Biological Screening of Glycyrrhiza glabra L. from Different Origins for Antidiabetic and Anticancer Activity
Abstract
1. Introduction
2. Results
2.1. Descriptive Analysis
2.1.1. Cytotoxicity Assay
2.1.2. The Effect on Glucose Uptake
2.1.3. The Effect on Glutathione Peroxidase Activity (GPx)
2.1.4. The Effect of Extracts on α-Amylase Activity
2.2. Principal Component Analysis
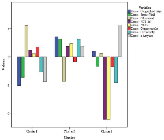
2.3. K-Mean Cluster Analysis
3. Discussion
4. Materials and Methods
4.1. Extraction and Phytochemical Analysis
4.2. Cell Culture Cytotoxicity Studies
Determination of Cytotoxicity and Selectivity
4.3. Glucose Uptake Assay
4.4. Determination of Glutathione Peroxidase Activity
4.5. α-Amylase Inhibition Activity
4.6. Statistical Analysis
5. Conclusions
Author Contributions
Funding
Institutional Review Board Statement
Informed Consent Statement
Data Availability Statement
Acknowledgments
Conflicts of Interest
Abbreviations
References
- Pastorino, G.; Cornara, L.; Rodrigues, F.; Beatriz, P.P.O. Liquorice (Glycyrrhiza glabra): A phytochemical and pharmacological review. Phytother. Res. 2018, 32, 2323–2329. [Google Scholar] [CrossRef]
- Sharifi-Rad, J.; Quispe, C.; Herrera-Bravo, J.; Herrera Belén, L.; Kaur, R.; Kregiel, D.; Uprety, Y.; Beyatli, A.; Yeskaliyeva, B.; Kırkın, C.; et al. Glycyrrhiza Genus: Enlightening Phytochemical Components for Pharmacological and Health-Promoting Abilities. Oxidative Med. Cell. Longev. 2021, 2021, 7571132. [Google Scholar] [CrossRef]
- Kew, S. Glycyrrhiza glabra L. Kew Science. Available online: https://powo.science.kew.org/taxon/urn:lsid:ipni.org:names:496941-1 (accessed on 6 October 2022).
- Wahab, S.; Annadurai, S.; Abullais, S.S.; Das, G.; Ahmad, W.; Ahmad, F.; Kandasamy, G.; Vasudevan, R.; Ali, S.; Amir, M.; et al. Glycyrrhiza glabra (Licorice): A comprehensive review on its phytochemistry, biological activities, clinical evidence and toxicology. Plants 2021, 10, 2751. [Google Scholar] [CrossRef]
- Armanini, D.; Fiore, C.; Mattarello, M.J.; Bielenberg, J.; Palermo, M. History of the endocrine effects of licorice. Exp. Clin. Endocrinol. Diabetes 2002, 110, 257–261. [Google Scholar] [CrossRef]
- Hasan, M.K.; Ara, I.; Mondal, M.S.A.; Kabir, Y. Phytochemistry, pharmacological activity, and potential health benefits of Glycyrrhiza glabra. Heliyon 2021, 7, e07240. [Google Scholar] [CrossRef]
- Isbrucker, R.A.; Burdock, G.A. Risk and safety assessment on the consumption of Licorice root (Glycyrrhiza sp.), its extract and powder as a food ingredient, with emphasis on the pharmacology and toxicology of glycyrrhizin. Regul. Toxicol. Pharmacol. 2006, 46, 167–192. [Google Scholar] [CrossRef]
- Ishimi, Y.; Takebayashi, J.; Tousen, Y.; Yamauchi, J.; Fuchino, H.; Kawano, T.; Inui, T.; Yoshimatsu, K.; Kawahara, N. Quality evaluation of health foods containing licorice in the Japanese Market. Toxicol. Rep. 2019, 6, 904–913. [Google Scholar] [CrossRef]
