2-Hydroxyoleic Acid as a Self-Assembly Inducer for Anti-Cancer Drug-Centered Nanoparticles
Abstract
1. Introduction
2. Results and Discussion
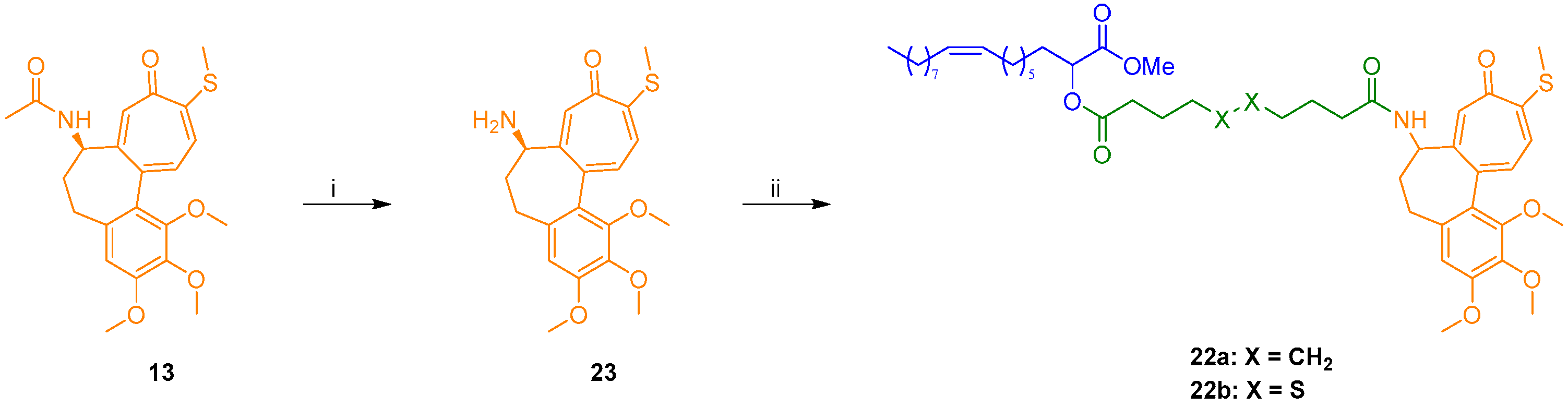
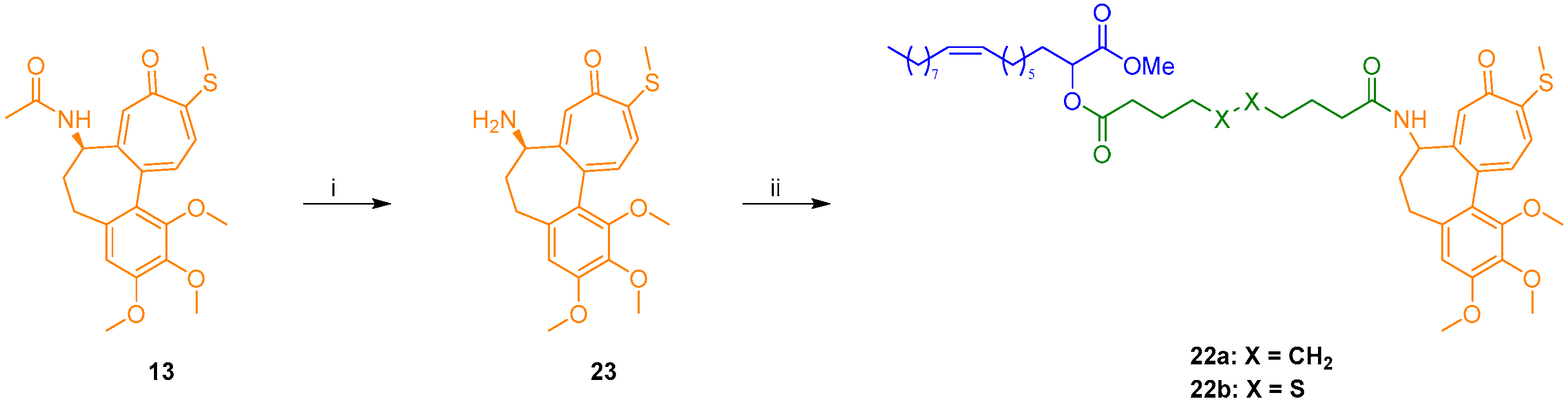
2.1. Synthesis of Drug-Methyl Oleate Conjugates
2.2. Preparation and Characterization of Nanoparticles
2.3. Biological Investigation
3. Materials and Methods
3.1. General Methods
3.2. Experimental Procedures
3.2.1. Synthesis of 2-Hydroxyoleic Acid (6)
3.2.2. Synthesis of Methyl (Z)-2-Hydroxyoctadec-9-Enoate (14)
3.2.3. General Procedure for Compounds 15a-b
3.2.4. General Procedure for Drug Conjugates 16–22a,b
3.2.5. Deacetylation of Thiocolchicine 13
3.3. Nanoparticles Preparation
3.4. Dynamic Light Scattering (DLS)
3.5. Nanoparticles Characterization by TEM
3.6. Cell Cultures
3.7. Inhibition Growth Assay
3.8. Intracellular Reactive Oxygen Species (ROS) Measurement
3.9. Cell Cycle Analysis
4. Conclusions
Supplementary Materials
Author Contributions
Funding
Institutional Review Board Statement
Informed Consent Statement
Data Availability Statement
Conflicts of Interest
References
- Patra, J.K.; Das, G.; Fraceto, L.F.; Campos, E.V.R.; Rodriguez-Torres, M.d.P.; Acosta-Torres, L.S.; Diaz-Torres, L.A.; Grillo, R.; Swamy, M.K.; Sharma, S.; et al. Nano based drug delivery systems: Recent developments and future prospects. J. Nanobiotechnol. 2018, 16, 71. [Google Scholar] [CrossRef]
- Mitchell, M.J.; Billingsley, M.M.; Haley, R.M.; Wechsler, M.E.; Peppas, N.A.; Langer, R. Engineering precision nanoparticles for drug delivery. Nat. Rev. Drug Discov. 2021, 20, 101–124. [Google Scholar] [CrossRef] [PubMed]
- Afzal, O.; Altamimi, A.S.A.; Nadeem, M.S.; Alzarea, S.I.; Almalki, W.H.; Tariq, A.; Mubeen, B.; Murtaza, B.N.; Iftikhar, S.; Riaz, N.; et al. Nanoparticles in Drug Delivery: From History to Therapeutic Applications. Nanomaterials 2022, 12, 4494. [Google Scholar] [CrossRef] [PubMed]
- Borrelli, S.; Christodoulou, M.S.; Ficarra, I.; Silvani, A.; Cappelletti, G.; Cartelli, D.; Damia, G.; Ricci, F.; Zucchetti, M.; Dosio, F.; et al. New class of squalene-based releasable nanoassemblies of paclitaxel, podophyllotoxin, camptothecin and epothilone A. Eur. J. Med. Chem. 2014, 85, 179–190. [Google Scholar] [CrossRef] [PubMed]
- Bui, D.T.; Nicolas, J.; Maksimenko, A.; Desmaële, D.; Couvreur, P. Multifunctional squalene-based prodrug nanoparticles for targeted cancer therapy. Chem. Comm. 2014, 50, 5336–5338. [Google Scholar] [CrossRef]
