Antimicrobial Activity of Ceragenins against Vancomycin-Susceptible and -Resistant Enterococcus spp.
Abstract
:1. Introduction
2. Results
2.1. Minimum Inhibitory Concentration (MIC) and Minimum Bactericidal Concentration (MBC) Results
2.2. Checkerboard Results
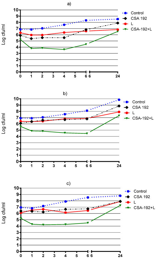
2.3. Time Kill Assay Results
2.4. Effects of CSA-44 and CSA-192 on the Antibacterial Activities of Vancomycin
2.5. C. elegans Survival Assay
3. Discussion
4. Materials and Methods
4.1. Strains and Culture Conditions
4.2. Antimicrobial Agents
4.3. Determination of MIC and MBC
4.4. Determination of FICI
4.5. Time Kill Assays
4.6. MICs of Vancomycin in the Presence of Ceragenins
4.7. Caenorhabditis elegans Survival Assay
4.8. Statistical Analysis
Supplementary Materials
Author Contributions
Funding
Institutional Review Board Statement
Informed Consent Statement
Data Availability Statement
Conflicts of Interest
References
- Agudelo Higuita, N.I.; Huycke, M.M. Enterococcal Disease, Epidemiology, and Implications for Treatment. In Enterococci: From Commensals to Leading Causes of Drug Resistant Infection; Gilmore, M.S., Clewell, D.B., Ike, Y., Shankar, N., Eds.; Massachusetts Eye and Ear Infirmary: Boston, MA, USA, 2014; pp. 65–100. [Google Scholar]
- Garcia-Solache, M.; Rice, L.B. The Enterococcus: A model of adaptability to its environment. Clin. Microbiol. Rev. 2019, 32, e00058-18. [Google Scholar] [CrossRef] [PubMed]
- Selleck, E.M.; Van Tyne, D.; Gilmore, M.S. Pathogenicity of enterococci. Microbiol. Spectr. 2019, 7. [Google Scholar] [CrossRef]
- Codelia-Anjum, A.; Lerner, L.B.; Elterman, D.; Zorn, K.C.; Bhojani, N.; Chughtai, B. Enterococcal Urinary Tract Infections: A Review of the Pathogenicity, Epidemiology, and Treatment. Antibiotics 2023, 12, 778. [Google Scholar] [CrossRef] [PubMed]
- Miller, W.R.; Murray, B.E.; Rice, L.B.; Arias, C.A. Resistance in Vancomycin-Resistant Enterococci. Infect. Dis. Clin. N. Am. 2020, 34, 751–771. [Google Scholar] [CrossRef] [PubMed]
- Dadashi, M.; Sharifian, P.; Bostanshirin, N.; Hajikhani, B.; Bostanghadiri, N.; Khosravi-Dehaghi, N.; Darban-Sarokhalil, D. The global prevalence of daptomycin, tigecycline, and linezolid-resistant Enterococcus faecalis and Enterococcus faecium strains from human clinical samples: A systematic review and meta-analysis. Front. Med. 2021, 8, 720647. [Google Scholar] [CrossRef]
- De Oliveira, D.M.P.; Forde, B.M.; Kidd, T.J.; Harris, P.N.A.; Schembri, M.A.; Beatson, S.A.; Paterson, D.L.; Walker, M.J. Antimicrobial Resistance in ESKAPE Pathogens. Clin. Microbiol. Rev. 2020, 33, e00181-19. [Google Scholar] [CrossRef]
- Brinkwirth, S.; Ayobami, O.; Eckmanns, T.; Markwart, R. Hospital-acquired infections caused by enterococci: A systematic review and meta-analysis, WHO European Region, 1 January 2010 to 4 February 2020. Euro Surveil 2021, 26, 2001628. [Google Scholar] [CrossRef]
- Vancomycin-Resistant Enterococci (Vre). Available online: https://www.cdc.gov/drugresistance/pdf/threats-report/vre-508.pdf (accessed on 19 March 2023).
