, K.; Karlsson, G.; MacIntosh, S.; Mayer, L.D.; McKenzie, C.; Bally, M.B. Formation of transition metal–doxorubicin complexes inside liposomes. Biochim. Biophys. Acta-Biomembr. 2002, 1565, 41–54. [Google Scholar] [CrossRef]
- Beraldo, H.; Garnier-Suillerot, A.; Tosi, L.; Lavelle, F. Iron(III)-Adriamycin and Iron(III)-Daunorubicin Complexes: Physicochemical Characteristics, Interaction with DNA, and Antitumor Activity. Biochemistry 1985, 24, 284–289. [Google Scholar] [CrossRef]
- Greenaway, F.T.; Dabrowiak, J.C. The binding of copper ions to daunomycin and adriamycin. J. Inorg. Biochem. 1982, 16, 91–107. [Google Scholar] [CrossRef]
- Saha, M.; Das, S. Free radical induced activity of an anthracycline analogue and its MnII complex on biological targets through in situ electrochemical generation of semiquinone. Heliyon 2021, 7, e07746. [Google Scholar] [CrossRef]
- El-Malah, A.; Taher, E.S.; Angeli, A.; Elbaramawi, S.S.; Mahmoud, Z.; Moustafa, N.; Supuran, C.T.; Ibrahim, T.S. Schiff bases as linker in the development of quinoline-sulfonamide hybrids as selective cancer-associated carbonic anhydrase isoforms IX/XII inhibitors: A new regioisomerism tactic. Bioorg. Chem. 2023, 131, 106309. [Google Scholar] [CrossRef] [PubMed]
- Macha, B.; Kulkarni, R.; Garige, A.K.; Palabindala, R.; Akkinepally, R.; Garlapati, A. Design, Synthesis and Biological Evaluation of New Cycloalkyl Fused Quinolines Tethered to Isatin Schiff Bases as Cholinesterase Inhibitors. Comb. Chem. High Throughput Screen. 2020, 25, 167–186. [Google Scholar] [CrossRef] [PubMed]
- Oniciuc, L.; Amăriucăi-Mantu, D.; Diaconu, D.; Mangalagiu, V.; Danac, R.; Antoci, V.; Mangalagiu, I.I. Benzoquinoline Derivatives: An Attractive Approach to Newly Small Molecules with Anticancer Activity. Int. J. Mol. Sci. 2023, 24, 8124. [Google Scholar] [CrossRef] [PubMed]
- Li, X.; Ye, F.; Wang, Y.; Sun, X.; Chen, H.; Chen, T.; Gao, Y.; Chen, H. Synthesis, structure-activity relationship, and biological evaluation of quinolines for development of anticancer agents. Arch. Pharm. 2023, 356, e2200673. [Google Scholar] [CrossRef] [PubMed]
- Sharma, S.; Singh, S.; Yadav, D. Quinoline-Based Anti-Oncogenic Molecules: Synthesis and Biological Evaluation. Med. Chem. 2023, 19, 848–858. [Google Scholar] [CrossRef]
- Tyagi, S.; Mazumder, A.; Kumar, R.; Datt, V.; Shabana, K.; Yar, M.S.; Ahsan, M.J. Synthesis and SAR of Potential Anti-Cancer Agents of Quinoline Analogues: A Review. Med. Chem. 2023, 19, 785–812. [Google Scholar] [CrossRef] [PubMed]
- Sharma, S.; Singh, S. Molecular Docking Study for Binding Affinity of 2H-thiopyrano[2,3-b]quinoline Derivatives against CB1a. Interdiscip. Perspect. Infect. Dis. 2023, 2023, 1618082. [Google Scholar] [CrossRef]
- Pradhan, V.; Kumar, R.; Mazumder, A.; Abdullah, M.M.; Shahar Yar, M.; Ahsan, M.J.; Ullah, Z. Molecular Target Interactions of Quinoline Derivatives as Anticancer Agents: A Review. Chem. Biol. Drug Des. 2022, 101, 977–997. [Google Scholar] [CrossRef]
- Vanjare, B.D.; Seok Eom, Y.; Raza, H.; Hassan, M.; Hwan Lee, K.; Ja Kim, S. Elastase inhibitory activity of quinoline Analogues: Synthesis, kinetic mechanism, cytotoxicity, chemoinformatics and molecular docking studies. Bioorg. Med. Chem. 2022, 63, 116745. [Google Scholar] [CrossRef]
- Li, B.; Yao, J.; He, F.; Liu, J.; Lin, Z.; Liu, S.; Wang, W.; Wu, T.; Huang, J.; Chen, K.; et al. Synthesis, SAR study, and bioactivity evaluation of a series of Quinoline-Indole-Schiff base derivatives: Compound 10E as a new Nur77 exporter and autophagic death inducer. Bioorg. Chem. 2021, 113, 105008. [Google Scholar] [CrossRef]
