A Review of Synthetic Access to Therapeutic Compounds Extracted from Psilocybe
Abstract
1. Introduction
2. Results and Discussion
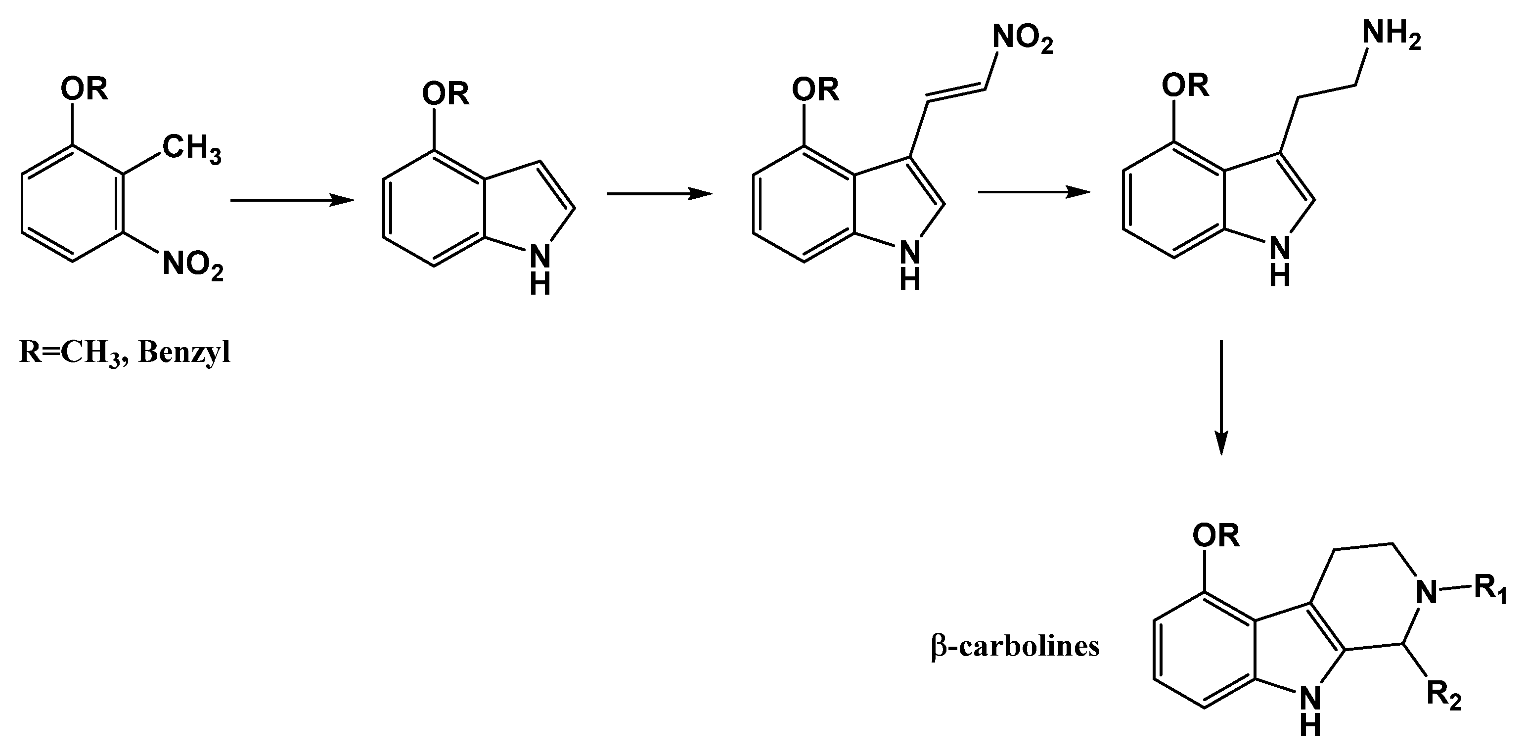
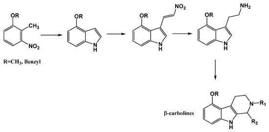
2.1. Original Hofmann Synthesis and Its Several Improvements
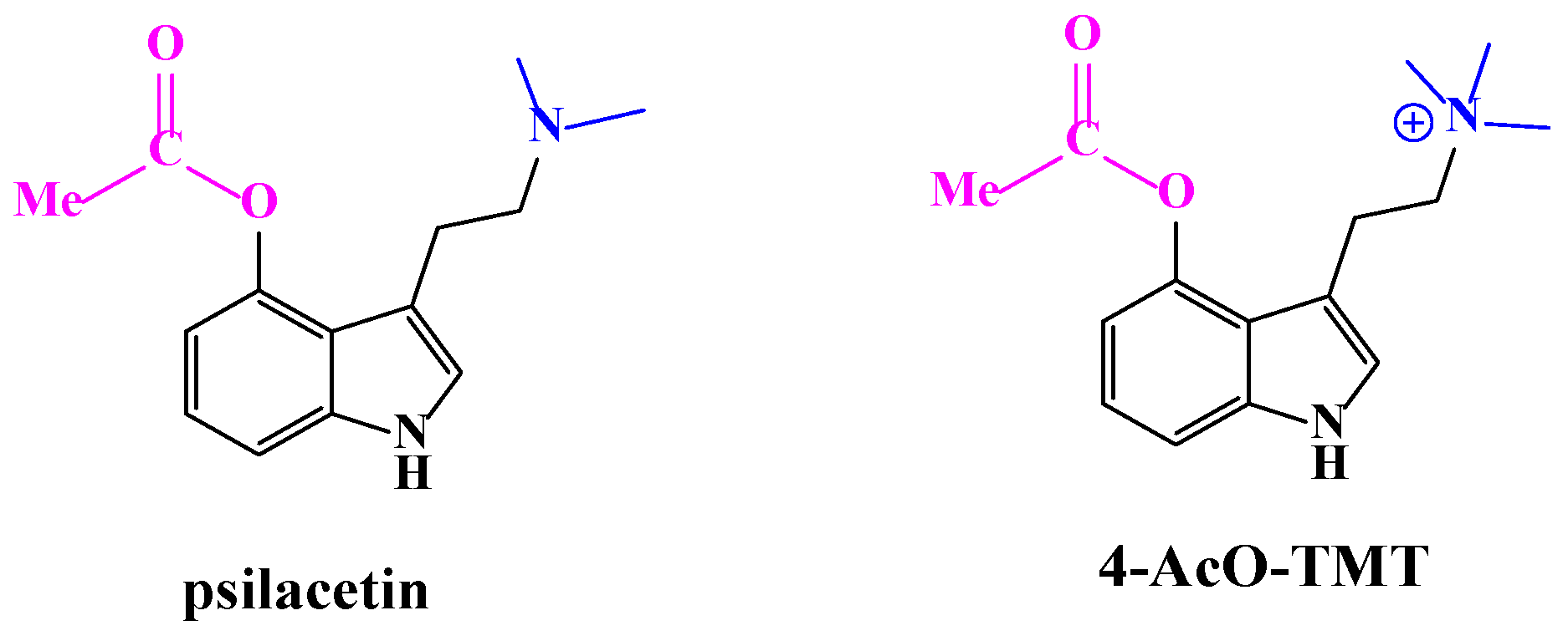
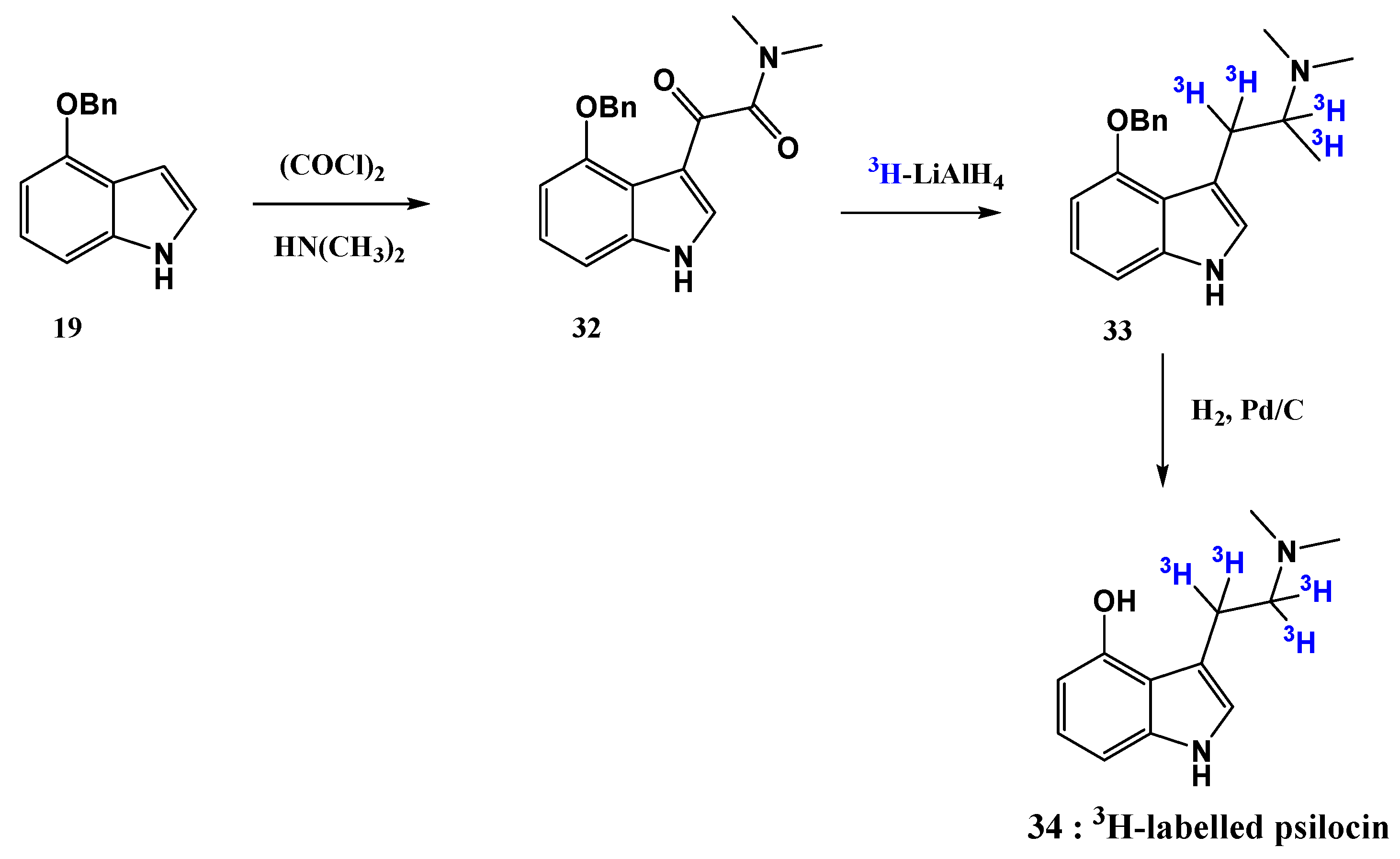
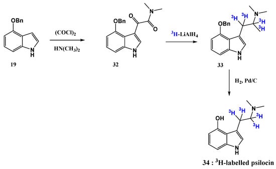
2.2. Synthesis of Isotopically Labeled Psilocin and Other Psilocin Synthesis
2.3. Metallo-Catalyzed Psilocin Synthesis
2.4. Biocatalytic Route
3. Conclusions
Author Contributions
Funding
Institutional Review Board Statement
Informed Consent Statement
Data Availability Statement
Conflicts of Interest
References
- Gartz, J. Further investigations on psychoactive mushrooms of the genera Psilocybe, Gymnopilus and Conocybe. Ann. Musei Civ. Rovereto 1992, 7, 265–274. [Google Scholar]
- Stijve, T.; Kuyper, T.W. Occurrence of psilocybin in various higher fungi from several European countries. Planta Med. 1985, 51, 385–387. [Google Scholar] [CrossRef] [PubMed]
- Semerdzieva, M.; Wurst, M.; Koza, T.; Gartz, J. Psilocybin in fruiting-bodies of Inocybe aeruginascens. Planta Med. 1986, 52, 83–85. [Google Scholar] [CrossRef]