- Moise, P.A.; Sakoulas, G.; McKinnell, J.A.; Lamp, K.C.; DePestel, D.D.; Yoon, M.J.; Zervos, M.J. Clinical outcomes of daptomycin for vancomycin-resistant Enterococcus bacteremia. Clin. Ther. 2015, 37, 1443–1453. [Google Scholar] [CrossRef]
- Smith, J.R.; Barber, K.E.; Raut, A.; Aboutaleb, M.; Sakoulas, G.; Rybak, M.J. β-Lactam combinations with daptomycin provide synergy against vancomycin-resistant Enterococcus faecalis and Enterococcus faecium. J. Antimicrob. Chemother. 2015, 70, 1738–1743. [Google Scholar] [CrossRef]
- Epand, R.F.; Savage, P.B.; Epand, R.M. Bacterial lipid composition and the antimicrobial efficacy of cationic steroid compounds (Ceragenins). Biochim. Biophys. Acta (BBA)-Biomembr. 2007, 1768, 2500–2509. [Google Scholar] [CrossRef]
- Hashemi, M.M.; Holden, B.S.; Savage, P.B. Ceragenins as non-peptide mimics of endogenous antimicrobial peptides. Fight. Antimicrob. Resist. 2018, 1, 139–169. [Google Scholar]
- Pollard, J.E.; Snarr, J.; Chaudhary, V.; Jennings, J.D.; Shaw, H.; Christiansen, B.; Savage, P.B. In vitro evaluation of the potential for resistance development to ceragenin CSA-13. J. Antimicrob. Chemother. 2012, 67, 2665–2672. [Google Scholar] [CrossRef] [PubMed]
- Gandra, S.; Alvarez-Uria, G.; Turner, P.; Joshi, J.; Limmathurotsakul, D.; van Doorn, H.R. Antimicrobial resistance surveillance in low-and middle-income countries: Progress and challenges in eight South Asian and Southeast Asian countries. Clin. Microbiol. Rev. 2020, 33, e00048-19. [Google Scholar] [CrossRef] [PubMed]
- Lei, J.; Sun, L.; Huang, S.; Zhu, C.; Li, P.; He, J.; Mackey, V.; Coy, D.H.; He, Q. The antimicrobial peptides and their potential clinical applications. Am. J. Transl. Res. 2019, 11, 3919–3931. [Google Scholar]
- Savage, P.B.; Li, C.; Taotafa, U.; Ding, B.; Guan, Q. Antibacterial properties of cationic steroid antibiotics. FEMS Microbiol. Lett. 2002, 217, 1–7. [Google Scholar] [CrossRef]
- Guan, Q.; Li, C.; Schmidt, E.J.; Boswell, J.S.; Walsh, J.P.; Allman, G.W. Preparation and characterization of cholic acid-derived antimicrobial agents with controlled stabilities. Org. Lett. 2000, 2, 2837–2840. [Google Scholar] [CrossRef]
- Polat, Z.A.; Çetin, A.; Savage, P.B. Evaluation of the in vitro activity of ceragenins against Trichomonas vaginalis. Acta Parasitol. 2016, 61, 376–381. [Google Scholar] [CrossRef]
- Leszczyńska, K.; Namiot, A.; Cruz, K.; Byfield, F.J.; Won, E.; Mendez, G.; Sokołowski, W.; Savage, P.B.; Bucki, R.; Janmey, P.A. Potential of ceragenin CSA-13 and its mixture with pluronic F-127 as treatment of topical bacterial infections. J. Appl. Microbiol. 2011, 110, 229–238. [Google Scholar] [CrossRef]
- Wnorowska, U.; Piktel, E.; Deptuła, P.; Wollny, T.; Król, G.; Głuszek, K.; Durnaś, B.; Pogoda, K.; Savage, P.B.; Bucki, R. Ceragenin CSA-13 displays high antibacterial efficiency in a mouse model of urinary tract infection. Sci. Rep. 2022, 12, 19164. [Google Scholar] [CrossRef]
- Ghosh, S.; Joseph, G.; Korza, G.; He, L.; Yuan, J.H.; Dong, W.; Setlow, B.; Li, Y.Q.; Savage, P.B.; Setlow, P. Effects of the microbicide ceragenin CSA-13 on and properties of Bacillus subtilis spores prepared on two very different media. J. Appl. Microbiol. 2019, 127, 109–120. [Google Scholar] [CrossRef]
