Anti-Obesity and Anti-Inflammatory Effects of Novel Carvacrol Derivatives on 3T3-L1 and WJ-MSCs Cells
Abstract
1. Introduction
2. Results and Discussion
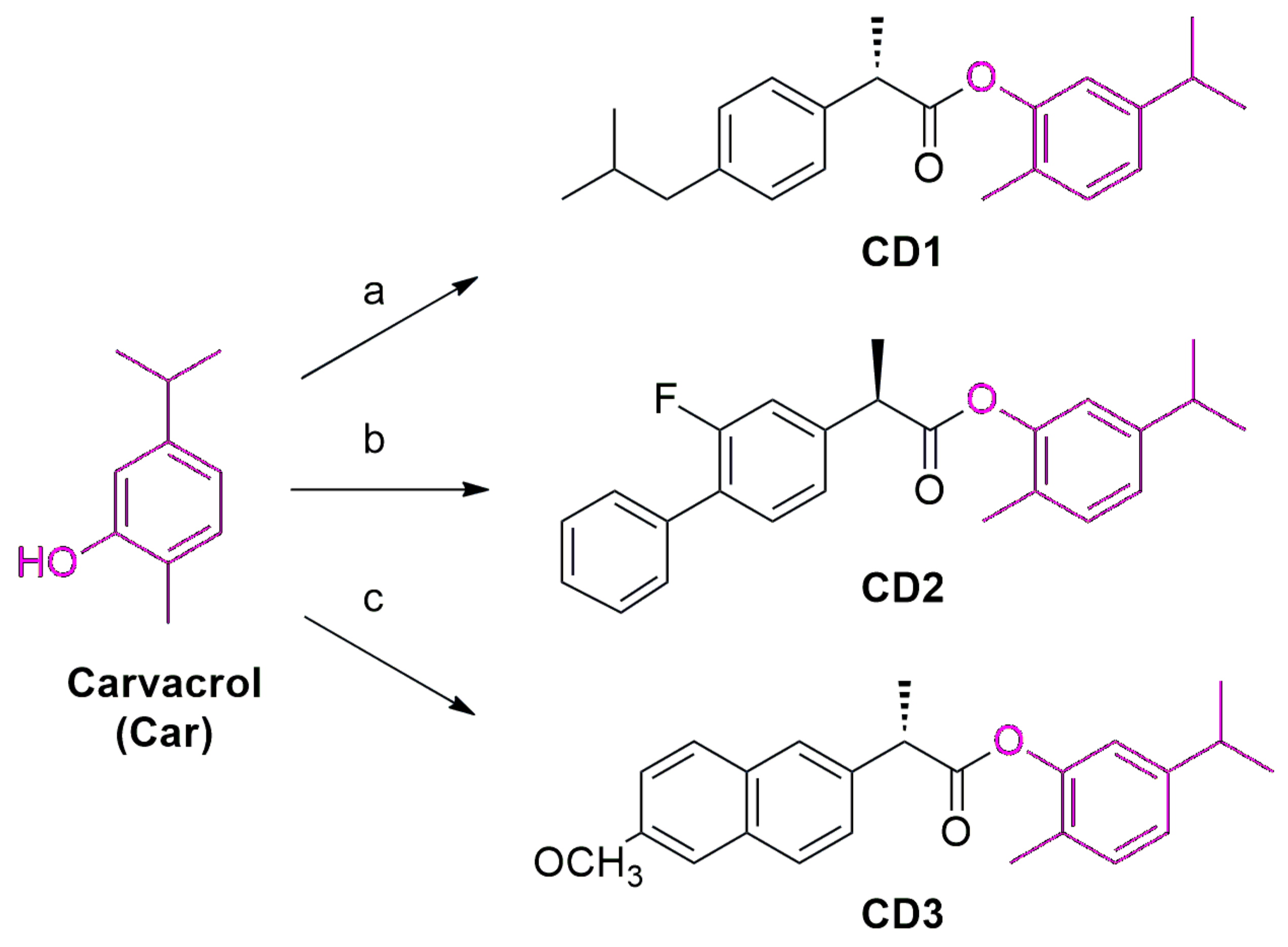
2.1. Synthesis
2.2. In Silico Evaluation of Physicochemical Properties
2.3. Stability Studies
2.4. Anti-Adipogenic Activity
2.4.1. Effect of CD1–3 on ChREBP Activity during Adipogenic Differentiation
2.4.2. Effect of CD1–3 on TNF-α Release in LPS-Treated THP-1 Cells
3. Materials and Methods
3.1. Chemistry
3.1.1. Synthesis of (S)-5-isopropyl-2-methyl-phenyl 2-(4-isobutilphenyl) Propanoate (CD1)
3.1.2. General Procedures for the Synthesis of CD2 and CD3
3.2. In Silico Evaluation of Physicochemical Properties
3.3. Stability in Gastrointestinal Fluids
3.4. Human Plasma Stability
3.5. Biological Assays
3.5.1. Cell Cultures
3T3-L1
WJ-MSC
THP-1
3.5.2. Adipogenic Differentiation
3.5.3. Oil-Red O Staining to Detect Adipogenic Differentiation
3.5.4. Induction of Cell Differentiation (Stimulation of Transformation into Tissue Macrophages)
3.5.5. ELISA
3.5.6. Western Blotting
4. Conclusions
Supplementary Materials
Author Contributions
Funding
Institutional Review Board Statement
Informed Consent Statement
Data Availability Statement
Conflicts of Interest
References
- Engin, A. The definition and prevalence of obesity and metabolic syndrome. In Obesity and Lipotoxicity; Advances in Experimental Medicine and Biology; Springer: Cham, Switzerland, 2017; Volume 960, pp. 1–17. [Google Scholar] [CrossRef]
- Endalifer, M.L.; Diress, G. Epidemiology, predisposing factors, biomarkers, and prevention mechanism of obesity: A systematic review. J. Obes. 2020, 2020, 6134362. [Google Scholar] [CrossRef]
- Divella, R.; De Luca, R.; Abbate, I.; Naglieri, E.; Daniele, A. Obesity and cancer: The role of adipose tissue and adipocytokines-induced chronic inflammation. J. Cancer 2016, 7, 2346–2359. [Google Scholar] [CrossRef]
- Di Francesco, S.; Robuffo, I.; Caruso, M.; Giambuzzi, G.; Ferri, D.; Militello, A.; Toniato, E. Metabolic alterations, aggressive hormone-naïve prostate cancer and cardiovascular disease: A complex relationship. Medicina 2019, 55, 62. [Google Scholar] [CrossRef]
- Badman, M.K.; Flier, J.S. The adipocyte as an active participant in energy balance and metabolism. Gastroenterology 2007, 132, 2103–2115. [Google Scholar] [CrossRef]
- Trayhurn, P. Adipokines: Inflammation and the pleiotropic role of white adipose tissue. Br. J. Nutr. 2022, 127, 161–164. [Google Scholar] [CrossRef]