- Fumagalli, G.; Mazza, D.; Christodoulou, M.S.; Damia, G.; Ricci, F.; Perdicchia, D.; Stella, B.; Dosio, F.; Sotiropoulou, P.A.; Passarella, D. Cyclopamine-Paclitaxel-Containing Nanoparticles: Internalization in Cells Detected by Confocal and Super-Resolution Microscopy. ChemPlusChem 2015, 80, 1380–1383. [Google Scholar] [CrossRef]
- Fumagalli, G.; Stella, B.; Pastushenko, I.; Ricci, F.; Christodoulou, M.S.; Damia, G.; Mazza, D.; Arpicco, S.; Giannini, C.; Morosi, L.; et al. Heteronanoparticles by self-Assembly of Doxorubicin and Cyclopamine Conjugates. ACS Med. Chem. Lett. 2017, 8, 953–957. [Google Scholar] [CrossRef]
- Colombo, E.; Coppini, D.A.; Maculan, S.; Seneci, P.; Santini, B.; Testa, F.; Salvioni, L.; Vanacore, G.M.; Colombo, M.; Passarella, D. Folic acid functionalization for targeting self-assembled paclitaxel-based nanoparticles. RSC Adv. 2022, 12, 35484–35493. [Google Scholar] [CrossRef]
- Fumagalli, G.; Marucci, C.; Christodoulou, M.S.; Stella, B.; Dosio, F.; Passarella, D. Self-assembly drug conjugates for anticancer treatment. Drug Discov. Today 2016, 21, 1321–1329. [Google Scholar] [CrossRef]
- El-Readi, M.Z.; Althubiti, M.A. Cancer Nanomedicine: A New Era of Successful Targeted Therapy. J. Nanomater. 2019, 2019, 4927312. [Google Scholar] [CrossRef]
- Fumagalli, G.; Christodoulou, M.S.; Riva, B.; Revuelta, I.; Marucci, C.; Collico, V.; Prosperi, D.; Riva, S.; Perdicchia, D.; Bassanini, I.; et al. Self-assembled 4-(1,2-diphenylbut-1-en-1-yl)aniline based nanoparticles: Podophyllotoxin and aloin as building blocks. Org. Biomol. Chem. 2017, 15, 1106–1109. [Google Scholar] [CrossRef]
- Frapporti, G.; Colombo, E.; Ahmed, H.; Assoni, G.; Polito, L.; Randazzo, P.; Arosio, D.; Seneci, P.; Piccoli, G. Squalene-Based Nano-Assemblies Improve the Pro-Autophagic Activity of Trehalose. Pharmaceutics 2022, 14, 862. [Google Scholar] [CrossRef]
- Terés, S.; Lladó, V.; Higuera, M.; Barceló-Coblijn, G.; Martin, M.L.; Noguera-Salvà, M.A.; Marcilla-Etxenike, A.; García-Verdugo, J.M.; Soriano-Navarro, M.; Saus, C.; et al. 2-Hydroxyoleate, a nontoxic membrane binding anticancer drug, induces glioma cell differentiation and autophagy. Proc. Natl. Acad. Sci. USA 2012, 109, 8489–8494. [Google Scholar] [CrossRef]
- Martínez, J.; Gutiérrez, A.; Casas, J.; Lladó, V.; López-Bellan, A.; Besalduch, J.; Dopazo, A.; Escribá, P.V. The repression of E2F-1 is critical for the activity of Minerval against cancer. J. Pharmacol. Exp. Ther. 2005, 315, 466–474. [Google Scholar] [CrossRef]