- Tokajuk, J.; Deptuła, P.; Chmielewska, S.J.; Skłodowski, K.; Mierzejewska, Ż.A.; Grądzka-Dahlke, M.; Tołstoj, A.; Daniluk, T.; Paprocka, P.; Savage, P.B.; et al. Ceragenin CSA-44 as a Means to Control the Formation of the Biofilm on the Surface of Tooth and Composite Fillings. Pathogens 2022, 11, 491. [Google Scholar] [CrossRef] [PubMed]
- Paprocka, P.; Mańkowska, A.; Skłodowski, K.; Król, G.; Wollny, T.; Lesiak, A.; Głuszek, K.; Savage, P.B.; Durnaś, B.; Bucki, R. Bactericidal Activity of Ceragenin in Combination with Ceftazidime, Levofloxacin, Co-Trimoxazole, and Colistin against the Opportunistic Pathogen Stenotrophomonas maltophilia. Pathogens 2022, 11, 621. [Google Scholar] [CrossRef] [PubMed]
- Niklińska, W.; Savage, P.B.; Bucki, R. Core-shell magnetic nanoparticles display synergistic antibacterial effects against Pseudomonas aeruginosa and Staphylococcus aureus when combined with cathelicidin LL-37 or selected ceragenins. Int. J. Nanomed. 2016, 19, 5443–5455. [Google Scholar]
- Chin, J.N.; Rybak, M.J.; Cheung, C.M.; Savage, P.B. Antimicrobial activities of ceragenins against clinical isolates of resistant Staphylococcus aureus. Antimicrob. Agents Chemother. 2007, 51, 1268–1273. [Google Scholar] [CrossRef] [PubMed]
- Kaito, C.; Murakami, K.; Imai, L.; Furuta, K. Animal infection models using non-mammals. Microbiol. Immunol. 2020, 64, 585–592. [Google Scholar] [CrossRef]
- Yuen, G.J.; Ausubel, F.M. Enterococcus infection biology: Lessons from invertebrate host models. J. Microbiol. 2014, 52, 200–210. [Google Scholar] [CrossRef]
- Bové, M.; Coenye, T. The anti-virulence activity of the non-mevalonate pathway inhibitor FR900098 towards Burkholderia cenocepacia is maintained during experimental evolution. Microbiology 2022, 168, 001170. [Google Scholar] [CrossRef]
- Yilmaz, F.N.; Hacioglu, M.; Aldogan, E.H. Impact of N-Acetylcysteine and Antibiotics Against Single and Dual Species Biofilms of Pseudomonas aeruginosa and Achromobacter xylosoxidans. Curr. Microbiol. 2022, 80, 5. [Google Scholar] [CrossRef]
- Lai, X.Z.; Feng, Y.; Pollard, J.; Chin, J.N.; Rybak, M.J.; Bucki, R. Ceragenins: Cholic acid-based mimics of antimicrobial peptides. Acc. Chem. Res. 2008, 41, 1233–1240. [Google Scholar] [CrossRef]
- Dao, A.; Mills, R.J.; Kamble, S.; Savage, P.B.; Little, D.G.; Schindeler, A. The application of ceragenins to orthopedic surgery and medicine. J. Orthop. Res. 2020, 38, 1883–1894. [Google Scholar] [CrossRef]
- Clinical and Laboratory Standards Institute. Performance Standards for Antimicrobial Susceptibility Testing, 31st ed.; M100-Ed31; CLSI: Wayne, PA, USA, 2021. [Google Scholar]
- National Committee for Clinical Laboratory Standards-NCCLS. Methods for Determining Bactericidal Activity of Antimicrobial Agents: Approved Guideline M26-A; National Committee for Clinical Laboratory Standards-NCCLS: Wayne, PA, USA, 1999. [Google Scholar]
- Pillai, S.K.; Moellering, R.C., Jr.; Eliopoulos, G.M. Antibiotics in Laboratory Medicine, 5th ed.; Lippincott Williams and Wilkins: Philadelphia, PA, USA, 2005; pp. 365–440. [Google Scholar]
- Odds, F.C. Synergy, antagonism, and what the chequerboard puts between them. J. Antimicrob. Chemother. 2003, 52, 1. [Google Scholar] [CrossRef] [PubMed]



| MIC Range | MIC50 | MIC90 | MBC Range | MBC50 | MBC90 | ||
|---|---|---|---|---|---|---|---|