- Zhang, Y.; Wang, C.; Yang, F.; Sun, G. A strategy for qualitative and quantitative profiling of glycyrrhiza extract and discovery of potential markers by fingerprint-activity relationship modeling. Sci. Rep. 2019, 9, 1–11. [Google Scholar] [CrossRef]
- Dastagir, G.; Rizvi, M.A. Glycyrrhiza glabra L. (Liquorice). Pak. J. Pharm. Sci. 2016, 29, 1727–1733. [Google Scholar]
- Zhang, J.T.; Xu, B.; Li, M. Relationships between the bioactive compound content and environmental variables in Glycyrrhiza uralensis populations in different habitats of North China. Phyton-Int. J. Exp. Bot. 2011, 80, 161–166. [Google Scholar]
- Hosseini, S.M.A.; Souri, M.K.; Farhadi, N.; Moghadam, M.; Omidbaigi, R. Changes in Glycyrrhizin Content of Iranian licorice (Glycyrrhiza glabra L.) Affected by Different Root Diameter and Ecological Conditions. Agric. Commun. 2014, 2, 27–33. [Google Scholar]
- Hamad, G.; Elaziz, A.; Hassan, S.; Shalaby, M.; Mohdaly, A. Chemical Composition, Antioxidant, Antimicrobial and Anticancer Activities of Licorice (Glycyrrhiza glabra L.) Root and Its Application in Functional Yoghurt. J. Food Nutr. Res. 2020, 8, 707–715. [Google Scholar] [CrossRef]
- Vlaisavljević, S.; Šibul, F.; Sinka, I.; Zupko, I.; Ocsovszki, I.; Jovanović-Šanta, S. Chemical composition, antioxidant and anticancer activity of licorice from Fruska Gora locality. Ind. Crops Prod. 2018, 112, 217–224. [Google Scholar] [CrossRef]
- Luo, Y.H.; Wang, C.; Xu, W.T.; Zhang, Y.; Zhang, T.; Xue, H.; Li, Y.N.; Fu, Z.R.; Wang, Y.; Jin, C.H.; et al. 18β-Glycyrrhetinic Acid Has Anti-Cancer Effects via Inducing Apoptosis and G2/M Cell Cycle Arrest, and Inhibiting Migration of A549 Lung Cancer Cells. OncoTargets Therapy 2021, 14, 5131. [Google Scholar] [CrossRef]
- Hostetler, B.J.; Uchakina, O.N.; Ban, H.; Mckallip, R.J. Treatment of hematological malignancies with glycyrrhizic acid. Anticancer Res. 2017, 37, 997–1004. [Google Scholar]
- Wang, H.; Ge, X.; Qu, H.; Wang, N.; Zhou, J.; Xu, J.; Zhou, Y.; Shi, L.; Qin, Z.; Jian, Z.; et al. Glycyrrhizic Acid Inhibits Proliferation of Gastric Cancer Cells by Inducing Cell Cycle Arrest and Apoptosis. Cancer Manag. Res. 2020, 12, 2853–2861. [Google Scholar] [CrossRef]
- Cai, S.; Zhun, B.; Bai, Y.; Zhang, H.; Zhai, D.; Xiao, C.; Tang, Y.; Yang, L.; Zhang, X.; Li, K.; et al. Glycyrrhizic Acid-Induced Differentiation Repressed Stemness in Hepatocellular Carcinoma by Targeting c-Jun N-Terminal Kinase 1. Front. Oncol. 2020, 9, 1431. [Google Scholar] [CrossRef]
- Dos Leite, C.S.; Bonafé, G.A.; Carvalho Santos, J.; Real Martinez, C.A.; Marques Ortega, M.; Lima Ribeiro, R. The Anti-Inflammatory Properties of Licorice (Glycyrrhiza glabra)-Derived Compounds in Intestinal Disorders. Int. J. Mol. Sci. 2022, 23, 4121. [Google Scholar] [CrossRef]
- Karahan, F.; Avsar, C.; Ozyigit, I.I.; Berber, I. Antimicrobial and antioxidant activities of medicinal plant Glycyrrhiza glabra var. glandulifera from different habitats. Biotechnol. Biotechnol. Equip. 2016, 30, 797–804. [Google Scholar] [CrossRef]
