Substituted Purines as High-Affinity Histamine H3 Receptor Ligands
Abstract
:1. Introduction
2. Results and Discussion
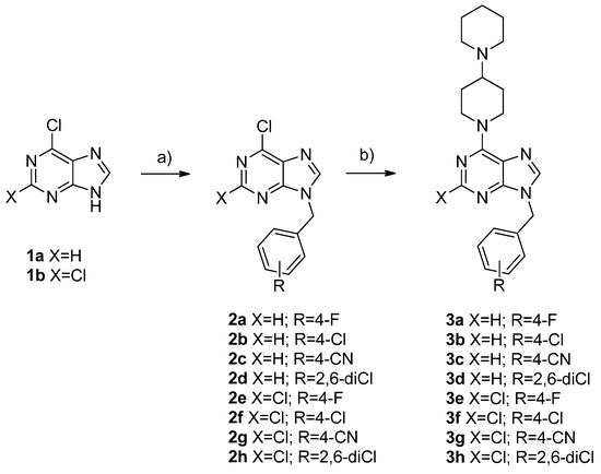
2.1. Chemistry
2.2. H3R Affinity
2.3. Cytotoxicity Assays
2.4. Docking Studies
2.5. Molecular Dynamic Studies
2.6. In Silico ADME and Drug-Likeness Properties
3. Materials and Methods
3.1. Chemistry
3.1.1. General Procedure for the Synthesis of 2a–h Derivatives
3.1.2. General Synthetic Procedure to Obtain Substituted Purines 3a–h
3.1.3. Human Histamine H3 Radioligand Displacement
3.1.4. Cell Cultures
3.1.5. Cytotoxicity Assays
3.1.6. Docking Studies
3.1.7. Molecular Dynamics
4. Conclusions
Supplementary Materials
Author Contributions
Funding
Institutional Review Board Statement
Informed Consent Statement
Data Availability Statement
Acknowledgments
Conflicts of Interest
References
- Panula, P.; Chazot, P.L.; Cowart, M.; Gutzmer, R.; Leurs, R.; Liu, W.L.; Stark, H.; Thurmond, R.L.; Haas, H.L. International Union of Basic and Clinical Pharmacology. XCVIII. Histamine Receptors. Pharmacol. Rev. 2015, 67, 601–655. [Google Scholar] [CrossRef] [PubMed] [Green Version]
- Schlicker, E.; Kathmann, M. Role of the Histamine H3 Receptor in the Central Nervous System. Handb. Exp. Pharmacol. 2017, 241, 277–299. [Google Scholar] [CrossRef] [PubMed]
- Tiligada, E.; Kyriakidis, K.; Chazot, P.L.; Passani, M.B. Histamine pharmacology and new CNS drug targets. CNS Neurosci. Ther. 2011, 17, 620–628. [Google Scholar] [CrossRef] [PubMed]
- Ghamari, N.; Zarei, O.; Arias-Montano, J.A.; Reiner, D.; Dastmalchi, S.; Stark, H.; Hamzeh-Mivehroud, M. Histamine H3 receptor antagonists/inverse agonists: Where do they go? Pharmacol. Ther. 2019, 200, 69–84. [Google Scholar] [CrossRef] [PubMed]
- Lamb, Y.N. Pitolisant: A Review in Narcolepsy with or without Cataplexy. CNS Drugs 2020, 34, 207–218. [Google Scholar] [CrossRef] [PubMed]
- Tiligada, E.; Zampeli, E.; Sander, K.; Stark, H. Histamine H3 and H4 receptors as novel drug targets. Expert Opin. Investig. Drugs 2009, 18, 1519–1531. [Google Scholar] [CrossRef]
- Labeeuw, O.; Levoin, N.; Poupardin-Olivier, O.; Calmels, T.; Ligneau, X.; Berrebi-Bertrand, I.; Robert, P.; Lecomte, J.M.; Schwartz, J.C.; Capet, M. Novel and highly potent histamine H3 receptor ligands. Part 3: An alcohol function to improve the pharmacokinetic profile. Bioorg. Med. Chem. Lett. 2013, 23, 2548–2554. [Google Scholar] [CrossRef]
- Wingen, K.; Stark, H. Scaffold variations in amine warhead of histamine H3 receptor antagonists. Drug Discov. Today Technol. 2013, 10, e483–e489. [Google Scholar] [CrossRef]
- Szczepanska, K.; Kuder, K.; Kiec-Kononowicz, K. Histamine H3 Receptor Ligands in the Group of (Homo)piperazine Derivatives. Curr. Med. Chem. 2018, 25, 1609–1626. [Google Scholar] [CrossRef]