- Zhao, J.; Zhou, A.; Qi, W. The potential to fight obesity with adipogenesis-modulating compounds. Int. J. Mol. Sci. 2022, 23, 2299. [Google Scholar] [CrossRef]
- Hotamisligil, G.S.; Spiegelman, B.M. Tumor necrosis factor-alpha: A key component of the obesity-diabetes link. Diabetes 1994, 43, 1271–1278. [Google Scholar] [CrossRef]
- Chen, C.C.; Sun, Y.T.; Chen, J.J.; Chiu, K.T. TNF-alpha-induced cyclooxygenase-2 expression in human lung epithelial cells: Involvement of the phospholipase C-gamma 2, protein kinase C-alpha, tyrosine kinase, NF-kappa B-inducing kinase, and I-kappa B kinase 1/2 pathway. J. Immunol. 2000, 165, 2719–2728. [Google Scholar] [CrossRef]
- Hube, F.; Hauner, H. The role of TNF-alpha in human adipose tissue: Prevention of weight gain at the expense of insulin resistance? Horm. Metab. Res. 1999, 31, 626–631. [Google Scholar] [CrossRef]
- Ju, Z.; Li, M.; Xu, J.; Howell, D.C.; Li, Z.; Chen, F.E. Recent development on COX-2 inhibitors as promising anti-inflammatory agents: The past 10 years. Acta Pharm. Sin. B 2022, 12, 2790–2807. [Google Scholar] [CrossRef]
- Puhl, A.C.; Milton, F.A.; Cvoro, A.; Sieglaff, D.H.; Campos, J.C.; Bernardes, A.; Filgueira, C.S.; Lindemann, J.L.; Deng, T.; Neves, F.A.; et al. Mechanisms of peroxisome proliferator-activated receptor γ regulation by non-steroidal anti-inflammatory drugs. Nucl. Recept. Signal. 2015, 13, e004. [Google Scholar] [CrossRef]
- Knight, D.M.; Chapman, A.B.; Navre, M.; Drinkwater, L.; Bruno, J.J.; Ringold, G.M. Requirements for triggering of adipocyte differentiation by glucocorticoids and indomethacin. Mol. Endocrinol. 1987, 1, 36–43. [Google Scholar] [CrossRef]
- Lehmann, J.M.; Lenhard, J.M.; Oliver, B.B.; Ringold, G.M.; Kliewer, S.A. Peroxisome proliferator-activated receptors alpha and gamma are activated by indomethacin and other non-steroidal anti-inflammatory drugs. J. Biol. Chem. 1997, 272, 3406–3410. [Google Scholar] [CrossRef]
- Ye, H.; Serrero, G. Stimulation of adipose differentiation-related protein (ADRP) expression by ibuprofen and indomethacin in adipocyte precursors and in adipocytes. Biochem. J. 1998, 330, 803–809. [Google Scholar] [CrossRef]
- Kaupang, Å.; Hansen, T.V. The PPAR Ω pocket: Renewed opportunities for drug development. PPAR Res. 2020, 2020, 9657380. [Google Scholar] [CrossRef]