| CSA-13 | VSE | 2–32 | 16 | 16 | 4–32 | 16 | 32 |
| VRE | 1–16 | 8 | 16 | 2–32 | 8 | 32 | |
| CSA-44 | VSE | 1–16 | 2 | 4 | 1–32 | 4 | 32 |
| VRE | 1–4 | 2 | 4 | 1–16 | 4 | 4 | |
| CSA-90 | VSE | 1–8 | 8 | 8 | 1–32 | 8 | 32 |
| VRE | 0.25–8 | 2 | 4 | 0.5–16 | 4 | 16 | |
| CSA-131 | VSE | 0.5–16 | 16 | 16 | 1–32 | 16 | 32 |
| VRE | 0.03–16 | 16 | 16 | 1–32 | 16 | 32 | |
| CSA-138 | VSE | 1–32 | 16 | 16 | 1–32 | 16 | 32 |
| VRE | 0.03–16 | 8 | 16 | 1–32 | 16 | 32 | |
| CSA-142 | VSE | 2–16 | 16 | 16 | 4–32 | 16 | 32 |
| VRE | 4–16 | 8 | 16 | 8–32 | 16 | 32 | |
| CSA-192 | VSE | 0.5–32 | 2 | 4 | 1–32 | 4 | 32 |
| VRE | 0.5–4 | 1 | 2 | 1–8 | 4 | 8 |
| FIC Index | |||
|---|---|---|---|
| ≤0.5 (Synergistic) | >0.5–4 (Additive) | >4.0 (Antagonistic) | |
| CSA-44+Linezolid | - | 50 | - |
| CSA-192+Linezolid | 3 | 47 | - |
| MIC Values (µg/mL) | |||||
|---|---|---|---|---|---|
| Isolates | CSA-44 Alone | CSA-192 Alone | Vancomycin Alone | Vancomycin +CSA-44 | Vancomycin +CSA-192 |
| E1 | 2 | 2 | 8 | 8 | 8 |
| E2 | 2 | 1 | 16 | 4 | 4 |
| E3 | 2 | 2 | 32 | 16 | 8 |
| E4 | 1 | 1 | 32 | 32 | 1 |
| E5 | 1 | 1 | 32 | 16 | 4 |
| E6 | 1 | 1 | 128 | 128 | 128 |
| E7 | 1 | 1 | 128 | 128 | 128 |
| E8 | 1 | 1 | 256 | 256 | 16 |
| E9 | 1 | 1 | 256 | 256 | 256 |
| E10 | 4 | 0.5 | 256 | 256 | 64 |
| E11 | 1 | 1 | 512 | 512 | 512 |
| E12 | 4 | 2 | 512 | 256 | 32 |
| E13 | 2 | 4 | 512 | 512 | 512 |
| E14 | 2 | 2 | 512 | 512 | 512 |
| E15 | 2 | 2 | 512 | 512 | 512 |
| E16 | 2 | 2 | 512 | 512 | 128 |
| E17 | 2 | 2 | 512 | 512 | 512 |
Disclaimer/Publisher’s Note: The statements, opinions and data contained in all publications are solely those of the individual author(s) and contributor(s) and not of MDPI and/or the editor(s). MDPI and/or the editor(s) disclaim responsibility for any injury to people or property resulting from any ideas, methods, instructions or products referred to in the content. |
© 2023 by the authors. Licensee MDPI, Basel, Switzerland. This article is an open access article distributed under the terms and conditions of the Creative Commons Attribution (CC BY) license (https://creativecommons.org/licenses/by/4.0/).
Share and Cite
Hacioglu, M.; Yilmaz, F.N.; Oyardi, O.; Bozkurt Guzel, C.; Inan, N.; Savage, P.B.; Dosler, S. Antimicrobial Activity of Ceragenins against Vancomycin-Susceptible and -Resistant Enterococcus spp. Pharmaceuticals 2023, 16, 1643. https://doi.org/10.3390/ph16121643
Hacioglu M, Yilmaz FN, Oyardi O, Bozkurt Guzel C, Inan N, Savage PB, Dosler S. Antimicrobial Activity of Ceragenins against Vancomycin-Susceptible and -Resistant Enterococcus spp. Pharmaceuticals. 2023; 16(12):1643. https://doi.org/10.3390/ph16121643
Chicago/Turabian StyleHacioglu, Mayram, Fatima Nur Yilmaz, Ozlem Oyardi, Cagla Bozkurt Guzel, Nese Inan, Paul B. Savage, and Sibel Dosler. 2023. "Antimicrobial Activity of Ceragenins against Vancomycin-Susceptible and -Resistant Enterococcus spp." Pharmaceuticals 16, no. 12: 1643. https://doi.org/10.3390/ph16121643
APA StyleHacioglu, M., Yilmaz, F. N., Oyardi, O., Bozkurt Guzel, C., Inan, N., Savage, P. B., & Dosler, S. (2023). Antimicrobial Activity of Ceragenins against Vancomycin-Susceptible and -Resistant Enterococcus spp. Pharmaceuticals, 16(12), 1643. https://doi.org/10.3390/ph16121643