- Sonawane, H.R.; Vibhute, B.T.; Aghav, B.D.; Deore, J.V.; Patil, S.K. Versatile applications of transition metal incorporating quinoline Schiff base metal complexes: An overview. Eur. J. Med. Chem. 2023, 258, 115549. [Google Scholar] [CrossRef]
- Wen, J.; Xia, Y.; Ding, S.; Liu, Y. Theoretical investigation of the Zn2+ detection mechanism based on the quinoline derivative of the Schiff-base receptor. Spectrochim. Acta Part A Mol. Biomol. Spectrosc. 2023, 287, 122123. [Google Scholar] [CrossRef] [PubMed]
- Abou El-ezz, D.; Abdel-Rahman, L.H.; Al-Farhan, B.S.; Mostafa, D.A.; Ayad, E.G.; Basha, M.T.; Abdelaziz, M.; Abdalla, E.M. Enhanced In Vivo Wound Healing Efficacy of a Novel Hydrogel Loaded with Copper (II) Schiff Base Quinoline Complex (CuSQ) Solid Lipid Nanoparticles. Pharmaceuticals 2022, 15, 978. [Google Scholar] [CrossRef] [PubMed]
- Shen, W.Y.; Jia, C.P.; Liao, L.Y.; Chen, L.L.; Hou, C.; Liu, Y.H.; Liang, H.; Chen, Z.F. Copper(II) Complexes of Halogenated Quinoline Schiff Base Derivatives Enabled Cancer Therapy through Glutathione-Assisted Chemodynamic Therapy and Inhibition of Autophagy Flux. J. Med. Chem. 2022, 65, 5134–5148. [Google Scholar] [CrossRef]
- Li, L.; Shang, X.; Li, B.; Xing, Y.; Liu, Y.; Yang, X.; Pei, M.; Zhang, G. A new sensor based on thieno[2,3-b]quinoline for the detection of In3+, Fe3+ and F− by different fluorescence behaviour. Luminescence 2021, 36, 1891–1900. [Google Scholar] [CrossRef] [PubMed]
- Camacho-Mendoza, R.L.; Feria, L.; Zárate-Hernández, L.Á.; Alvarado-Rodríguez, J.G.; Cruz-Borbolla, J. New QSPR model for prediction of corrosion inhibition using conceptual density functional theory. J. Mol. Model. 2022, 28, 238. [Google Scholar] [CrossRef] [PubMed]
- Azimi, S.G.; Bagherzade, G.; Saberi, M.R.; Amiri Tehranizadeh, Z. Discovery of New Ligand with Quinoline Scaffold as Potent Allosteric Inhibitor of HIV-1 and Its Copper Complexes as a Powerful Catalyst for the Synthesis of Chiral Benzimidazole Derivatives, and in Silico Anti-HIV-1 Studies. Bioinorg. Chem. Appl. 2023, 2023, 2881582. [Google Scholar] [CrossRef] [PubMed]
- Damena, T.; Alem, M.B.; Zeleke, D.; Desalegn, T.; Eswaramoorthy, R.; Demissie, T.B. Novel Zinc(II) and Copper(II) Complexes of 2-((2-Hydroxyethyl)amino)quinoline-3-carbaldehyde for Antibacterial and Antioxidant Activities: A Combined Experimental, DFT, and Docking Studies. ACS Omega 2022, 7, 26336–26352. [Google Scholar] [CrossRef]
- Summers, K.L.; Roseman, G.; Schilling, K.M.; Dolgova, N.V.; Pushie, M.J.; Sokaras, D.; Kroll, T.; Harris, H.H.; Millhauser, G.L.; Pickering, I.J.; et al. Alzheimer’s Drug PBT2 Interacts with the Amyloid β 1-42 Peptide Differently than Other 8-Hydroxyquinoline Chelating Drugs. Inorg. Chem. 2022, 61, 14626–14640. [Google Scholar] [CrossRef]
- Ferretti, V.; Matos, C.P.; Canelas, C.; Pessoa, J.C.; Tomaz, A.I.; Starosta, R.; Correia, I.; León, I.E. New ternary Fe(III)-8-hydroxyquinoline–reduced Schiff base complexes as selective anticancer drug candidates. J. Inorg. Biochem. 2022, 236, 111961. [Google Scholar] [CrossRef]
- Kontoghiorghes, G.J. Iron chelation in biochemistry and medicine. In Free Radicals, Oxidant Stress and Drug Action; Rice-Evans, C., Ed.; Richelieu Press: London, UK, 1987; pp. 277–303. [Google Scholar]
- Kontoghiorghes, G.J.; Kontoghiorghe, C.N. Iron and Chelation in Biochemistry and Medicine: New Approaches to Controlling Iron Metabolism and Treating Related Diseases. Cells 2020, 9, 1456. [Google Scholar] [CrossRef]