- Llado, V.; Gutierrez, A.; Martínez, J.; Casas, J.; Terés, S.; Higuera, M.; Galmés, A.; Saus, C.; Besalduch, J.; Busquets, X.; et al. Minerval induces apoptosis in Jurkat and other cancer cells. J. Cell. Mol. Med. 2010, 14, 659–670. [Google Scholar] [CrossRef]
- Escribá, P.V.; Busquets, X.; Inokuchi, J.; Balogh, G.; Török, Z.; Horváth, I.; Harwood, J.L.; Vígh, L. Membrane lipid therapy: Modulation of the cell membrane composition and structure as a molecular base for drug discovery and new disease treatment. Prog. Lipid Res. 2015, 59, 38–53. [Google Scholar] [CrossRef]
- Escribá, P.V. Membrane-lipid therapy: A historical perspective of membrane-targeted therapies—From lipid bilayer structure to the pathophysiological regulation of cells. Biochim. Biophys. Acta—Biomembr. 2017, 1859, 1493–1506. [Google Scholar] [CrossRef]
- Lladó, V.; López, D.J.; Ibarguren, M.; Alonso, M.; Soriano, J.B.; Escribá, P.V.; Busquets, X. Regulation of the cancer cell membrane lipid composition by NaCHOleate: Effects on cell signaling and therapeutical relevance in glioma. Biochim. Biophys. Acta—Biomembr. 2014, 1838, 1619–1627. [Google Scholar] [CrossRef]
- Barceló-Coblijn, G.; Martin, M.L.; de Almeida, R.F.M.; Noguera-Salvà, M.A.; Marcilla-Etxenike, A.; Guardiola-Serrano, F.; Lüth, A.; Kleuser, B.; Halver, J.E.; Escribá, P.V. Sphingomyelin and sphingomyelin synthase (SMS) in the malignant transformation of glioma cells and in 2-hydroxyoleic acid therapy. Proc. Natl. Acad. Sci. USA 2011, 108, 19569–19574. [Google Scholar] [CrossRef]
- Marcilla-Etxenike, A.; Martín, M.L.; Noguera-Salvà, M.A.; García-Verdugo, J.M.; Soriano-Navarro, M.; Dey, I.; Escribá, P.V.; Busquets, X. 2-Hydroxyoleic acid induces ER stress and autophagy in various human glioma cell lines. PLoS ONE 2012, 7, e48235. [Google Scholar] [CrossRef]
- Piotto, S.; Concilio, S.; Bianchino, E.; Iannelli, P.; López, D.J.; Terés, S.; Ibarguren, M.; Barceló-Coblijn, G.; Martin, M.L.; Guardiola-Serrano, F.; et al. Differential effect of 2-hydroxyoleic acid enantiomers on protein (sphingomyelin synthase) and lipid (membrane) targets. Biochim. Biophys. Acta—Biomembr. 2014, 1838, 1628–1637. [Google Scholar] [CrossRef] [PubMed]