- Hosoi, T.; Yamaguchi, R.; Noji, K.; Matsuo, S.; Baba, S.; Toyoda, K.; Suezawa, T.; Kayano, T.; Tanaka, S.; Ozawa, K. Flurbiprofen ameliorated obesity by attenuating leptin resistance induced by endoplasmic reticulum stress. EMBO Mol. Med. 2014, 6, 335–346. [Google Scholar] [CrossRef]
- Hosoi, T.; Baba, S.; Ozawa, K. Therapeutic potential of flurbiprofen against obesity in mice. Biochem. Biophys. Res. Comm. 2014, 449, 132–134. [Google Scholar] [CrossRef]
- Hosoi, T.; Suyama, Y.; Kayano, T.; Ozawa, K. Flurbiprofen ameliorates glucose deprivation-induced leptin resistance. Front. Pharmacol. 2016, 7, 354. [Google Scholar] [CrossRef]
- Bradley, M. Reducing the risk of NSAID-related gastrointestinal problems: An update. Drug Ther. Bull. 2020, 58, 89–92. [Google Scholar] [CrossRef]
- Wong, S.H.; Chan, F.K.L. NSAIDs and Aspirin: Recent Advances and Implications for Clinical Management; Lanas, A., Ed.; Springer: Cham, Switzerland, 2016; pp. 45–59. [Google Scholar]
- Pompei, A.; Toniato, E.; Innocenti, P.; D’Alimonte, I.; Cellini, C.; Mattoscio, D.; Cotellese, R.; Bosco, D.; Ciccarelli, R.; Dadorante, V.; et al. Cyanidin reduces preadipocyte differentiation and relative ChREBP expression. J. Biol. Regul. Homeost. Agents 2012, 26, 253–264. [Google Scholar]
- Barbagallo, I.; Li Volti, G.; Sorrenti, V.; Di Giacomo, C.; Acquaviva, R.; Raffaele, M.; Vanella, L. Caffeic acid Phenethyl Ester restores adipocyte gene profile expression following lipolysaccharide treatment. Lett. Drug Des. Discov. 2017, 14, 481–487. [Google Scholar] [CrossRef]
- Wang, J.; Zhang, Y.; Shen, Q.; Wu, J.; Li, J.X. Oleanolic acid derivative HA-20 inhibits adipogenesis in a manner involving PPARγ-FABP4/aP2 pathway. J. Mol. Endocrinol. 2021, 66, 245–258. [Google Scholar] [CrossRef]
- Saleh, H.A.; Yousef, M.H.; Abdelnaser, A. The anti-inflammatory properties of phytochemicals and their effects on epigenetic mechanisms involved in TLR4/NF-κB-mediated inflammation. Front. Immunol. 2021, 12, 606069. [Google Scholar] [CrossRef]
- Cho, S.; Choi, Y.; Park, S.; Park, T. Carvacrol prevents diet-induced obesity by modulating gene expressions involved in adipogenesis and inflammation in mice fed with high-fat diet. J. Nutr. Biochem. 2012, 23, 192–201. [Google Scholar] [CrossRef]
- Spalletta, S.; Flati, V.; Toniato, E.; Di Gregorio, J.; Marino, A.; Pierdomenico, L.; Marchisio, M.; D’Orazi, G.; Cacciatore, I.; Robuffo, I. Carvacrol reduces adipogenic differentiation by modulating autophagy and ChREBP expression. PLoS ONE 2018, 13, e0206894. [Google Scholar] [CrossRef]
