Identification of Compounds of Crocus sativus by GC-MS and HPLC/UV-ESI-MS and Evaluation of Their Antioxidant, Antimicrobial, Anticoagulant, and Antidiabetic Properties
Abstract
1. Introduction
2. Results
2.1. The Yield of C. sativus EO
2.2. GC-MS Analysis of C. sativus Essential Oil
2.3. Phytochemical Screening
2.4. Extraction and Quantitative Analysis of Phenolic Compounds
2.4.1. Extraction Yields
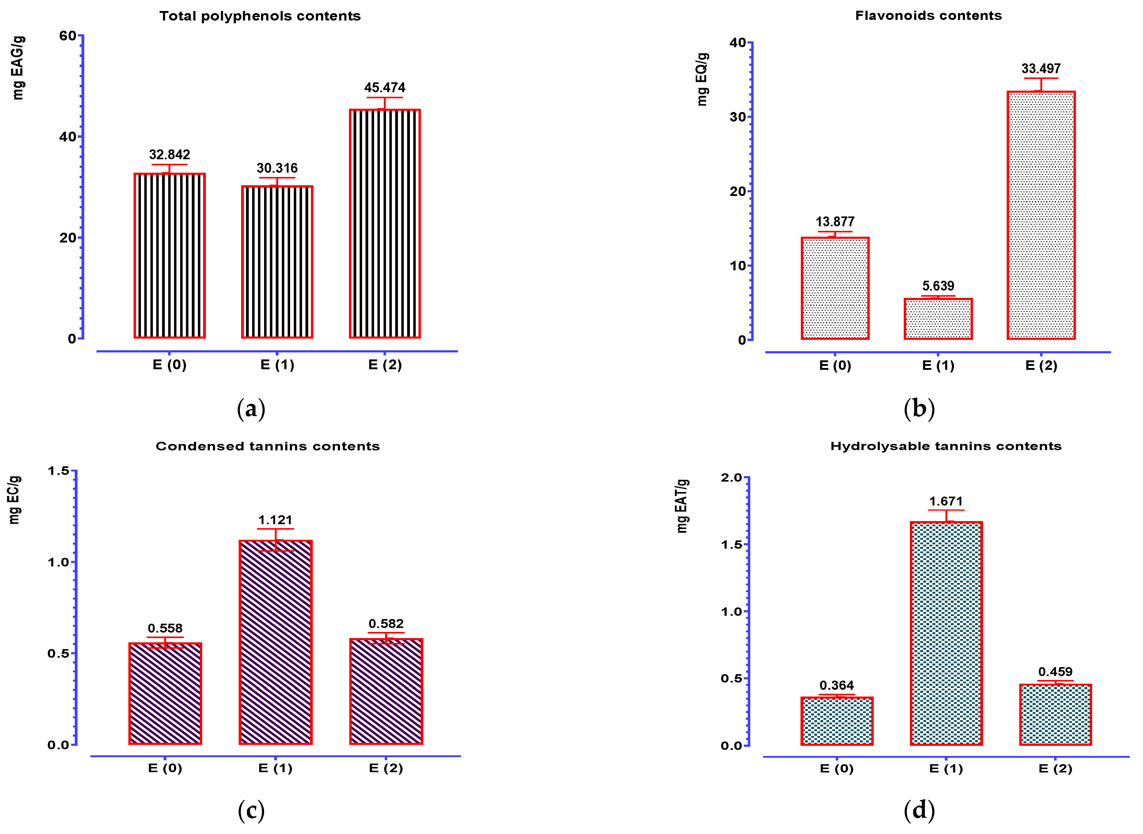
2.4.2. Determination of Phenolic Compounds
2.4.3. Analysis and Identification of Polyphenols in C. sativus Extract by High-Pressure Liquid Chromatography–Mass Spectrometry (HPLC/UV-ESI-MS)
2.5. Heavy Metal Contents
2.6. Antioxidant Activity
2.7. Antimicrobial Activity
2.8. Anticoagulant Activity
2.9. Antidiabetic Activity
2.9.1. Evaluation of the Inhibitory Effect of Decocted Extract on the Activity of α-Amylase and α-Glucosidase, In Vitro
2.9.2. Acute Toxicity Study of C. sativus Decocted Extract
2.9.3. Study of the Antihyperglycemic Activity of C. sativus Decocted Extract in Normal Rats In Vivo
- Oral glucose tolerance test
- Blood glucose levels in normal rats showed a high peak 30 min after glucose loading. A positive effect on the response of rats to glucose loading was noted in rats treated with decocted extract and glibenclamide. Oral administration of C. sativus extract at a dose of 400 mg/kg, 30 min before glucose overload, to normal rats significantly attenuated postprandial hyperglycemia for this decocted extract study (Figure 10), compared with the group of control rats pretreated with distilled water. However, glibenclamide very significantly inhibited postprandial hyperglycemia during the first hour (60 min) after glucose overload, (p < 0.001; 1.08 g/L) compared with the distilled water-pretreated rat group.
- Areas under the curve (AUCs) of postprandial glucose levels.
- The area under the curve was significantly smaller in the decocted extract-treated rats (p ≥ 0.001; 56.11 g/L/h) than in the distilled water-treated rats (62.91 g/L/h). In addition, the area under the curve of glibenclamide was significantly (p ≥ 0.01) smaller (55.95 g/L/h) compared with the area under the curve of distilled water-treated rats (62.91 g/L/h) (Figure 11).
