Small-Molecule Fluorescent Probe for Detection of Sulfite
Abstract
1. Introduction
2. Small-Molecule Sulfite Fluorescent Probe
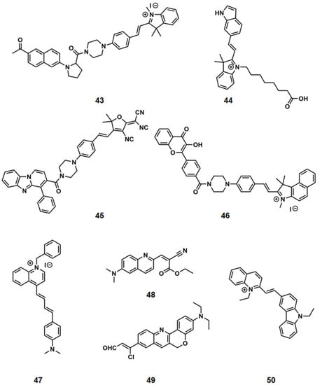
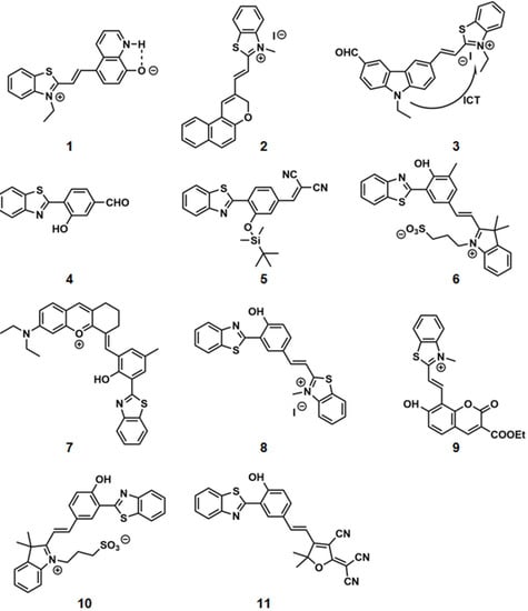
2.1. Based on Benzothiazole Fluorophore
2.1.1. ICT Mechanisms
2.1.2. ESIPT Mechanisms
2.1.3. FRET Mechanisms
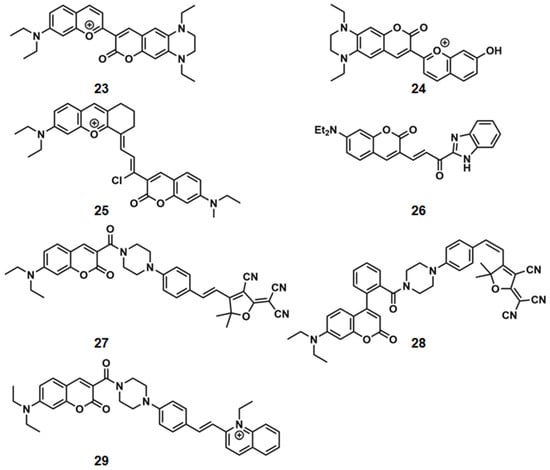
2.2. Based on Coumarin Fluorophore
2.2.1. ICT Mechanisms
2.2.2. PET Mechanisms
2.2.3. FRET Mechanisms
2.3. Based on Hemicyanine Fluorophore
2.3.1. ICT Mechanisms
2.3.2. FRET Mechanisms
2.4. Based on Quinoline Fluorophore
2.5. Based on Naphthalimide Fluorophore
2.5.1. ICT Mechanisms
2.5.2. ESIPT Mechanisms
2.6. Based on Benzimidazole Fluorophore
2.7. Based on Imidazole Fluorophore
2.8. Based on Triphenylamine Fluorophore
2.9. Based on Thiophene Fluorophore
2.10. Based on Pyrene Fluorophore
2.11. Based on Julolidine Fluorophore
2.12. Based on Ir(III) Complex Fluorophore
2.13. Based on Rhodamine Fluorophore
2.14. Based on Flavor Fluorophore
3. Conclusions and Prospect
Author Contributions
Funding
Institutional Review Board Statement
Informed Consent Statement
Data Availability Statement
Conflicts of Interest
References
- Ghanbari, G.M.; Heibati, B.; Naddafi, K.; Kloog, I.; Oliveri, C.G.; Polosa, R.; Ferrante, M. Evaluation of Chronic Obstructive Pulmonary Disease (COPD) Attributed to Atmospheric O3, NO2, and SO2 Using Air Q Model (2011–2012 Year). Environ. Res. 2016, 144, 99–105. [Google Scholar] [CrossRef] [PubMed]
- Wang, X.; Tang, H.; Huang, X. Water-Soluble Fluorescent Probes for Bisulfite and Viscosity Imaging in Living Cells: Pyrene Vs. Anthracene. Spectrochim. Acta A 2021, 260, 119902. [Google Scholar] [CrossRef] [PubMed]
- Vincent, A.S.; Lim, B.G.; Tan, J.; Whiteman, M.; Cheung, N.S.; Halliwell, B.; Wong, K.P. Sulfite-Mediated Oxidative Stress in Kidney Cells. Kidney Int. 2004, 65, 393–402. [Google Scholar] [CrossRef] [PubMed]
- Yang, X.; Cui, Y.; Li, Y.; Zheng, L.; Xie, L.; Ning, R.; Liu, Z.; Lu, J.; Zhang, G.; Liu, C.; et al. A New Diketopyrrolopyrrole-Based Probe for Sensitive and Selective Detection of Sulfite in Aqueous Solution. Spectrochim. Acta A 2015, 137, 1055–1060. [Google Scholar] [CrossRef] [PubMed]
- Tavallali, H.; Deilamy-Rad, G.; Parhami, A.; Lohrasbi, S. A Novel and Simple Fluorescent and Colorimetric Primary Chemosensor Based On Congo-Red for Sulfite and Resultant Complex as Secondary Fluorescent Chemosensor Towards Carbonate Ions: Fluorescent Probe Mimicking INHIBIT Logic Gate. Talanta 2016, 149, 168–177. [Google Scholar] [CrossRef]
