Next Article in Journal
Real-Time Monitoring of Critical Quality Attributes during High-Shear Wet Granulation Process by Near-Infrared Spectroscopy Effect of Water Addition and Stirring Speed on Pharmaceutical Properties of the Granules
Next Article in Special Issue
Siccanin Is a Dual-Target Inhibitor of Plasmodium falciparum Mitochondrial Complex II and Complex III
Previous Article in Journal
Bioactive Peptides and Exercise Modulate the AMPK/SIRT1/PGC-1α/FOXO3 Pathway as a Therapeutic Approach for Hypertensive Rats
Previous Article in Special Issue
Synthesis, Structure–Activity Relationships, and Parasitological Profiling of Brussonol Derivatives as New Plasmodium falciparum Inhibitors
 
 
Font Type:
Arial Georgia Verdana
Font Size:
Aa Aa Aa
Line Spacing:
Column Width:
Background:
Article

4-Substituted Thieno[3,2-d]pyrimidines as Dual-Stage Antiplasmodial Derivatives

1
Institut des Biomolécules Max Mousseron, UMR 5247, CNRS, Université de Montpellier, ENSCM, UFR des Sciences Pharmaceutiques et Biologiques, 34293 Montpellier, France
2
Aix Marseille Univ, CNRS, ICR UMR 7273, Equipe Pharmaco-Chimie Radicalaire, Faculté de Pharmacie, 13385 Marseille, France
3
Centre d’Immunologie et des Maladies Infectieuses (CIMI), INSERM, CNRS, Sorbonne Université, 75013 Paris, France
4
Aix Marseille Univ, IRD, AP-HM, SSA, VITROME, 13005 Marseille, France
5
Service Central de la Qualité et de l’Information Pharmaceutiques, AP-HM, Hôpital Conception, 13005 Marseille, France
6
CHU de Nîmes, Service de Pharmacie, 30029 Nîmes, France
7
LCC-CNRS, Université de Toulouse, CNRS UPR 8241, UPS, 31400 Toulouse, France
*
Authors to whom correspondence should be addressed.
Pharmaceuticals 2022, 15(7), 820; https://doi.org/10.3390/ph15070820
Submission received: 8 June 2022 / Revised: 24 June 2022 / Accepted: 26 June 2022 / Published: 1 July 2022
(This article belongs to the Special Issue Drug Candidates for the Treatment of Infectious Diseases)

Abstract

:
Malaria remains one of the major health problems worldwide. The increasing resistance of Plasmodium to approved antimalarial drugs requires the development of novel antiplasmodial agents that can effectively prevent and/or treat this disease. Based on the structure of Gamhepathiopine, a 2-tert-butylaminothieno[3,2-d]pyrimidin-4(3H)-one hit, active on the sexual and asexual stages of the parasite and thanked for the introduction of various substituents at position 4 of the thienopyrimidine core by nucleophilic aromatic substitution and pallado-catalyzed coupling reactions, a series of 4-substituted thieno[3,2-d]pyrimidines were identified as displaying in vitro activities against both the erythrocytic stage of P. falciparum and the hepatic stage of P. berghei. Among the 28 compounds evaluated, the chloro analogue of Gamhepathiopine showed good activity against the erythrocytic stage of P. falciparum, moderate toxicity on HepG2, and better activity against hepatic P. berghei parasites, compared to Gamhepathiopine.

1. Introduction

Malaria is a dreaded disease, mainly located in the African region [1]. According to the WHO (World Health Organization), this disease infected in 2021 nearly 241 million people worldwide, and killed 627,000 people [2,3]. Despite the prevention policy carried out by the authorities, such as vector control, and the use of preventive antimalarial drugs and the vaccination of children, populations living in regions with moderate to high transmission remain vulnerable to malaria [4,5,6]. To fight against this scourge, the therapeutic arsenal currently proposes the use of artemisinin or its derivatives in combination with other partner drugs in artemisinin-based combination therapies (ACTs) [7,8,9]. ACTs are recommended as the first line of defense against severe Plasmodium falciparum malaria, but their effectiveness is threatened by the steady growth of new resistant strains [10,11,12]. Since 2015, a new malaria control program has been developed by the WHO, with the aim of reducing the mortality rate by 90% by 2030 [13]. To achieve this goal, innovative treatments need to be developed, especially with multistage activities against Plasmodium [14,15]. In this context, our group identified a thienopyrimidine derivative, named Gamhepathiopine (Figure 1), which presented promising antiplasmodial activity on all the different developmental stages of P. falciparum [16,17,18]. A first structure-activity relationship (SAR) study was performed, including the modulation of positions 2 and 6 of the thienopyrimidine scaffold [18]. A tert-butylamine at position 2, as well as a p-tolyl group at position 6, were found to be the appropriate substituents to maintain the antiplasmodial activity in this series (Figure 1). To further these studies, we report herein the synthesis of new 4-substituted thieno[3,2-d]pyrimidine derivatives and their in vitro activities against the blood stage of P. falciparum and the liver stage of a rodent malaria model, P. berghei. To bring chemical diversity in position 4 of the thienopyrimidine core and to study the influence of a heteroatom at this position, we introduced O-alkyl, O-aryl, S-aryl, (alkyl)amino, and hydrazinyl substituents, as well as an alkynyl or (hetero)aryl group. All these derivatives could be prepared from a common halogenated intermediate, using aromatic nucleophilic substitutions (O-, S-, and N-alkyl or N-aryl groups) or Sonogashira and Suzuki–Miyaura coupling reactions (alkyne or (hetero)aryl groups).

2. Results and Discussion

2.1. Chemistry

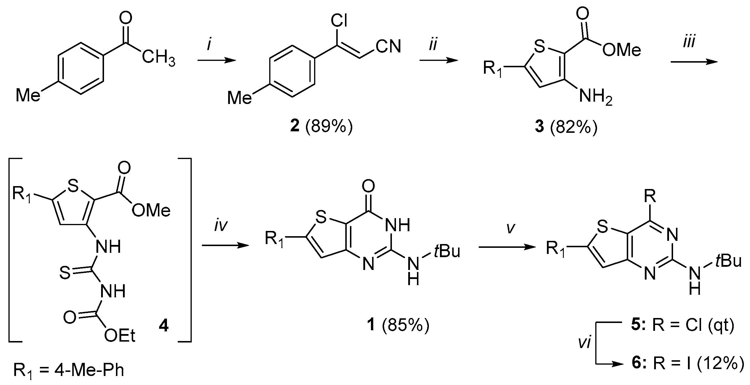
Compound 1 was prepared according to the method described by Cohen et al. (Scheme 1) [18]. Briefly, 4-methylacetophenone was treated with phosphoryl trichloride and hydroxylamine hydrochloride in dimethylformamide (DMF) at room temperature to generate compound 2 in an 89% isolated yield. This latter was reacted with methyl thioglycolate in the presence of sodium methylate in methanol to afford methyl 3-amino-5-(p-tolyl)thiophene-2-carboxylate 3, which was isolated in an 82% yield. Then, the condensation of 3 with ethoxycarbonyl isothiocyanate in DMF led to a thiourea intermediate, which was then reacted with tert-butylamine, triethylamine, and EDCI·HCl (1.2 eq) as a coupling agent to form a guanidine intermediate. Finally, the heating of the reaction mixture allowed its cyclization and subsequent deprotection to offer compound 1 in an overall three-step yield of 85%. The chlorination of 1 led to 5, which was isolated in a quantitative yield. A halogen exchange was then realized using an excess of sodium iodide in a dioxane reflux. Under these conditions, the conversion was revealed to be slow and incomplete, even after 72 h of reaction. Finally, compound 6 was isolated only in a 12% yield as a formic acid salt, after a preparative HPLC.
The introduction of chemical diversity was then studied from the 4-chloro derivative 5, as the iodo analog was obtained only in small quantities. First, O-alkylation was studied using sodium ethylate or methanolate at 60 °C, leading to compounds 7ab, which were isolated after recrystallization, in 86 and 88% yields, respectively (Scheme 2). The introduction of an O-aryl group or an S-aryl was then carried out by nucleophilic substitution with (thio)phenolic compounds, in the presence of potassium carbonate as a base. Whereas substitution with phenol derivatives required high temperature to proceed, substitution with thiophenol derivatives was efficient at room temperature. Compounds 8ab and 9ab were isolated after purification by chromatography in 54–88% yields.
N-Alkylation was then studied by using compound 5 and a set of aliphatic amines or hydrazines (Scheme 3). Linear, ramified, or functionalized primary amines were introduced at position 4 of the thienopyrimidine core in the presence of a base in ethanol reflux. Compounds 10ci were isolated in moderate to good yields (51–77%). In the case of a volatile reagent such as ammonia or (methyl)hydrazine, the reaction was carried out in a sealed tube. Under these conditions, compounds 10a, 10b, and 10i were obtained in high yields after chromatographic purification. Surprisingly, the 1H NMR spectrum of 10i revealed that the N-3 of the pyrimidine ring was protonated, contrary to what was observed with other amines, where the pyrimidine ring retained its aromaticity (Supplementary Materials). Finally, an amino acid (alanine) was introduced using the same strategy. The resulting compound was revealed to be insoluble in DMSO, which did not allow its biological evaluation. To increase its solubility, it was converted into its sodium salt 10j, using sodium ethylate in ethanol.
The introduction of phenyl groups at position 4 was then studied using a Suzuki–Miyaura reaction (Scheme 4). First, the conditions described by Fernandez-Mato et al. were tested [19], using compound 5 and 4-methylphenylboronic acid as starting materials. In the presence of 1.3 equivalents of anhydrous potassium carbonate and 2.5% of Pd(PPh3)4 in anhydrous toluene at 100 °C for 12 h, only traces of the coupling product were observed in the LC-MS analysis (Table 1, Entry 1). The use of polar solvents such as DMF or THF led to the same results (Entry 2, 3). Then, the experimental conditions described by Oh et al. to synthesize substituted benzothienopyrimidines were tested [20]. Using a 1M aqueous solution of potassium carbonate and 10% of Pd(PPh3)4 in THF reflux increased the conversion rate of the coupling reaction, and compound 11a was isolated in a 34% yield after chromatography (Entry 4). Finally, increasing the quantity of the base and catalyst led to the full conversion of the starting materials, and compound 11a was isolated in a 67% yield (Entry 5).
Using these conditions, a series of five other boronic acids were used and the corresponding 4-(hetero)arylthienopyrimidines 11bf were obtained in good yields (66–80%) after purification. Three 4-alkynyl-substituted derivatives were synthesized according to the conditions described by Wang et al. [21]. Compounds 12ac were obtained after purification in low to moderate yields (7–35%), due to purification difficulties (compounds 12a and 12c). Finally, the 4-unsubstituted derivative 13 was synthesized from 5, using the conditions described by Muraoka et al. (Scheme 5) [22]. After 3 days of reaction at room temperature, compound 5 was fully converted into 13, which was isolated after chromatography in a 71% yield. The structure of compound 13 was confirmed by 1H NMR with the appearance of a new singlet at 8.88 ppm (Supplementary Materials).

