Protein-Targeted Degradation Agents Based on Natural Products
Abstract
1. Introduction
2. Natural Products and Their Derivatives in PROTAC Design
2.1. Derived from Hormones
2.2. Derived from Flavonoids, Alkaloids, and Terpenoids
| No. | Natural Products | Structure | Structure Classification | Source of Compounds | Reference |
|---|---|---|---|---|---|
| 3 | Apigenin | ![]() | Flavonoid | Apple, celery, tea, fragrant plant, honey, etc | [26] |
| 4 | Wogonin | ![]() | Flavonoid | Scutellaria baicalensis | [30] |
| 5 | MI-1061 | ![]() | Alkaloid | Spirooxindole derivative | [35] |
| 6 | MI-2103 | ![]() | Alkaloid | Spirooxindole derivative | [36] |
| 7 | Ursolic acid | ![]() | Triterpenoid | Ligustrum lucidum Ait | [37] |
| 8 | Indirubin | ![]() | Bisindole alkaloid | Indigo naturalis | [38] |
| 9 | Toosendanin | ![]() | Triterpenoid | Melia azedarach L. and Melia Toosendanin Sieb. et Zucc | [39] |
| 10 | Oleanolic acid | ![]() | Triterpenoid | Olea europaea l | [40] |
| 11 | Lathyrol | ![]() | Lathyrane diterpenoids | Euphorbia lathyris | [42] |
| No. | Target | E3 | Cell Type | Reference |
|---|---|---|---|---|
| 4 | AhR | pVHL | Immortalized mouse hepatocyte cells and CV-1 cells (monkey kidney cell line) | [26] |
| 5 | CDK9 | CRBN | MCF-7 and L02 cells | [30] |
| 6 | MDM2 | CRBN | RS4;11 cells | [35] |
| 7 | MDM2 | CRBN | RS4;11, MOLM-13, MDA-MB-468, MV-4-11, HL-60, and MDA-MB-231 cells | [36] |
| 8 | MDM2 | CRBN | A549, Huh7, and HepG2 cells | [37] |
| 9 | HDAC6 | CRBN | K562, HeLa, and THP-1 cells | [38] |
| 10 | STAT3 | CRBN and VHL | CAL33 and HCT116 cells | [39] |
| 11 | Hemagglutinin protein | CRBN and VHL | Human embryonic kidney 293T cells | [40] |
| 12 | MAFF | CRBN | Mouse RAW264.7 macrophage and human embryonic kidney 293T (HEK293T) cells | [42] |
2.3. Derived from Vitamins
2.4. Derived from Microorganisms
2.5. Derived from Peptides
3. Molecular Glue Degradation Agents Derived from Natural Products
4. Perspectives and Conclusions
Author Contributions
Funding
Institutional Review Board Statement
Informed Consent Statement
Data Availability Statement
Acknowledgments
Conflicts of Interest
References
- Newman, D.J.; Cragg, G.M. Natural products as sources of new drugs over the last 25 years. J. Nat. Prod. 2013, 70, 461–477. [Google Scholar] [CrossRef] [PubMed]