- Taticchi, A.; Urbani, S.; Albi, E.; Servili, M.; Codini, M.; Traina, G.; Balloni, S.; Patria, F.F.; Perioli, L.; Beccari, T.; et al. In vitro anti-inflammatory effects of phenolic compounds from moraiolo virgin olive oil (MVOO) in brain cells via regulating the TLR4/NLRP3 axis. Molecules 2019, 24, 4523. [Google Scholar] [CrossRef]
- Sharifi-Rad, M.; Varoni, E.M.; Iriti, M.; Martorell, M.; Setzer, W.N.; Del Mar Contreras, M.; Salehi, B.; Soltani-Nejad, A.; Rajabi, S.; Tajbakhsh, M.; et al. Carvacrol and human health: A comprehensive review. Phytother. Res. 2018, 32, 1675–1687. [Google Scholar] [CrossRef]
- Imran, M.; Aslam, M.; Alsagaby, S.A.; Saeed, F.; Ahmad, I.; Afzaal, M.; Arshad, M.U.; Abdelgawad, M.A.; El-Ghorab, A.H.; Khames, A.; et al. Therapeutic application of carvacrol: A comprehensive review. Food Sci. Nutr. 2022, 10, 3544–3561. [Google Scholar] [CrossRef]
- Marinelli, L.; Fornasari, E.; Eusepi, P.; Ciulla, M.; Genovese, S.; Epifano, F.; Fiorito, S.; Turkez, H.; Örtücü, S.; Mingoia, M.; et al. Carvacrol prodrugs as novel antimicrobial agents. Eur. J. Med. Chem. 2019, 178, 515–529. [Google Scholar] [CrossRef]
- Mingoia, M.; Conte, C.; Di Rienzo, A.; Dimmito, M.P.; Marinucci, L.; Magi, G.; Turkez, H.; Cufaro, M.C.; Del Boccio, P.; Di Stefano, A.; et al. Synthesis and biological evaluation of novel cinnamic acid-based antimicrobials. Pharmaceuticals 2022, 15, 228. [Google Scholar] [CrossRef]
- Cacciatore, I.; Di Giulio, M.; Fornasari, E.; Di Stefano, A.; Cerasa, L.S.; Marinelli, L.; Turkez, H.; Di Campli, E.; Di Bartolomeo, S.; Robuffo, I.; et al. Carvacrol codrugs: A new approach in the antimicrobial plan. PLoS ONE 2015, 10, e0120937. [Google Scholar] [CrossRef]
- Sisto, F.; Carradori, S.; Guglielmi, P.; Traversi, C.B.; Spano, M.; Sobolev, A.P.; Secci, D.; Di Marcantonio, M.C.; Haloci, E.; Grande, R.; et al. Synthesis and biological evaluation of carvacrol-based derivatives as dual inhibitors of H. pylori strains and AGS cell proliferation. Pharmaceuticals 2020, 13, 405. [Google Scholar] [CrossRef]
- De Oliveira Pedrosa Rolim, M.; de Almeida, A.R.; da Rocha Pitta, M.G.; de Melo Rêgo, M.J.B.; Quintans-Júnior, L.J.; de Souza Siqueira Quintans, J.; Heimfarth, L.; Scotti, L.; Scotti, M.T.; da Cruz, R.M.D.; et al. Design, synthesis and pharmacological evaluation of CVIB, a codrug of carvacrol and ibuprofen as a novel anti-inflammatory agent. Int. Immunopharmacol. 2019, 76, 105856. [Google Scholar] [CrossRef]