- Bautista-Aguilera, O.M.; Hagenow, S.; Palomino-Antolin, A.; Farre-Alins, V.; Ismaili, L.; Joffrin, P.L.; Jimeno, M.L.; Soukup, O.; Janockova, J.; Kalinowsky, L.; et al. Multitarget-Directed Ligands Combining Cholinesterase and Monoamine Oxidase Inhibition with Histamine H3 R Antagonism for Neurodegenerative Diseases. Angew. Chem. Int. Ed. Engl. 2017, 56, 12765–12769. [Google Scholar] [CrossRef] [Green Version]
- Dou, F.; Cao, X.; Jing, P.; Wu, C.; Zhang, Y.; Chen, Y.; Zhang, G. Synthesis and evaluation of histamine H3 receptor ligand based on lactam scaffold as agents for treating neuropathic pain. Bioorg. Med. Chem. Lett. 2019, 29, 1492–1496. [Google Scholar] [CrossRef] [PubMed]
- Espinosa-Bustos, C.; Frank, A.; Arancibia-Opazo, S.; Salas, C.O.; Fierro, A.; Stark, H. New lead elements for histamine H3 receptor ligands in the pyrrolo[2,3-d]pyrimidine class. Bioorg. Med. Chem. Lett. 2018, 28, 2890–2893. [Google Scholar] [CrossRef] [PubMed]
- Frank, A.; Meza-Arriagada, F.; Salas, C.O.; Espinosa-Bustos, C.; Stark, H. Nature-inspired pyrrolo[2,3-d]pyrimidines targeting the histamine H3 receptor. Bioorg. Med. Chem. 2019, 27, 3194–3200. [Google Scholar] [CrossRef] [PubMed]
- Zarate, A.M.; Espinosa-Bustos, C.; Guerrero, S.; Fierro, A.; Oyarzun-Ampuero, F.; Quest, A.F.G.; Di Marcotullio, L.; Loricchio, E.; Caimano, M.; Calcaterra, A.; et al. A New Smoothened Antagonist Bearing the Purine Scaffold Shows Antitumour Activity In Vitro and In Vivo. Int. J. Mol. Sci. 2021, 22, 8372. [Google Scholar] [CrossRef] [PubMed]
- Bertrand, J.; Dostalova, H.; Krystof, V.; Jorda, R.; Castro, A.; Mella, J.; Espinosa-Bustos, C.; Maria Zarate, A.; Salas, C.O. New 2,6,9-trisubstituted purine derivatives as Bcr-Abl and Btk inhibitors and as promising agents against leukemia. Bioorg. Chem. 2020, 94, 103361. [Google Scholar] [CrossRef] [PubMed]
- Sharma, S.; Singh, J.; Ojha, R.; Singh, H.; Kaur, M.; Bedi, P.M.S.; Nepali, K. Design strategies, structure activity relationship and mechanistic insights for purines as kinase inhibitors. Eur. J. Med. Chem. 2016, 112, 298–346. [Google Scholar] [CrossRef]
- Legraverend, M.; Grierson, D.S. The purines: Potent and versatile small molecule inhibitors and modulators of key biological targets. Bioorg. Med. Chem. 2006, 14, 3987–4006. [Google Scholar] [CrossRef]
- Giorgi, I.; Scartoni, V. 8-azapurine nucleus: A versatile scaffold for different targets. Mini Rev. Med. Chem. 2009, 9, 1367–1378. [Google Scholar] [CrossRef]
- Shimamura, T.; Shiroishi, M.; Weyand, S.; Tsujimoto, H.; Winter, G.; Katritch, V.; Abagyan, R.; Cherezov, V.; Liu, W.; Han, G.W.; et al. Structure of the human histamine H1 receptor complex with doxepin. Nature 2011, 475, 65–70. [Google Scholar] [CrossRef] [Green Version]