- Huang, M.; Lu, J.; Ding, J. Natural products in cancer therapy: Past, present and future. Nat. Prod. Bioprospect. 2021, 11, 5–13. [Google Scholar] [CrossRef] [PubMed]
- Vandermolen, K.M.; Mcculloch, W.; Pearce, C.J.; Oberlies, N.H. Romidepsin (Istodax, NSC 630176, FR901228, FK228, depsipeptide): A natural product recently approved for cutaneous T-cell lymphoma. J. Antibiot. Vol. 2011, 64, 525–531. [Google Scholar] [CrossRef] [PubMed]
- Cottens, S.; Kallen, J.; Schuler, W.; Sedrani, R. Derivation of rapamycin: Adventures in natural product chemistry. CHIMIA Int. J. Chem. 2019, 73, 581–590. [Google Scholar] [CrossRef] [PubMed]
- Varma, P.V.C. Molecular targeted therapy: Cancer therapy of the future. WebmedCentral Med. Educ. 2012, 3, WMC003496. [Google Scholar] [CrossRef]
- Kanat, O.; O’Neil, B.; Shahda, S. Targeted therapy for advanced gastric cancer: A review of current status and future prospects. World J. Gastrointest. Oncol. 2015, 7, 401. [Google Scholar] [CrossRef] [PubMed][Green Version]
- Spaans, J.N.; Goss, G.D. Drug resistance to molecular targeted therapy and its consequences for treatment decisions in non-small-cell lung cancer. Front. Oncol. 2014, 4, 190. [Google Scholar] [CrossRef]
- Nalawansha, D.A.; Crews, C.M. PROTACs: An emerging therapeutic modality in precision medicine. Cell Chem. Biol. 2020, 27, 998–1014. [Google Scholar] [CrossRef]
- Hu, B.C.; Zhou, Y.R.; Sun, D.J.; Yang, Y.Y.; Liu, Y.; Li, X.Z.; Li, H.; Chen, L. PROTACs: New method to degrade transcription regulating proteins. Eur. J. Med. Chem. 2020, 207, 112698. [Google Scholar] [CrossRef]
- Wang, Y.; Long, Q.; Chang, Q.; Hu, W.W.; Hu, G.Y.; Li, Q.B. Application of small molecule PROTAC in different target studies. J. Pharm. Sci. 2020, 7, 446–452. [Google Scholar] [CrossRef]
- Gerry, C.J.; Schreiber, S.L. Unifying principles of bifunctional, proximity-inducing small molecules. Nat. Chem. Biol. 2020, 16, 369–378. [Google Scholar] [CrossRef]
- Wang, B.; Liu, J.; Tandon, I.; Wu, S.; Tang, W. Development of MDM2 degraders based on ligands derived from ugi reactions: Lessons and discoveries. Eur. J. Med. Chem. 2021, 219, 113425. [Google Scholar] [CrossRef]
- Eric, A.; Ariazi, J.L.A.; Fernando Cordera, V. Craig Jordan. Estrogen receptors as therapeutic targets in breast cancer. Curr. Top. Med. Chem. 2006, 6, 181–202. [Google Scholar] [CrossRef]