- Massalha, W.; Markovits, M.; Pichinuk, E.; Feinstein-Rotkopf, Y.; Tarshish, M.; Mishra, K.; Llado, V.; Weil, M.; Escriba, P.V.; Kakhlon, O. Minerval (2-hydroxyoleic acid) causes cancer cell selective toxicity by uncoupling oxidative phosphorylation and compromising bioenergetic compensation capacity. Biosci. Rep. 2019, 39, BSR20181661. [Google Scholar] [CrossRef] [PubMed]
- Jang, E.J.; Choi, W.R.; Kim, S.Y.; Hong, S.S.; Rhee, I.; Lee, S.J.; Choi, S.W.; Choi, H.G.; Lim, S.J. 2-Hydroxyoleic acid-inserted liposomes as a multifunctional carrier of anticancer drugs. Drug Deliv. 2017, 24, 1587–1597. [Google Scholar] [CrossRef] [PubMed]
- Olechowska, K.; Mach, M.; Ha̧c-Wydro, K.; Wydro, P. Studies on the Interactions of 2-Hydroxyoleic Acid with Monolayers and Bilayers Containing Cationic Lipid: Searching for the Formulations for More Efficient Drug Delivery to Cancer Cells. Langmuir 2019, 35, 9084–9092. [Google Scholar] [CrossRef]
- Prajapati, R.; Gontsarik, M.; Yaghmur, A.; Salentinig, S. pH-Responsive Nano-Self-Assemblies of the Anticancer Drug 2-Hydroxyoleic Acid. Langmuir 2019, 35, 7954–7961. [Google Scholar] [CrossRef]
- Fuoco, T.; Pappalardo, D.; Finne-Wistrand, A. Redox-Responsive Disulfide Cross-Linked PLA–PEG Nanoparticles. Macromolecules 2017, 50, 7052–7061. [Google Scholar] [CrossRef]
- Chiu, H.I.; Ayub, A.D.; Mat Yusuf, S.N.A.; Yahaya, N.; Abbd Kadir, E.; Lim, V. Docetaxel-Loaded Disulfide Cross-Linked Nanoparticles Derived from Thiolated Sodium Alginate for Colon Cancer Drug Delivery. Pharmaceutics 2020, 12, 38. [Google Scholar] [CrossRef]
- Sood, A.; Gupta, A.; Bharadwaj, R.; Ranganath, P.; Silverman, N.; Agrawal, G. Biodegradable disulfide crosslinked chitosan/stearic acid nanoparticles for dual drug delivery for colorectal cancer. Carbohydr. Polym. 2022, 294, 119833. [Google Scholar] [CrossRef]
- Muzaffar, A.; Brossi, A. Thiocolchicinethiones: Acid Hydrolysis of Natural and Iso-Isomers. Synth. Commun. 1990, 20, 713–717. [Google Scholar] [CrossRef]
- Battaglia, L.; Gallarate, M. Lipid nanoparticles: State of the art, new preparation methods and challenges in drug delivery. Expert Opin. Drug Deliv. 2012, 9, 497–508. [Google Scholar] [CrossRef]
- Colombo, E.; Coppini, D.A.; Polito, L.; Ciriello, U.; Paladino, G.; Hyeraci, M.; Di Paolo, M.L.; Nordio, G.; Dalla Via, L.; Passarella, D. Cannabidiol as Self-Assembly Inducer for Anticancer Drug-Based Nanoparticles. Molecules 2023, 28, 112. [Google Scholar] [CrossRef]
- Kosaka, T.; Hongo, H.; Miyazaki, Y.; Nishimoto, K.; Miyajima, A.; Oya, M. Reactive oxygen species induction by cabazitaxel through inhibiting Sestrin-3 in castration resistant prostate cancer. Oncotarget 2017, 8, 87675–87683. [Google Scholar] [CrossRef]