3. Discussion
4. Materials and Methods
4.1. Vegetal Material
4.2. Microbial Materials
4.3. Animal Selection for Research
4.4. The Qualitative and Quantitative Study of Essential Oils
4.4.1. Extraction of Essential Oils from C. sativus and Determination of Yield
4.4.2. Analysis and Identification of the Chemical Composition of C. sativus EO
4.5. Phytochemical Screening
4.6. Study of Phenolic Compounds
4.6.1. Extraction of Phenolic Compounds
4.6.2. Determination of Total Polyphenols
4.6.3. Determination of Flavonoids
4.6.4. Determination of Condensed Tannins
4.6.5. Determination of Hydrolyzable Tannins
4.6.6. HPLC/UV ESI-MS Analysis of C. sativus Stigma Extracts
4.7. Heavy Metal Assays: Inductively Coupled Plasma Atomic Emission Spectrometry (ICP-AES)
4.8. Antioxidant Activities
4.8.1. Antiradical Activity by the DPPH• Test
4.8.2. Ferric Reducing Antioxidant Power (FRAP) Method
4.8.3. Total Antioxidant Capacity (TAC)
4.9. Determination of the Minimum Inhibitory Concentration, Minimum Bactericidal Concentration, and Minimum Fungicidal Concentration
4.10. Anticoagulant Activity
4.11. Antidiabetic Activity
4.11.1. Study of the Inhibitory Effect of Aqueous Extracts on the Activity of Pancreatic α-Amylase, In Vitro
4.11.2. Study of the Inhibitory Effect of Aqueous Extracts on the Activity of α-Glucosidase, In Vitro
4.11.3. Acute Toxicity Study
- Control: distilled water (10 mL/kg).
- Group 1: aqueous extract E0 (0.5 g/kg).
- Group 2: aqueous extract E0 (1 g/kg).
- Group 3: aqueous extract E0 (2 g/kg).
4.11.4. Study of the Antihyperglycemic Activity of the Aqueous Extract of C. sativus in Normal Rats In Vivo
- Control: administration of distilled water (10 mL/kg).
- Extract: administration of aqueous extract E0 (2 mL/kg).
- Glib: administration of glibenclamide (2 mg/kg).
4.12. Statistical Analysis
5. Conclusions
Author Contributions
Funding
Institutional Review Board Statement
Informed Consent Statement
Data Availability Statement
Acknowledgments
Conflicts of Interest
References
- Ren, X.; Santhosh, S.M.; Coppo, L.; Ogata, F.T.; Lu, J.; Holmgren, A. The combination of ascorbate and menadione causes cancer cell death by oxidative stress and replicative stress. Free Radic. Biol. Med. 2019, 134, 350–358. [Google Scholar] [CrossRef] [PubMed]
- Wu, Q.; Wang, X.; Nepovimova, E.; Wang, Y.; Yang, H.; Kuca, K. Mechanism of cyclosporine A nephrotoxicity: Oxidative stress, autophagy, and signalings. Food Chem. Toxicol. 2018, 118, 889–907. [Google Scholar] [CrossRef] [PubMed]
- Benabid, A. Flore et Ecosystèmes du Maroc. Évaluation et Préservation de la Biodiversité; Ibis Press: Paris, France; Librairies et Éditions Kalila Wa Dimna: Rabat, Morocco, 2000; p. 359. [Google Scholar]
- Van Wyk, B.-E.; Wink, M. Medicinal Plants of the World: An Illustrated Scientific Guide to Important Medicinal Plants and Their Uses; Timber Press: Portland, OR, USA, 2004. [Google Scholar]
- Pickersgill, B. The Cultural History of Plants; Prance, S.G., Nesbit, M., Eds.; Routledge: London, UK, 2005; ISBN 0415927463. [Google Scholar]
- Drioiche, A.; Benhlima, N.; Kchibale, A.; Boutahiri, S.; Ailli, A.; El Hilali, F.; Moukaid, B.; Zair, T. Ethnobotanical Investigation of Herbal Food Additives of Morocco Used as Natural Dyes. Ethnobot. Res. Appl. 2021, 21, 1–43. [Google Scholar] [CrossRef]
- Cardone, L.; Castronuovo, D.; Perniola, M.; Cicco, N.; Candido, V. Saffron (Crocus sativus L.), the King of Spices: An Overview. Sci. Hortic. 2020, 272, 109560. [Google Scholar] [CrossRef]
- González, J.A.; García-Barriuso, M.; Amich, F. Ethnobotanical Study of Medicinal Plants Traditionally Used in the Arribes Del Duero, Western Spain. J. Ethnopharmacol. 2010, 131, 343–355. [Google Scholar] [CrossRef] [PubMed]
- Idolo, M.; Motti, R.; Mazzoleni, S. Ethnobotanical and phytomedicinal knowledge in a long-history protected area, the Abruzzo, Lazio and Molise National Park (Italian Apennines). J. Ethnopharmacol. 2010, 127, 379–395. [Google Scholar] [CrossRef]
- Maghsoodi, V.; Kazemi, A.; Akhondi, E. Effect of Different Drying Methods on Saffron (Crocus sativus L.) Quality. Iran. J. Chem. Chem. Eng. 2012, 31, 85–89. [Google Scholar]
- Goupy, P.; Vian, M.A.; Chemat, F.; Caris-Veyrat, C. Identification and quantification of flavonols, anthocyanins and lutein diesters in tepals of Crocus sativus by ultra performance liquid chromatography coupled to diode array and ion trap mass spectrometry detections. Ind. Crops Prod. 2013, 44, 496–510. [Google Scholar] [CrossRef]