- Gupta, V.K.; Fatima, A.; Faridi, U.; Negib, A.S.; Shanker, K.; Rahuja, K.N.; Luqman, S.; Sisodia, B.S.; Saikia, D.; Darokaret, M.P.; et al. Antimicrobial potential of Glycyrrhiza glabra roots. J. Ethnopharmacol. 2008, 116, 377–380. [Google Scholar] [CrossRef]
- Huan, C.; Xu, Y.; Zheng, W.; Guo, T.; Pan, H.; Gao, S. Research Progress on the Antiviral Activity of Glycyrrhizin and its Derivatives in Liquorice. Front. Pharmacol. 2021, 12, 1706. [Google Scholar] [CrossRef] [PubMed]
- Takii, H.; Kometani, T.; Nishimura, T.; Nakae, T.; Okada, S.; Fushiki, T. Antidiabetic effect of glycyrrhizin in genetically diabetic KK-Ay mice. Biol. Pharm. Bull. 2001, 24, 484–487. [Google Scholar] [CrossRef] [PubMed]
- Sen, S.; Roy, M.; Chakraborti, A.S. Ameliorative effects of glycyrrhizin on streptozotocin-induced diabetes in rats. J. Pharm. Pharmacol. 2011, 63, 287–296. [Google Scholar] [CrossRef] [PubMed]
- Sawada, K.; Yamashita, Y.; Zhang, T.; Nakagawa, K.; Ashida, H. Glabridin induces glucose uptake via the AMP-activated protein kinase pathway in muscle cells. Mol. Cell. Endocrinol. 2014, 393, 99–108. [Google Scholar] [CrossRef] [PubMed]
- Ahmad, R.; Aldholmi, M.; Alqathama, A.; Aldossary, S.; Bubshait, S.; Aljaber, M.; Abuhassan, A.; Aldarwish, A.; Alateeq, L. Green and novel ultrasonic extraction with UHPLC-MSMS analysis of natural sweetener (Glycyrrhizic acid) from Glycyrrhiza glabra; a multifactorial mechanistic evaluation based on statistical analysis. Ultrason. Sonochemistry 2021, 77, 105696. [Google Scholar] [CrossRef] [PubMed]
- Fu, Y.; Hsieh, T.-c.; Guo, J.; Kunicki, J.; Lee, M.Y.; Darzynkiewicz, Z.; Wu, J.M. Licochalcone-A, a novel flavonoid isolated from licorice root (Glycyrrhiza glabra), causes G2 and late-G1 arrests in androgen-independent PC-3 prostate cancer cells. Biochem. Biophys. Res. Commun. 2004, 322, 263–270. [Google Scholar] [CrossRef]
- Di Paola, R.S.; Zhang, H.; Lambert, G.H.; Meeker, R.; Licitra, E.; Rafi, M.M.; Zhu, B.T.; Spaulding, H.; Goodin, S.; Toledano, M.B. Clinical and biologic activity of an estrogenic herbal combination (PC-SPES) in prostate cancer. N. Engl. J. Med. 1998, 339, 785–791. [Google Scholar] [CrossRef]
- Rafi, M.M.; Rosen, R.T.; Vassil, A.; Ho, C.-T.; Zhang, H.; Ghai, G.; Lambert, G.; Di Paola, R.S. Modulation of bcl-2 and cytotoxicity by licochalcone-A, a novel estrogenic flavonoid. Anticancer Res. 2000, 20, 2653–2658. [Google Scholar]
- Yo, Y.-T.; Shieh, G.-S.; Hsu, K.-F.; Wu, C.-L.; Shiau, A.-L. Licorice and licochalcone-A induce autophagy in LNCaP prostate cancer cells by suppression of Bcl-2 expression and the mTOR pathway. J. Agric. Food Chem. 2009, 57, 8266–8273. [Google Scholar] [CrossRef]
- Haghshenas, V.; Fakhari, S.; Mirzaie, S.; Rahmani, M.; Farhadifar, F.; Pirzadeh, S.; Jalili, A. Glycyrrhetinic Acid inhibits cell growth and induces apoptosis in ovarian cancer a2780 cells. Adv. Pharm. Bull. 2014, 4, 437. [Google Scholar]
- Yuan, H.; Gao, J. 18 beta-Glycyrrhetinic Acid Induces Reactive Oxygen Species-Mediated Apoptosis along with Cell Cycle Arrest in Colon Cancer Cells. Int. J. Pharmacol. 2022, 18, 12–23. [Google Scholar]