- Afanas’eva, I.B.; Ostrakhovitch, E.A.; Mikhal’chik, E.V.; Ibragimova, G.A.; Korkina, L.G. Enhancement of antioxidant and anti-inflammatory activities of bioflavonoid rutin by complexation with transition metals. Biochem. Pharmacol. 2001, 61, 677–684. [Google Scholar] [CrossRef]
- Kontoghiorghe, C.N.; Kolnagou, A.; Kontoghiorghes, G.J. Phytochelators Intended for Clinical Use in Iron Overload, Other Diseases of Iron Imbalance and Free Radical Pathology. Molecules 2015, 20, 9725. [Google Scholar] [CrossRef]
- Korkina, L.; De Luca, C.; Deeva, I.; Perrotta, S.; Nobili, B.; Passi, S.; Puddu, P. L1 effects on reactive oxygen (ROS) and nitrogen species (RNS) release, hemoglobin oxidation, low molecular weight antioxidants, and antioxidant enzyme activities in red and white blood cells of thalassemic patients. Transfus. Sci. 2000, 23, 253–254. [Google Scholar] [CrossRef]
- Kontoghiorghes, G.J.; Jackson, M.J.; Lunec, J. In Vitro Screening of Iron Chelators Using Models of Free Radical Damage. Free Radic. Res. Commun. 2009, 2, 115–124. [Google Scholar] [CrossRef]
- Kontoghiorghes, G.J.; Kolnagou, A.; Demetriou, T.; Neocleous, M.; Kontoghiorghe, C.N. New Era in the Treatment of Iron Deficiency Anaemia Using Trimaltol Iron and Other Lipophilic Iron Chelator Complexes: Historical Perspectives of Discovery and Future Applications. Int. J. Mol. Sci. 2021, 22, 5546. [Google Scholar] [CrossRef]
- Kontoghiorghes, G.J.; Piga, A.; Hoffbrand, A.V. Cytotoxic and DNA-inhibitory effects of iron chelators on human leukaemic cell lines. Hematol. Oncol. 1986, 4, 195–204. [Google Scholar] [CrossRef] [PubMed]
- Kontoghiorghes, G.J.; Piga, A.; Hoffbrand, A.V. Cytotoxic effects of the lipophilic iron chelator omadine. FEBS Lett. 1986, 204, 208–212. [Google Scholar] [CrossRef] [PubMed]
- Sestak, V.; Stariat, J.; Cermanova, J.; Potuckova, E.; Chladek, J.; Roh, J.; Bures, J.; Jansova, H.; Prusa, P.; Sterba, M.; et al. Novel and potent anti-tumor and anti-metastatic di-2-pyridylketone thiosemicarbazones demonstrate marked differences in pharmacology between the first and second generation lead agents. Oncotarget 2015, 6, 42411. [Google Scholar] [CrossRef] [PubMed]
- Selyutina, O.Y.; Kononova, P.A.; Koshman, V.E.; Fedenok, L.G.; Polyakov, N.E. The Interplay of Ascorbic Acid with Quinones-Chelators—Influence on Lipid Peroxidation: Insight into Anticancer Activity. Antioxidants 2022, 11, 376. [Google Scholar] [CrossRef]
- Taraban, M.B.; Kruppa, A.I.; Polyakov, N.E.; Leshina, T.V.; Lusis, V.; Muceniece, D.; Duburs, G. The mechanisms of the oxidation of NADH analogues 1. Photochemical oxidation of N-unsubstituted 1,4-dihydropyridines by various acceptors. J. Photochem. Photobiol. A Chem. 1993, 73, 151–157. [Google Scholar] [CrossRef]
- Morozova, O.B.; Ivanov, K.L. Time-Resolved Chemically Induced Dynamic Nuclear Polarization of Biologically Important Molecules. ChemPhysChem 2019, 20, 197–215. [Google Scholar] [CrossRef] [PubMed]
- Goez, M. Elucidating Organic Reaction Mechanisms Using Photo-CIDNP Spectroscopy. Top. Curr. Chem. 2013, 338, 1–32. [Google Scholar] [CrossRef]
- Kuhn, L.T.; Bargon, J. Exploiting nuclear spin polarization to investigate free radical reactions via in situ NMR. Top. Curr. Chem. 2007, 276, 125–154. [Google Scholar] [CrossRef]
- De Biasi, F.; Hope, M.A.; Avalos, C.E.; Karthikeyan, G.; Casano, G.; Mishra, A.; Badoni, S.; Stevanato, G.; Kubicki, D.J.; Milani, J.; et al. Optically Enhanced Solid-State 1 H NMR Spectroscopy. J. Am. Chem. Soc. 2023, 145, 49. [Google Scholar] [CrossRef]
- Torres, F.; Bütikofer, M.; Stadler, G.R.; Renn, A.; Kadavath, H.; Bobrovs, R.; Jaudzems, K.; Riek, R. Ultrafast Fragment Screening Using Photo-Hyperpolarized (CIDNP) NMR. J. Am. Chem. Soc. 2023, 145, 12066–12080. [Google Scholar] [CrossRef]