- Covaleda, A.M.; van den Berg, H.; Vervoort, J.; van der Saag, P.; Strom, A.; Gustafsson, J.A.; Rietjens, I.; Murk, A.J. Influence of cellular ERa/ERb ratio on the ERa-agonist induced proliferation of human T47D breast cancer cells. Toxicol. Sci. 2008, 105, 303–311. [Google Scholar] [CrossRef] [PubMed]
- Cyrus, K.; Wehenkel, M.; Choi, E.Y.; Lee, H.; Kim, K.B. Jostling for position: Optimizing linker location in the design of estrogen receptor-targeting PROTACs. ChemMedChem 2010, 5, 979–985. [Google Scholar] [CrossRef] [PubMed]
- Lin, X.; Xiang, H.; Luo, G. Targeting estrogen receptor α for degradation with PROTACs: A promising approach to overcome endocrine resistance. Eur. J. Med. Chem. 2020, 206, 112689. [Google Scholar] [CrossRef]
- Wang, L.; Guillen, V.S.; Sharma, N.; Flessa, K.; Sharma, A. New class of selective estrogen receptor degraders (SERDs): Expanding the toolbox of PROTAC degrons. ACS Med. Chem. Lett. 2018, 9, 803–808. [Google Scholar] [CrossRef]
- Bargagna-Mohan, P.; Baek, S.H.; Lee, H.; Kim, K.; Mohan, R. Use of PROTACS as molecular probes of angiogenesis. Bioorg. Med. Chem. Lett. 2005, 15, 2724–2727. [Google Scholar] [CrossRef]
- do Pazo, C.; Webster, R.M. The prostate cancer drug market. Nature reviews. Drug Discov. 2021, 20, 663–664. [Google Scholar] [CrossRef] [PubMed]
- Han, X.; Zhao, L.; Xiang, W.; Qin, C.; Wang, S. Discovery of highly potent and efficient PROTAC degraders of androgen receptor (AR) by employing weak binding affinity VHL E3 ligase ligands. J. Med. Chem. 2019, 62, 11218–11231. [Google Scholar] [CrossRef] [PubMed]
- Lzab, E.; Xin, H.; Jlb, E.; Meb, E.; Swbcd, E. A highly potent PROTAC androgen receptor (AR) degrader ARD-61 effectively inhibits AR-positive breast cancer cell growth in vitro and tumor growth in vivo. Neoplasia 2020, 22, 522–532. [Google Scholar] [CrossRef]
- Sakamoto, K.M.; Kim, K.B.; Verma, R.; Ransick, A.; Stein, B.; Crews, C.M.; Deshaies, R.J. Development of protacs to target cancer-promoting proteins for ubiquitination and degradation. Mol. Cell. Proteom. Mcp 2003, 2, 1350–1358. [Google Scholar] [CrossRef] [PubMed]
- Schneekloth, J.S.; Fonseca, F.N.; Koldobskiy, M.; Mandal, A.; Crews, C.M. Chemical genetic control of protein levels: Selective in vivo targeted degradation. J. Am. Chem. Soc. 2004, 126, 3748–3754. [Google Scholar] [CrossRef]