- Wang, X.F.; Zhou, Q.-M.; Lu, Y.-Y.; Zhang, H.; Huang, S.; Su, S.-B. Glycyrrhetinic acid potently suppresses breast cancer invasion and metastasis by impairing the p38 MAPK-AP1 signaling axis. Expert Opin. Ther. Targets 2015, 19, 577–587. [Google Scholar] [CrossRef] [PubMed]
- Sharma, G.; Kar, S.; Palit, S.; Das, P.K. 18β-glycyrrhetinic acid induces apoptosis through modulation of Akt/FOXO3a/Bim pathway in human breast cancer MCF-7 cells. J. Cell. Physiol. 2012, 227, 1923–1931. [Google Scholar] [CrossRef]
- Pirzadeh, S.; Fakhari, S.; Jalili, A.; Mirzai, S.; Ghaderi, B.; Haghshenas, V. Glycyrrhetinic acid induces apoptosis in leukemic HL60 cells through upregulating of CD95/CD178. Int. J. Mol. Cell. Med. 2014, 3, 272. [Google Scholar] [PubMed]
- Hibasami, H.; Iwase, H.; Yoshioka, K.; Takahashi, H. Glycyrrhetic acid (a metabolic substance and aglycon of glycyrrhizin) induces apoptosis in human hepatoma, promyelotic leukemia and stomach cancer cells. Int. J. Mol. Med. 2006, 17, 215–219. [Google Scholar] [CrossRef]
- Zheng, H.; Wang, Y.; Zhao, H.; Zhang, J.; Chai, H.; Tang, T.; Yue, J.; Guo, A.M.; Yang, J. Downregulation of COX-2 and CYP 4A signaling by isoliquiritigenin inhibits human breast cancer metastasis through preventing anoikis resistance, migration and invasion. Toxicol. Appl. Pharmacol. 2014, 280, 10–20. [Google Scholar] [CrossRef]
- Zhou, R.; Xu, L.; Ye, M.; Liao, M.; Du, H.; Chen, H. Formononetin inhibits migration and invasion of MDA-MB-231 and 4T1 breast cancer cells by suppressing MMP-2 and MMP-9 through PI3K/AKT signaling pathways. Horm. Metab. Res. 2014, 46, 753–760. [Google Scholar] [CrossRef]
- Hsieh, M.J.; Lin, C.W.; Yang, S.F.; Chen, M.K.; Chiou, H.L. G labridin inhibits migration and invasion by transcriptional inhibition of matrix metalloproteinase 9 through modulation of NF-κ B and AP-1 activity in human liver cancer cells. Br. J. Pharmacol. 2014, 171, 3037–3050. [Google Scholar] [CrossRef]
- Lee, J.K.; Kim, J.H.; Shin, H.K. Therapeutic effects of the oriental herbal medicine Sho-saiko-to on liver cirrhosis and carcinoma. Hepatol. Res. 2011, 41, 825–837. [Google Scholar] [CrossRef]
- Sabbioni, C.; Mandrioli, R.; Ferranti, A.; Bugamelli, F.; Saracino, M.A.; Forti, G.C.; Fanali, S.; Raggi, M.A. Separation and analysis of glycyrrhizin, 18β-glycyrrhetic acid and 18α-glycyrrhetic acid in liquorice roots by means of capillary zone electrophoresis. J. Chromatogr. A 2005, 1081, 65–71. [Google Scholar] [CrossRef]
- Aguirre, D.; Boya, P.; Bellet, D.; Faivre, S.; Troalen, F.; Benard, J.; Saulnier, P.; Hopkins-Donaldson, S.; Zangemeister-Wittke, U.; Kroemer, G. Bcl-2 and CCND1/CDK4 expression levels predict the cellular effects of mTOR inhibitors in human ovarian carcinoma. Apoptosis 2004, 9, 797–805. [Google Scholar] [CrossRef] [PubMed]
- Mahdinejadiani, K.; Shirzad, H.; Fakhari, S.; Jalili, A. An Evaluation the Effect of Glycyrrhetinic and Glycyrrhizic Acids Derived from Licorice Extract on Gastric Cancer Cell Lines. J. Babol Univ. Med. Sci. 2015, 17, 52–58. [Google Scholar]