- Gartz, J. Detection of tryptamines derivatives in fungi of the genera Gerronema, Hygrocybe, Psathyrella and Inocybe. Biochem. Physiol. Pflanz. 1986, 181, 275–278. [Google Scholar] [CrossRef]
- Hofmann, A.; Frey, A.; Ott, H.; Petrzilka, T.; Troxler, F. The structure and synthesis of psilocybin. Experientia 1958, 14, 397–399. [Google Scholar] [CrossRef] [PubMed]
- Hofmann, A.; Troxler, F. Identification of psilocin. Experientia 1959, 15, 101–102. [Google Scholar] [CrossRef] [PubMed]
- Horita, A.; Weber, L.J. The enzymatic dephosphorylation and oxidation of psilocybin and psilocin by mammalian tissue homogenates. Biochem. Pharmacol. 1961, 7, 47–54. [Google Scholar] [CrossRef]
- Horita, A.; Weber, L.J. Dephosphorylation of psilocybin in the intact mouse. Toxicol. Appl. Pharmacol. 1962, 4, 730–737. [Google Scholar] [CrossRef]
- Kalberer, F.; Kreis, W.; Rutschmann, J. The fate of psilocin in the rat. Biochem. Pharmacol. 1962, 11, 261–269. [Google Scholar] [CrossRef]
- Hasler, F.; Bourquin, D.; Brenneisen, R.; Bär, T.; Vollenweider, F.X. Determination of psilocin and 4-hydroxyindole-3-acetic acid in plasma by HPLC-ECD and pharmacokinetic profiles of oral and intravenous psilocybin in man. Pharm. Acta Helv. 1997, 72, 175–184. [Google Scholar] [CrossRef]