- Mehta, P.; Miszta, P.; Filipek, S. Molecular Modeling of Histamine Receptors—Recent Advances in Drug Discovery. Molecules 2021, 26, 1778. [Google Scholar] [CrossRef]
- Xin, J.; Hu, M.; Liu, Q.; Zhang, T.T.; Wang, D.M.; Wu, S. Design, synthesis, and biological evaluation of novel iso-flavones derivatives as H3R antagonists. J. Enzyme Inhib. Med. Chem. 2018, 33, 1545–1553. [Google Scholar] [CrossRef] [PubMed] [Green Version]
- Wágner, G.; Mocking, T.A.M.; Arimont, M.; Provensi, G.; Rani, B.; Silva-Marques, B.; Latacz, G.; Da Costa Pereira, D.; Karatzidou, C.; Vischer, H.F.; et al. 4-(3-Aminoazetidin-1-yl)pyrimidin-2-amines as High-Affinity Non-imidazole Histamine H3 Receptor Agonists with In Vivo Central Nervous System Activity. J. Med. Chem. 2019, 62, 10848–10866. [Google Scholar] [CrossRef] [PubMed] [Green Version]
- Daina, A.; Michielin, O.; Zoete, V. SwissADME: A free web tool to evaluate pharmacokinetics, drug-likeness and medicinal chemistry friendliness of small molecules. Sci. Rep. 2017, 7, 42717. [Google Scholar] [CrossRef] [PubMed] [Green Version]
- Lipinski, C.A.; Lombardo, F.; Dominy, B.W.; Feeney, P.J. Experimental and computational approaches to estimate solubility and permeability in drug discovery and development settings. Adv. Drug Deliv. Rev. 2001, 46, 3–26. [Google Scholar] [CrossRef]
- Veber, D.F.; Johnson, S.R.; Cheng, H.Y.; Smith, B.R.; Ward, K.W.; Kopple, K.D. Molecular properties that influence the oral bioavailability of drug candidates. J. Med. Chem. 2002, 45, 2615–2623. [Google Scholar] [CrossRef] [PubMed]
- Daina, A.; Zoete, V. A BOILED-Egg To Predict Gastrointestinal Absorption and Brain Penetration of Small Molecules. ChemMedChem 2016, 11, 1117–1121. [Google Scholar] [CrossRef] [Green Version]
- Bakkestuen, A.K.; Gundersen, L.-L.; Utenova, B.T. Synthesis, Biological Activity, and SAR of Antimycobacterial 9-Aryl-, 9-Arylsulfonyl-, and 9-Benzyl-6-(2-furyl)purines. J. Med. Chem. 2005, 48, 2710–2723. [Google Scholar] [CrossRef] [PubMed]
- Sander, K.; Kottke, T.; Weizel, L.; Stark, H. Kojic acid derivatives as histamine H3 receptor ligands. Chem. Pharm. Bull. (Tokyo) 2010, 58, 1353–1361. [Google Scholar] [CrossRef] [PubMed] [Green Version]
- Cheng, Y.; Prusoff, W.H. Relationship between the inhibition constant (K1) and the concentration of inhibitor which causes 50 per cent inhibition (I50) of an enzymatic reaction. Biochem. Pharmacol. 1973, 22, 3099–3108. [Google Scholar] [CrossRef] [PubMed]
- Gray, N.S.; Wodicka, L.; Thunnissen, A.M.; Norman, T.C.; Kwon, S.; Espinoza, F.H.; Morgan, D.O.; Barnes, G.; LeClerc, S.; Meijer, L.; et al. Exploiting chemical libraries, structure, and genomics in the search for kinase inhibitors. Science 1998, 281, 533–538. [Google Scholar] [CrossRef] [Green Version]