- Rathi, S.; Suthar, M.; Patel, P.; Bhaskar, V.; Rajgor, N. In-vitro cytotoxic screening of Glycyrrhiza glabra L. (Fabaceae): A natural anticancer drug. J. Young Pharm. 2009, 1, 239. [Google Scholar] [CrossRef]
- Sheela, M.; Ramakrishna, M.; Salimath, B.P. Angiogenic and proliferative effects of the cytokine VEGF in Ehrlich ascites tumor cells is inhibited by Glycyrrhiza glabra. Int. Immunopharmacol. 2006, 6, 494–498. [Google Scholar] [CrossRef]
- Jo, E.H.; Kim, S.-H.; Ra, J.-C.; Kim, S.-R.; Cho, S.-D.; Jung, J.-W.; Yang, S.-R.; Park, J.-S.; Hwang, J.-W.; Aruoma, O.I. Chemopreventive properties of the ethanol extract of chinese licorice (Glycyrrhiza uralensis) root: Induction of apoptosis and G1 cell cycle arrest in MCF-7 human breast cancer cells. Cancer Lett. 2005, 23, 239–247. [Google Scholar] [CrossRef]
- Yamamoto, N.; Ueda-Wakagi, M.; Sato, T.; Kawasaki, K.; Sawada, K.; Kawabata, K.; Akagawa, M.; Ashida, H. Measurement of glucose uptake in cultured cells. Curr. Protoc. Pharmacol. 2015, 71, 12.14.11–12.14.26. [Google Scholar] [CrossRef]
- Vander Heiden, M.G.; Cantley, L.C.; Thompson, C.B. Understanding the Warburg effect: The metabolic requirements of cell proliferation. Science 2009, 324, 1029–1033. [Google Scholar] [CrossRef]
- Engelman, J.A.; Chen, L.; Tan, X.; Crosby, K.; Guimaraes, A.R.; Upadhyay, R.; Maira, M.; McNamara, K.; Perera, S.A.; Song, Y. Effective use of PI3K and MEK inhibitors to treat mutant Kras G12D and PIK3CA H1047R murine lung cancers. Nat. Med. 2008, 14, 1351–1356. [Google Scholar] [CrossRef]
- Chan, D.A.; Sutphin, P.D.; Nguyen, P.; Turcotte, S.; Lai, E.W.; Banh, A.; Reynolds, G.E.; Chi, J.-T.; Wu, J.; Solow-Cordero, D.E. Targeting GLUT1 and the Warburg effect in renal cell carcinoma by chemical synthetic lethality. Sci. Transl. Med. 2011, 3, 94ra70. [Google Scholar] [CrossRef]
- Sun, Z.; Tan, Z.; Peng, C.; Yi, W. HK2 is associated with the Warburg effect and proliferation in liver cancer: Targets for effective therapy with glycyrrhizin Corrigendum in/10.3892/mmr. 2021.12143. Mol. Med. Rep. 2021, 23, 1–8. [Google Scholar]
- Kaynar, H.; Meral, M.; Turhan, H.; Keles, M.; Celik, G.; Akcay, F. Glutathione peroxidase, glutathione-S-transferase, catalase, xanthine oxidase, Cu–Zn superoxide dismutase activities, total glutathione, nitric oxide, and malondialdehyde levels in erythrocytes of patients with small cell and non-small cell lung cancer. Cancer Lett. 2005, 22, 133–139. [Google Scholar] [CrossRef]
- Jiao, Y.; Wang, Y.; Guo, S.; Wang, G. Glutathione peroxidases as oncotargets. Oncotarget 2017, 8, 80093. [Google Scholar]
- Brigelius-Flohe, R.; Kipp, A. Glutathione peroxidases in different stages of carcinogenesis. Biochim. Et. Biophys. Acta (BBA)-Gen. Subj. 2009, 1790, 1555–1568. [Google Scholar] [CrossRef] [PubMed]
- Muralidharan, P.; Balamurugan, G.; Babu, V. Cerebroprotective effect of Glycyrrhiza glabra Linn. root extract on hypoxic rats. Bangladesh J. Pharmacol. 2009, 4, 60–64. [Google Scholar]