2.2. In Vitro Antiplasmodial Activity and Cytotoxicity

All synthesized 4-(un)substituted thienopyrimidines were screened for their activity against drug-resistant P. falciparum K1 asexual intra-erythrocytic-stage parasites, and were compared to Gamhepathiopine 1. This strain is resistant to chloroquine, sulfadoxine, and pyrimethamine. The results are summarized in Table 2.
From compound 1, which possesses a carbonyl group at position 4, various modulations were studied for this position. The introduction of a chlorine or an iodine atom was tolerated. Compounds 5 and 6 showed similar activities to reference 1 on Pf. K1, with an EC50 in the submicromolar range. These results indicate that the presence of a hydrogen bond acceptor at this position is not crucial. However, the presence of a substituent remains essential, as the removal of the carbonyl group led to an inactive compound (13 vs. 1). Furthermore, the steric hindrance of the iodine atom suggests that this position could tolerate bulky substituents. The introduction of various substituents was then studied. The introduction of an aryl group led to a loss of activity when this group was linked directly to the thienopyrimidine core (compounds 11), or through an ether (compounds 8) or a thioether link (compounds 9). In the case of an amine link, some activity was maintained (compound 10h), suggesting that the presence of an amino group at this position could be tolerated. Thus, several amino-alkyl derivatives were evaluated. Whereas an amino acid residue (compound 10j) led to the loss of activity, the presence of a primary amine (compound 10a), a short linear amino-alkyl (10c and 10d) or a slightly longer chain (10f and 10g) was tolerated at this position and led to compounds with quite similar activities to compound 1 (EC50 in the micromolar range). Finally, the introduction of a short ramified amino-alkyl (10e) or a hydrazinyl group (compounds 10b and 10i) was also tolerated but led to a slightly lower activity than compound 1 (IC50 around 2 µM). Finally, a 4-alkynyl substituent at position 4 (compounds 12) led to totally inactive compounds.
The most active compounds against the erythrocytic stage of P. falciparum were then selected for further studies. Seven compounds (namely compounds 5, 6, 10a, 10cd, and 10fg), which displayed an EC50 lower than 2 µM, were then evaluated for their ability to inhibit hepatic infection by the rodent malaria parasite P. berghei. Their cytotoxicity was also evaluated on the human hepatoma cell line HepG2 and on primary simian hepatocytes. The results are summarized in Table 3.
Except compound 10a, which was not active against P. berghei, all selected compounds showed similar or higher activities on the hepatic stage than compound 1. The best results were obtained with compounds 10c, 10d, and 10g, with EC50 around 5 µM, followed by compounds 10f and 5 with an EC50 around 15 µM. These results suggested that the presence of an alkylamine group at position 4 increased activity, with a shorter alkyl group being preferable. Activity decreased with the alkyl chain increasing (EC50 of 10c < EC50 of 10d and 10g < EC50 of 10f). All compounds displayed a moderate to high toxicity against the HepG2 human cell line, with their CC50 values ranging from 2.9 to 29 µM. Surprisingly, these compounds did not show similar toxicity against primary simian hepatocytes, except 10g, which was cytotoxic. All compounds, except 10fg, showed a CC50 greater than 20 µM. Finally, compound 5 with a chlorine atom at position 4 showed the best compromise, with an EC50 against P. berghei slightly lower than that of compound 1, with moderate toxicity on HepG2 (CC50 = 16.4 ± 5.4 µM) and no toxicity on primary simian hepatocytes (CC50 > 100 µM).

3. Materials and Methods

3.1. Chemistry

3.1.1. Materials and Methods

Commercial reagents and solvents were used without further purification. The synthesized products were purified by chromatography on silica gel (40–63 μm) or by preparative HPLC on an apparatus equipped with a Delta Pack C18 radial compression column (100 mm × 40 mm, 15 μm, 100 Å) at a wavelength of 214 nm, at a flow rate of 28 mL/min with a variable elution gradient from X % A (H2O + 0.1 TFA) to X + 30% B (ACN + 0.1% TFA) in 30 min. The purest fractions are pooled, freeze-dried, and lyophilized to give the final compounds. LC/MS analyses were recorded on a Quattro microTM ESI triple quadrupole mass spectrometer (ESI+ electrospray ionization mode) or on a Micromass ZQ spectrometer (ESI+ electrospray ionization mode), coupled to an Alliance HPLC system (Waters, Milford, CT, USA) equipped with a Chromolith High Resolution RP-18e column (25 × 4.6 mm), with the samples being previously separated using a gradient from 100% (H2O + 0.1% HCO2H) to 100% (ACN + 0.1% HCO2H) in 3 min at a flow rate of 3 mL/min and with UV detection at 214 nm. UPLC/MS analyses were recorded with an Acquity H-Class UPLC system, coupled to a Waters SQDetector-2 mass spectrometer (Waters, Milford, CT, USA). Chromatographic separation was carried out under the same conditions as above using a Waters Acquity UPLC BEC C18 column (100 × 2.1 mm, 1.5 μm). High-resolution mass spectrometry (HRMS) analyses were performed with a time-of-flight (TOF) spectrometer coupled to a positive electrospray ionization (ESI) source. The elemental analysis was realized with a Elementar Vario Micro Cube. The NMR spectra were recorded on a Brüker 400, 500, or 600 spectrometer. Chemical shifts δ are expressed in parts per million (ppm) relative to the residual signal of the deuterated solvent used (CDCl3, DMSO-d6, MeOH-d3, ACN-d3), and the coupling constants J are expressed in Hertz. The multiplicities are designated as singlet (s), broad singlet (bs) doublet (d), doublet of doublet (dd), triplet (t), quadruplet (q), quintuplet (qt), sextuplet (st), or multiplet (m). Compound 1 was synthesized according to the previous reported procedure and its physical characteristics agreed with the published data [18].

3.1.2. Synthesis of N-(Tert-butyl)-4-chloro-6-(p-tolyl)thieno[3,2-d]pyrimidin-2-amine 5

Phosphorus oxychloride (5.5 eq., 8.37 g, 54.59 mmol, 5.1 mL) was slowly added to a cold solution of compound 1 (1 eq, 3.11 g, 9.93 mmol) and N,N-dimethylaniline (0.7 eq, 842 mg, 6.95 mmol) in CH3CN (156 mL) for 2 h at 0 °C. The mixture was then heated to 80–85 °C and was stirred for 18 h. The reaction mixture was cooled to 40 °C and then was quenched into water (400 mL) for 2 h. The precipitate was filtered and washed with water (200 mL). The desired product was dried under vacuum at 50 °C for 48 h to afford 5 as a green/yellow solid (3.26 g, qt). 1H NMR (500 MHz, DMSO-d6): δ 7.64 (d, 2H, CHar, J = 8.0 Hz), 7.37 (s, 1H, H-thiophene), 7.28 (d, 2H, CHar, J = 8.0 Hz), 2.36 (s, 3H, CH3-tolyl), 1.46 (s, 9H, C(CH3)3); 13C NMR (125 MHz, DMSO-d6): δ 158.8, 157.1, 151.9, 149.9, 138.4, 130.0, 129.2, 125.3, 119.1, 111.0, 50.7, 28.3, 20.2; HR-MS (ESI) calculated for C17H18ClN3S: 332.0988 [M + H]+, found: 332.0988.

3.1.3. Synthesis of N-(Tert-butyl)-4-iodo-6-(p-tolyl)thieno[3,2-d]pyrimidin-2-amine 6

Under argon atmosphere, compound 5 (100 mg, 0.3013 mmol) was dissolved in anhydrous dioxane (7 mL/mmol) and sodium iodide was added (6 eq., 338 mg, 1.808 mmol, 0.09 mL). The reaction mixture was stirred under reflux for 72 h. The solvent was removed under reduced pressure. The crude was dissolved in sodium thiosulfate solution (10%, 25 mL). The aqueous layer was washed three times with EtOAc. Organic layers were combined, washed with water and brine, dried with MgSO4, and filtered and concentrated under vacuum. The crude was purified by preparative HPLC (ACN/H2O + 0.1% HCO2H) to afford the desired compound as yellow/brown solid (17 mg, 12%); 1H NMR (500 MHz, CDCl3): δ 7.60 (d, 2H, CHar, J = 8.0 Hz), 7.50 (s, 1H, H-thiophene), 7.26 (d, 2H, CHar, J = 8.0 Hz), 5.22 (bs, 1H, NH), 2.40 (s, 3H, CH3-tolyl), 1.47 (s, 9H, C(CH3)3).; 13C NMR (125 MHz, DMSO-d6): δ 160.3, 158.6, 154.1, 140.4, 130.6, 130.0 (2C), 128.9, 126.5 (2C), 122.1, 119.2, 51.4, 28.9, 21.5; LC/MS: tr = 2.71 min, [M + H]+ = 424.0; HR-MS (ESI) calculated for C17H18IN3S: 424.0339 [M + H]+, found: 424.0352.

3.1.4. Synthesis of 4-Arylether-thieno[3,2-d]pyrimidines 7

Sodium (2.5 eq.) was dissolved in the desired alcohol (10 mL/mmol) under argon at 0 °C. Then, compound 5 (1 eq.) was added slowly and the reaction mixture was stirred at 60 °C under argon. After completion of the reaction, the medium was evaporated to dryness. A total of 50 mL of water was added and then extracted with diethyl ether (3 × 25 mL). The organic layer was washed with brine, dried with MgSO4, and filtered and concentrated under reduced pressure. The crude was recrystallized from ACN.
N-(tert-butyl)-4-methoxy-6-(p-tolyl)thieno[3,2-d]pyrimidin-2-amine (7a)
Yellow crystals (354 mg, 88%); 1H NMR (500 MHz, DMSO-d6): δ 7.71 (d, 2H, CHar, J = 8.0 Hz), 7.53 (s, 1H, H-thiophene), 7.28 (d, 2H, CHar, J = 8.0 Hz), 6.57 (bs, 1H, NH), 4.01 (s, 3H, CH3O), 2.34 (s, 3H, CH3-tolyl), 1.43 (s, 9H, C(CH3)3); 13C NMR (125 MHz, DMSO-d6): δ 164.2, 163.2, 160.4, 150.4, 139.3, 130.2, 129.8, 126.0, 118.6, 104.6, 53.6, 50.2, 28.9, 20.9; HR-MS (ESI) calculated for C18H22N3OS: 328.1484 [M + H]+, found: 328.1485.
N-(tert-butyl)-4-ethoxy-6-(p-tolyl)thieno[3,2-d]pyrimidin-2-amine (7b)
Yellow crystals (231 mg, 86%); 1H NMR (500 MHz, DMSO-d6): δ 7.72 (d, 2H, CHar, J = 8.0 Hz), 7.52 (s, 1H, H-thiophene), 7.28 (d, 2H, CHar, J = 8.0 Hz), 6.54 (bs, 1H, NH), 4.49 (q, 2H, CH2, J = 7.1 Hz), 2.34 (s, 3H, CH3-tolyl), 1.43 (s, 9H, C(CH3)3), 1.38 (t, 3H, CH3, J = 7.1 Hz); 13C NMR (125 MHz, DMSO-d6): δ 164.2, 162.8, 160.5, 150.3, 139.3, 130.2, 129.8, 126.0, 118.5, 104.6, 62.0, 50.2, 28.9, 20.9, 14.5; HR-MS (ESI) calculated for C19H24N3OS: 342.1635 [M + H]+, found: 342.1638.