- Gartz, J. Extraction and analysis of indole derivatives from fungal biomass. J. Basic Microbiol. 1994, 34, 17–22. [Google Scholar] [CrossRef] [PubMed]
- Borner, S.; Brenneisen, R. Determination of tryptamine derivatives in hallucinogenic mushrooms using high-performance liquid chromatography with photodiode array detection. J. Chromatograph. 1987, 408, 402–408. [Google Scholar] [CrossRef] [PubMed]
- Lenz, C.; Wick, J.; Hoffmeister, D. Identification of ω-N-Methyl-4-hydroxytryptamine (Norpsilocin) as a Psilocybe Natural Product. J. Nat. Prod. 2017, 80, 2835–2838. [Google Scholar] [CrossRef] [PubMed]
- Sherwood, A.M.; Halberstadt, A.L.; Klein, A.K.; McCorvy, J.D.; Kaylo, K.W.; Kargbo, R.B.; Meisenheimer, P. Synthesis and biological evaluation of tryptamines found in hallucinogenic mushrooms: Norbaeocystin, baeocystin, norpsilocin and aeruginascin. J. Nat. Prod. 2020, 83, 461–467. [Google Scholar] [CrossRef]
- Repke, D.B.; Leslie, D.T.; Guzman, G. Baeocystin in Psilocybe, Conocybe and Panaeolus. Lloyda 1977, 40, 566–578. [Google Scholar]
- Repke, D.B.; Leslie, D.T. Baeocystin in Psilocybe semilanceata. J. Pharm. Sci. 1977, 66, 113–114. [Google Scholar] [CrossRef]
- Leung, A.; Paul, A. Baeocystin and norbaeocystin: New analogs of psilocybin from Psilocybe baeocystis. J. Pharm. Sci. 1968, 57, 1667–1671. [Google Scholar] [CrossRef]