- Lien, K.; Hsieh, D.P.H.; Huang, H.; Wu, C.; Ni, S.; Ling, M. Food Safety Risk Assessment for Estimating Dietary Intake of Sulfites in the Taiwanese Population. Toxicol. Rep. 2016, 3, 544–551. [Google Scholar] [CrossRef]
- Bauchart-Thevret, C.; Stoll, B.; Burrin, D.G. Intestinal Metabolism of Sulfur Amino Acids. Nutr. Res. Rev. 2009, 22, 175–187. [Google Scholar] [CrossRef]
- Yang, X.; Feng, P.; Ma, L.; Kang, T.; Hu, S.; Hai, A.; Ke, B.; Liu, J.; Li, M. Biological Applications of a Turn-On Bioluminescent Probe for Monitoring Sulfite Oxidase Deficiency in vivo. Eur. J. Med. Chem. 2020, 200, 112476. [Google Scholar] [CrossRef]
- Ghorai, A.; Mondal, J.; Chandra, R.; Patra, G.K. A Reversible Fluorescent-Colorimetric Imino-Pyridyl Bis-Schiff Base Sensor for Expeditious Detection of Al3+ and HSO3− in Aqueous Media. Dalton T. 2015, 44, 13261–13271. [Google Scholar] [CrossRef]
- Deng, Z.; Li, F.; Zhao, G.; Yang, W.; Hu, Y. A Mitochondrion-Targeted Dual-Site Fluorescent Probe for the Discriminative Detection of SO32- and HSO3− in Living HepG-2 Cells. RSC Adv. 2020, 10, 26349–26357. [Google Scholar] [CrossRef]
- Xu, J.; Yuan, H.; Zeng, L.; Bao, G. Recent Progress in Michael Addition-Based Fluorescent Probes for Sulfur Dioxide and its Derivatives. Chin. Chem. Lett. 2018, 29, 1456–1464. [Google Scholar] [CrossRef]
- Li, K.; Li, L.; Zhou, Q.; Yu, K.; Kim, J.S.; Yu, X. Reaction-Based Fluorescent Probes for SO2 Derivatives and their Biological Applications. Coordin. Chem. Rev. 2019, 388, 310–333. [Google Scholar] [CrossRef]
- Kalimuthu, P.; Tkac, J.; Kappler, U.; Davis, J.J.; Bernhardt, P.V. Highly Sensitive and Stable ElectroChemical Sulfite Biosensor Incorporating a Bacterial Sulfite Dehydrogenase. Anal. Chem. 2010, 82, 7374–7379. [Google Scholar] [CrossRef]
- Wang, R.; Wang, R.; Ju, D.; Lu, W.; Jiang, C.; Shan, X.; Chen, Q.; Sun, G. “ON–OFF–ON” Fluorescent Probes Based On Nitrogen-Doped Carbon Dots for Hypochlorite and Bisulfite Detection in Living Cells. Anal. 2018, 143, 5834–5840. [Google Scholar] [CrossRef]
- Dalaman, U.; Özdoğan, H.; Sircan, A.K.; Şengül, S.A.; Yaraş, N. Sulfur Dioxide Derivative Prevents the Prolongation of Action Potential During the Isoproterenol-Induced Hypertrophy of Rat Cardiomyocytes. Anacad. Bras. Cienc. 2021, 93, e20201664. [Google Scholar] [CrossRef]
- Liang, J.; Liu, L.; Kang, X.; Hu, F.; Mao, L. Mechanism Underlying the Effect of SO2-Induced Oxidation on Human Skin Keratinocytes. Medicine 2020, 99, e23152. [Google Scholar] [CrossRef]