- Chiang, L.C.; Ng, L.T.; Lin, I.C.; Kuo, P.L.; Lin, C.C. Anti-proliferative effect of apigenin and its apoptotic induction in human Hep G2 cells. Cancer Lett. 2006, 237, 207–214. [Google Scholar] [CrossRef]
- Puppala, D.; Gairola, C.G.; Swanson, H.I. Identification of kaempferol as an inhibitor of cigarette smoke-induced activation of the aryl hydrocarbon receptor and cell transformation. Carcinogenesis 2007, 28, 639–647. [Google Scholar] [CrossRef]
- Lee, H.; Puppala, D.; Choi, E.Y.; Swanson, H.; Kim, K.B. Targeted degradation of the aryl hydrocarbon receptor by the PROTAC approach: A useful chemical genetic tool. ChemBioChem 2007, 8, 2058–2062. [Google Scholar] [CrossRef] [PubMed]
- Berg, P. Differential usage of nuclear export sequences regulates intracellular localization of the dioxin (aryl hydrocarbon) receptor. J. Biol. Chem. 2001, 276, 43231–43238. [Google Scholar] [CrossRef]
- Zheng, Z.C.; Zhu, W.; Lei, L.; Liu, X.Q.; Wu, Y.G. Wogonin ameliorates renal inflammation and fibrosis by inhibiting NF-κB and TGF-β1/Smad3 signaling pathways in diabetic nephropathy. Drug Des. Dev. Ther. 2020, 14, 4135–4148. [Google Scholar] [CrossRef]
- Wang, J.; Ge, R.; Qiu, X.; Xu, Q.; Wei, L.; Li, Z. Discovery and synthesis of novel wogonin derivatives with potent antitumor activity in vitro. Proc. Eur. J. Med. Chem. 2018, 140, 421–434. [Google Scholar] [CrossRef]
- Bian, J.; Jie, R.; Li, Y.; Wang, J.; Xi, X.; Feng, Y.; Hui, T.; Wang, Y.; Li, Z. Discovery of wogonin-based PROTACs against CDK9 and capable of achieving antitumor activity. Bioorganic Chem. 2018, 81, 373–381. [Google Scholar] [CrossRef]
- Aguilar, A.; Sun, W.; Liu, L.; Lu, J.F.; McEachern, D.; Bernard, D.; Deschamps, J.R.; Wang, S. Design of Chemically Stable, Potent, and Efficacious MDM2 Inhibitors That Exploit the Retro-Mannich Ring-Opening-Cyclization Reaction Mechanism in Spiro-oxindoles. J. Med. Chem. 2014, 57, 10486–10498. [Google Scholar] [CrossRef]
- Yu, B.; Yu, D.Q.; Liu, H.M. Spirooxindoles: Promising scaffolds for anticancer agents. Eur. J. Med. Chem. 2015, 97, 673–698. [Google Scholar] [CrossRef] [PubMed]
- Hines, J.; Lartigue, S.; Dong, H.Q.; Qian, Y.M.; Crews, C.M. MDM2-recruiting PROTAC offers superior, synergistic anti-proliferative activity via simultaneous degradation of BRD4 and stabilization of p53. Cancer Res. 2018, 79, 251–262. [Google Scholar] [CrossRef] [PubMed]