- Rajesh, M.; Latha, M. Protective activity of Glycyrrhiza glabra Linn. on carbon tetrachloride-induced peroxidative damage. Indian J. Pharmacol. 2004, 36, 284. [Google Scholar]
- Zhang, L.; Yang, Y.; Yu, L.; Wang, Y.; Liu, L.; Fan, X. Cardioprotective effects of Glycyrrhiza uralensis extract against doxorubicin-induced toxicity. Int. J. Toxicol. 2011, 30, 181–189. [Google Scholar] [CrossRef]
- Huo, H.Z.; Wang, B.; Liang, Y.K.; Bao, Y.Y.; Gu, Y. Hepatoprotective and antioxidant effects of licorice extract against CCl4-induced oxidative damage in rats. Int. J. Mol. Sci. 2011, 12, 6529–6543. [Google Scholar] [CrossRef]
- Mccue, P.; Kwon, Y.I.; Shetty, K. Anti-amylase, anti-glucosidase and anti-angiotensin i-converting enzyme potential of selected foods. J. Food Biochem. 2005, 29, 278–294. [Google Scholar] [CrossRef]
- Fathima, F.; Rajeshkumar, S. In Vitro Anti-Diabetic Activity of Glycyrrhizaglabraethanolic Extract. Ann. Rom. Soc. Cell Biol. 2021, 25, 2497–2502. [Google Scholar]
- Al-Salem, H.S.; Arifuzzaman, M.; Alkahtani, H.M.; Abdalla, A.N.; Issa, I.S.; Alqathama, A.; Albalawi, F.S.; Rahman, A. A series of isatin-hydrazones with cytotoxic activity and cdk2 kinase inhibitory activity: A potential type ii atp competitive inhibitor. Molecules 2020, 25, 4400. [Google Scholar] [CrossRef]
- Odeyemi, S.; Dewar, J. In vitro antidiabetic activity affecting glucose uptake in hepg2 cells following their exposure to extracts of lauridia tetragona (lf) rh archer. Processes 2020, 8, 33. [Google Scholar] [CrossRef]
- Quan, N.V.; Tran, H.-D.; Xuan, T.D.; Ahmad, A.; Dat, T.D.; Khanh, T.D.; Teschke, R. Momilactones a and b are α-amylase and α-glucosidase inhibitors. Molecules 2019, 24, 482. [Google Scholar] [CrossRef] [PubMed]




| Geographical Origin | Extract Yield (g/10 g) | GA Amount (mg/10 g) | HCT116 | MCF7 | Glucose Uptake | GPx Activity | α-Amylase |
|---|---|---|---|---|---|---|---|
| Syria | 0.5 | 118.76 | 85 ± 0.15 | 64 ± 0.12 | 101 ± 0.07 | 0.31 ± 0.11 *** | 62 ± 0.07 |
| Egypt | 0.32 | 125.84 | 80 ± 0.18 | 53 ± 0.01 | 96 ± 0.07 | 0.93 ± 0.13 | 57 ± 0.14 |
| America | 2.49 | 77.73 | 77 ± 0.13 | 74 ± 0.15 | 95 ± 0.11 | 0.81 ± 0.25 | 64 ± 0.10 |
| Pakistan | 0.64 | 121.17 | 72 ± 0.22 | 57 ± 0.03 | 94 ± 0.09 | 0.21 ± 0.08 *** | 59 ± 0.05 |
| India | 0.77 | 99.44 | 43 ± 0.21 | 22 ± 0.02 | 95 ± 0.09 | 0.37 ± 0.18 ** | 68 ± 0.06 |
| Palestine | 1.59 | 82.73 | 90 ± 0.15 | 59 ± 0.03 | 96 ± 0.09 | 0.84 ± 0.15 | 70 ± 0.09 |
| Georgia | 0.64 | 76.67 | 72 ± 0.17 | 55 ± 0.07 | 92 ± 0.12 | 0.93 ± 0.12 | 63 ± 0.07 |
| Morocco | 1.14 | 71.28 | 85 ± 0.21 | 66 ± 0.01 | 99 ± 0.05 | 0.73 ± 0.30 | 62 ± 0.13 |
| Standards | Metformin | 118 ± 0.08 ** | |||||
| Quercetin | 1.59 ± 0.21 *** | ||||||
| Acarbose | 78.41 ± 0.67 | ||||||
| Geographical Origin | HCT116 | MCF7 | MRC5 |
|---|---|---|---|
| India | 100.3 ± 1.00 | 56.10 ± 2.38 | 91.00 ± 1.39 |
| Doxorubicin | 4.19 ± 1.23 | 3.11 ± 1.34 | 6.90 ± 0.95 |
| Country | IC50 |
|---|---|
| Syria | 93.46 ± 3.77 |
| Egypt | 120.6 ± 2.33 |
| America | 87.21 ± 2.73 |
| Pakistan | 110.6 ± 1.21 |
| India | 74.87 ± 1.26 |