3.1.5. Synthesis of 4-Arylether-thieno[3,2-d]pyrimidines 8

The appropriate phenol (1 eq., 0.753 mmol) and K2CO3 (1.1 eq., 0829 mmol) were dissolved in DMF (5 mL) and the reaction mixture was stirred for 15 min. Then, compound 5 (250 mg, 0.753 mmol) was added and the reaction mixture was heated at 130 °C for 3 h. Once the reaction finished, the reaction mixture returned to room temperature and was poured in water. The aqueous layer was extracted four times with EtOAc. The organic layers were combined, washed with brine, dried with MgSO4, and filtered and concentrated under vacuo. The crude product was purified by chromatography on silica gel (eluent: 9/1 Hexane/EtOAc then 8/2) and was recrystallized in ACN.
N-(tert-butyl)-4-phenoxy-6-(p-tolyl)thieno[3,2-d]pyrimidin-2-amine (8a)
Yellow crystals; (212 mg, 72%); 1H NMR (500 MHz, DMSO-d6): δ 7.76 (d, 2H, CHar, J = 8.2 Hz), 7.59 (s, 1H, H-thiophene), 7.48–7.45 (m, 2H, CHar), 7.32–7.28 (m, 5H, CHar), 6.59 (bs, 1H, NH), 2.36 (s, 3H, CH3-tolyl), 1.18 (s, 9H, C(CH3)3); 13C NMR (125 MHz, DMSO-d6): δ 165.5, 163.0, 160.4, 152.2, 151.5, 139.6, 130.0, 129.9, 129.6, 126.2, 125.7, 122.2, 118.4, 104.3, 50.2, 28.6, 20.9; HR-MS (ESI) calculated for C23H24N3OS: 390.1635 [M + H]+, found: 390.1644.
N-(tert-butyl)-6-(p-tolyl)-4-(p-tolyloxy)thieno[3,2-d]pyrimidin-2-amine (8b)
Yellow crystals (192 mg, 63%); 1H NMR (500 MHz, DMSO-d6): δ 7.75 (d, 2H, CHar, J = 8.0 Hz), 7.59 (s, 1H, H-thiophene), 7.31 (d, 2H, CHar, J = 8.0 Hz), 7.25 (d, 2H, CHar, J = 8.4 Hz), 7.25 (d, 2H, CHar, J = 8.4 Hz), 6.52 (bs, 1H, NH), 2.36 (s, 3H, CH3-tolyl), 2.33 (s, 3H, CH3-tolyl), 1.22 (s, 9H, C(CH3)3); 13C NMR (125 MHz, DMSO-d6): δ 165.4, 163.1, 160.3, 151.4, 149.9, 139.6, 134.7, 130.1, 129.9, 129.8, 126.1, 121.9, 118.5, 104.4, 50.2, 28.6, 20.9, 20.5; HR-MS (ESI) calculated for C24H26N3OS: 404.1791 [M + H]+, found: 404.1796.

3.1.6. Synthesis of 4-Thioether-thieno[3,2-d]pyrimidines 9

Compound 5 was dissolved in DMF (5mL/mmol). Then, the appropriate thiophenol (10 eq.) and K2CO3 (1 eq.) were added. The reaction mixture was stirred at room temperature for 1 to 1h 30. Once the reaction was completed, the reaction mixture was concentrated under reduced pressure and water was added. The aqueous layer was extracted three times with DCM. Organic layers were washed with brine, dried with MgSO4, and filtered and concentrated under vacuo. The crude was purified by chromatography on silica gel (eluent: 8/2 Hexane/EtOAc for compound 9a and 9/1 Hexane/EtOAc then 7/3 for compound 9b). The isolated product was recrystallized in ACN.
N-(tert-butyl)-6-(p-tolyl)-4-(phenylthio)thieno[3,2-d]pyrimidin-2-amine (9a)
Yellow crystals (365 mg, 85%); 1H NMR (500 MHz, DMSO-d6): δ 7.72 (d, 2H, CHar, J = 7.9 Hz), 7.68–7.68 (m, 2H, CHar), 7.55–7.48 (m, 4H, CHar + H-thiophene), 7.30 (d, 2H, CHar, J = 8.2 Hz), 6.61 (bs, 1H, NH), 2.35 (s, 3H, CH3-tolyl), 1.11 (s, 9H, C(CH3)3); 13C NMR (125 MHz, DMSO-d6): δ 161.7, 160.6, 158.9, 150.3, 138.9, 135.1, 129.0, 128.9, 128.8, 128.6, 125.8, 125.3, 117.1, 114.2, 49.0, 27.5, 20.0; HR-MS (ESI) calculated for C23H24N3S2: 406.1406 [M + H]+, found: 406.1398.
N-(tert-butyl)-6-(p-tolyl)-4-(p-tolylthio)thieno[3,2-d]pyrimidin-2-amine (9b)
Yellow crystals (137 mg, 54%); 1H NMR (500 MHz, DMSO-d6): δ 7.71 (d, 2H, CHar, J = 7.9 Hz), 7.55–7.53 (m, 3H, CHar + H-thiophene), 7.32–7.29 (m, 4H, CHar), 6.58 (bs, 1H, NH), 2.37 (s, 3H, CH3-tolyl), 2.35 (s, 3H, CH3-tolyl), 1.12 (s, 9H, C(CH3)3); 13C NMR (125 MHz, DMSO-d6): δ 162.5, 162.0, 159.9, 151.3, 139.9, 139.8, 136.1, 130.2, 129.9, 126.3, 123.3, 118.1, 115.2, 50.1, 28.5, 21.0, 20.9; HR-MS (ESI) calculated for C24H26N3S2: 420.1568 [M + H]+, found: 420.1572.

3.1.7. Synthesis of N2-(Tert-butyl)-6-(p-tolyl)thieno[3,2-d]pyrimidine-2,4-diamine 10a

A mixture of 5 (0.5 g, 1.507 mmol) in EtOH/NH4OH (35%) in a 1:1 ratio (50 mL) was heated at 120 °C. The reaction mixture was stirred for 14 h in a sealed tube. After completion, the reaction mixture was poured into 50 mL of water and was extracted three times with EtOAc. The combined organic layers were washed three times with brine, dried with MgSO4, and filtered and concentrated under reduced pressure. The crude compound was purified by chromatography on silica gel (eluent: 9/1 to 5/5 Hexane/EtOAc) to afford 10a (295 mg, 63%) as an off-white solid. 1H NMR (500 MHz, DMSO-d6): δ 7,66 (d, 2H, CHar, J = 8.0 Hz), 7,37 (s, 1H, H-thiophene), 7,27 (d, 2H, CHar, J = 8.0 Hz), 6,76 (bs, 2H, NH2), 5,64 (bs, 1H, NH), 2.34 (s, 3H, CH3-tolyl), 1.40 (s, 9H, C(CH3)3); 13C NMR (125 MHz, DMSO-d6): δ 162.4, 160.9, 157.6, 147.8, 138.7, 130.7, 129.7, 125.7, 119.0, 109.3, 49.8, 29.1, 20.8; HR-MS (ESI) calculated for C17H21N4S: 313.1487 [M + H]+, found: 313.1504.

3.1.8. Synthesis of 4-Hydrazino-thieno[3,2-d]pyrimidines 10b and 10i

A mixture of compound 5 (1.0 eq.) and the appropriate hydrazine (10 eq.) was stirred and heated under EtOH reflux (3 mL/mmol) in a sealed tube. The reaction mixture was stirred for 4 to 12 h. After completion, the reaction mixture returned to room temperature and was concentrated under reduced pressure. The crude was dissolved in EtOAc and the organic layer was washed three times with brine. The organic layer was dried with MgSO4 and filtered and concentrated under reduced pressure. The crude was purified by recrystallization in ACN.
N-(tert-butyl)-4-(1-methylhydrazinyl)-6-(p-tolyl)-3,4-dihydrothieno[3,2-d]pyrimidin-2-amine (10b)
Brown solid (209 mg, 90%); 1H NMR (500 MHz, DMSO-d6): δ 7.65 (d, 2H, CHar, J = 8.1 Hz), 7.26 (s, 1H, H-thiophene), 7.25 (d, 2H, CHar, J = 8.1 Hz), 5.76 (s, 1H, NH), 5.09 (bs, 2H, NH2), 3.31 (bs, 3H, CH3N), 2.33 (s, 3H, CH3-tolyl), 1.40 (s, 9H, C(CH3)3); 13C NMR (125 MHz, DMSO-d6): δ 162.3, 160.0, 159.4, 150.2, 138.3, 131.2, 129.7, 125.7, 117.9, 104.0, 49.8, 38.9, 29.2, 20.9; HR-MS (ESI) calculated for C18H24N5S: 342.1747 [M + H]+, found: 342.1756.
N-(tert-butyl)-4-hydrazino-6-(p-tolyl)thieno[3,2-d]pyrimidin-2-amine (10i)
Brown solid (94 mg, 92%); 1H NMR (500 MHz, DMSO-d6): δ 8.30 (bs, 1H, NH), 7.66 (d, 2H, CHar, J = 8.1 Hz), 7.30 (s, 1H, H-thiophene), 7.26 (d, 2H, CHar, J = 8.0 Hz), 5.62 (bs, 1H, NH), 4.67 (bs, 2H, NH2), 2.33 (s, 3H, CH3-tolyl), 1.39 (s, 9H, C(CH3)3); 13C NMR (125 MHz, DMSO-d6): δ 162.6, 160.4, 160.3, 150.3, 138.4, 131.1, 129.7, 125.7, 118.1, 102.5, 49.8, 30.8, 29.3, 20.9; HR-MS (ESI) calculated for C17H22N5S: 328.1596 [M + H]+, found: 328.1599.