- Wurz, R.P.; Cee, V.J. Targeted degradation of MDM2 as a new approach to improve the efficacy of MDM2-p53 inhibitors. J. Med. Chem. 2018, 62, 445–447. [Google Scholar] [CrossRef]
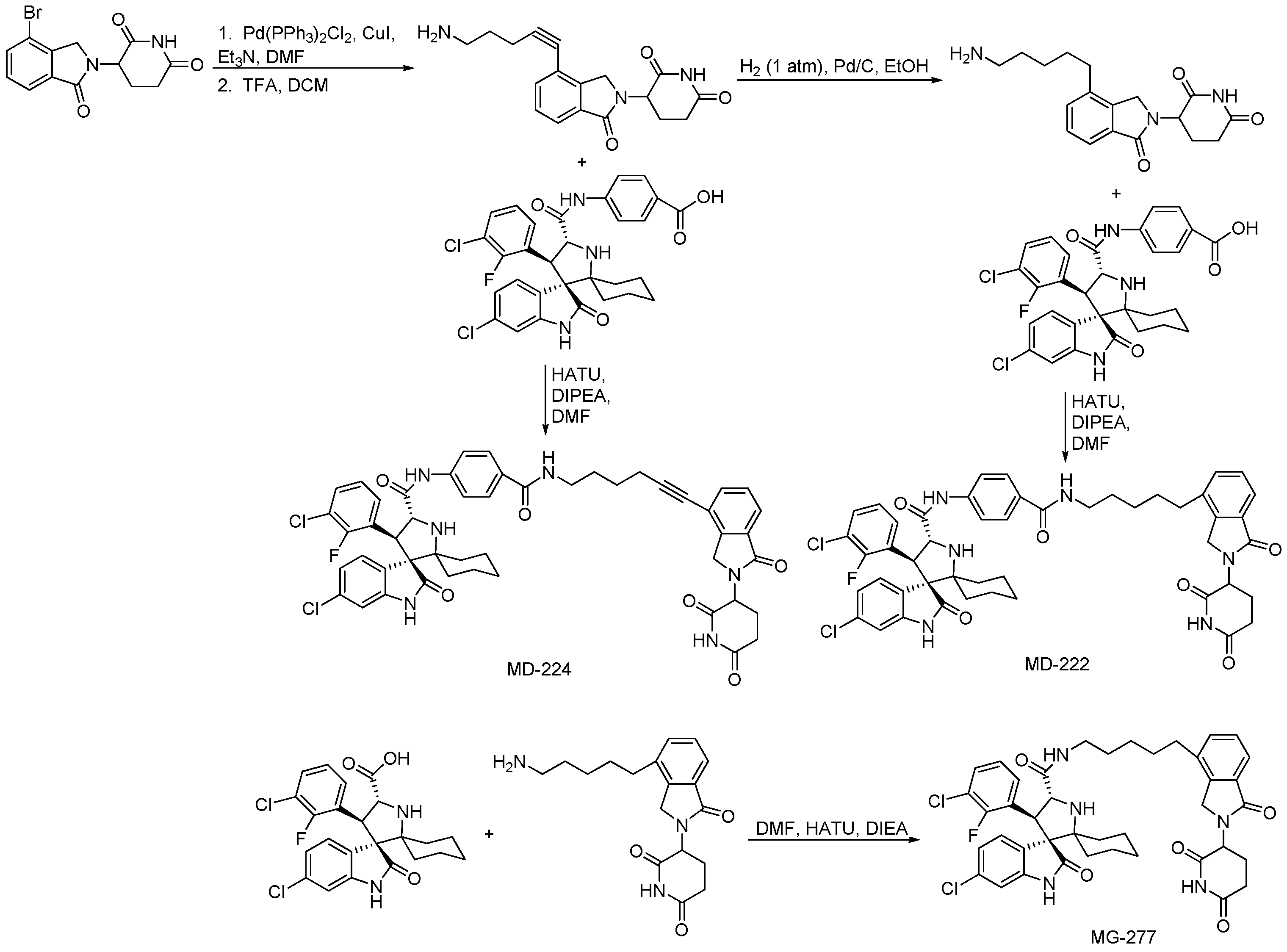
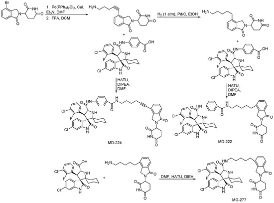
- Li, Y.; Yang, J.; Aguilar, A.; McEachern, D.; Przybranowski, S.; Liu, L.; Yang, C.Y.; Wang, M.; Han, X.; Wang, S. Discovery of MD-224 as a first-in-Class, highly potent, and efficacious proteolysis targeting chimera murine double minute 2 degrader capable of achieving complete and durable tumor regression. J. Med. Chem. 2019, 62, 448–466. [Google Scholar] [CrossRef]
- Yang, J.; Li, Y.; Aguilar, A.; Liu, Z.; Wang, S. Simple structural modifications converting a bona fide MDM2 PROTAC degrader into a molecular glue molecule: A cautionary tale in the design of PROTAC degraders. J. Med. Chem. 2019, 62, 9471–9487. [Google Scholar] [CrossRef]
- Qi, Z.; Yang, G.; Deng, T.; Wang, J.; Zhou, H.; Popov, S.; Shults, E.; Wang, C. Design and linkage optimization of ursane-thalidomide-based PROTACs and identification of their targeted-degradation properties to MDM2 protein. Bioorganic Chem. 2021, 111, 104901. [Google Scholar] [CrossRef]
- Cao, Z.; Gu, Z.; Lin, S.; Chen, D.; Wang, J.; Zhao, Y.; Li, Y.; Liu, T.; Li, Y.; Wang, Y. Attenuation of NLRP3 inflammasome activation by indirubin-derived PROTAC targeting HDAC6. ACS Chem. Biol. 2021, 16, 2746–2751. [Google Scholar] [CrossRef] [PubMed]
- Zhang, W.D.; Luan, X.; Jin, J.M.; Chen, H.Z.; Wu, Y.; Zhou, Q. A kind of PROTAC compound based on toosendanin with STAT3 degrading activity and its preparation method and application. CN 202111198270.4 [P], 31 December 2021. [Google Scholar]
- Li, H.W.; Wang, S.X.; Ma, W.X.; Cheng, B.Y.; Yi, Y.L.; Ma, X.Y.; Xiao, S.; Zhang, L.; Zhou, D. Discovery of pentacyclic triterpenoid PROTACs as a class of effective hemagglutinin protein degraders. J. Med. Chem. 2022, 65, 7154–7169. [Google Scholar] [CrossRef]
- Li, Y.; Meng, Q.S.; Wang, P.; Liu, X.L.; Fu, Q.Y.; Xie, Y.T.; Zhou, Y.; Qi, X.B.; Huang, N. Identification of PDE6D as a Potential Target of Sorafenib via PROTAC Technology. Available online: https://www.biorxiv.org/content/10.1101/2020.05.06.079947v2 (accessed on 30 September 2020).