- Stijve, T.; Klan, J.; Kuyper, T.W. Occurrence of psilocybin and baeocystin in the genus Inocybe. Persoonia 1985, 12, 469–473. [Google Scholar]
- Gartz, J. Occurrence of psilocybin, psilocin and baeocystin in Gymnopilus purpuratus. Persoonia 1989, 14, 19–22. [Google Scholar]
- Gartz, J. Analysis of aeruginascin in fruit bodies of the mushroom Inocybe aeruginascens. Int. J. Crude Drug Res. 1989, 27, 141–144. [Google Scholar] [CrossRef]
- Jensen, N.; Gartz, J.; Laatsch, H. Aeruginascin, a trimethylammonium analogue of psilocybin from the hallucinogenic mushroom Inocybe aeruginascens. Planta Med. 2006, 72, 665–666. [Google Scholar] [CrossRef] [PubMed]
- Gartz, J. Variation der Alkaloidmengen in Fruchtkörpern von Inocybe aeruginascens. Planta Med. 1987, 53, 539–541. [Google Scholar] [CrossRef] [PubMed]
- Fricke, J.; Blei, F.; Hoffmeister, D. Enzymatic synthesis of psilocybin. Angew. Chem. Int. Ed. 2017, 56, 12352–12355. [Google Scholar] [CrossRef] [PubMed]
- Gartz, J. Magic Mushrooms Around the World: A Scientific Journey Across Cultures and Time; LIS Publishers: Los Angeles, CA, USA, 1996. [Google Scholar]
- Geiger, H.A.; Wurst, M.G.; Daniels, R.N. DARK Classics in Chemical Neuroscience: Psilocybin. ACS Chem. Neurosci. 2018, 9, 2438–2447. [Google Scholar] [CrossRef] [PubMed]