3.1.9. General Procedure for the Synthesis of 4-Amino-thieno[3,2-d]pyrimidines 10ch

Compound 5 (1 eq.) was dissolved in EtOH (22 mL/mmol). The appropriate amine (3 eq.) and Na2CO3 (2 eq.) were added to the solution. The reaction mixture was heated at 35 °C for compound 10c or under reflux for other amines. If the reaction was not completed after 72 h, another portion of the appropriate amine was added, and the heating was continued until completion of the reaction (1 eq. was added for compound 10h; 15 eq. for compound 10c; and 4.5 eq. for other compounds). Then, the mixture returned to room temperature and was concentrated under reduced pressure. The mixture was dissolved in water. The aqueous layer was extracted three times with EtOAc. Organic layers were washed with brine, dried with MgSO4, and filtered and concentrated under vacuo. The crude was purified by the appropriate method.
N2-(tert-butyl)-N4-methyl-6-(p-tolyl)thieno[3,2-d]pyrimidine-2,4-diamine (10c)
Following the general procedure, using 5 (237 mg, 0.742 mmol) and methylamine. The crude was purified by chromatography on silica gel (eluent: 5/5 Hexane/AcOEt) to afford 10c as a yellow solid (175 mg, 75%); 1H NMR (500 MHz, DMSO-d6): δ 7.63 (d, 2H, CHar, J = 8.1 Hz), 7.29 (s, 1H, H-thiophene), 7.28 (d, 2H, CHar, J = 7.9 Hz), 5.76 (bs, 1H, NH), 3.31 (s, 3H, CH3N), 2.33 (s, 3H, CH3-tolyl), 1.40 (s, 9H, C(CH3)3); 13C NMR (125 MHz, DMSO-d6): δ 161.3, 160.4, 156.8, 147.0, 138.1, 130.4, 129.2, 125.4, 118.6, 104.4, 49.5, 28.9, 26.9, 20.2; HR-MS (ESI) calculated for C18H22N4S: 327.1643 [M + H]+, found: 4327.1643.
N2-(tert-butyl)-N4-propyl-6-(p-tolyl)thieno[3,2-d]pyrimidine-2,4-diamine (10d)
Following the general procedure, using 5 (300 mg, 0.904 mmol) and propylamine. The crude compound was purified by chromatography on silica gel (eluent: 9/1 to 7/3 Hexane/EtOAc) to afford 10d as a yellow solid (214 mg, 67%); 1H NMR (400 MHz, DMSO-d6): δ 7.65 (d, 2H, CHar, J = 8.0 Hz), 7.33–7.31 (m, 2H, H-thiophène + NHCH2), 7.28 (d, 2H, CHar, J = 8.0 Hz), 5.79 (bs, 1H, NH), 3.41–3.36 (m, 2H, CH2N), 2.34 (s, 3H, CH3-tolyl), 1.65–1.56 (m, 2H, CH2), 1.40 (s, 9H, C(CH3)3), 0.91 (t, 3H, CH3CH2, J = 7.4 Hz); 13C NMR (400 MHz, DMSO-d6): δ 161.8, 160.7, 155.8, 147.2, 138.6, 130.7, 129.7, 125.7, 118.8, 104.2, 49.8, 41.5, 29.2, 22.4, 20.8; HR-MS (ESI) calculated for C20H27N4S: 355.1956 [M + H]+, found: 355.1960.
N2-(tert-butyl)-N4-isopropyl-6-(p-tolyl)thieno[3,2-d]pyrimidine-2,4-diamine (10e)
Following the general procedure, using 5 (300 mg, 0.904 mmol) and isopropylamine. The crude was purified by a manual chromatographic column of silica gel (eluent: 9/1 Hexane/AcOEt to 6/4). Compound 10e was obtained as a white solid (238 mg, 74%); 1H NMR (600 MHz, DMSO-d6): δ 7.64 (d, 2H, CHar, J = 8.0 Hz), 7.32 (s, 1H, H-thiophene), 7.28 (d, 2H, CHar, J = 8.0 Hz), 7.06 (d, 1H, NHCH, J = 7.6 Hz), 5.76 (bs, 1H, NH), 4.42–4.34 (m, 1H, CHN), 2.34 (s, 3H, CH3-tolyl), 1.40 (s, 9H, C(CH3)3), 1.21 (d, 6H, C(CH3)2, J = 6.5 Hz); 13C NMR (150 MHz, DMSO-d6): δ 161.8, 160.7, 155.8, 147.2, 138.6, 130.7, 129.7, 125.7, 118.8, 104.2, 49.8, 41.5, 29.2, 22.4, 20.8; HR-MS (ESI) calculated for C20H27N4S: 355.1956 [M + H]+, found: 355.1956.
4-((2-(tert-butylamino)-6-(p-tolyl)thieno[3,2-d]pyrimidin-4-yl)amino)butan-1-ol (10f)
Following the general procedure, using 5 (150 mg, 0.45.2 mmol) and 4-amino-1-butanol. The crude compound was purified by recrystallization to afford 10f as pale yellow crystals (134 mg, 77%); 1H NMR (500 MHz, DMSO-d6): δ 7.65 (d, 2H, CHar, J = 8.0 Hz), 7.36–7.34 (m, 2H, H-thiophene + NHCH2), 7.27 (d, 2H, CHar, J = 8.0 Hz), 5.82 (bs, 1H, NH), 4.45 (t, 1H, OH, J = 5.0 Hz), 3.45–3.40 (m, 4H, CH2N + CH2O), 2.34 (s, 3H, CH3-tolyl), 1.64–1.58 (m, 2H, CH2), 1.52–1.46 (m, 2H, CH2), 1.40 (s, 9H, C(CH3)3); 13C NMR (125 MHz, DMSO-d6): δ 161.7, 160.7, 156.5, 147.3, 138.7, 130.7, 129.8, 125.7, 118.9, 104.2, 60.7, 49.9, 40.1, 30.2, 29.3, 25.9, 20.9; HR-MS (ESI) calculated for C21H29N4OS: 385.2062 [M + H]+, found: 385.2068.
N2-(tert-butyl)-N4-(2-methoxyethyl)-6-(p-tolyl)thieno[3,2-d]pyrimidine-2,4-diamine (10g)
Following the general procedure, using 5 (150 mg, 0.45.2 mmol) and 2-methoxyethylamine. The crude compound was purified by a silica gel chromatography (eluent: 8/2 to 6/4 Hexane/EtOAc) to afford 10g as a yellowish solid (127 mg, 76%); 1H NMR (500 MHz, DMSO-d6): δ 7.65 (d, 2H, CHar, J = 8.2 Hz), 7.40 (t, 1H, NHCH2, J = 4.7 Hz), 7.35 (s, 1H, H-thiophene), 7.28 (d, 2H, CHar, J = 8.2 Hz), 5.88 (bs, 1H, NH), 3.61–3.58 (m, 2H, CH2N), 3.53–3.50 (m, 2H, CH2O), 3.27 (s, 3H, CH3O), 2.34 (s, 3H, CH3-tolyl), 1.40 (s, 9H, C(CH3)3); 13C NMR (125 MHz, DMSO-d6): δ 161.9, 160.6, 156.5, 147.5, 138.7, 130.7, 129.8, 125.8, 118.9, 104.2, 70.6, 58.0, 49.9, 39.76, 29.2, 20.9; HR-MS (ESI) calculated for C20H27N4OS: 371.1906 [M + H]+, found: 371.1904.
N2-(tert-butyl)-N4-phenyl-6-(p-tolyl)thieno[3,2-d]pyrimidine-2,4-diamine (10h)
Following the general procedure, using 5 (250 mg, 0.753 mmol) and aniline. The crude was then purified by chromatography on silica gel (eluent: 9/1 Hexane/AcOEt to 8/2). Compound 10h was obtained as a brown solid (149 mg, 51%); 1H NMR (500 MHz, DMSO-d6): δ 9.01 (bs, 1H, NH), 7.83 (d, 2H, CHar, J = 7.5 Hz), 7.70 (d, 2H, CHar, J = 8.2 Hz), 7.47 (s, 1H, H-thiophene), 7.34–7.29 (m, 4H, CHar), 7.05–7.03 (m, 1H, CHar), 6.61 (bs, 1H, NH), 2.35 (s, 3H, CH3-tolyl), 1.40 (s, 9H, C(CH3)3); 13C NMR (125 MHz, DMSO-d6): δ 162.8, 160.2, 154.6, 148.5, 139.8, 139.0, 130.5, 129.9, 128.4, 125.8, 122.6, 121.5, 119.1, 105.0, 50.0, 29.0, 20.9; LC/MS: tr = 1.68 min, [M + H]+ = 389.2; HR-MS (ESI) calculated for C23H25N4S: 389.1794 [M + H]+, found: 389.1811.

3.1.10. Synthesis of Sodium (S)-2-((2-(Tert-butylamino)-6-(p-tolyl)thieno[3,2-d]pyrimidin-4-yl) amino)-propanoate trihydrate 10j

Compound 5 (200 mg, 0.603 mmol) was dissolved in EtOH (17 mL/mmol). Alanine (3 eq., 161 mg, 1.808 mmol) and Na2CO3 (2 eq., 192 mg, 1.808 mmol) were added to the solution. The reaction mixture was heated under reflux for 8 days. Then, the mixture returned to room temperature and was concentrated under reduce pressure. Water (50 mL) was added, and the precipitate was filtered and dried under vacuum at 50 °C overnight. The desired compound was obtained without further purification as a white powder (129 mg, 56%); 1H NMR (500 MHz, DMSO-d6): δ 7.64 (d, 2H, CHar, J = 8.1 Hz), 7.31–7.28 (m, 3H, H-thiophene + CHar), 7.08–7.07 (m, 1H, NHCH), 5.43 (bs, 1H, NH), 4.66–4.61 (m, 1H, CH), 2.37 (s, 3H, CH3-tolyl), 1.47 (d, 3H, CH3, J = 7.2 Hz), 1.42 (s, 9H, C(CH3)3); 13C NMR (125 MHz, DMSO-d6): δ 173.7, 161.7, 160.1, 155.7, 147.5, 138.2, 130.4, 129.2, 125.4, 118.5, 104.3, 49.5, 48.6, 28.9, 20.2, 17.2; UPLC/MS: tr = 2.58 min, [M + H]+ = 385.3; HR-MS (ESI) C20H25N4O2S calculated: 385.1698 [M + H]+, found: 385.1700. This compound (79 mg, 0.2055 mmol) was dissolved in anhydrous EtOH. Sodium ethoxide, 21% w/w in ethanol (1.1 eq., 73 mg, 0.226 mmol) was added and the mixture was stirred at room temperature for 7h. The volatiles were removed under reduce pressure. The desired product was obtained as a yellow powder (82 mg, 87%); 1H NMR (400 MHz, DMSO-d6): δ 7.68 (d, 2H, CHar, J = 8.0 Hz), 7.35 (s, 1H, H-thiophene), 7.27 (d, 2H, CHar, J = 8.0 Hz), 6.65 (d, 1H, NHCH, J = 5.1 Hz), 5.77 (bs, 1H, NH), 4.08–4.01 (m, 1H, CH), 2.34 (s, 3H, CH3-tolyl), 1.41 (s, 9H, C(CH3)3), 1.36 (d, 3H, J = 7.2 Hz); 13C NMR (100 MHz, DMSO-d6): δ 174.1, 161.6, 161.0, 155.4, 146.8, 138.7, 130.5, 129.7, 125.8, 119.1, 104.1, 50.9, 49.8, 29.3, 20.8, 19.7.LC/MS: tr = 1.41 min, [M + H]+ = 385.1; HR-MS (ESI) C20H25N4O2S calculated: 385.1693 [M + H]+, found: 385.1695.Elemental analysis calculated for the trihydrate salt: C20H29N4NaO5S: C, 52.16; H, 6.35; N, 12.17; S, 6.96; found: C, 52.07; H, 5.99; N, 11.82; S, 6.83.