- Wu, Y.L.; Yang, Y.Y.; Wang, W.; Sun, D.J.; Liang, J.; Zhu, M.; Li, H.; Chen, L.X. PROTAC technology as a novel tool to identify the target of lathyrane diterpenoids. Acta Pharm. Sin. B 2022, 12, 4262–4265. [Google Scholar] [CrossRef]
- Favorskaya, I.; Kainov, Y.; Chemeris, G.; Komelkov, A.; Zborovskaya, I.; Tchevkina, E. Expression and clinical significance of CRABP1 and CRABP2 in non-small cell lung cancer. Tumour. Biol. 2014, 35, 10295–10300. [Google Scholar] [CrossRef]
- Liu, R.Z.; Garcia, E.; Glubrecht, D.D.; Poon, H.Y.; Mackey, J.R.; Godbout, R. CRABP1 is associated with a poor prognosis in breast cancer: Adding to the complexity of breast cancer cell response to retinoic acid. Mol. Cancer 2015, 14, 129. [Google Scholar] [CrossRef]
- Ohoka, N.; Tsuji, G.; Shoda, T.; Fujisato, T.; Naito, M. Development of small molecule chimeras that recruit AhR E3 ligase to target proteins. ACS Chem. Biol. 2019, 14, 2822–2832. [Google Scholar] [CrossRef]
- Sahar, S.; Stepan, M.; Pogribny, I.P.; Wang, W.; Francois, H.T.; Deng, L.; Jacquetta, T.; Jill, J.S.; Rima, R. Studies of methionine cycle intermediates (SAM, SAH), DNA methylation and the impact of folate deficiency on tumor numbers in Min mice. Carcinogenesis 2002, 23, 61–65. [Google Scholar] [CrossRef]
- Scaranti, M.; Cojocaru, E.; Banerjee, S.; Banerji, U. Exploiting the folate receptor α in oncology. Nat. Rev. Clin. Oncol. 2020, 17, 349–359. [Google Scholar] [CrossRef]
- Liu, J.; Chen, H.; Liu, Y.; Shen, Y.; Wei, W. Cancer selective target degradation by folate-caged PROTACs. J. Am. Chem. Soc. 2021, 143, 7380–7387. [Google Scholar] [CrossRef] [PubMed]
- Lazáry, S.; Sthelin, H. Immunosuppressive and specific antimitotic effects of ovalicin. Experientia 1968, 24, 1171–1173. [Google Scholar] [CrossRef] [PubMed]
- Griffith, E.C.; Su, Z.; Niwayama, S.; Ramsay, C.A. Molecular recognition of angiogenesis inhibitors fumagillin and ovalicin by methionine aminopeptidase 2. Proc. Natl. Acad. Sci. USA 1998, 95, 15183–15188. [Google Scholar] [CrossRef]
- Sakamoto, K.M.; Kim, K.B.; Kumagai, A.; Mercurio, F.; Crews, C.M.; Deshaies, R.J. Protacs: Chimeric molecules that target proteins to the Skp1-Cullin-F box complex for ubiquitination and degradation. Proc. Natl. Acad. Sci. USA 2001, 98, 8554–8559. [Google Scholar] [CrossRef] [PubMed]
- Jiang, S.Y.; Li, H.; Tang, J.J.; Wang, J.; Luo, J.; Liu, B.; Wang, J.K.; Shi, X.J.; Cui, H.W.; Tang, J.; et al. Discovery of a potent HMG-CoA reductase degrader that eliminates statin-induced reductase accumulation and lowers cholesterol. Nat. Commun. 2018, 9, 5138. [Google Scholar] [CrossRef]
- Li, M.X.; Yang, Y.Q.; Zhao, Q.Y.; Wu, Y.; Song, L.; Yang, H.Y.; He, M.; Gao, H.; Song, B.L.; Luo, J.; et al. Degradation versus inhibition: Development of proteolysis-targeting chimeras for overcoming statin-induced compensatory upregulation of 3hydroxy-3-methylglutaryl coenzyme a reductase. J. Med. Chem. 2020, 63, 4908–4928. [Google Scholar] [CrossRef]
- Sirtori, C.R. The pharmacology of statins. Pharmacol. Res. Off. J. Ital. Pharmacol. Soc. 2014, 88, 3–11. [Google Scholar] [CrossRef] [PubMed]
- Luo, G.S.; Li, Z.B.; Lin, X.; Li, X.Y.; Chen, Y.; Xi, K.; Xiao, M.; Wei, H.; Zhu, L.; Xiang, H. Discovery of an orally active VHL-recruiting PROTAC that achieves robust HMGCR degradation and potent hypolipidemic activity invivo. Acta Pharm. Sin. B 2020, 11, 1300–1314. [Google Scholar] [CrossRef] [PubMed]