- Zhu, Z.; Zhang, L.; Chen, Q.; Li, K.; Yu, X.; Tang, C.; Kong, W.; Jin, H.; Du, J.; Huang, Y. Macrophage-Derived Sulfur Dioxide is a Novel Inflammation Regulator. Biochem. Bioph. Res. Co. 2020, 524, 916–922. [Google Scholar] [CrossRef]
- Tan, L.; Lin, W.; Zhu, S.; Yuan, L.; Zheng, K. A Coumarin-Quinolinium-Based Fluorescent Probe for Ratiometric Sensing of Sulfite in Living Cells. Org. Biomol. Chem. 2014, 12, 4637. [Google Scholar] [CrossRef]
- Li, Q.; Nie, J.; Shan, Y.; Li, Y.; Du, J.; Zhu, L.; Yang, Q.; Bai, F. Water-Soluble Fluorescent Probe for Simultaneous Detection of Cyanide, Hypochlorite and Bisulfite at Different Emission Wavelengths. Anal. Bioanal. Chem. 2020, 591, 113539. [Google Scholar] [CrossRef]
- Yang, B.; Xu, J.; Zhu, H.L. Recent Progress in the Small-Molecule Fluorescent Probes for the Detection of Sulfur Dioxide Derivatives (HSO3-/SO32-). Free Radical Bio. Med. 2019, 145, 42–60. [Google Scholar] [CrossRef]
- Shangguan, M.; Jiang, X.; Lu, Z.; Zou, W.; Chen, Y.; Xu, P.; Pan, Y.; Hou, L. A Coumarin-Based Fluorescent Probe for Hypochlorite Ion Detection in Environmental Water Samples and Living Cells. Talanta 2019, 202, 303–307. [Google Scholar] [CrossRef] [PubMed]
- Ma, C.; Zhang, F.; Wang, Y.; Zhu, X.; Liu, X.; Zhao, C.; Zhang, H. Synthesis and Application of Ratio Fluorescence Probe for Chloride. Anal. Bioanal. Chem. 2018, 410, 6507–6516. [Google Scholar] [CrossRef] [PubMed]
- Xu, Z.; Shi, W.; Yang, C.; Xu, J.; Liu, H.; Xu, J.; Zhu, B. A Colorimetric Fluorescent Probe for Rapid and Specific Detection of Nitrite. Luminescence 2019, 35, 299–304. [Google Scholar] [CrossRef] [PubMed]
- Zhang, Y.; Zhang, L. Designed Multifunctional Ratiometric Fluorescent Probe for Directly Detecting Fluoride Ion/Dichromate and Indirectly Monitoring Urea. J. Hazard. Mater. 2021, 418, 126271. [Google Scholar] [CrossRef] [PubMed]
- Hou, L.; Li, F.; Guo, J.; Zhang, X.; Kong, X.; Cui, X.T.; Dong, C.; Wang, Y.; Shuang, S. A Colorimetric and Ratiometric Fluorescent Probe for Cyanide Sensing in Aqueous Media and Live Cells. J. Mater. Chem. B 2019, 7, 4620–4629. [Google Scholar] [CrossRef] [PubMed]
- Cheng, S.; Sun, R.; Wu, Z.; Mei, H.; Yang, H.; Kong, Q.; Xu, K. A Novel Reversible Fluorescent Probe for Cu2+ and S2- ions and Imaging in Living Cells. Methods Appl. Fluores. 2022, 10, 035009. [Google Scholar] [CrossRef]
- Kim, J.; Lee, S.; Han, M.S. pH-Guided Fluorescent Sensing Probe for the Discriminative Detection of Cl− and Br− in Human Serum. Anal. Chim. Acta 2022, 1210, 339879. [Google Scholar] [CrossRef]
- Choi, M.G.; Hwang, J.; Eor, S.; Chang, S. Chromogenic and Fluorogenic Signaling of Sulfite by Selective Deprotection of Resorufin Levulinate. Org. Lett. 2010, 12, 5624–5627. [Google Scholar] [CrossRef]