3.1.11. General Procedure for the Synthesis of 4-Aryl-thieno[3,2-d]pyrimidines 11af

Compound 5 (1 eq.) was dissolved in THF (15 mL/mmol) (for compound 12ad) or 1,4-dioxane (for compounds 12ef). The mixture was degassed, filled with argon. Then, the appropriate boronic acid (2 eq.) was added and the mixture was heated (30 to 40 °C) to solubilize the starting material. A solution of 1 M potassium carbonate in water (2.6 eq.) and Pd(PPh3)4 (0.02 eq.) were added. The reaction mixture was stirred and heated under reflux until completion of the reaction. The resulting mixture was partitioned between DCM and water. The organic layer was washed with a saturated aqueous solution of sodium bicarbonate, dried with MgSO4, and filtered and concentrated under vacuum. The residue was purified by column chromatography.
N-(tert-butyl)-4,6-di-p-tolylthieno[3,2-d]pyrimidin-2-amine (11a)
Following the general procedure, starting from 5 (300 mg, 0.904 mmol) and 4-tolylboronic acid (246 mg, 1.808 mmol). The crude was purified by column chromatography (eluent: 98/02 Cyclohexane/EtOAc to 80/20). A yellow solid was collected (236 mg, 67%); 1H NMR (500 MHz, DMSO-d6): δ 8.02 (d, 2H, CHar, J = 8.1 Hz), 7.78 (d, 2H, CHar, J = 8.2 Hz), 7.66 (s, 1H, H-thiophene), 7.42 (d, 2H, CHar, J = 8.0 Hz), 7.30 (d, 2H, CHar, J = 7.9 Hz), 6.73 (bs, 1H, NH), 2.41 (s, 3H, CH3-tolyl), 2.35 (s, 3H, CH3-tolyl), 1.47 (s, 9H, C(CH3)3); 13C NMR (125 MHz, DMSO-d6): δ 164.4, 160.9, 158.5, 152.1, 140.6, 139.8, 134.7, 129.9, 129.5, 127.8, 126.2, 118.7, 115.5, 50.3, 28.8, 21.1, 20.9; LC/MS: tr = 2.65 min, [M + H]+ = 388.4; HR-MS (ESI) calculated for C24H26N3S: 388.1842 [M + H]+, found: 388.1835.
N-(tert-butyl)-4-(m-tolyl)-6-(p-tolyl)thieno[3,2-d]pyrimidin-2-amine (11b)
Following the general procedure, starting from 5 (300 mg, 0.904 mmol) and 3-tolylboronic acid (246 mg, 1.808 mmol). The crude was purified by column chromatography (eluent: 80/20 Hexane/EtOAc to 60/40) to offer a yellow solid (252 mg, 72%); 1H NMR (500 MHz, DMSO-d6): δ 7.90–7.88 (m, 2H, CHar), 7.80 (d, 2H, CHar, J = 8.0 Hz), 7.68 (s, 1H, H-thiophene), 7.51 (t, 1H, CHar, J = 7.6 Hz), 7.41 (d, 1H, CHar, J = 7.6 Hz), 7.31 (d, 2H, CHar, J = 8.0 Hz), 6.77 (bs, 1H, NH), 2.44 (s, 3H, CH3-tolyl), 2.36 (s, 3H, CH3-tolyl), 1.47 (s, 9H, C(CH3)3); 13C NMR (125 MHz, DMSO-d6): δ 164.4, 160.9, 158.8, 152.3, 138.3, 137.5, 131.3, 129.9, 128.9, 128.4, 126.3, 125.0, 118.7, 115.8, 50.3, 28.8, 21.2, 20.9; LC/MS: tr = 2.68 min, [M + H]+ = 388.3; HR-MS (ESI) calculated for C24H26N3S: 388.1842 [M + H]+, found: 388.1841.
N-(tert-butyl)-4-phenyl-6-(p-tolyl)thieno[3,2-d]pyrimidin-2-amine (11c)
Following the general procedure, starting from 5 (300 mg, 0.904 mmol) and phenylboronic acid (246 mg, 1.808 mmol). The crude was purified by column chromatography (eluent: 90/10 Hexane/EtOAc) to offer a yellow solid (268 mg, 79%); 1H NMR (500 MHz, DMSO-d6): δ 8.12–8.10 (m, 2H, CHar), 7.80 (d, 2H, CHar, J = 8.2 Hz), 7.68 (s, 1H, H-thiophene), 7.65–7.58 (m, 3H, CHar), 7.31 (d, 2H, CHar, J = 7.9 Hz), 6.80 (bs, 1H, NH), 2.35 (s, 3H, CH3-tolyl), 1.48 (s, 9H, C(CH3)3); 13C NMR (125 MHz, DMSO-d6): δ 164.5, 160.9, 158.6, 152.4, 139.9, 137.5, 130.7, 129.9, 129.9, 129.0, 127.9, 126.3, 118.7, 115.7, 50.3, 28.8, 20.9; LC/MS: tr = 2.52 min, [M + H]+ = 374.1; HR-MS (ESI) calculated for C23H24N3S: 374.1685 [M + H]+, found: 374.1680.
N-(tert-butyl)-4-(thiophen-3-yl)-6-(p-tolyl)thieno[3,2-d]pyrimidin-2-amine (11d)
Following the general procedure, starting from 5 (300 mg, 0.904 mmol) and 3-thiopheneboronic acid (246 mg, 1.808 mmol). The crude was purified by column chromatography (eluent: 90/10 Hexane/EtOAc to 85/15) to offer a brown solid (273 mg, 80%); 1H NMR (500 MHz, DMSO-d6): δ 8.39–8.38 (m, 1H, H-thiophene), 7.86–7.85 (m, 1H, H-thiophene), 7.81–7.79 (m, 3H, H-thiophene + CHar), 7.66 (s, 1H, H-thiophene), 7.32 (d, 2H, CHar, J = 8.0 Hz), 6.70 (bs, 1H, NH), 2.36 (s, 3H, CH3-tolyl), 1.47 (s, 9H, C(CH3)3); 13C NMR (125 MHz, DMSO-d6): δ 164.4, 160.6, 153.7, 152.0, 139.9, 139.7, 129.9, 128.3, 127.7, 126.9, 126.3, 118.6, 114.9, 50.3, 28.8, 21.0; LC/MS: tr = 2.51 min, [M + H]+ = 380.2; HR-MS (ESI) calculated for C21H22N3S2: 380.1250 [M + H]+, found: 380.1254.
N-(tert-butyl)-4-(pyridin-4-yl)-6-(p-tolyl)thieno[3,2-d]pyrimidin-2-amine (11e)
Following the general procedure, starting from 5 (177 mg, 0.5345 mmol) and 4-pyridinylboronic acid (146 mg, 1.069 mmol). The crude was purified by column chromatography (eluent: 60/40 Hexane/EtOAc to 100% EtOAc) to offer a yellow solid (133 mg, 66%); 1H NMR (500 MHz, CDCl3): δ 8.83 (d, 2H, CHpyridinyl, J = 5.5 Hz), 8.03 (d, 2H, CHpyridinyl, J = 5.5 Hz), 7.65 (d, 2H, CHar, J = 8.2 Hz), 7.43 (s, 1H, H-thiophene), 7.28–7.26 (m, 2H, CHar), 5.37 (bs, 1H, NH), 2.41 (s, 3H, CH3-tolyl), 1.56 (s, 9H, C(CH3)3); 13C NMR (125 MHz, CDCl3): δ 165.0, 160.8, 157.0, 154.4, 150.7, 145.4, 140.5, 130.5, 130.0, 126.7, 122.4, 118.4, 111.7, 51.4, 29.8, 21.5; LC/MS: tr = 2.47 min, [M + H]+ = 375.0; HR-MS (ESI) calculated for C22H23N4S: 375.1638 [M + H]+, found: 375.1641.
N-(tert-butyl)-4-(pyridin-3-yl)-6-(p-tolyl)thieno[3,2-d]pyrimidin-2-amine (11f)
Following the general procedure, starting from 5 (200 mg, 0.6027 mmol) and 3-pyridinylboronic acid (148 mg, 1.205 mmol). The crude was purified by column chromatography (eluent: 70/30 Hexane/EtOAc to 100% EtOAc) to offer a yellow solid (171 mg, 76%); 1H NMR (500 MHz, DMSO-d6): δ 9.41 (d, 1H, CHpyridinyl, J = 1.8 Hz), 8.76 (dd, 1H, CHpyridinyl, J = 4.8 and 1.8 Hz), 8.45–8.43 (m, 1H, CHpyridinyl), 7.65 (d, 2H, J = 8.2 Hz, CHar), 7.50–7.47 (m, 1H, CHpyridinyl), 7.41 (s, 1H, H-thiophene), 7.27–7.26 (m, 2H, CHar), 5.21 (bs, 1H, NH), 2.41 (s, 3H, CH3-tolyl), 1.55 (s, 9H, CH3-tolyl); 13C NMR 125 MHz, DMSO-d6): δ 165.2, 161.1, 156.8, 153.9, 151.3, 149.7, 140.3, 135.7, 134.0, 130.6, 130.0, 126.6, 123.7, 118.6, 117.7, 51.2, 29.3, 21.5; LC/MS: tr = 2.41 min, [M + H]+ = 375.1; HR-MS (ESI) calculated for C22H23N4S: 375.1638 [M + H]+, found: 375.1637.