- Hawkins, P.C.D.; Skillman, A.G.; Warren, G.L.; Ellingson, B.A.; Stahl, M.T. Conformer Generation with OMEGA: Algorithm and Validation Using High Quality Structures from the Protein Databank and Cambridge Structural Database. J. Chem. Inf. Model. 2010, 50, 572–584. [Google Scholar] [CrossRef] [PubMed]
- Kooistra, A.J.; Mordalski, S.; Pándy-Szekeres, G.; Esguerra, M.; Mamyrbekov, A.; Munk, C.; Keserű, G.M.; Gloriam, D.E. GPCRdb in 2021: Integrating GPCR sequence, structure and function. Nucleic Acids Res. 2020, 49, D335–D343. [Google Scholar] [CrossRef] [PubMed]
- Pándy-Szekeres, G.; Munk, C.; Tsonkov, T.M.; Mordalski, S.; Harpsøe, K.; Hauser, A.S.; Bojarski, A.J.; Gloriam, D.E. GPCRdb in 2018: Adding GPCR structure models and ligands. Nucleic Acids Res. 2017, 46, D440–D446. [Google Scholar] [CrossRef] [PubMed] [Green Version]
- Isberg, V.; Mordalski, S.; Munk, C.; Rataj, K.; Harpsøe, K.; Hauser, A.S.; Vroling, B.; Bojarski, A.J.; Vriend, G.; Gloriam, D.E. GPCRdb: An information system for G protein-coupled receptors. Nucleic Acids Res. 2016, 44, D356–D364. [Google Scholar] [CrossRef] [Green Version]
- Sastry, G.M.; Adzhigirey, M.; Day, T.; Annabhimoju, R.; Sherman, W. Protein and ligand preparation: Parameters, protocols, and influence on virtual screening enrichments. J. Comput-Aided Mol. Des. 2013, 27, 221–234. [Google Scholar] [CrossRef]
- Lu, C.; Wu, C.; Ghoreishi, D.; Chen, W.; Wang, L.; Damm, W.; Ross, G.A.; Dahlgren, M.K.; Russell, E.; Von Bargen, C.D.; et al. OPLS4: Improving Force Field Accuracy on Challenging Regimes of Chemical Space. J. Chem. Theory Comput. 2021, 17, 4291–4300. [Google Scholar] [CrossRef]
- Sherman, W.; Day, T.; Jacobson, M.P.; Friesner, R.A.; Farid, R. Novel procedure for modeling ligand/receptor induced fit effects. J. Med. Chem. 2006, 49, 534–553. [Google Scholar] [CrossRef]
- Sherman, W.; Beard, H.S.; Farid, R. Use of an induced fit receptor structure in virtual screening. Chem. Biol. Drug Des. 2006, 67, 83–84. [Google Scholar] [CrossRef]
- Li, J.; Abel, R.; Zhu, K.; Cao, Y.; Zhao, S.; Friesner, R.A. The VSGB 2.0 model: A next generation energy model for high resolution protein structure modeling. Proteins 2011, 79, 2794–2812. [Google Scholar] [CrossRef] [Green Version]
- Lomize, M.A.; Pogozheva, I.D.; Joo, H.; Mosberg, H.I.; Lomize, A.L. OPM database and PPM web server: Resources for positioning of proteins in membranes. Nucleic Acids Res. 2012, 40, D370–D376. [Google Scholar] [CrossRef]








| Compound | Substitution Pattern | Ki (nM) a [95% CI nM] | |
|---|---|---|---|
| X | R | ||
| 3a | H | 4-F | 105 [79.6–140] |
| 3b | H | 4-Cl | 39.4 [8.78–177] |
| 3c | H | 4-CN | 28.8 [9.90–83.7] |
| 3d | H | 2,6-diCl | 2.91[1.31–6.44] |