- Dinis-Oliveira, R.J. Metabolism of psilocybin and psilocin: Clinical and forensic toxicological relevance. Drug Metab. Rev. 2017, 49, 84–91. [Google Scholar] [CrossRef]
- Pereira, N.A.; Marins, J.C.; Moussatché, H. Some pharmacological studies on bufotenine and bufotenidine. Rev. Bras. Biol. 1963, 23, 211–222. [Google Scholar]
- Glennon, R.; Peroutka, S.; Dukat, M. Binding characteristics of a quaternary amine analog of serotonin 5-HT Q. In Serotonin: Molecular Biology, Receptors and Functional Effects; Fozard, J.R., Saxena, P.R., Eds.; Birkhaüser: Basel, Switzerland, 1991; pp. 186–191. [Google Scholar]
- Bogenschutz, M.P.; Ross, S.; Bhatt, S.; Baron, T.; Forcehimes, A.A.; Laska, E.; Mennenga, S.E.; O’Donnell, K.; Owens, L.T.; Podrebarac, S.; et al. Percentage of Heavy Drinking Days Following Psilocybin-Assisted Psychotherapy vs. Placebo in the Treatment of Adult Patients with Alcohol Use Disorder: A Randomized Clinical Trial. JAMA Psychiatry 2022, 79, 953–962. [Google Scholar] [CrossRef]
- Feltman, R. The FDA Is Fast Tracking a Second Psilocybin Drug to Treat Depression; Popular Sciences. 2019. Available online: https://popsci.com/story/health/psilocybin-magic-mushroom-fda-breakthrough-depression/ (accessed on 26 November 1999).