- Zhao, J.Y.; Wang, J.; Pang, X.; Liu, Z.L.; Li, Q.J.; Yi, D.R.; Zhang, Y.; Fang, X.; Zhang, T.; Zhou, R.; et al. An anti-influenza A virus microbial metabolite acts by degrading viral endonuclease PA. Nat. Commun. 2022, 13, 1–11. [Google Scholar] [CrossRef] [PubMed]
- Jiang, Y.H.; Deng, Q.W.; Zhao, H.; Xie, M.S.; Chen, L.J.; Yin, F.; Qin, X.; Zheng, W.; Zhao, Y.J.; Li, Z. Development of stabilized peptide-based PROTACs against estrogen receptor α. ACS Chem. Biol. 2017, 13, 628–635. [Google Scholar] [CrossRef]
- Ivanov, A.; Khuri, F.R.; Fu, H. Targeting protein-protein interactions as an anticancer strategy. Trends Pharmacol. Sci. 2013, 34, 393–400. [Google Scholar] [CrossRef] [PubMed]
- Liao, H.; Li, X.; Zhao, L.; Wang, Y.; Chen, Y.G. A PROTAC peptide induces durable β-catenin degradation and suppresses Wnt-dependent intestinal cancer. Cell Discov. 2020, 6, 35. [Google Scholar] [CrossRef]
- Ma, D.; Zou, Y.; Chu, Y.; Liu, Z.; Chang, Z. A cell-permeable peptide-based PROTAC against the oncoprotein CREPT proficiently inhibits pancreatic cancer. Theranostics 2020, 10, 3708–3721. [Google Scholar] [CrossRef]
- Tomoshige, S.; Nomura, S.; Ohgane, K.; Hashimoto, Y.; Ishikawa, M. Discovery of Small Molecules that Induce the Degradation of Huntingtin. Angew. Chem. 2017, 56, 11530–11533. [Google Scholar] [CrossRef]
- Tong, B.; Spradlin, J.N.; Novaes, L.; Zhang, E.; Nomura, D.K. A nimbolide-based kinase degrader preferentially degrades oncogenic BCR-ABL. ACS Chem. Biol. 2020, 15, 1788–1794. [Google Scholar] [CrossRef]
- Burslem, G.M.; Schultz, A.R.; Bondeson, D.P.; Eide, C.A.; Crews, C.M. Targeting BCR-ABL1 in chronic myeloid leukemia by PROTAC-mediated targeted protein degradation. Cancer Res. 2019, 79, 4744–4753. [Google Scholar] [CrossRef] [PubMed]
- Dharmasiri, N.; Dharmasiri, S.; Estelle, M. The F-box protein TIR1 is an auxin receptor. Nature 2005, 435, 441–445. [Google Scholar] [CrossRef]
- Tan, X.; Calderon-Villalobos, L.; Sharon, M.; Zheng, C.; Robinson, C.V.; Estelle, M.; Zheng, N. Mechanism of auxin perception by the TIR1 ubiquitin ligase. Nature 2007, 446, 640–645. [Google Scholar] [CrossRef] [PubMed]
- Isobe, Y.; Okumura, M.; Mcgregor, L.M.; Brittain, S.M.; Nomura, D.K. Manumycin polyketides act as molecular glues between UBR7 and P53. Nat. Chem. Biol. 2020, 16, 1189–1198. [Google Scholar] [CrossRef] [PubMed]
- Liu, T.T.; Heng, Y.; Zhuo, F.F.; Yang, Z.; Zhao, M.M.; Guo, Q.; Liu, Y.; Liu, D.; Zeng, K.W.; Tu, P.F. Atypical E3 ligase ZFP91 promotes small-molecule-induced E2F2 transcription factor degradation for cancer therapy. EBioMedicine 2022, 86, 104353. [Google Scholar] [CrossRef]
- Banik, S.M.; Pedram, K.; Wisnovsky, S.; Ahn, G.; Bertozzi, C.R. Lysosome-targeting chimaeras for degradation of extracellular proteins. Nature 2020, 584, 1–7. [Google Scholar] [CrossRef]
- Upadhyay, H.C. Coumarin-1,2,3-triazole hybrid molecules: An emerging scaffold for combating drug resistance. Curr. Top. Med. Chem. 2021, 21, 737–752. [Google Scholar] [CrossRef]
- Xu, J.; Regan-Fendt, K.; Deng, S.; Carson, W.E.; Payne, P.R.O.; Li, F. Diffusion mapping of drug targets on disease signaling network elements reveals drug combination strategies. Pac. Symp. Biocomput. 2018, 23, 92–103. [Google Scholar] [CrossRef]