3.1.12. General Procedure for the Synthesis of 4-Alkynyl-thieno[3,2-d]pyrimidines 12ac

Under nitrogen atmosphere, compound 5, the appropriate alkyne, copper iodide (16% mol), bis(triphenylphosphine)palladium(II) dichloride (4% mol), and triethylamine (10 eq.) were dissolved in dry ACN (1:1 v:v with triethylamine) in a sealed vial. The obtained suspension was stirred for 10 min under microwave irradiation at 100 °C. Water (20 times the quantity of ACN) was added to the reaction mixture, which was then extracted with dichloromethane. The organic layer was washed with water and the excess was removed under reduced pressure. The obtained crude was purified via the appropriate method.
N-tert-butyl-6-(4-methylphenyl)-4-(phenylethynyl)thieno[3,2-d]pyrimidin-2-amine (12a)
Following the general procedure, starting from 5 (0.26 g, 0.78 mmol) and phenylacetylene (103.2 µL, 0.94 mmol). The obtained crude was purified via chromatography (cyclohexane/DCM). Fractions of interest were triturated in n-pentane, affording 12a as a yellow solid (109 mg, 35%); 1H NMR (DMSO-d6, 400 MHz): δ 7.91 (d, 2H, CHar, J = 7.9 Hz), 7.73–7.65 (m, 3H, CHar), 7.60–7.49 (m, 3H, CHar), 7.32 (d, 2H, J = 7.9 Hz, CHar), 6.96 (bs, 1H, NH), 2.36 (s, 3H, CH3-tolyl), 1.44 (s, 9H, C(CH3)3); 13C NMR (DMSO-d6, 100 MHz) δ 163.1, 160.7, 152.8, 143.6, 140.0, 132.1 (2C), 130.5, 129.9 (2C), 129.8, 129.1 (2C), 126.3 (2C), 120.9, 120.2, 118.8, 94.3, 85.3, 50.3, 28.6 (3C), 20.9. HR-MS (ESI) calculated for C25H24N3S: 398.1685 [M + H]+, found 398.1678.
N-tert-butyl-4-(cyclopropylethynyl)-6-(4-methylphenyl)thieno[3,2-d]pyrimidin-2-amine (12b)
Starting from 5 (0.32 g, 0.96 mmol) and ethynylcyclopropane (409 µL, 4.82 mmol). The obtained crude was purified via flash chromatography (cyclohexane/EtOAc), affording 12b as a dark brown solid (165 mg, 47% yield); 1H NMR (DMSO-d6, 400 MHz) δ 7.77 (d, 2H, CHar, J = 8.2 Hz), 7.61 (s, 1H, H-thiophene), 7.30 (d, 2H, CHar, J = 7.9 Hz), 6.79 (bs, 1H, NH), 2.36 (s, 3H, CH3-tolyl), 1.76–1.68 (m, 1H, CH), 1.40 (s, 9H, C(CH3)3), 1.09–1.01 (m, 2H, CH2), 0.91–0.82 (m, 2H, CH2); 13C NMR (DMSO-d6, 100 MHz) δ 162.7, 160.1, 152.4, 144.3, 139.9, 129.9, 129.8 (2C), 126.2 (2C), 118.7, 101.1, 72.4, 50.2, 28.6 (3C), 26.3, 20.9, 9.33 (2C), −0.3. HRMS (ESI) m/z calculated for C22H24N3S [M + H]+ 362.1685, found 362.1685.
4-[2-tert-butylamino-6-(4-methylphenyl)thieno[3,2-d]pyrimidin-4-yl]but-3-yn-1-ol (12c)
Starting from 5 (0.32 g, 0.96 mmol) and but-3-yn-1-ol (219 µL, 2.89 mmol), the obtained crude was purified via two successive flash chromatography (DCM/MeOH and then cyclohexane/EtOAc), affording 12c as a yellow solid (24 mg, 7% yield); 1H NMR (DMSO-d6, 400 MHz): δ 7.77 (d, 2H, CHar, J = 8.2 Hz), 7.62 (s, 1H, H-thiophene), 7.31 (d, 2H, CHar, J = 8.2 Hz), 6.81 (bs, 1H, NH), 5.01 (t, 1H, OH, J = 5.5 Hz), 3.69–3.61 (m, 2H, CH2O), 2.71 (t, 2H, CH2, J = 6.6 Hz), 2.36 (s, 3H, CH3-tolyl), 1.41 (s, 9H, C(CH3)3); 13C NMR (DMSO-d6, 100 MHz): δ 162.8, 160.7, 152.6, 144.3, 139.9, 129.9 (3C), 126.3 (2C), 120.8, 118.7, 95.8, 77.9, 59.3, 50.2, 28.6 (3C), 23.2, 20.9; HRMS (ESI) calculated for C21H24N3OS [M + H]+ 366.1635, found 366.1636.

3.1.13. Synthesis of N-(Tert-butyl)-6-(p-tolyl)thieno[3,2-d]pyrimidin-2-amine 13

Compound 5 (250 mg, 0.7533 mmol) was dissolved in a solution of ethyl acetate/propan-2-ol, 5/1 (16 mL/mmol). Then, Pd(OH)2 (125 mg, 20% on carbon, wetted with ca.50% water) and triethylamine (2.3 eq., 175 mg, 1.733 mmol, 0.24 mL) were added. The suspension was placed under a stream of hydrogen and was stirred at room temperature until total consumption of the starting material (72 h). Three portions of Pd(OH)2 were added during the experiment. The reaction mixture was filtered on Celite® and the filtrate was concentrated. The crude was dissolved in EtOAc and washed with a saturated aqueous solution of NaHCO3. The aqueous layer was extracted twice with EtOAc. Combined organic layers were washed with brine, dried over MgSO4, and filtered and concentrated under reduced pressure. The crude was purified with chromatography of silica (eluent: Hexane/EtOAc 90/10 to 80/20) to afford 14 as an off-white solid (159 mg, 71%); 1H NMR (500 MHz, DMSO-d6): δ 8.88 (s, 1H, H-pyrimidine), 7.75 (d, 2H, CHar, J = 8.2 Hz), 7.60 (s, 1H, H-thiophene), 7.31 (d, 2H, CHar, J = 8.0 Hz), 6.70 (bs, 1H, NH), 2.35 (s, 3H, CH3-tolyl), 1.42 (s, 9H, C(CH3)3); 13C NMR (125 MHz, DMSO-d6): δ 162.4, 160.4, 152.5, 152.2, 139.7, 130.1, 129.9 (2C), 126.2 (2C), 118.9, 118.3, 50.1, 28.7, 20.9; LC/MS: tr = 2.19 min, [M + H]+ = 298.3; HR-MS (ESI) C17H20N3S calculated: 298.1372 [M + H]+, found: 298.1384.

3.2. Biology

3.2.1. Blood-Stage Antiplasmodial Evaluation

A K1 culture-adapted P. falciparum strain resistant to chloroquine, pyrimethamine, and proguanil was used in an in vitro culture. It was maintained in a continuous culture, as described previously by Trager and Jensen [23]. Cultures were maintained in fresh A+ human erythrocytes at 2.5% hematocrit in a complete medium (RPMI 1640 with 25 mM HEPES, 25 mM NaHCO3, and 10% of A+ human serum) at 37 °C under a reduced O2 atmosphere (gas mixture: 10% O2, 5% CO2, and 85% N2). Parasitemia was maintained daily between 1 and 3%. The P. falciparum drug susceptibility test was carried out by comparing quantities of DNA in treated and control cultures of parasite in human erythrocytes, according to a SYBR Green I fluorescence-based method [24] using a 96-well fluorescence plate reader. Compounds, previously dissolved in DMSO (final concentration less than 0.5% v/v), were incubated in a total assay volume of 200 μL (RPMI, 2% hematocrit and 0.4% parasitemia) for 72 h in a humidified atmosphere (10% O2 and 5% CO2) at 37 °C, in 96-well flat bottom plates. Duplicate assays were performed for each sample. After incubation, plates were frozen at 20 °C for 24 h. Then, the frozen plates were thawed for 1 h at 37 °C. A total of 15 μL of each sample was transferred to 96-well flat-bottom non-sterile black plates (Greiner Bio-One, Kremsmünster, Austria) already containing 15 μL of the SYBR Green I lysis buffer (2X SYBR Green I, 20 mM Tris base pH 7.5, 20 mM EDTA, 0.008% w/v saponin, 0.08% w/v Triton X-100). Negative control treated by solvents (DMSO or H2O) and positive controls (chloroquine) were added to each set of experiments. Plates were incubated for 15 min at 37 °C and then read on a TECAN Infinite F-200 spectrophotometer with excitation and emission wavelengths at 485 and 535 nm, respectively. The concentrations of compounds required to induce a 50% decrease in parasite growth (EC50 K1) were calculated from three independent experiments.

3.2.2. Cytotoxic Evaluation on HepG2 Cell Line

The HepG2 cell line (hepatocarcinoma cell line purchased from ATCC, ref HB-8065) was maintained at 37 °C, 5% CO2, with 90% humidity in MEM supplemented with 10% fetal bovine serum, 1% L-glutamine (200 mM), penicillin (100 U/mL), and streptomycin (100 μg/mL) (complete MEM medium). The evaluation of the cytotoxicity of the tested molecules was performed according to the method of Mosmann [25], with slight modifications. Briefly, 5.103 cells in 100 μL of the complete medium were inoculated into each well of a 96-well plate and incubated at 37 °C in a humidified 5% CO2. After 24 h incubation, 100 μL of medium with various product concentrations dissolved in DMSO (final concentration less than 0.5% v/v) was added and the plates were incubated for 72 h at 37 °C. Triplicate assays were performed for each sample. Each plate well was then microscope-examined for detecting possible precipitate formation before the medium was aspirated from the wells. A total of 100 μL of MTT (3-(4,5-dimethyl-2-thiazolyl)-2,5-diphenyl-2H-tetrazolium bromide) solution (0.5 mg/mL in medium without FCS) was then added to each well. Cells were incubated for 2 h at 37 °C. After this time, the MTT solution was removed and DMSO (100 μL) was added to dissolve the resulting blue formazan crystals. Plates were shaken vigorously (700 rpm) for 10 min. The absorbance was measured at 570 nm, with 630 nm as a reference wavelength using a TECAN Infinite F-200 Microplate Reader. DMSO was used as a blank and doxorubicin (purchased from Sigma Aldrich, St. Louis, MO, USA) was used as a positive control. Cell viability was calculated as a percentage of control (cells incubated without compound). The 50% cytotoxic concentration (CC50) was determined from the dose–response curve by using the TableCurve software 2D v.5.0. CC50 values represent the mean value calculated from three independent experiments.

3.2.3. Hepatic-Stage Antiplasmodial Evaluation

Parasite Strains and Sporozoite Isolation

P. berghei sporozoites constitutively expressing green fluorescent protein (PbGFP, ANKA strain) [26] were obtained by the dissection of salivary glands from infected Anopheles stephensi mosquitoes bred and infected in the insectary facilities of UMR-S 1135 (CIMI, Paris, France). Infected salivary glands were removed by hand dissection, crushed in a potter, and filtered through a 40 μm filter for sporozoite isolation (Cell Strainer, BD BioSciences, San Jose, CA, USA). The sporozoites were counted using a disposable plastic microscope slide (KOVA).

Primary Hepatocyte Culture

Primary simian hepatocytes were isolated from liver segments collected from healthy Macaca fascicularis from CEA, Fontenay aux Roses, France. All hepatocytes were obtained using collagenase perfusion, as previously described [27], and were immediately cryopreserved. One day before infection, the cryopreserved hepatocytes were thawed at 37 °C and were seeded into collagen-coated (5 µg/cm2 rat tail collagen I, Invitrogen, Carlsbad, CA, USA) 96-well plate, at a density of 80,000 cells per well. They were cultured at 37 °C in 5% CO2 in William’s E medium (Gibco, Life Technologies, Saint Aubin, France) supplemented with 10% of Fetal Bovine Serum FCIII, 5 × 10–5 M hydrocortisone hemisuccinate (Serb Laboratories, Paris, France), 5 μg per ml bovine insulin (Sigma Aldrich, St. Louis, MO, USA), 2 mM L-glutamine, and 0.02 U per ml-0.02 μg per ml penicillin-streptomycin (Life Technologies) until infection with sporozoites.