- Nichols, D.E.; Johnson, M.W.; Nichols, C.D. Psychedelics as Medicines: An Emerging New Paradigm. Clin. Pharmacol. Ther. 2017, 101, 209–219. [Google Scholar] [CrossRef]
- Johnson, M.W.; Griffiths, R.R. Potential Therapeutic Effects of Psilocybin. Neurotherapeutics 2017, 14, 734–740. [Google Scholar] [CrossRef]
- Carhart-Harris, R.L.; Goodwin, G.M. The therapeutic potential of psychedelic drugs: Past, present, and future. Neuropsychopharmacology 2017, 42, 2105–2113. [Google Scholar] [CrossRef]
- Summergrad, P. Psilocybin in end of life care: Implications for further research. J. Psychopharmacol. 2016, 30, 1203–1204. [Google Scholar] [CrossRef] [PubMed]
- Moreno, F.A.; Wiegand, C.B.; Taitano, E.K.; Delgado, P.L. Safety, tolerability, and efficacy of psilocybin in 9 patients with obsessive-compulsive disorder. J. Clin. Psychiatry 2006, 67, 1735–1740. [Google Scholar] [CrossRef] [PubMed]
- Bogenschutz, M.P.; Forcehimes, A.A.; Pommy, J.A.; Wilcox, C.E.; Barbosa, P.; Strassman, R.J. Psilocybin-assisted treatment for alcohol dependence: A proof-of-concept study. J. Psychopharmacol. 2015, 29, 289–299. [Google Scholar] [CrossRef] [PubMed]
- Johnson, M.W.; Garcia-Romeu, A.; Cosimano, M.P.; Griffiths, R.R. Pilot study of the 5-HT2AR agonist psilocybin in the treatment of tobacco addiction. J. Psychopharmacol. 2014, 28, 983–992. [Google Scholar] [CrossRef] [PubMed]
- Garcia-Romeu, A.; Griffiths, R.; Johnson, M. Psilocybin-occasioned mystical experiences in the treatment of tobacco addiction. Curr. Drug Abuse Rev. 2015, 7, 157–164. [Google Scholar] [CrossRef] [PubMed]
- Giordana, J.Y.; Porteaux, C. Mental Health of elderly people: The prevalence and representations of psychiatric disorders. L’éncephale 2010, 36, 59–64. [Google Scholar] [CrossRef] [PubMed]
- Chadeayne, A.R.; Pham, D.N.K.; Reid, B.G.; Golen, J.A.; Manke, D.R. Active metabolite of aeruginascin (4-hydroxy-N,N,N-trimethylamine): Synthesis, structure and serotoninergic binding affinity. ACS Omega 2020, 5, 16940–16943. [Google Scholar] [CrossRef]
- Troxler, F.; Seemann, F.; Hofmann, L.A. Abwandlungsprodukte von Psilocybin und Psilocin. 2. Mitteilung über synthetische Indolverbindungen. Helv. Chim. Acta 1959, 42, 2073–2103. [Google Scholar] [CrossRef]
- Nichols, D.; Frescas, S. Improvements to the Synthesis of Psilocybin and a Facile Method for Preparing the O-Acetyl Prodrug of Psilocin. Synthesis 1999, 6, 935–938. [Google Scholar] [CrossRef]
- Shirota, O.; Hakamata, W.; Goda, Y. Concise Large-Scale Synthesis of Psilocin and Psilocybin, Principal Hallucino- genic Constituents of “Magic Mushroom”. J. Nat. Prod. 2003, 66, 885–887. [Google Scholar] [CrossRef]
- Sherwood, A.M.; Meisenheimer, P.; Tarpley, G.; Kargbo, R.B. An Improved, Practical, and Scalable Five-Step Synthesis of Psilocybin. Synthesis 2020, 52, 688–694. [Google Scholar] [CrossRef]
- Speeter, M.E.; Anthony, W.C. The action of oxalyl chloride on indoles: A new approach to tryptamines. J. Am. Chem. Soc. 1954, 76, 6208–6210. [Google Scholar] [CrossRef]