- Mann, J.; Yang, N.; Montpetit, R.; Kirschenman, R.; Lemieux, H.; Goping, I.S. BAD sensitizes breast cancer cells to docetaxel with increased mitotic arrest and necroptosis. Sci. Rep. 2020, 10, 355. [Google Scholar] [CrossRef]
- Fan, H.Y.; Zhu, Z.L.; Xian, H.C.; Wang, H.F.; Chen, B.J.; Tang, Y.J.; Tang, Y.L.; Liang, X.H. Insight Into the Molecular Mechanism of Podophyllotoxin Derivatives as Anticancer Drugs. Front. Cell Dev. Biol. 2021, 9, 709075. [Google Scholar] [CrossRef]
- Nicolas, J.; Mura, S.; Brambilla, D.; Mackiewicz, N.; Couvreur, P. Design, functionalization strategies and biomedical applications of targeted biodegradable/biocompatible polymer-based nanocarriers for drug delivery. Chem. Soc. Rev. 2013, 42, 1147–1235. [Google Scholar] [CrossRef]










| Compound | Size (nm) | P.I. | Z-Potential (mV) |
|---|---|---|---|
| 16aNP | 316.9 ± 4.7 | 0.058 ± 0.022 | −37.79 ± 1.69 |
| 16bNP | 393.1 ± 4.0 | 0.058 ± 0.027 | −35.43 ± 0.57 |
| 17aNP | 407.5 ± 14.9 | 0.039 ± 0.031 | −37.61 ± 2.91 |
| 17bNP | 387.4 ± 16.6 | 0.081 ± 0.026 | −35.68 ± 1.04 |
| 18aNP | 461.5 ± 16.4 | 0.027 ± 0.018 | −36.56 ± 0.63 |
| 18bNP | 360.2 ± 3.3 | 0.086 ± 0.025 | −36.83 ± 1.25 |
| 19aNP | 361.5 ± 4.3 | 0.141 ± 0.031 | −30.06 ± 2.06 |
| 19bNP | 363.5 ± 6.8 | 0.178 ± 0.41 | −30.34 ± 0.28 |
| 20aNP | 152.4 ± 0.8 | 0.079 ± 0.016 | −31.48 ± 0.81 |
| 20bNP | 150.0 ± 1.4 | 0.076 ± 0.024 | −40.22 ± 0.63 |
| 21aNP | 197.4 ± 1.7 | 0.079 ± 0.019 | −28.18 ± 1.60 |
| 21bNP | 111.9 ± 0.7 | 0.085 ± 0.014 | −38.86 ± 2.28 |
| 22aNP | 140.4 ± 1.1 | 0.105 ± 0.023 | −37.08 ± 1.57 |
| 22bNP | 140.8 ± 6.8 | 0.058 ± 0.031 | −33.60 ± 3.32 |
| GI50 (μM) 1 | |||
|---|---|---|---|
| Compound | MSTO-211H | HT-29 | LN229 |
| 7 | 0.0037 ± 0.0003 | 0.0038 ± 0.0003 | 0.0037 ± 0.0004 |
| 16aNP | 3.1 ± 0.7 | 1.7 ± 0.2 | 1.3 ± 0.5 |
| 16bNP | 2.0 ± 0.1 | 1.2 ± 0.1 | 1.0 ± 0.2 |
| 8 | 0.0014 ± 0.0005 | 0.0011 ± 0.0003 | 0.0012 ± 0.0005 |
| 17aNP | 0.45 ± 0.20 | 0.27 ± 0.14 | 0.46 ± 0.06 |
| 17bNP | 0.05 ± 0.02 | 0.04± 0.01 | 0.07 ± 0.01 |
| 9 | 0.0010 ± 0.0002 | 0.0007 ± 0.0004 | 0.0020 ± 0.0001 |
| 18aNP | 1.8 ± 0.04 | 1.0 ± 0.4 | 3.3 ± 0.7 |
| 18bNP | 0.20 ± 0.05 | 0.08 ± 0.01 | 0.13 ± 0.05 |
| 10 | 0.0037 ± 0.0002 | 0.0042 ± 0.0010 | 0.0079 ± 0.0011 |
| 19aNP | 5.6 ± 3.4 | 7.1 ± 2.5 | 11.1 ± 2.6 |
| 19bNP | 0.34 ± 0.10 | 4.8 ± 1.4 | 1.5 ± 0.3 |