In Vitro Infection and Drug Assays

Sporozoites of P. berghei were re-suspended in the above complete medium used for the hepatocytes culture. Simian hepatocytes were inoculated in 50 μL of complete media with 20,000 P. berghei-sporozoites/well in 96-well plates. The infected culture plates were centrifuged for 10 min at 900× g to allow fast parasite sedimentation onto the target cells and were further incubated with the serial dilution of drugs that were prepared in advance. After 3 h of incubation, cultures were washed and further incubated in a fresh medium containing the appropriate drug concentration, which were changed every 24 h during the study period. Cultured hepatocytes were fixed using 4% paraformaldehyde (PFA) for 15 min at room temperature. Host cell and parasite nuclei were labelled with 4′,6-diamidino-2-phenylindole (DAPI). Upon fixation and immunostaining, cell culture plates were analyzed in order to determine the number and size of the parasites using a Cell Insight High Content Screening platform equipped with the Studio HCS software (Thermo Fisher Scientific, Waltham, MA, USA). The parasite size reduction was calculated on the average object area using the total surface area of each selected object (μm2). To assess the cell toxicity of drugs for hepatic cultures, fixed plates were further scanned for the DAPI signal representing host nuclei. The analysis was based on counting of total cell nuclei. GraphPad Prism 7 statistical software (GraphPad. Software, San Diego, CA, USA) was used for data analysis and graphing. All values were expressed as means and standard deviations (SD).

4. Conclusions

In summary, we have prepared a new library of 28 thienopyrimidines, based on the structure of a first antiplasmodial hit named Gamhepathiopine (compound 1), identified to be active notably on all stages of P. falciparum. The introduction of various substituents at position 4 of the thienopyrimidine core was studied using aromatic nucleophilic substitutions or pallado-catalyzed reactions on the common 4-chloro derivative 5. Among the 28 compounds evaluated, seven with a halogen or an alkylamino group displayed an EC50 lower than 2 µM against the erythrocytic stage of P. falciparum. These compounds were then selected and evaluated against the hepatic stage of P. berghei. Six of the seven tested compounds were identified as displaying a dual-stage antiplasmodial activity and being more active against the hepatic stage of P. berghei than compound 1. Compound 10c was the most active, but some toxicity on HepG2 cells was also observed with several of these compounds. Thus, compound 5 showed the best compromise, with an EC50 of 0.3 µM against the erythrocytic stage of P. falciparum, with moderate toxicity on HepG2 (selective index of 54.7) while presenting better activity than compound 1 against hepatic P. berghei parasites. Further modulations on this position are currently under investigation to increase the antiplasmodial activity and reduce the cytotoxicity of these compounds.

Supplementary Materials

The following supporting information can be downloaded at: https://www.mdpi.com/article/10.3390/ph15070820/s1.

Author Contributions

Investigation: P.L., R.M., N.A. (Nadia Amanzougaghene), S.H. and J.-F.F.; visualization: P.L. and R.M.; writing—review and editing: P.L., R.M., P.V. (Patrice Vanelle), P.V. (Pierre Verhaeghe), N.P. and N.M.; conceptualization: R.M., N.M. and V.L.; formal analysis: N.A. (Nadia Amanzougaghene), S.H. and J.-F.F.; supervision: N.A. (Nadine Azas), P.V. (Patrice Vanelle), P.V. (Pierre Verhaeghe), N.P., D.M., N.M. and V.L.; validation: N.A. (Nadine Azas) and N.P.; resources: N.P. and D.M.; funding acquisition: D.M. and V.L.; writing—original draft: N.M.; review and editing: V.L. All authors have read and agreed to the published version of the manuscript.

Funding

This work was financed by the Agence Nationale de la Recherche (ANR Plasmodrug 18-CE18-0009-01) and the Fondation pour la Recherche Médicale (FRM Palukill DMC20181039565).

Institutional Review Board Statement

Not applicable.

Informed Consent Statement

Not applicable.

Data Availability Statement

Data is contained within the article and Supplementary Materials.

Conflicts of Interest

The authors declare no conflict of interest.