- Kargbo, R.B.; Sherwood, A.M.; Walker, A.; Cozzi, N.V.; Dagger, R.E.; Sable, J.; O’Hern, K.; Kaylo, K.; Patterson, T.; Tarpley, G.; et al. Direct phosphorylation of psilocin enables optimized cGMP kilogram-scale manufacture od psilocybin. ACS Omega 2020, 5, 16959–16966. [Google Scholar] [CrossRef]
- Stoll, A.; Troxler, F.; Peyer, J.; Hofmann, A. Eine neue synthese von Bufotenin und verwandten Oxy-tryptaminen. Helv. Chim. Acta 1955, 38, 1452–1472. [Google Scholar] [CrossRef]
- Hamlin, K.E.; Fischer, F.E. The synthesis of 5-hydroxytryptamine. J. Am. Chem. Soc. 1951, 73, 5007–5008. [Google Scholar] [CrossRef]
- Poon, G.; Chui, Y.C.; Law, F.C.P. Synthesis of psilocin labelled with 14C and 3H. J. Label. Compd. Radiopharm. 1985, 23, 167–174. [Google Scholar] [CrossRef]
- Kruse, L.I. Synthesis of 4-Substituted Indoles from o-Nitrotoluenes. Heterocycles 1981, 16, 1119–1124. [Google Scholar] [CrossRef]
- Repke, D.B.; Ferguson, W.J.; Bates, D.K. Psilocin Analogs. I. Synthesis of 3[2-(dialkylamino(ethyl]- and 3[2-(cycloalkylamino(ethyl]-indol-4-ols. J. Heterocyclic. Chem. 1977, 14, 71–74. [Google Scholar] [CrossRef]
- Repke, D.B.; Ferguson, W.J.; Bates, D.K. Psilocin Analogs. II. Synthesis of 3[2-(dialkylamino(ethyl]-, 3[2-(N-methyl-N-alkylamino(ethyl]- and 3[2-(cycloalkylamino(ethyl]-indol-4-ols. J. Heterocyclic. Chem. 1981, 18, 175–179. [Google Scholar] [CrossRef]
- Repke, D.B.; Ferguson, W.J. Psilocin Analogs. III. Synthesis of 5-Methoxy- and 5-Hydroxy-1,2,3,4-tetrahydro-9H-pyrido[3,4-b]indoles. J. Heterocyclic. Chem. 1982, 19, 845–848. [Google Scholar] [CrossRef]
- Leimgruber, W.; Batcho, A.D. Batcho-Leimgruber indole synthesis. In Name Reactions; Springer: Berlin/Heidelberg, Germany, 2006; pp. 36–38. [Google Scholar] [CrossRef]
- Spenser, I.D. A synthesis of Harmaline. Can. J. Chem. 1959, 37, 1851–1858. [Google Scholar] [CrossRef]
- Yamada, F.; Tamura, M.; Somei, M. A five-step synthesis of psilocin from indole-3-carbaldehyde. Heterocycles 1998, 49, 451–457. [Google Scholar] [CrossRef]
- Yamada, F.; Tamura, M.; Hasegawa, A.; Somei, M. Synthetic Studies of Psilocin Analogs Having Either a Formyl Group or Bromine Atom at the 5- or 7-Position. Chem. Pharm. Bull. 2002, 50, 92–99. [Google Scholar] [CrossRef] [PubMed]
- Sakagami, H.; Ogasawara, K. A New Synthesis of Psilocin. Heterocycles 1999, 51, 1131–1135. [Google Scholar] [CrossRef]
- Basha, A.; Lipton, M.; Weinreb, S.M. A mild, general method for conversion of esters to amides. Tetrahedron Lett. 1977, 18, 4171–4172. [Google Scholar] [CrossRef]
- Gathergood, N.; Scammells, P.J. Preparation of 4-hydroxytryptamine scaffold via palladium-catalyzed cyclisation: Apractical and versatile synthesis of psilocin. Org. Lett. 2003, 5, 921–923. [Google Scholar] [CrossRef]
- Larock, R.C.; Yum, E.K. Synthesis of indoles via palladium-catalyzed heteroannulation of internal alkynes. J. Am. Chem. Soc. 1991, 113, 6689–6690. [Google Scholar] [CrossRef]
- Smith, A.L. Traceless Solid Phase Synthesis of Indole Derivatives. British UK Patent Applications GB2328941A, 3 October 1999. [Google Scholar]
- Hu, C.; Qin, H.; Cui, C.; Jia, Y. Palladium-catalyzed synthesis of tryptamines and tryptamine homologues: Synthesis of psilocin. Tetrahedron 2009, 65, 9075–9080. [Google Scholar] [CrossRef]