- Alam, M.W.; Najeeb, J.; Naeem, S.; Usman, S.M.; Nahvi, I.; Alismail, F.; Abuzir, A.; Farhan, M.; Nawaz, A. Electrochemical Methodologies for Investigating the Antioxidant Potential of Plant and Fruit Extracts: A Review. Antioxidants 2022, 11, 1205. [Google Scholar] [CrossRef]
- Aldughaylibi, F.S.; Raza, M.A.; Naeem, S.; Rafi, H.; Alam, M.W.; Souayeh, B.; Farhan, M.; Aamir, M.; Zaidi, N.; Mir, T.A. Extraction of Bioactive Compounds for Antioxidant, Antimicrobial, and Antidiabetic Applications. Molecules 2022, 27, 5935. [Google Scholar] [CrossRef]
- Duarte, M.C.T.; Leme, E.E.; Delarmelina, C.; Soares, A.A.; Figueira, G.M.; Sartoratto, A. Activity of essential oils from Brazilian medicinal plants on Escherichia coli. J. Ethnopharmacol. 2007, 111, 197–201. [Google Scholar] [CrossRef] [PubMed]
- Wang, H.; Wang, J.; Qiu, C.; Ye, Y.; Guo, X.; Chen, G.; Li, T.; Wang, Y.; Fu, X.; Liu, R.H. Comparison of phytochemical profiles and health benefits in fiber and oil flaxseeds (Linum usitatissimum L.). Food Chem. 2017, 214, 227–233. [Google Scholar] [CrossRef] [PubMed]
- Pedro, R.O.; Takaki, M.; Gorayeb, T.C.C.; Del Bianchi, V.L.; Thomeo, J.C.; Tiera, M.J.; Tiera, V.A.O. Synthesis, Characterization and antifungal activity of quaternary derivatives of chitosan on Aspergillus flavus. Microbiol. Res. 2013, 168, 50–55. [Google Scholar] [CrossRef] [PubMed]
- Sartoratto, A.; Machado, A.L.M.; Delarmelina, C.; Figueira, G.M.; Duarte, M.C.T.; Rehder, V.L.G. Composition and antimicrobial activity of essential oils from aromatic plants used in Brazil. Braz. J. Microbiol. 2004, 35, 275–280. [Google Scholar] [CrossRef]
- Carmona, M.; Zalacain, A.; Salinas, M.; Alonso, G.L. Une nouvelle approche de l’arôme du safran. Crit. Rev Food Sci. Nutr. 2007, 47, 145–159. [Google Scholar] [CrossRef] [PubMed]
- Moraga, Á.R.; Rambla, J.L.; Ahrazem, O.; Granell, A.; Gómez-Gómez, L. Metabolite and target transcript analyses during Crocus sativus stigma development. Phytochemistry 2009, 70, 1009–1016. [Google Scholar] [CrossRef]
- Rahaiee, S.; Moini, S.; Hashemi, M.; Shojaosadati, S.A. Evaluation of antioxidant activities of bioactive compounds and various extracts obtained from saffron (Crocus sativus L.): A review. J. Food Sci. Technol. 2015, 52, 1881–1888. [Google Scholar] [CrossRef]
- Cid-Pérez, T.S.; Nevárez-Moorillón, G.V.; Ochoa-Velasco, C.E.; Navarro-Cruz, A.R.; Hernández-Carranza, P.; Avila-Sosa, R. The relation between drying conditions and the development of volatile compounds in saffron (Crocus sativus). Molecules 2021, 26, 6954. [Google Scholar] [CrossRef]
- Kafi, M.; Koocheki, A.; Rashed, M.H.; Nassiri, M. (Eds.) Saffron (Crocus sativus) Production and Processing, 1st ed.; Science Publishers: Washington, DC, USA, 2016; ISBN 978-1-57808-427-2. [Google Scholar]
- Anastasakis, E.; Kanakis, C.; Pappas, C.; Maggi, L.; Del Campo, C.P.; Carmona, M.; Alonso, G.L.; Polissiou, M.G. Geographicaldifferentiation of saffron by GC–MS/FID and chemometrics. Eur. Food Res. Technol. 2009, 229, 899–905. [Google Scholar] [CrossRef]
- Aliakbarzadeh, G.; Sereshti, H.; Parastar, H. Pattern recognition analysis of chromatographic fingerprints of Crocus sativus L. secondary metabolites towards source identification and quality control. Anal. Bioanal. Chem. 2016, 408, 3295–3307. [Google Scholar] [CrossRef]
- Azarabadi, N.; Özdemir, F. Determination of Crocin Content and Volatile Components in Different Qualities of Iranian Saffron. Gida J. Food 2018, 43, 476–489. [Google Scholar] [CrossRef]
- Carmona, M.; Martínez, J.; Zalacain, A.; Rodríguez-Méndez, M.L.; De Saja, J.A.; Alonso, G.L. Analysis of saffron volatile fraction by TD–GC–MS and e-nose. Eur. Food Res. Technol. 2006, 223, 96–101. [Google Scholar] [CrossRef]
- Karimi, E.; Oskoueian, E.; Hendra, R.; Jaafar, H.Z. Evaluation of Crocus sativus L. stigma phenolic and flavonoid compounds and its antioxidant activity. Molecules 2010, 15, 6244–6256. [Google Scholar] [CrossRef]
- Lech, K.; Witowska-Jarosz, J.; Jarosz, M. Saffron yellow: Characterization of carotenoids by high performance liquid chromatography with electrospray mass spectrometric detection. J. Mass Spectrom. 2009, 44, 1661–1667. [Google Scholar] [CrossRef] [PubMed]