- Matysik, J.; Gerhards, L.; Theiss, T.; Timmermann, L.; Kurle-Tucholski, P.; Musabirova, G.; Qin, R.; Ortmann, F.; Solov’yov, I.A.; Gulder, T. Spin Dynamics of Flavoproteins. Int. J. Mol. Sci. 2023, 24, 8218. [Google Scholar] [CrossRef] [PubMed]
- Bramham, J.E.; Golovanov, A.P. Sample illumination device facilitates in situ light-coupled NMR spectroscopy without fibre optics. Commun. Chem. 2022, 5, 90. [Google Scholar] [CrossRef]
- Marciniak, B.; Bobrowski, K. Photo- and Radiation-Induced One-Electron Oxidation of Methionine in Various Structural Environments Studied by Time-Resolved Techniques. Molecules 2022, 27, 1028. [Google Scholar] [CrossRef] [PubMed]
- Romashev, N.F.; Abramov, P.A.; Bakaev, I.V.; Fomenko, I.S.; Samsonenko, D.G.; Novikov, A.S.; Tong, K.K.H.; Ahn, D.; Dorovatovskii, P.V.; Zubavichus, Y.V.; et al. Heteroleptic Pd(II) and Pt(II) Complexes with Redox-Active Ligands: Synthesis, Structure, and Multimodal Anticancer Mechanism. Inorg. Chem. 2022, 61, 2105–2118. [Google Scholar] [CrossRef]
- Mau, A.W.H.; Sasse, W.H.F. On the photochemical formation of peroxide in the system disodium anthraquinone- 2,6-disulfonate-methylviologen-water-ethanol-sodium hydroxide. Aust. J. Chem. 1982, 35, 1723–1726. [Google Scholar] [CrossRef]
- Moore, J.N.; Phillips, D.; Nakashima, N.; Yoshihara, K. Photochemistry of 9,10-anthraquinone-2,6-disulphonate. J. Chem. Soc. Faraday Trans. 2 Mol. Chem. Phys. 1986, 82, 745–761. [Google Scholar] [CrossRef]
- Dikalov, S.I.; Rumyantseva, G.V.; Piskunov, A.V.; Weiner, L.M. Role of Quinone-Iron(III) Interaction in NADPH-Dependent Enzymatic Generation of Hydroxyl Radicals. Biochemistry 1992, 31, 8947–8953. [Google Scholar] [CrossRef] [PubMed]












Disclaimer/Publisher’s Note: The statements, opinions and data contained in all publications are solely those of the individual author(s) and contributor(s) and not of MDPI and/or the editor(s). MDPI and/or the editor(s) disclaim responsibility for any injury to people or property resulting from any ideas, methods, instructions or products referred to in the content. |
© 2023 by the authors. Licensee MDPI, Basel, Switzerland. This article is an open access article distributed under the terms and conditions of the Creative Commons Attribution (CC BY) license (https://creativecommons.org/licenses/by/4.0/).
Share and Cite
Selyutina, O.Y.; Babenko, S.V.; Slepneva, I.A.; Polyakov, N.E.; Kontoghiorghes, G.J. Increased Free Radical Generation during the Interaction of a Quinone-Quinoline Chelator with Metal Ions and the Enhancing Effect of Light. Pharmaceuticals 2023, 16, 1116. https://doi.org/10.3390/ph16081116
Selyutina OY, Babenko SV, Slepneva IA, Polyakov NE, Kontoghiorghes GJ. Increased Free Radical Generation during the Interaction of a Quinone-Quinoline Chelator with Metal Ions and the Enhancing Effect of Light. Pharmaceuticals. 2023; 16(8):1116. https://doi.org/10.3390/ph16081116
Chicago/Turabian StyleSelyutina, Olga Yu., Simon V. Babenko, Irina A. Slepneva, Nikolay E. Polyakov, and George J. Kontoghiorghes. 2023. "Increased Free Radical Generation during the Interaction of a Quinone-Quinoline Chelator with Metal Ions and the Enhancing Effect of Light" Pharmaceuticals 16, no. 8: 1116. https://doi.org/10.3390/ph16081116
APA StyleSelyutina, O. Y., Babenko, S. V., Slepneva, I. A., Polyakov, N. E., & Kontoghiorghes, G. J. (2023). Increased Free Radical Generation during the Interaction of a Quinone-Quinoline Chelator with Metal Ions and the Enhancing Effect of Light. Pharmaceuticals, 16(8), 1116. https://doi.org/10.3390/ph16081116