| Palestine | 67.11 ± 0.97 |
| Georgia | 98.50 ± 1.58 |
| Morocco | 93.73 ± 1.09 |
| Acarbose | 80.86 ± 0.58 |
| Components | PC1 | PC2 | PC3 |
|---|---|---|---|
| Geographical origin | −0.056 | 0.551 | 0.682 |
| Extract yield | 0.340 | 0.753 | 0.114 |
| GA amount | −0.153 | −0.789 | −0.520 |
| HCT116 | 0.940 | −0.019 | 0.017 |
| MCF7 | 0.950 | 0.060 | 0.041 |
| Glucose uptake | 0.469 | 0.066 | −0.677 |
| GPx activity | 0.370 | 0.145 | 0.816 |
| α-amylase | −0.312 | 0.875 | −0.050 |
| Individual %variance | 29.774 | 28.607 | 23.467 |
| Cumulative %variance | 29.774 | 58.381 | 81.847 |
| Factors | F-Value | Significance | Clusters | Samples |
|---|---|---|---|---|
| score: Geographical origin | 7.267 | 0.033 | 1 | 3 |
| Zscore: Extract yield | 2.242 | 0.202 | 2 | 4 |
| Zscore: GA amount | 93.749 | 0.000 | 3 | 1 |
| Zscore: HCT116 | 10.839 | 0.015 | Total | 8 |
| Zscore: MCF7 | 12.846 | 0.011 | ||
| Zscore: Glucose uptake | 0.245 | 0.792 | ||
| Zscore: GPx activity | 2.211 | 0.205 | ||
| Zscore: α-amylase | 3.766 | 0.101 | ||
Disclaimer/Publisher’s Note: The statements, opinions and data contained in all publications are solely those of the individual author(s) and contributor(s) and not of MDPI and/or the editor(s). MDPI and/or the editor(s) disclaim responsibility for any injury to people or property resulting from any ideas, methods, instructions or products referred to in the content. |
© 2022 by the authors. Licensee MDPI, Basel, Switzerland. This article is an open access article distributed under the terms and conditions of the Creative Commons Attribution (CC BY) license (https://creativecommons.org/licenses/by/4.0/).
Share and Cite
Ahmad, R.; Alqathama, A.; Aldholmi, M.; Riaz, M.; Mukhtar, M.H.; Aljishi, F.; Althomali, E.; Alamer, M.A.; Alsulaiman, M.; Ayashy, A.; et al. Biological Screening of Glycyrrhiza glabra L. from Different Origins for Antidiabetic and Anticancer Activity. Pharmaceuticals 2023, 16, 7. https://doi.org/10.3390/ph16010007
Ahmad R, Alqathama A, Aldholmi M, Riaz M, Mukhtar MH, Aljishi F, Althomali E, Alamer MA, Alsulaiman M, Ayashy A, et al. Biological Screening of Glycyrrhiza glabra L. from Different Origins for Antidiabetic and Anticancer Activity. Pharmaceuticals. 2023; 16(1):7. https://doi.org/10.3390/ph16010007
Chicago/Turabian StyleAhmad, Rizwan, Aljawharah Alqathama, Mohammed Aldholmi, Muhammad Riaz, Mohammed H. Mukhtar, Fatema Aljishi, Ebtihal Althomali, Muntathir Ali Alamer, Mohammed Alsulaiman, Abdulmalik Ayashy, and et al. 2023. "Biological Screening of Glycyrrhiza glabra L. from Different Origins for Antidiabetic and Anticancer Activity" Pharmaceuticals 16, no. 1: 7. https://doi.org/10.3390/ph16010007
APA StyleAhmad, R., Alqathama, A., Aldholmi, M., Riaz, M., Mukhtar, M. H., Aljishi, F., Althomali, E., Alamer, M. A., Alsulaiman, M., Ayashy, A., & Alshowaiki, M. (2023). Biological Screening of Glycyrrhiza glabra L. from Different Origins for Antidiabetic and Anticancer Activity. Pharmaceuticals, 16(1), 7. https://doi.org/10.3390/ph16010007