- Jadouali, S.M.; Atifi, H.; Bouzoubaa, Z.; Majourhat, K.; Gharby, S.; Achemchem, F.; Elmoslih, A.; Laknifli, A.; Mamouni, R. Chemical characterization, antioxidant and antibacterial activity of Moroccan Crocus sativus L. petals and leaves. J. Mater. Environ. Sci. 2018, 9, 113–118. [Google Scholar] [CrossRef]
- Jadouali, S.M.; Atifi, H.; Mamouni, R.; Majourhat, K.; Bouzoubaâ, Z.; Laknifli, A.; Faouzi, A. Chemical Characterization and Antioxidant Compounds of Flower Parts of Moroccan Crocus sativus L. J. Saudi Soc. Agric. Sci. 2019, 18, 476–480. [Google Scholar] [CrossRef]
- Huang, W.-Y.; Cai, Y.-Z.; Zhang, Y. Natural phenolic compounds from medicinal herbs and dietary plants: Potential use for cancer prevention. Nutr. Cancer. 2009, 62, 1–20. [Google Scholar] [CrossRef]
- Assimopoulou, A.N.; Sinakos, Z.; Papageorgiou, V.P. Radical scavenging activity of Crocus sativus L. extract and its bioactive constituents. Phytother. Res. 2005, 19, 997–1000. [Google Scholar] [CrossRef]
- Chen, Y.; Zhang, H.; Tian, X.; Zhao, C.; Cai, L.; Liu, Y.; Jia, L.; Yin, H.-X.; Chen, C. Antioxidant potential of crocins and ethanol extracts of Gardenia jasminoides ELLIS and Crocus sativus L.: A relationship investigation between antioxidant activity and crocin contents. Food Chem. 2008, 109, 484–492. [Google Scholar] [CrossRef]
- Naceiri Mrabti, H.; Marmouzi, I.; Sayah, K.; Chemlal, L.; El Ouadi, Y.; Elmsellem, H.; Cherrah, Y.; Faouzi, M.A. Arbutus unedo L. aqueous extract is associated with in vitro and in vivo antioxidant activity. J. Mater. Environ. Sci. 2017, 8, 217–224. [Google Scholar]
- Eman, R.E.; Abdelaziz, E.; Emad, M.A.; Ahmed, M.H.A. Antioxidant, antimicrobial and antifeedant activity of phenolic compounds accumulated in Hyoscyamus muticus L. Afr. J. Biotechnol. 2018, 17, 311–321. [Google Scholar] [CrossRef]
- Belkamel, A.; Bammi, J.; Belkamel, A. Origanum compactum (Benth.). J. Anim. Plant Sci. 2013, 19, 2880–2887. [Google Scholar]
- Vahidi, H.; Kamalinejad, M.; Sedaghati, N. Antimicrobial properties of Croccus sativus L. Iran. J. Pharm. Res. 2010, 1, 33–35. [Google Scholar]
- Asgarpanah, J.; Darabi-Mahboub, E.; Mahboubi, A.; Mehrab, R.; Hakemivala, M. In-vitro evaluation of Crocus sativus L. petals and stamens as natural antibacterial agents against food-borne bacterial strains. Iran. J. Pharm. Sci. 2013, 9, 69–82. [Google Scholar]
- Okmen, G.; Vurkun, M.; Arslan, A.; Ceylan, O. The antibacterial activities of Piper nigrum L. against mastitis pathogens and its antioxidant activities. Indian J. Pharm. Educ. Res. 2017, 51, S170–S175. [Google Scholar] [CrossRef]
- Muzaffar, S.; Rather, S.A.; Khan, K.Z. In vitro bactericidal and fungicidal activities of various extracts of saffron (Crocus sativus L.) stigmas from Jammu & Kashmir, India. Cogent Food Agric. 2016, 2, 1158999. [Google Scholar]
- Ogedegbe, H.O. An Overview of Hemostasis. Lab. Med. 2002, 33, 948–953. [Google Scholar] [CrossRef]
- Shiping, M.; Baolin, L.; Sudi, Z.; Xiangwei, X.; Qiaoqiao, Y.; Jinxiang, Z. Pharmacological studies of glycosides of saffron Crocus (Crocus sativus). II. Effects on blood coagulation, platelet aggregation and thromobosis. Zhong Cao Yao Chin. Tradit. Herb. Drugs. 1999, 30, 196–198. [Google Scholar]
- Khan, A.; Muhamad, N.A.; Ismail, H.; Nasir, A.; Khalil, A.A.K.; Anwar, Y.; Khan, Z.; Ali, A.; Taha, R.M.; Al-Shara, B.; et al. Potential Nutraceutical Benefits of In Vivo Grown Saffron (Crocus sativus L.) As Analgesic, Anti-inflammatory, Anticoagulant, and Antidepressant in Mice. Plants 2020, 9, 1414. [Google Scholar] [CrossRef]
- Yang, L.; Qian, Z.; Yang, Y.; Sheng, L.; Ji, H.; Zhou, C.; Kazi, H.A. Involvement of Ca2+ in the inhibition by crocetin of platelet activity and thrombosis formation. J. Agric. Food Chem. 2008, 56, 9429–9433. [Google Scholar] [CrossRef]
- Ayatollahi, H.; Javan, A.O.; Khajedaluee, M.; Shahroodian, M.; Hosseinzadeh, H. Effect of Crocus sativus L. (Saffron) on Coagulation and Anticoagulation Systems in Healthy Volunteers. Phytother. Res. 2013, 28, 539–543. [Google Scholar] [CrossRef] [PubMed]
- Anis, S.; Ali, T.; Seiied, S.S.; Razieh, K.; Haniye, T.; Mohammadhossein, T.; Nasim, S.E.; Seyyed, M.M.A.D.; Niloofar, D. A review of the anti-diabetic potential of saffron. Nutr. Metab. Insights. 2022, 15, 11786388221095224. [Google Scholar] [CrossRef]