| 3e | Cl | 4-F | 94.6 [47.5–189] |
| 3f | Cl | 4-Cl | 44.6 [14.2–141] |
| 3g | Cl | 4-CN | 77.8 [29.2–207] |
| 3h | Cl | 2,6-diCl | 5.51 [1.17–25.9] |
| Pitolisant | 6.09 [2.28–16.3] | ||
| Cell line | IC50 (µM) a | |
|---|---|---|
| 3d | 3h | |
| HEK-293 | 69.14 ± 13.95 | 54.31 ± 3.54 |
| SH-SY5Y | >100 | 32.38 ± 4.75 |
| HepG2 | 57.57 ± 12.02 | 33.76 ± 4.29 |
| Biological Activity | Binding Free Energy | ||
|---|---|---|---|
| Ki (nM) | −logKi | kcal/mol | |
| 3a | 105.0 | 6.98 | −59.21 |
| 3b | 39.4 | 7.40 | −57.72 |
| 3c | 28.8 | 7.54 | −64.10 |
| 3d | 2.9 | 8.54 | −76.98 |
| 3e | 94.5 | 7.02 | −66.08 |
| 3f | 44.6 | 7.35 | −64.97 |
| 3g | 77.8 | 7.11 | −64.56 |
| 3h | 5.5 | 8.26 | −75.10 |
| Compound | MW (g/mol) | NRB | HBA | HBD | TPSA | cLogP | GI Absorption | BBB Permeant |
|---|---|---|---|---|---|---|---|---|
| 3a | 394.49 | 4 | 5 | 0 | 50.08 | 3.26 | High | Yes |
| 3b | 410.94 | 4 | 4 | 0 | 50.08 | 3.48 | High | Yes |
| 3c | 401.51 | 4 | 5 | 0 | 73.87 | 2.76 | High | Yes |
| 3d | 445.39 | 4 | 4 | 0 | 50.08 | 3.91 | High | Yes |
| 3e | 428.93 | 4 | 5 | 0 | 50.08 | 3.82 | High | Yes |
| 3f | 445.39 | 4 | 4 | 0 | 50.08 | 4.04 | High | Yes |
| 3g | 435.95 | 4 | 5 | 0 | 73.87 | 3.30 | High | Yes |
| 3h | 479.83 | 4 | 4 | 0 | 50.08 | 4.58 | High | Yes |
Publisher’s Note: MDPI stays neutral with regard to jurisdictional claims in published maps and institutional affiliations. |
© 2022 by the authors. Licensee MDPI, Basel, Switzerland. This article is an open access article distributed under the terms and conditions of the Creative Commons Attribution (CC BY) license (https://creativecommons.org/licenses/by/4.0/).
Share and Cite
Espinosa-Bustos, C.; Leitzbach, L.; Añazco, T.; Silva, M.J.; Campo, A.d.; Castro-Alvarez, A.; Stark, H.; Salas, C.O. Substituted Purines as High-Affinity Histamine H3 Receptor Ligands. Pharmaceuticals 2022, 15, 573. https://doi.org/10.3390/ph15050573
Espinosa-Bustos C, Leitzbach L, Añazco T, Silva MJ, Campo Ad, Castro-Alvarez A, Stark H, Salas CO. Substituted Purines as High-Affinity Histamine H3 Receptor Ligands. Pharmaceuticals. 2022; 15(5):573. https://doi.org/10.3390/ph15050573
Chicago/Turabian StyleEspinosa-Bustos, Christian, Luisa Leitzbach, Tito Añazco, María J. Silva, Andrea del Campo, Alejandro Castro-Alvarez, Holger Stark, and Cristian O. Salas. 2022. "Substituted Purines as High-Affinity Histamine H3 Receptor Ligands" Pharmaceuticals 15, no. 5: 573. https://doi.org/10.3390/ph15050573
APA StyleEspinosa-Bustos, C., Leitzbach, L., Añazco, T., Silva, M. J., Campo, A. d., Castro-Alvarez, A., Stark, H., & Salas, C. O. (2022). Substituted Purines as High-Affinity Histamine H3 Receptor Ligands. Pharmaceuticals, 15(5), 573. https://doi.org/10.3390/ph15050573