- Zheng, M.; Huo, J.; Gu, X.; Wu, C.; Li, H. Rational design and synthesis of novel dual protacs for simultaneous degradation of EGFR and PARP. J. Med. Chem. 2021, 64, 7839–7852. [Google Scholar] [CrossRef]
- Newman, D.J.; Giddings, L.A. Natural products as leads to antitumor drugs. Phytochem. Rev. 2014, 13, 123–137. [Google Scholar] [CrossRef]
























| No. | Natural Products | Structure | Structure Classification | Source of Compounds | Reference |
|---|---|---|---|---|---|
| 12 | Retinoic acid | ![]() | Retinol | Vitamin | [45] |
| 13 | Folate | ![]() | Pteroylglutamic acid | Vitamin | [48] |
| No. | Target | E3 | Cell Type | Reference |
|---|---|---|---|---|
| 13 | CRABPs | AhR E3 ligase complex | MCF-7 and IMR-32 cells | [45] |
| 14 | BRD | VHL | HeLa cells | [48] |
| 15 | MEK | VHL | HT-29 cells | [48] |
| 16 | ALK | VHL | SU-DHL-1 cells and HT-29 cells | [48] |
| No. | Natural Products | Structure | Structure Classification | Source of Compounds | Reference |
|---|---|---|---|---|---|
| 14 | Ovalicin | ![]() | Sequiterpene | Pseudeurotium ovalis | [51] |
| 15 | Lovastatin | ![]() | Poly ketone | Monascus | [55] |
| 16 | APL-16-5 | ![]() | Asperphenalenone | Plant endophytic fungus Aspergillus sp. CPCC 400735 | [56] |
| No. | Target | E3 | Cell Type | Reference |
|---|---|---|---|---|
| 17 | MetAP2 | SCFβ-TRCP | 293T cells | [51] |
| 18 | HMGCR | VHL | HepG2 cells | [55] |
| 19 | Viral endonuclease PA | TRIM25 | HEK293T, A549, MDCK, Huh7.5.1, Vero, and BHK21cells | [56] |
| No. | Natural Products | Structure | Structure Classification | Source of Compounds | Reference |
|---|---|---|---|---|---|
| 17 | Bestatin | ![]() | Dipeptide | Streptomyces olivoreticuli | [61] |
| 18 | Nimbolide | ![]() | Triterpenoid | Veda neem leaf | [62] |
| No. | Target | E3 | Cell Type | Reference |
|---|---|---|---|---|
| 20 | mHtt | cIAP1 | Hela cells | [61] |
| 21 | BCR-ABL | RNF114 | K562 cells | [62] |
Disclaimer/Publisher’s Note: The statements, opinions and data contained in all publications are solely those of the individual author(s) and contributor(s) and not of MDPI and/or the editor(s). MDPI and/or the editor(s) disclaim responsibility for any injury to people or property resulting from any ideas, methods, instructions or products referred to in the content. |
© 2022 by the authors. Licensee MDPI, Basel, Switzerland. This article is an open access article distributed under the terms and conditions of the Creative Commons Attribution (CC BY) license (https://creativecommons.org/licenses/by/4.0/).
Share and Cite
Li, Y.; Jia, Y.; Wang, X.; Shang, H.; Tian, Y. Protein-Targeted Degradation Agents Based on Natural Products. Pharmaceuticals 2023, 16, 46. https://doi.org/10.3390/ph16010046
Li Y, Jia Y, Wang X, Shang H, Tian Y. Protein-Targeted Degradation Agents Based on Natural Products. Pharmaceuticals. 2023; 16(1):46. https://doi.org/10.3390/ph16010046
Chicago/Turabian StyleLi, Yan, Yi Jia, Xiaolin Wang, Hai Shang, and Yu Tian. 2023. "Protein-Targeted Degradation Agents Based on Natural Products" Pharmaceuticals 16, no. 1: 46. https://doi.org/10.3390/ph16010046
APA StyleLi, Y., Jia, Y., Wang, X., Shang, H., & Tian, Y. (2023). Protein-Targeted Degradation Agents Based on Natural Products. Pharmaceuticals, 16(1), 46. https://doi.org/10.3390/ph16010046





