- Dada, F.A.; Oyeleye, S.I.; Ogunsuyi, O.B.; Olasehinde, T.A.; Adefegha, S.A.; Oboh, G.; Boligon, A.A. Phenolic constituents and modulatory effects of Raffia palm leaf (Raphia hookeri) extract on carbohydrate hydrolyzing enzymes linked to type-2 diabetes. J. Tradit. Complement. Med. 2017, 7, 494–500. [Google Scholar] [CrossRef] [PubMed]
- Institute for Laboratory Animal Research (ILAR). Guide for the Care and Use of Laboratory Animals, 8th ed.; National Academies Press (US): Washington, DC, USA, 2011. [Google Scholar]
- Akrout, A.; Chemli, R.; Chreïf, I.; Hammami, M. Analysis of the essential oil of Artemisia campestris L. Flavour Fragr. J. 2001, 16, 337–339. [Google Scholar] [CrossRef]
- Kovats, E.S. Gas chromatographic characterization of organic substances in the retention index system. Adv Chromatogr. 1965, 1, 229–247. [Google Scholar]
- Adams, R.P. Identification of Essential Oil Components by Gas. Chromatography/Mass Spectrometry, 4th ed.; Allured Publishing Corporation: Carol Stream, IL, USA, 2007. [Google Scholar]
- Hübschmann, H.J. Handbook of GC-MS: Fundamentals and Applications; John Wiley & Sons: Hoboken, NJ, USA, 2015. [Google Scholar]
- Dohou, R.; Yamni, K.; Tahrouch, S.; Hassani, L.I.; Badoc, A.; Gmira, N. Screening Phytochimique d’une Endémique Iberomarocaine, Thymelaea lythroides. Bull.-Société Pharm. Bordx. 2003, 142, 61–78. [Google Scholar]
- Judith, M.D. Etude Phytochimique et Pharmacologique de Cassia nigricans Vhal (Caeslpiniaceae) Utilisée Dans le Traitement des Dermatoses au Tchad. Ph.D. Thesis, Thèse de Pharmacie, Université de Bamako, Bamako, Mali, 2005; pp. 136–140. [Google Scholar]
- Mezzoug, N.; Elhadri, A.; Dallouh, A.; Amkiss, S.; Skali, N.S.; Abrini, J.; Zhiri, A.; Baudoux, D.; Diallo, B.; El Jaziri, M.; et al. Investigation of the Mutagenic and Antimutagenic Effects of Origanum Compactum Essential Oil and Some of Its Constituents. Mutat. Res. Toxicol. Environ. Mutagen. 2007, 629, 100–110. [Google Scholar] [CrossRef]
- Bekro, Y.A.; Mamyrbekova, J.A.; Boua, B.B.; Bi, F.H.T.; Ehile, E.E. Etude ethnobotanique et screening phytochimque de Caesalpina benthamiana (Ball). Herend et Zarucchi (Caesalpiniaceae). Sci. Nat. 2007, 4, 217–225. [Google Scholar]
- Bruneton, J. Pharmacognosie, Phytochimie et Plantes Médicinales, 4th ed.; Technique et Documentation; Lavoisier: Paris, France, 2009; p. 1268. [Google Scholar]
- N’Guessan, K.; Kadja, B.; Zirihi, G.; Traoré, D.; Ake-Assi, L. Screening phytochimique de quelques plantes médicinales ivoiriennes utilisées en pays Krobou (Agboville, Côte-d’Ivoire). Sci. Nat. 2009, 6. [Google Scholar] [CrossRef]
- Singleton, V.L.; Rossi, J.A. Colorimetry of total phenolics with phosphomolybdic-phosphotungstic acid reagents. Am. J. Enol. Vitic. 1965, 16, 144–158. [Google Scholar]
- Djeridane, A.; Yousfi, M.; Nadjemi, B.; Boutassouna, D.; Stocker, P.; Vidal, N. Antioxidant activity of some Algerian medicinal plants extracts containing phenolic compounds. Food. Chem. 2006, 97, 654–660. [Google Scholar] [CrossRef]
- Hung, P.V.; Maeda, T.; Miyatake, K.; Morita, N. Total phenolic compounds and antioxidant capacity of wheat graded flours by polishing method. Food Res. Int. 2009, 42, 185–190. [Google Scholar] [CrossRef]
- Price, M.L.; Van Scoyoc, S.; Butler, L.G. A critical evaluation of the vanillin reaction as an assay for tannin in sorghum grain. J. Agric. Food Chem. 1978, 26, 1214–1218. [Google Scholar] [CrossRef]
- Willis, R.B.; Allen, P.R. Improved method for measuring hydrolysable tannins using potassium iodate. Analyst 1998, 123, 435–439. [Google Scholar] [CrossRef]
- Skujins, S. Handbook for ICP-AES (Varıan-Vista). A Short Guide to Vista Series ICP-AES Operation; Varian International AG: Steinhausen, Switzerland, 1998. [Google Scholar]
- Brand-Williams, W.; Cuvelier, M.E.; Berset, C. Use of a free radical method to evaluate antioxidant activity. LWT—Food Sci. Technol. 1995, 28, 25–30. [Google Scholar] [CrossRef]
- Tagnaout, I.; Zerkani, H.; Mahjoubi, M.; Bourakhouadar, M.; Alistiqsa, F.; Bouzoubaa, A.; Zair, T. Phytochemical study, antibacterial and antioxidant activities of extracts of Capparis spinosa L. Int. J. Pharmacol. Phytochem. Res. 2016, 8, 1993–2006. [Google Scholar]
- Končić, M.Z.; Kremer, D.; Karlović, K.; Kosalec, I. Evaluation of antioxidant activities and phenolic content of Berberis vulgaris L. and Berberis croatica Horvat. Food Chem. Toxicol. 2009, 48, 2176–2180. [Google Scholar] [CrossRef]