- Daina, A.; Michielin, O.; Zoete, V. SwissADME: A free web tool to evaluate pharmacokinetics, drug-likeness and medicinal chemistry friendliness of small molecules. Sci. Rep. 2017, 7, 42717. [Google Scholar] [CrossRef]
- Cornacchia, C.; Marinelli, L.; Di Rienzo, A.; Dimmito, M.P.; Serra, F.; Di Biase, G.; De Filippis, B.; Turkez, H.; Mardinoglu, A.; Bellezza, I.; et al. Development of L-dopa-containing diketopiperazines as blood-brain barrier shuttle. Eur. J. Med. Chem. 2022, 243, 114746. [Google Scholar] [CrossRef]
- Vishvanath, L.; Gupta, R.K. Contribution of adipogenesis to healthy adipose tissue expansion in obesity. J. Clin. Investig. 2019, 129, 4022–4031. [Google Scholar] [CrossRef]
- Nyambuya, T.M.; Dludla, P.V.; Mxinwa, V.; Nkambule, B.B. Obesity-induced inflammation and insulin resistance: A mini-review on T-cells. Metab. Open 2019, 3, 100015. [Google Scholar] [CrossRef]
- Kaddai, V.; Jager, J.; Gonzalez, T.; Najem-Lendom, R.; Bonnafous, S.; Tran, A.; Le Marchand-Brustel, Y.; Gual, P.; Tanti, J.F.; Cormont, M. Involvement of TNF-alpha in abnormal adipocyte and muscle sortilin expression in obese mice and humans. Diabetologia 2009, 52, 932–940. [Google Scholar] [CrossRef]
- Avolio, F.; Martinotti, S.; Khavinson, V.K.; Esposito, J.E.; Giambuzzi, G.; Marino, A.; Mironova, E.; Pulcini, R.; Robuffo, I.; Bologna, G.; et al. Peptides regulating proliferative activity and inflammatory pathways in the monocyte/macrophage THP-1 cell line. Int. J. Mol. Sci. 2022, 23, 3607. [Google Scholar] [CrossRef]
- Bellezza, I.; Grottelli, S.; Mierla, A.L.; Cacciatore, I.; Fornasari, E.; Roscini, L.; Minelli, A. Neuroinflammation and endoplasmic reticulum stress are coregulated by cyclo(his-pro) to prevent LPS neurotoxicity. Int. J. Biochem. Cell Biol. 2014, 51, 159–169. [Google Scholar] [CrossRef]
- Lopez-Jimenez, F.; Almahmeed, W.; Bays, H.; Cuevas, A.; Di Angelantonio, E.; le Roux, C.W.; Wilding, J.P.H. Obesity and cardiovascular disease: Mechanistic insights and management strategies. A joint position paper by the world heart federation and world obesity federation. Eur. J. Prev. Cardiol. 2022, 29, 2218–2237. [Google Scholar] [CrossRef]
- Ejerblad, E.; Fored, C.M.; Lindblad, P.; Fryzek, J.; McLaughlin, J.K.; Nyrén, O. Obesity, and risk for chronic renal failure. J. Am. Soc. Nephrol. 2006, 17, 1695–1702. [Google Scholar] [CrossRef]