References

  1. Varo, R.; Chaccour, C.; Bassat, Q. Update on malaria. Med. Clin. 2020, 155, 395–402. [Google Scholar] [CrossRef] [PubMed]
  2. Fact Sheet about Malaria (n.d.). Available online: https://www.who.int/news-room/fact-sheets/detail/malaria (accessed on 27 January 2022).
  3. World Malaria Report 2020 (n.d.). Available online: https://www.who.int/publications/i/item/9789240015791 (accessed on 1 June 2022).
  4. Bhatt, S.; Weiss, D.J.; Cameron, E.; Bisanzio, D.; Mappin, B.; Dalrymple, U.; Battle, K.E.; Moyes, C.L.; Henry, A.; Eckhoff, P.A.; et al. The effect of malaria control on Plasmodium falciparum in Africa between 2000 and 2015. Nature 2015, 526, 207–211. [Google Scholar] [CrossRef] [PubMed] [Green Version]
  5. Farlow, R.; Russell, T.L.; Burkot, T.R. Nextgen Vector Surveillance Tools: Sensitive, specific, cost-effective and epidemiologically relevant. Malar. J. 2020, 19, 432. [Google Scholar] [CrossRef] [PubMed]
  6. Tsegaye, A.T.; Ayele, A.; Birhanu, S. Prevalence and associated factors of malaria in children under the age of five years in Wogera district, northwest Ethiopia: A cross-sectional study. PLoS ONE 2021, 16, e0257944. [Google Scholar] [CrossRef]
  7. White, N.J. Artemisinin resistance—The clock is ticking. Lancet 2010, 376, 2051–2052. [Google Scholar] [CrossRef]
  8. Burrows, J.N.; Leroy, D.; Lotharius, J.; Waterson, D. Challenges in antimalarial drug discovery. Future Med. Chem. 2011, 3, 1401–1412. [Google Scholar] [CrossRef]
  9. Lyu, H.-N.; Ma, N.; Meng, Y.; Zhang, X.; Wong, Y.-K.; Xu, C.; Liao, F.; Jiang, T.; Tu, Y.; Wang, J. Study towards improving artemisinin-based combination therapies. Nat. Prod. Rep. 2021, 38, 1243–1250. [Google Scholar] [CrossRef]
  10. Müller, O.; Lu, G.Y.; Von Seidlein, L. Geographic expansion of artemisinin resistance. J. Travel Med. 2019, 26, taz030. [Google Scholar] [CrossRef]
  11. Ashley, E.A.; Dhorda, M.; Fairhurst, R.M.; Amaratunga, C.; Lim, P.; Suon, S.; Sreng, S.; Anderson, J.M.; Mao, S.; Sam, B.; et al. Spread of Artemisinin Resistance in Plasmodium falciparum Malaria. N. Engl. J. Med. 2014, 371, 411–423. [Google Scholar] [CrossRef] [Green Version]
  12. Noreen, N.; Ullah, A.; Salman, S.M.; Mabkhot, Y.; Alsayari, A.; Badshah, S.L. New insights into the spread of resistance to artemisinin and its analogues. J. Glob. Antimicrob. Resist. 2021, 27, 142–149. [Google Scholar] [CrossRef]
  13. World Health Organization. Global Technical Strategy for Malaria 2016–2030, 2021 Update; World Health Organization: Geneva, Switzerland, 2021. Available online: https://apps.who.int/iris/handle/10665/342995 (accessed on 5 December 2021).
  14. Burrows, J. Malaria runs rings round artemisinin. Nature 2015, 520, 628–630. [Google Scholar] [CrossRef] [PubMed]
  15. Reader, J.; van der Watt, M.E.; Taylor, D.; Le Manach, C.; Mittal, N.; Ottilie, S.; Theron, A.; Moyo, P.; Erlank, E.; Nardini, L.; et al. Multistage and transmission-blocking targeted antimalarials discovered from the open-source MMV Pandemic Response Box. Nat. Commun. 2021, 12, 269. [Google Scholar] [CrossRef] [PubMed]
  16. Bosson-Vanga, H.; Primas, N.; Franetich, J.-F.; Lavazec, C.; Gomez, L.; Ashraf, K.; Tefit, M.; Soulard, V.; Dereuddre-Bosquet, N.; Le Grand, R.; et al. A New Thienopyrimidinone Chemotype Shows Multistage Activity against Plasmodium falciparum, Including Artemisinin-Resistant Parasites. Microbiol. Spectr. 2021, 9, e00274-21. [Google Scholar] [CrossRef] [PubMed]
  17. Lagardère, P.; Fersing, C.; Masurier, N.; Lisowski, V. Thienopyrimidine: A Promising Scaffold to Access Anti-Infective Agents. Pharmaceuticals 2021, 15, 35. [Google Scholar] [CrossRef]
  18. Cohen, A.; Suzanne, P.; Lancelot, J.-C.; Verhaeghe, P.; Lesnard, A.; Basmaciyan, L.; Hutter, S.; Laget, M.; Dumètre, A.; Paloque, L.; et al. Discovery of new thienopyrimidinone derivatives displaying antimalarial properties toward both erythrocytic and hepatic stages of Plasmodium. Eur. J. Med. Chem. 2015, 95, 16–28. [Google Scholar] [CrossRef]
  19. Peinador, C.; Quintela, J.; Fernández-Mato, A. Synthesis and Characterization of Substituted Pyrazino [2′,3′:4,5]thieno[3,2-d]pyrimidines and Related Molecules. Synthesis 2011, 2011, 943–953. [Google Scholar] [CrossRef]
  20. Oh, C.S.; Lee, H.L.; Hong, W.P.; Lee, J.Y. Benzothienopyrimidine as a co-planar type rigid acceptor for high external quantum efficiency in thermally activated delayed fluorescence emitters. J. Mater. Chem. C 2019, 7, 7643–7653. [Google Scholar] [CrossRef]
  21. Wang, L.; Desmoulin, S.K.; Cherian, C.; Polin, L.; White, K.; Kushner, J.; Fulterer, A.; Chang, M.-H.; Mitchell-Ryan, S.; Stout, M.; et al. Synthesis, Biological, and Antitumor Activity of a Highly Potent 6-Substituted Pyrrolo [2,3-d]pyrimidine Thienoyl Antifolate Inhibitor with Proton-Coupled Folate Transporter and Folate Receptor Selectivity over the Reduced Folate Carrier That Inhibits β-Glycinamide Ribonucleotide Formyltransferase. J. Med. Chem. 2011, 54, 7150–7164. [Google Scholar] [CrossRef] [Green Version]
  22. Muraoka, T.; Ide, M.; Morikami, K.; Irie, M.; Nakamura, M.; Miura, T.; Kamikawa, T.; Nishihara, M.; Kashiwagi, H. Discovery of a potent and highly selective transforming growth factor β receptor-associated kinase 1 (TAK1) inhibitor by structure based drug design (SBDD). Bioorgan. Med. Chem. 2016, 24, 4206–4217. [Google Scholar] [CrossRef]
  23. Trager, W.; Jensen, J.B. Human Malaria Parasites in Continuous Culture. Science 1976, 193, 673–675. [Google Scholar] [CrossRef]
  24. Guiguemde, W.A.; Shelat, A.; Bouck, D.; Duffy, S.; Crowther, G.; Davis, P.H.; Smithson, D.C.; Connelly, M.; Clark, J.; Zhu, F.; et al. Chemical genetics of Plasmodium falciparum. Nature 2010, 465, 311–315. [Google Scholar] [CrossRef] [PubMed]
  25. Mosmann, T. Rapid colorimetric assay for cellular growth and survival: Application to proliferation and cytotoxicity assays. J. Immunol. Methods 1983, 65, 55–63. [Google Scholar] [CrossRef]
  26. Janse, C.J.; Franke-Fayard, B.; Mair, G.; Ramesar, J.; Thiel, C.; Engelmann, S.; Matuschewski, K.; van Gemert, G.J.; Sauerwein, R.W.; Waters, A. High efficiency transfection of Plasmodium berghei facilitates novel selection procedures. Mol. Biochem. Parasitol. 2006, 145, 60–70. [Google Scholar] [CrossRef] [PubMed]
  27. Silvie, O.; Rubinstein, E.; Franetich, J.-F.; Prenant, M.; Belnoue, E.; Rénia, L.; Hannoun, L.; Eling, W.; Levy, S.; Boucheix, C.; et al. Hepatocyte CD81 is required for Plasmodium falciparum and Plasmodium yoelii sporozoite infectivity. Nat. Med. 2002, 9, 93–96. [Google Scholar] [CrossRef]
Figure 1. Structure of Gamhepathiopine and previously studied SAR.
Figure 1. Structure of Gamhepathiopine and previously studied SAR.
Pharmaceuticals 15 00820 g001
Scheme 1. Synthesis of 4-halogenothienopyrimidines 5 and 6. Reagents and conditions: (i) 1. POCl3, DMF, RT; 2. NH2OH.HCl, RT, and 1 h 30; (ii) MeONa, HSCH2CO2Me, MeOH, 80 °C, and 40 min; (iii) SCNCO2Et, DMF, 30 °C, and 2 h; (iv) 1. tBuNH2, Net3, EDCI.HCl, DMF, RT, and 18 h; 2. 170 °C and 2 h; (v) POCl3, N,N-dimethylaniline, ACN, 85 °C, 16 h; 2. H2O, 40 °C, and 2 h; (vi) NaI, dioxane, and reflux.
Scheme 1. Synthesis of 4-halogenothienopyrimidines 5 and 6. Reagents and conditions: (i) 1. POCl3, DMF, RT; 2. NH2OH.HCl, RT, and 1 h 30; (ii) MeONa, HSCH2CO2Me, MeOH, 80 °C, and 40 min; (iii) SCNCO2Et, DMF, 30 °C, and 2 h; (iv) 1. tBuNH2, Net3, EDCI.HCl, DMF, RT, and 18 h; 2. 170 °C and 2 h; (v) POCl3, N,N-dimethylaniline, ACN, 85 °C, 16 h; 2. H2O, 40 °C, and 2 h; (vi) NaI, dioxane, and reflux.
Pharmaceuticals 15 00820 sch001
Scheme 2. Synthesis of O-alkyl, O-aryl, and S-aryl derivatives 79. Reagents and conditions: (i) R2ONa, R2OH, 60 °C, 6–22 h; (ii) R3-PhOH, K2CO3, DMF, 130 °C, 3 h; (iii) R3-PhSH, K2CO3, DMF, 1 h 30, 30 °C.
Scheme 2. Synthesis of O-alkyl, O-aryl, and S-aryl derivatives 79. Reagents and conditions: (i) R2ONa, R2OH, 60 °C, 6–22 h; (ii) R3-PhOH, K2CO3, DMF, 130 °C, 3 h; (iii) R3-PhSH, K2CO3, DMF, 1 h 30, 30 °C.
Pharmaceuticals 15 00820 sch002
Scheme 3. Synthesis of N-alkyl and hydrazinyl derivatives 10. Reagents and conditions: (i) NH4OH 35% (10a), or methylhydrazine (10b), or hydrazine monohydrate (10i), EtOH, sealed tube, and 120 °C; (ii) Amine, Na2CO3, EtOH, and reflux; (iii) NaOEt, EtOH, and RT.
Scheme 3. Synthesis of N-alkyl and hydrazinyl derivatives 10. Reagents and conditions: (i) NH4OH 35% (10a), or methylhydrazine (10b), or hydrazine monohydrate (10i), EtOH, sealed tube, and 120 °C; (ii) Amine, Na2CO3, EtOH, and reflux; (iii) NaOEt, EtOH, and RT.
Pharmaceuticals 15 00820 sch003
Scheme 4. Synthesis of 4-(hetero)arylthienopyrimidines 11 and 4-alkynylthienopyrimidines 12 using pallado-catalyzed coupling reactions. Reagents and conditions: (i) Boronic acid, 1 M K2CO3, Pd(PPh3)4, and THF reflux; (ii) Alkyne, PdCl2(PPh3)2, CuI, NEt3, ACN, 100 °C, and M.W.
Scheme 4. Synthesis of 4-(hetero)arylthienopyrimidines 11 and 4-alkynylthienopyrimidines 12 using pallado-catalyzed coupling reactions. Reagents and conditions: (i) Boronic acid, 1 M K2CO3, Pd(PPh3)4, and THF reflux; (ii) Alkyne, PdCl2(PPh3)2, CuI, NEt3, ACN, 100 °C, and M.W.
Pharmaceuticals 15 00820 sch004
Scheme 5. Synthesis of 4-unsubstituted thienopyrimidine 13.
Scheme 5. Synthesis of 4-unsubstituted thienopyrimidine 13.
Pharmaceuticals 15 00820 sch005
Table 1. Suzuki–Miyaura conditions.
Table 1. Suzuki–Miyaura conditions.
Entry4-Methylphenylboronic Acid (eq.) Base (eq.)Pd(PPh3)4 (eq.)Solvent, Temperature (°C)11a (%) a
11.5K2CO3 (1.3)0.025Toluene, 100 °Ctraces
21.5K2CO3 (1.3)0.025THF, Refluxtraces
31.5K2CO3 (1.3)0.025DMF, 100 °Ctraces
411M K2CO3 (1.3)0.01THF, Reflux34
521M K2CO3 (2.6)0.02THF, Reflux67
a Isolated yields.
Table 2. In vitro activity against asexual blood stages of P. falciparum K1 parasites of 4-substituted thienopyrimidines.
Table 2. In vitro activity against asexual blood stages of P. falciparum K1 parasites of 4-substituted thienopyrimidines.
Pharmaceuticals 15 00820 i001
CompoundRP. falciparum K1
EC50 [µM] a
1 (Gamhepathiopine)=O0.20 ± 0.02 [18]
5Cl0.3 ± 0.1
6bI0.6 ± 0.2
7aOMe7.6 ± 0.9
7bOEt5.1 ± 1.3
8aOPh>10 c
8b Pharmaceuticals 15 00820 i002>10 c
9aSPh13.8 ± 1.7
9b Pharmaceuticals 15 00820 i00316.4 ± 1.9
10aNH21.4 ± 0.6
10bN(Me)-NH22.2 ± 0.3
10cNHMe1.0 ± 0.4
10dNH-nPr1.1 ± 0.2
10eNH-iPr2.4 ± 1.0
10fNH(CH2)4OH0.7 ± 0.1
10gNH(CH2)2OMe0.8 ± 0.2
10hNHPh2.0 ± 0.4
10i=NNH22.2 ± 0.3
10j Pharmaceuticals 15 00820 i004>12.5 c
11a Pharmaceuticals 15 00820 i005>31 c
11b Pharmaceuticals 15 00820 i006>31 c
11cPh>25 c
11d Pharmaceuticals 15 00820 i007>25 c
11ed Pharmaceuticals 15 00820 i00828.1 ± 7.0
11fd Pharmaceuticals 15 00820 i009>10
12a Pharmaceuticals 15 00820 i01020.1 ± 4.1
12b Pharmaceuticals 15 00820 i01115.7 ± 2.4
12c Pharmaceuticals 15 00820 i01214.2 ± 2.8
13H26.1 ± 2.2
Chloroquine-0.8 ± 0.1
Doxycycline-5 [18]
a EC50: half-maximal effective concentration. The values are mean ± SD of three independent experiments. b Tested as a formic acid salt. c No activity was observed at the highest concentration tested. d Tested as hydrochloride salts.
Table 3. In vitro activity (EC50) against the hepatic stage of P. berghei parasites and cytotoxicity (CC50) of selected 4-substituted thienopyrimidines.
Table 3. In vitro activity (EC50) against the hepatic stage of P. berghei parasites and cytotoxicity (CC50) of selected 4-substituted thienopyrimidines.
CompoundP. berghei
EC50 [µM] a
HepG2
CC50 [µM] a
Primary Simian Hepatocytes CC50 [µM] a
1 (Gamhepathiopine)24.3 ± 1.625.6 ± 3.1 [18]>200
516.5 ± 8.016.4 ± 5.4>100
626.7 ± 5.629.0 ± 5.5>100
10a70.7 ± 9.712.1 ± 4.1>50
10c4.6 ± 5.73.7 ± 0.631.5 ± 6.8
10d b7.1 ± 1.43.7 ± 0.322.0 ± 2.8
10f14.1 ± 1.902.9 ± 1.117.7 ± 1.9
10g6.3 ± 0.203.7 ± 0.97.8 ± 2.3
a CC50: half-maximal cytotoxic concentration. The values are mean ± SD of three independent experiments. b Tested as a hydrochloride salt.
Publisher’s Note: MDPI stays neutral with regard to jurisdictional claims in published maps and institutional affiliations.

Share and Cite

MDPI and ACS Style

Lagardère, P.; Mustière, R.; Amanzougaghene, N.; Hutter, S.; Franetich, J.-F.; Azas, N.; Vanelle, P.; Verhaeghe, P.; Primas, N.; Mazier, D.; et al. 4-Substituted Thieno[3,2-d]pyrimidines as Dual-Stage Antiplasmodial Derivatives. Pharmaceuticals 2022, 15, 820. https://doi.org/10.3390/ph15070820

AMA Style

Lagardère P, Mustière R, Amanzougaghene N, Hutter S, Franetich J-F, Azas N, Vanelle P, Verhaeghe P, Primas N, Mazier D, et al. 4-Substituted Thieno[3,2-d]pyrimidines as Dual-Stage Antiplasmodial Derivatives. Pharmaceuticals. 2022; 15(7):820. https://doi.org/10.3390/ph15070820

Chicago/Turabian Style

Lagardère, Prisca, Romain Mustière, Nadia Amanzougaghene, Sébastien Hutter, Jean-François Franetich, Nadine Azas, Patrice Vanelle, Pierre Verhaeghe, Nicolas Primas, Dominique Mazier, and et al. 2022. "4-Substituted Thieno[3,2-d]pyrimidines as Dual-Stage Antiplasmodial Derivatives" Pharmaceuticals 15, no. 7: 820. https://doi.org/10.3390/ph15070820

APA Style

Lagardère, P., Mustière, R., Amanzougaghene, N., Hutter, S., Franetich, J.-F., Azas, N., Vanelle, P., Verhaeghe, P., Primas, N., Mazier, D., Masurier, N., & Lisowski, V. (2022). 4-Substituted Thieno[3,2-d]pyrimidines as Dual-Stage Antiplasmodial Derivatives. Pharmaceuticals, 15(7), 820. https://doi.org/10.3390/ph15070820

Note that from the first issue of 2016, this journal uses article numbers instead of page numbers. See further details here.

Article Metrics

Back to TopTop