- Oyaizu, M. Studies on Products of Browning Reaction—Antioxidative Activities of Products of Browning Reaction Prepared from Glucosamine. Jpn. J. Nutr. 1986, 44, 307–315. [Google Scholar] [CrossRef]
- Khiya, Z.; Oualcadi, Y.; Gamar, A.; Berrekhis, F.; Zair, T.; Hilali, F.E. Correlation of Total Polyphenolic Content with Antioxidant Activity of Hydromethanolic Extract and Their Fractions of the Salvia officinalis Leaves from Different Regions of Morocco. J. Chem. 2021, 2021, e8585313. [Google Scholar] [CrossRef]
- Balouiri, M.; Sadiki, M.; Ibnsouda, S.K. Methods for in vitro evaluating antimicrobial activity: A review. J. Pharm. Anal. 2016, 6, 71–79. [Google Scholar] [CrossRef] [PubMed]
- Bissel, S.J.; Winkler, C.C.; DelTondo, J.; Wang, G.; Williams, K.; Wiley, C.A. Coxsackievirus B4 myocarditis and meningoencephalitis in newborn twins. Neuropathology 2014, 34, 429–437. [Google Scholar] [CrossRef] [PubMed]
- Hmidani, A.; Bouhlali, E.d.T.; Khouya, T.; Ramchoun, M.; Filali-zegzouti, Y.; Benlyas, M.; Alem, C. Effect of extraction methods on antioxidant and anticoagulant activities of Thymus atlanticus aerial part. Sci. Afr. 2019, 5, e00143. [Google Scholar] [CrossRef]
- Daoudi, N.E.; Bouhrim, M.; Ouassou, H.; Legssyer, A.; Mekhfi, H.; Ziyyat, A.; Aziz, M.; Bnouham, M. Inhibitory effect of roasted/unroasted Argania spinosa seeds oil on α-glucosidase, α-amylase and intestinal glucose absorption activities. South Afr. J. Bot. 2020, 135, 413–420. [Google Scholar] [CrossRef]
- Chatsumpun, N.; Sritularak, B.; Likhitwitayawuid, K. New biflavonoids with α-glucosidase and pancreatic lipase inhibitoryactivities from Boesenbergia rotunda. Molecules 2017, 22, 1862. [Google Scholar] [CrossRef] [PubMed]
- Weng, L.; Chen, T.H.; Zheng, Q.; Weng, W.H.; Huang, L.; Lai, D.; Fu, Y.S.; Weng, C.F. Syringaldehyde promoting intestinal motility with suppressing alpha-amylase hinders starch digestion in diabetic mice. Biomed. Pharm. 2021, 141, 111865. [Google Scholar] [CrossRef]












| Species | Properties | ||
|---|---|---|---|
| Yield (%) | Color | Smell | |
| C. sativus | 0.25 ± 0.01 | Deep yellow | Spicy and woody aromatics |
| KI | Compounds | Area (%) |
|---|---|---|
| 856 | (R)-(-)-2,2-dimethyl-1,3-dioxolane-4-methanol | 11.65 |
| 912 | 2-acetylfuran | 1.42 |
| 1017 | γ-terpinene | 1.32 |
| 1050 | 2-acetylcyclopentanone | 0.86 |
| 1070 | Trans-arbusculone | 0.91 |
| 1121 | Isophorone | 3.56 |
| 1095 | Phorone | 12.90 |
| 1145 | 4-keto-isophorone | 4.72 |
| 1196 | Safranal | 6.39 |
| 1230 | Duroquinone | 1.10 |
| 1252 | Thymoquinone | 2.42 |
| 1282 | 2-ethyl menthone | 0.93 |
| 1289 | Cyclopent-2-en-1-one, 2-pentyl- | 2.03 |
| 1314 | 2,3,4-trimethyl benzaldehyde | 1.25 |
| 1436 | Dihydro-β-ionone | 8.62 |
| 1455 | β-ionone epoxide | 0.78 |
| 1488 | Trans-β-ionone | 4.81 |
| 1668 | (Z)-Coniferyl alcohol | 3.62 |
| 1800 | Octadecane | 1.20 |
| 1812 | Isopropyl myristate | 2.38 |
| 1900 | Nonadecane | 1.91 |
| 2000 | Eicosane | 3.27 |
| 2010 | Isopropyl palmitate | 9.68 |
| 2049 | 4-tert-Octyl-o-cresol | 1.29 |
| 2060 | 13-epi-manool | 2.46 |
| 2065 | 1-eicosanol | 4.55 |
| 2100 | Heneicosane <n-> | 3.96 |
| Monoterpene hydrocarbons (%) | 1.32 | |
| Oxygenated monoterpenes (%) | 67.97 | |
| Hydrocarbon sesquiterpenes (%) | 3.11 | |
| Oxygenated sesquiterpenes (%) | 13.35 | |
| Hydrocarbon diterpenes (%) | 7.23 | |
| Oxygenated diterpenes (%) | 7.01 | |
| Total (%) | 99.99 | |
| Compounds/Species | C. sativus | |
|---|---|---|
| Part used | Stigma | |
| Sterols and triterpenes | +++ | |
| Flavonoids | ++ | |
| Anthocyanins | - | |
| Tannins | Catechic tannins | - |
| Gallic tannins | + | |
| Anthracene derivatives | Quinones | - |
| O-Heterosides | - | |
| C-Heterosides | - | |
| Saponosides | + | |
| Alkaloids | Dragendorff | ++ |
| Mayer | ++ | |
| N° Pics | TR (min) | Molecules | Classes | MS [M-H]− m/z | Exact Weights | Area (%) | ||
|---|---|---|---|---|---|---|---|---|
| E (0) | E (1) | E (2) | ||||||
| 1 | 4.04 | Safranal | Other | 149 | 150 | 0.78 | 3.83 | 0.69 |
| 2 | 4.28 | Caffeoyl coumaroyl methyl citric acid | Phenolic acid | 551-387 | 552 | 0.76 | 2.08 | 0.59 |
| 3 | 4.63 | Quinic malonyl glucoside acid | Other | 439 | 440 | 0 | 0.17 | 0.07 |
| 4 | 4.75 | Hydroxybenzoic acid hexoside | Polyphenol | 299-239-179 | 300 | 0.01 | 0.29 | 0.02 |
| 5 | 4.90 | Caffeic acid glycoside dimmer | Phenolic acid | 683 | 684 | 0.02 | 0.34 | 0.03 |
| 6 | 5.68 | Isorhamnetin 3-O-neohesperidoside | Flavonoide | 623 | 624 | 0.01 | 0.15 | 0.02 |