- He, Q.-X.; Zhao, L.; Tong, J.-S.; Liang, X.-Y.; Li, R.-N.; Zhang, P.; Liang, X.-H. The impact of obesity epidemic on type 2 diabetes in children and adolescents: A systematic review and meta-analysis. Prim. Care Diabetes 2022, 16, 736–744. [Google Scholar] [CrossRef]
- Martínez-Martínez, E.; Cachofeiro, V. Oxidative stress in obesity. Antioxidants 2022, 11, 639. [Google Scholar] [CrossRef]
- Fu, C.; Jiang, Y.; Guo, J.; Su, Z. Natural products with anti-obesity effects and different mechanisms of action. J. Agric. Food Chem. 2016, 64, 9571–9585. [Google Scholar] [CrossRef]
- Yang, J.H.; Choi, M.H.; Yang, S.H.; Cho, S.S.; Park, S.J.; Shin, H.J.; Ki, S.H. Potent anti-inflammatory and antiadipogenic properties of bamboo (Sasa coreana Nakai) leaves extract and its major constituent flavonoids. J. Agric. Food Chem. 2017, 65, 6665–6673. [Google Scholar] [CrossRef]
- Lamichhane, R.; Pandeya, P.R.; Lee, K.H.; Kim, S.G.; Devkota, H.P.; Jung, H.J. Anti-adipogenic and anti-Inflammatory activities of (-)-epi-osmundalactone and angiopteroside from Angiopteris helferiana C.Presl. Molecules 2020, 25, 1337. [Google Scholar] [CrossRef]
- Jang, S.; Kim, M.-S.; Park, T.; Sim, J.H.; Kim, S.-Y. Screening and identification of an anti-inflammatory and anti-adipogenic constituent from ligularia taqueti Nakai. Nat. Prod. Comm. 2020, 15, 1–8. [Google Scholar] [CrossRef]
- Takemoto, J.K.; Remsberg, C.M.; Davies, N.M. Pharmacologic activities of 3’-hydroxypterostilbene: Cytotoxic, antioxidant, anti-adipogenic, anti-inflammatory, histone deacetylase and sirtuin 1 inhibitory activity. J. Pharm. Pharm. Sci. 2015, 18, 713–727. [Google Scholar] [CrossRef]
- Sung, Y.; Jun, J.G.; Kang, S.W.; Kim, H.S.; Shin, D.; Kang, I.J.; Kang, Y.K. Novel danshen methoxybenzo[b]furan derivative antagonizing adipogenic differentiation and production of inflammatory adipokines. Chem. Biol. Interact. 2010, 188, 457–466. [Google Scholar] [CrossRef]





| Compounds | Water Solubility (mg/mL) | Lipinski’s Rule | TPSA | MR | |||
|---|---|---|---|---|---|---|---|
| MW | LogP | HBA | HBD | ||||
| CD1 | 1.76 × 10−5 | 338.48 | 5.90 | 2 | 0 | 26.30 | 106.17 |
| CD2 | 1.40 × 10−5 | 376.46 | 6.35 | 3 | 0 | 26.30 | 112.17 |
| CD3 | 2.24 × 10−5 | 362.46 | 5.60 | 3 | 0 | 35.53 | 110.78 |
| Car | 3.79 × 10−2 | 150.22 | 2.82 | 1 | 1 | 20.23 | 48.01 |
| CD1 | CD2 | CD3 | |||||
|---|---|---|---|---|---|---|---|