- Zha, Y.; Xin, R.; Zhang, M.; Cui, X.; Li, N. Stimuli-Responsive Azobenzene-Quantum Dots for Multi-Sensing of Dithionite, Hypochlorite, and Azoreductase. Microchim. Acta 2020, 187, 481. [Google Scholar] [CrossRef]
- Wang, J.; Hao, Y.; Wang, H.; Yang, S.; Tian, H.; Sun, B.; Liu, Y. Rapidly Responsive and Highly Selective Fluorescent Probe for Bisulfite Detection in Food. J. Agr. Food Chem. 2017, 65, 2883–2887. [Google Scholar] [CrossRef]
- Zhang, Y.; Guan, L.; Yu, H.; Yan, Y.; Du, L.; Liu, Y.; Sun, M.; Huang, D.; Wang, S. Reversible Fluorescent Probe for Selective Detection and Cell Imaging of Oxidative Stress Indicator Bisulfite. Anal. Chem. 2016, 88, 4426–4431. [Google Scholar] [CrossRef]
- Li, H. Rapidly Responsive and Highly Selective Fluorescent Probe for Sulfite Detection in Real Samples and Living Cells. Anal. Chim. Acta 2015, 897, 102–108. [Google Scholar] [CrossRef]
- Zhang, W.; Liu, T.; Huo, F.; Ning, P.; Meng, X.; Yin, C. Reversible Ratiometric Fluorescent Probe for Sensing Bisulfate/H2O2 and its Application in Zebrafish. Anal. Chem. 2017, 89, 8079–8083. [Google Scholar] [CrossRef]
- Ye, Z.; Duan, C.; Sheng, R.; Xu, J.; Wang, H.; Zeng, L. A Novel Colorimetric and Ratiometric Fluorescent Probe for Visualizing SO2 Derivatives in Environment and Living Cells. Talanta 2018, 176, 389–396. [Google Scholar] [CrossRef]
- Liu, X.; Yang, Q.; Chen, W.; Mo, L.; Chen, S.; Kang, J.; Song, X. A Ratiometric Fluorescent Probe for Rapid, Sensitive and Selective Detection of Sulfur Dioxide with Large Stokes Shifts by Single Wavelength Excitation. Org. Biomol. Chem. 2015, 13, 8663–8668. [Google Scholar] [CrossRef]
- Qi, F.; Zhang, F.; Mo, L.; Ren, X.; Wang, Y.; Li, X.; Liu, X.; Zhang, Y.; Yang, Z.; Song, X. A benzothiazole-Based Bifunctional Fluorescent Probe for the Ratiometric Detection of Fluoride and Sulphite in Real Samples. Spectrochim. Acta A 2019, 219, 547–551. [Google Scholar] [CrossRef]
- Jia, X.; Yang, Y.; Zhai, H.; Zhang, Q.; He, Y.; Liu, Y.; Liu, Y. The Mechanisms of a Bifunctional Fluorescent Probe for Detecting Fluoride and Sulfite Based On Excited-State Intramolecular Proton Transfer and Intramolecular Charge Transfer. Struct. Dynam. 2021, 8, 34103. [Google Scholar] [CrossRef]
- Zhang, H.; Huang, Z.; Feng, G. Colorimetric and Ratiometric Fluorescent Detection of Bisulfite by a New benzothiazole-Hemicyanine Hybrid. Anal. Chim. Acta 2016, 920, 72–79. [Google Scholar] [CrossRef]