| 7 | 9.59 | Kaempferol 3-(6″-acetylglucoside) | Flavonoid | 489 | 490 | 0.63 | 1.77 | 1.02 |
| 8 | 14.16 | Syringetin hexoside | Flavonoid | 345-507 | 508 | 5.86 | 3.09 | 2.8 |
| 9 | 15.14 | Xanthoangelol | Flavonoid | 391 | 392 | 1.57 | 2.77 | 1.3 |
| 10 | 15.77 | Secoisolariciresinol | Polyphenol | 361 | 362 | 2.52 | 0 | 1.53 |
| 11 | 17.30 | Caffeic acid | Phenolic acid | 179 | 180 | 0.01 | 0.13 | 0.01 |
| 12 | 17.25 | Vanillic acid-dihexoside | Phenolic acid | 537 [M + HCOOH-H]− | 492 | 1.65 | 0 | 1.05 |
| 13 | 17.66 | α-tocopherol | Other | 429 | 430 | 0.66 | 0 | 0 |
| 14 | 19.55 | Picrocrocin | Carotenoid | 375 [M-H + HFA]− | 330 | 18.78 | 30.23 | 0.5 |
| 15 | 20.22 | Oleanolic acid | Fatty acid | 409 | 456 | 4.26 | 16 | 6.85 |
| 16 | 23.08 | Apigenin-O-rhamnoside | Flavonoid | 415 | 416 | 1.06 | 0.52 | 0.64 |
| 17 | 24.67 | Gallocatechin-pgd-3-O-glucoside | Flavonoid | 737 | 738 | 1.63 | 1.1 | 3.68 |
| 18 | 25.19 | Trans-crocin-4 (trans-crocetin di(b-D-gentiobiosyl) ester) | Carotenoid | 1021 [M-H + HFA]− | 976 | 10.52 | 1.32 | 17.99 |
| 19 | 25.45 | Trans-crocin-3 (trans-crocetin (b-D-glucosyl)-(b-D-gentiobiosyl) ester) | Carotenoid | 859 [M-H + HFA]− | 814 | 25.65 | 10.1 | 3.58 |
| 20 | 25.90 | Quercetin | Flavonoid | 347 [M-H + HFA]− | 301 | 11.1 | 2.18 | 4.12 |
| 21 | 26.18 | Trans-crocin-2 (trans-crocetin (b-D-gentibiosyl) ester) | Carotenoid | 651 | 652 | 7.8 | 11.25 | 24.58 |
| 22 | 26.27 | β-Carotene | Carotenoid | 581 [M-H + HFA]− | 536 | 1.32 | 4.44 | 7 |
| 23 | 26.69 | Coumaric acid-hexoside | Phenolic acid | 325 | 326 | 0.8 | 0 | 0 |
| 24 | 26.95 | Cis-crocin-4 | Carotenoid | 975 | 976 | 1.06 | 2.58 | 4.12 |
| 25 | 27.15 | Cis-crocin-3 | Carotenoid | 813 | 814 | 0.32 | 1.64 | 1.48 |
| 26 | 27.26 | Trans-crocin-1 | Carotenoid | 489 | 490 | 0.62 | 2.34 | 4.3 |
| 27 | 27.57 | Crocetin | Carotenoid | 327 | 328 | 0.57 | 0.16 | 2.47 |
| Species | Arsenic (As) | Cadmium (Cd) | Chromium (Cr) | Iron (Fe) | Lead (Pb) | Antimony (Sb) | Titanium (Ti) |
|---|---|---|---|---|---|---|---|
| C. sativus | 0.013 | ≤0.001 | 0.005 | 0.513 | 0.305 | 0.001 | 0.017 |
| Maximum limits (FAO/WHO) | 1 | 0.3 | 2 | 20 | 3 | 1 | - |
| Microorganism | C. sativus | Antibiotics * | Antifungals # | ||||||
|---|---|---|---|---|---|---|---|---|---|
| MIC | MBC or MFC | Gentamycin | Amoxicillin–Clavulanate | Vancomycin | Trimethoprim–Sulfamethoxazole | Penicillin G | Terbinafine | ||
| GPC | S. epidermidis | >5000 | >5000 | 2 | >8 | >4/76 | |||
| S. aureus BLACT | 5000 | 5000 | <0.5 | 2 | <10 | ||||
| S. aureus STAIML/MRS/mecA/HLMUP/BLACT | >5000 | >5000 | 2 | >8 | >4/76 | ||||
| S. acidominimus | 5000 | 5000 | ≤250 | <0.5 | 0.03 | ||||
| S. group D | >5000 | >5000 | >1000 | <0.5 | 0.13 | ||||
| S. agalactiae (B) | 5000 | 5000 | ≤250 | >4 | 0.06 | ||||
| S. porcinus | >5000 | >5000 | ≤250 | <0.5 | 0.06 | ||||
| E. faecalis | 2500 | 2500 | ≤500 | 1 | ≤0.5/9.5 | ||||
| E. faecium | >5000 | >5000 | ≤500 | >4 | >4/76 | ||||
| GNB | A. baumannii | 600 | 1200 | ≤1 | ≤2/2 | ≤1/19 | |||
| E. coli | >5000 | >5000 | 2 | 8/2 | ≤1/19 | ||||
| E. coliESBL | >5000 | >5000 | 2 | >8/2 | >4/76 | ||||
| E. aerogenes | >5000 | >5000 | ≤1 | 8/2 | ≤1/19 | ||||
| E. cloacae | >5000 | >5000 | >4 | >8/2 | >4/76 | ||||
| C. koseri | 2500 | 2500 | <1 | >8/2 | <20 | ||||
| K. pneumoniae | 5000 | 5000 | ≤1 | ≤2/2 | ≤1/19 | ||||
| P. mirabilis | 2500 | 2500 | 2 | ≤2/2 | >1/19 | ||||
| P. aeruginosa | >5000 | >5000 | 2 | >8/2 | 4/76 | ||||
| P. fluorescence | 2500 | 2500 | 4 | >8/2 | 4/76 | ||||
| P. putida | >5000 | >5000 | >4 | >8/2 | >4/76 | ||||
| S. marcescences | 5000 | 5000 | 4 | >8/2 | >4/76 | ||||
| Sallemonella sp. | 2500 | 2500 | >4 | 8/2 | >4/76 | ||||
| Shigella sp. | 600 | 1200 | >4 | 8/2 | >4/76 | ||||
| Y. enterolitica | 2500 | 2500 | ≤1 | 8/2 | 2/38 | ||||
| Yeasts | C. albicans | >5000 | >5000 | 12.500 | |||||
| C. kefyr | 2500 | 2500 | 25.000 | ||||||
| C. krusei | >5000 | >5000 | 50.000 | ||||||
| C. parapsilosis | 2500 | 2500 | 6.250 | ||||||
| C. tropicalis | >5000 | >5000 | 12.500 | ||||||
| C. dubliniensis | >5000 | >5000 | 3.125 | ||||||
| S. cerevisiae | >5000 | >5000 | 3.125 | ||||||
| Molds | A. niger | 2500 | 2500 | 3.125 | |||||
| Scientific Name | Part Collected | Type of Extract Used | Harvesting Area | ||||||
|---|---|---|---|---|---|---|---|---|---|