| t½ (h) | kobs (h−1) | t½ (h) | kobs (h−1) | t½ (h) | kobs (h−1) | ||
| Chemical hydrolysis | pH 1.2 | 12.89 (±1.2) | 0.054 (±0.01) | 13.5 (±1.2) | 0.051 (±0.002) | 16.92 (±2.1) | 0.041 (±0.001) |
| pH 7.4 | 5.93 (±0.5) | 0.117 (±0.012) | 8.92 (±0.9) | 0.078 (±0.002) | 9.76 (±1.5) | 0.071 (±0.001) | |
| Human plasma | 2.53 (±0.21) | 0.274 (±0.017) | 3.41 (±0.1) | 0.203 (±0.012) | 4.97 (±0.5) | 0.139 (±0.031) | |
Disclaimer/Publisher’s Note: The statements, opinions and data contained in all publications are solely those of the individual author(s) and contributor(s) and not of MDPI and/or the editor(s). MDPI and/or the editor(s) disclaim responsibility for any injury to people or property resulting from any ideas, methods, instructions or products referred to in the content. |
© 2023 by the authors. Licensee MDPI, Basel, Switzerland. This article is an open access article distributed under the terms and conditions of the Creative Commons Attribution (CC BY) license (https://creativecommons.org/licenses/by/4.0/).
Share and Cite
Cacciatore, I.; Spalletta, S.; Di Rienzo, A.; Flati, V.; Fornasari, E.; Pierdomenico, L.; Del Boccio, P.; Valentinuzzi, S.; Costantini, E.; Toniato, E.; et al. Anti-Obesity and Anti-Inflammatory Effects of Novel Carvacrol Derivatives on 3T3-L1 and WJ-MSCs Cells. Pharmaceuticals 2023, 16, 340. https://doi.org/10.3390/ph16030340
Cacciatore I, Spalletta S, Di Rienzo A, Flati V, Fornasari E, Pierdomenico L, Del Boccio P, Valentinuzzi S, Costantini E, Toniato E, et al. Anti-Obesity and Anti-Inflammatory Effects of Novel Carvacrol Derivatives on 3T3-L1 and WJ-MSCs Cells. Pharmaceuticals. 2023; 16(3):340. https://doi.org/10.3390/ph16030340
Chicago/Turabian StyleCacciatore, Ivana, Sonia Spalletta, Annalisa Di Rienzo, Vincenzo Flati, Erika Fornasari, Laura Pierdomenico, Piero Del Boccio, Silvia Valentinuzzi, Erica Costantini, Elena Toniato, and et al. 2023. "Anti-Obesity and Anti-Inflammatory Effects of Novel Carvacrol Derivatives on 3T3-L1 and WJ-MSCs Cells" Pharmaceuticals 16, no. 3: 340. https://doi.org/10.3390/ph16030340
APA StyleCacciatore, I., Spalletta, S., Di Rienzo, A., Flati, V., Fornasari, E., Pierdomenico, L., Del Boccio, P., Valentinuzzi, S., Costantini, E., Toniato, E., Martinotti, S., Conte, C., Di Stefano, A., & Robuffo, I. (2023). Anti-Obesity and Anti-Inflammatory Effects of Novel Carvacrol Derivatives on 3T3-L1 and WJ-MSCs Cells. Pharmaceuticals, 16(3), 340. https://doi.org/10.3390/ph16030340