- Bartolucci, S.; Mari, M.; Di Gregorio, G.; Piersanti, G. Observations concerning the synthesis of tryptamine homologues and branched tryptamine derivatives via the borrowing hydrogen process: Synthesis of psilocin, bufotenin and serotonin. Tetrahedron 2016, 72, 2233–2238. [Google Scholar] [CrossRef]
- Fricke, J.; Kargbo, R.; Regestein, L.; Lenz, C.; Peschel, G.; Rosenbaum, M.A.; Sherwood, A.; Hoffmeister, D. Scalable hybrid synthetic/biocatalytic route to psilocybin. Chem. Eur. J. 2020, 26, 8281–8285. [Google Scholar] [CrossRef]
- Fricke, J.; Lenz, C.; Wick, J.; Blei, D.; Hoffmeister, D. Production options for Psilocybin: Making of the magic. Chem. Eur. J 2019, 25, 897–903. [Google Scholar] [CrossRef] [PubMed]
- Blei, D.; Baldeweg, F.; Fricke, J.; Hoffmeister, D. Biocatalytic production of psilocybin and derivatives in tryptophan synthase-enhanced reactions. Chem. Eur. J. 2018, 24, 10028–10031. [Google Scholar] [CrossRef] [PubMed]
- Hoefgen, S.; Lin, J.; Fricke, J.; Stroe, M.; Mattern, D.J.; Kufs, J.E.; Hortschansky, P.; Brakhage, A.A.; Hoffmeister, D.; Valiante, V. Facile assembly and fluorescence-based screening method for heterologous expression of biosynthetic pathways in fungi. Metab. Eng. 2018, 48, 44–51. [Google Scholar] [CrossRef] [PubMed]
- Adams, A.M.; Kaplan, N.A.; Wei, Z.; Brinton, J.D.; Monnier, C.S.; Enacopol, A.L.; Ramelot, T.A.; Jones, J.A. In vivo production of psilocybin in E. coli. Metab. Eng. 2019, 56, 111–119. [Google Scholar] [CrossRef]



















Disclaimer/Publisher’s Note: The statements, opinions and data contained in all publications are solely those of the individual author(s) and contributor(s) and not of MDPI and/or the editor(s). MDPI and/or the editor(s) disclaim responsibility for any injury to people or property resulting from any ideas, methods, instructions or products referred to in the content. |
© 2022 by the authors. Licensee MDPI, Basel, Switzerland. This article is an open access article distributed under the terms and conditions of the Creative Commons Attribution (CC BY) license (https://creativecommons.org/licenses/by/4.0/).
Share and Cite
Serreau, R.; Amirouche, A.; Benyamina, A.; Berteina-Raboin, S. A Review of Synthetic Access to Therapeutic Compounds Extracted from Psilocybe. Pharmaceuticals 2023, 16, 40. https://doi.org/10.3390/ph16010040
Serreau R, Amirouche A, Benyamina A, Berteina-Raboin S. A Review of Synthetic Access to Therapeutic Compounds Extracted from Psilocybe. Pharmaceuticals. 2023; 16(1):40. https://doi.org/10.3390/ph16010040
Chicago/Turabian StyleSerreau, Raphaël, Ammar Amirouche, Amine Benyamina, and Sabine Berteina-Raboin. 2023. "A Review of Synthetic Access to Therapeutic Compounds Extracted from Psilocybe" Pharmaceuticals 16, no. 1: 40. https://doi.org/10.3390/ph16010040
APA StyleSerreau, R., Amirouche, A., Benyamina, A., & Berteina-Raboin, S. (2023). A Review of Synthetic Access to Therapeutic Compounds Extracted from Psilocybe. Pharmaceuticals, 16(1), 40. https://doi.org/10.3390/ph16010040