| Region | Province | Municipality | Latitude (x) | Longitude (y) | Altitude (m) | Collection Period | |||
| Crocus sativus L. | Stigma | EO and extract | Fez-Meknes | Boulemane | Serghina | 33°20′44″ N | 4°24′11″ W | 1496 m | September 2019 |
| Strains | Abbreviations | References | |
|---|---|---|---|
| Gram-positive cocci | Staphyloccocus epidermidis | S. epidermidis | 5994 |
| Staphyloccocus aureus BLACT | S. aureus BLACT | 4IH2510 | |
| Staphyloccocus aureus STAIML/MRS/mecA/HLMUP/BLACT | S. aureus STAIML/MRS/mecA/HLMUP/BLACT | 2DT2220 | |
| Streptococcus acidominimus | S. acidominimus | 7DT2108 | |
| Streptococcus group D | S. group D | 3EU9286 | |
| Streptococcus agalactiae | S. agalactiae | 7DT1887 | |
| Streptococcus porcinus | S. porcinus | 2EU9285 | |
| Enterococcus faecalis | E. faecalis | 2CQ9355 | |
| Enterococcuss faecium | E. faecium | 13EU7181 | |
| Gram-negative bacilli | Acinetobacter baumannii | A. baumannii | 7DT2404 |
| Escherichia coli | E. coli | 3DT1938 | |
| Escherichia coliESBL | E. coli ESBL | 2DT2057 | |
| Enterobacter aerogenes | E. aerogenes | 07CQ164 | |
| Enterobacter cloacae | E. cloacae | 02EV317 | |
| Citrobacter koseri | C. koseri | 3DT2151 | |
| Klebsiella pneumonie ssp. pneumonie | K. pneumonie | 3DT1823 | |
| Proteus mirabilis | P. mirabilis | 2DS5461 | |
| Pseudomonas aerogenosa | P. aerogenosa | 2DT2138 | |
| Pseudomonas fluorescence | P. fluorescence | 5442 | |
| Pseudomonas putida | P. putida | 2DT2140 | |
| Serratia marcescens | S. marcescens | 375BR6 | |
| Salmonella sp. | Salmonella sp. | 2CG5132 | |
| Shigella sp. | Shigella sp. | 7DS1513 | |
| Yersinia enterocolitica | Y. enterocolitica | ATCC27729 | |
| Yeasts | Candida albicans | C. albicans | Ca |
| Candida kefyr | C. kefyr | Cky | |
| Candida krusei | C. krusei | Ckr | |
| Candida parapsilosis | C. parapsilosis | Cpa | |
| Candida tropicalis | C. tropicalis | Ct | |
| Candida dubliniensis | C. dubliniensis | Cd | |
| Saccharomyces cerevisiae | S. cerevisiae | Sacc | |
| Fungi | Aspergillus niger | A. niger | AspN |
| Extraction Methods | Solvents | Codification |
|---|---|---|
| Soxhlet | Ethanol/Water (70/30; v/v) | E (2) |
| Water | E (1) | |
| Decoction | Water | E (0) |
Disclaimer/Publisher’s Note: The statements, opinions and data contained in all publications are solely those of the individual author(s) and contributor(s) and not of MDPI and/or the editor(s). MDPI and/or the editor(s) disclaim responsibility for any injury to people or property resulting from any ideas, methods, instructions or products referred to in the content. |
© 2023 by the authors. Licensee MDPI, Basel, Switzerland. This article is an open access article distributed under the terms and conditions of the Creative Commons Attribution (CC BY) license (https://creativecommons.org/licenses/by/4.0/).
Share and Cite
Drioiche, A.; Ailli, A.; Handaq, N.; Remok, F.; Elouardi, M.; Elouadni, H.; Al Kamaly, O.; Saleh, A.; Bouhrim, M.; Elazzouzi, H.; et al. Identification of Compounds of Crocus sativus by GC-MS and HPLC/UV-ESI-MS and Evaluation of Their Antioxidant, Antimicrobial, Anticoagulant, and Antidiabetic Properties. Pharmaceuticals 2023, 16, 545. https://doi.org/10.3390/ph16040545
Drioiche A, Ailli A, Handaq N, Remok F, Elouardi M, Elouadni H, Al Kamaly O, Saleh A, Bouhrim M, Elazzouzi H, et al. Identification of Compounds of Crocus sativus by GC-MS and HPLC/UV-ESI-MS and Evaluation of Their Antioxidant, Antimicrobial, Anticoagulant, and Antidiabetic Properties. Pharmaceuticals. 2023; 16(4):545. https://doi.org/10.3390/ph16040545
Chicago/Turabian StyleDrioiche, Aziz, Atika Ailli, Nadia Handaq, Firdaous Remok, Mohamed Elouardi, Hajar Elouadni, Omkulthom Al Kamaly, Asmaa Saleh, Mohamed Bouhrim, Hanane Elazzouzi, and et al. 2023. "Identification of Compounds of Crocus sativus by GC-MS and HPLC/UV-ESI-MS and Evaluation of Their Antioxidant, Antimicrobial, Anticoagulant, and Antidiabetic Properties" Pharmaceuticals 16, no. 4: 545. https://doi.org/10.3390/ph16040545
APA StyleDrioiche, A., Ailli, A., Handaq, N., Remok, F., Elouardi, M., Elouadni, H., Al Kamaly, O., Saleh, A., Bouhrim, M., Elazzouzi, H., El Makhoukhi, F., & Zair, T. (2023). Identification of Compounds of Crocus sativus by GC-MS and HPLC/UV-ESI-MS and Evaluation of Their Antioxidant, Antimicrobial, Anticoagulant, and Antidiabetic Properties. Pharmaceuticals, 16(4), 545. https://doi.org/10.3390/ph16040545