| 11 | 0.0019 ± 0.0004 | 0.0033 ± 0.0002 | 0.0044 ± 0.0006 |
| 20aNP | 1.5 ± 0.4 | 6.2 ± 1.7 | 5.1 ± 0.6 |
| 20bNP | 1.2 ± 0.3 | 5.0 ± 0.7 | 6.6 ± 0.7 |
| 12 | 0.011 ± 0.005 | 0.013 ± 0.004 | 0.030 ± 0.003 |
| 21aNP | 12.4 ± 0.5 | 6.2 ± 1.7 | 43.8 ± 0.4 |
| 21bNP | 6.6 ± 0.5 | 6.1 ± 1.3 | 36.8 ± 1.7 |
| 13 | 0.014 ± 0.002 | 0.021 ± 0.002 | 0.026 ± 0.002 |
| 22aNP | 2.3 ± 0.6 | 2.8 ± 0.3 | 3.4 ± 0.01 |
| 22bNP | 2.6 ± 0.6 | 3.0 ± 0.2 | 1.7 ± 0.01 |
| 15aNP | >30 | >30 | >30 |
| 15bNP | >30 | >30 | >30 |
Disclaimer/Publisher’s Note: The statements, opinions and data contained in all publications are solely those of the individual author(s) and contributor(s) and not of MDPI and/or the editor(s). MDPI and/or the editor(s) disclaim responsibility for any injury to people or property resulting from any ideas, methods, instructions or products referred to in the content. |
© 2023 by the authors. Licensee MDPI, Basel, Switzerland. This article is an open access article distributed under the terms and conditions of the Creative Commons Attribution (CC BY) license (https://creativecommons.org/licenses/by/4.0/).
Share and Cite
Antoniou, A.I.; Nordio, G.; Di Paolo, M.L.; Colombo, E.; Gaffuri, B.; Polito, L.; Amenta, A.; Seneci, P.; Dalla Via, L.; Perdicchia, D.; et al. 2-Hydroxyoleic Acid as a Self-Assembly Inducer for Anti-Cancer Drug-Centered Nanoparticles. Pharmaceuticals 2023, 16, 722. https://doi.org/10.3390/ph16050722
Antoniou AI, Nordio G, Di Paolo ML, Colombo E, Gaffuri B, Polito L, Amenta A, Seneci P, Dalla Via L, Perdicchia D, et al. 2-Hydroxyoleic Acid as a Self-Assembly Inducer for Anti-Cancer Drug-Centered Nanoparticles. Pharmaceuticals. 2023; 16(5):722. https://doi.org/10.3390/ph16050722
Chicago/Turabian StyleAntoniou, Antonia I., Giulia Nordio, Maria Luisa Di Paolo, Eleonora Colombo, Beatrice Gaffuri, Laura Polito, Arianna Amenta, Pierfausto Seneci, Lisa Dalla Via, Dario Perdicchia, and et al. 2023. "2-Hydroxyoleic Acid as a Self-Assembly Inducer for Anti-Cancer Drug-Centered Nanoparticles" Pharmaceuticals 16, no. 5: 722. https://doi.org/10.3390/ph16050722
APA StyleAntoniou, A. I., Nordio, G., Di Paolo, M. L., Colombo, E., Gaffuri, B., Polito, L., Amenta, A., Seneci, P., Dalla Via, L., Perdicchia, D., & Passarella, D. (2023). 2-Hydroxyoleic Acid as a Self-Assembly Inducer for Anti-Cancer Drug-Centered Nanoparticles. Pharmaceuticals, 16(5), 722. https://doi.org/10.3390/ph16050722