- Zhang, J.; Peng, A.; Lv, Y.; Zhang, Y.; Wang, X.; Zhang, G.; Tian, Z. A Colorimetric Fluorescent Probe for SO2 Derivatives-Bisulfite and Sulfite at Nanomolar Level. J. Fluoresc. 2017, 27, 1767–1775. [Google Scholar] [CrossRef]
- Ren, H.; Huo, F.; Wu, X.; Liu, X.; Yin, C. An ESIPT-Induced NIR Fluorescent Probe to Visualize Mitochondrial Sulfur Dioxide During Oxidative Stress in vivo. Chem. Commun. 2021, 57, 655–658. [Google Scholar] [CrossRef]
- Peng, M.; Yang, X.; Yin, B.; Guo, Y.; Suzenet, F.; En, D.; Li, J.; Li, C.; Duan, Y. A Hybrid Coumarin-Thiazole Fluorescent Sensor for Selective Detection of Bisulfite Anions in Vivo and in Real Samples. Chem. Asian J. 2014, 9, 1817–1822. [Google Scholar] [CrossRef] [PubMed]
- Sun, Y.; Chen, Z.; Chen, F.; Liu, H.; He, H.; Zhang, X.; Wang, S. An benzothiazole-Based Near-Infrared Fluorescent Probe for Colorimetric and Ratiometric Detection of Bisulfite and its Application in Living Cells. J. Fluoresc. 2017, 27, 1405–1411. [Google Scholar] [CrossRef] [PubMed]
- Sun, Y.; Liu, J.; Zhang, J.; Yang, T.; Guo, W. Fluorescent Probe for Biological Gas SO2 Derivatives Bisulfite and Sulfite. Chem. Commun. 2013, 49, 2637. [Google Scholar] [CrossRef] [PubMed]
- Wang, J.; Long, L.; Xiao, X. A Fast-Responsive Fluorescent Probe for Sulfite and its Bioimaging. Luminescence 2016, 31, 775–781. [Google Scholar] [CrossRef] [PubMed]
- Tian, H.; Qian, J.; Sun, Q.; Bai, H.; Zhang, W. Colorimetric and Ratiometric Fluorescent Detection of Sulfite in Water Via Cationic Surfactant-Promoted Addition of Sulfite to α,β-Unsaturated Ketone. Anal. Chim. Acta 2013, 788, 165–170. [Google Scholar] [CrossRef] [PubMed]
- Tian, H.; Qian, J.; Sun, Q.; Jiang, C.; Zhang, R.; Zhang, W. A Coumarin-Based Fluorescent Probe for Differential Identification of Sulfide and Sulfite in CTAB Micelle Solution. Analyst 2014, 139, 3373. [Google Scholar] [CrossRef]
- Pei, X.; Tian, H.; Zhang, W.; Brouwer, A.M.; Qian, J. Colorimetric and Fluorescent Determination of Sulfide and Sulfite with Kinetic Discrimination. Analyst 2014, 139, 5290–5296. [Google Scholar] [CrossRef]
- Sun, Q.; Zhang, W.; Qian, J. A Ratiometric Fluorescence Probe for Selective Detection of Sulfite and its Application in Realistic Samples. Talanta 2017, 162, 107–113. [Google Scholar] [CrossRef]
- Wu, M.; He, T.; Li, K.; Wu, M.; Huang, Z.; Yu, X. A Real-Time Colorimetric and Ratiometric Fluorescent Probe for Sulfite. Analyst 2013, 138, 3018. [Google Scholar] [CrossRef]
- Cheng, X.; Jia, H.; Feng, J.; Qin, J.; Li, Z. “Reactive” Probe for Hydrogen Sulfite: “Turn-On” Fluorescent Sensing and Bioimaging Application. J. Mater. Chem. B 2013, 1, 4110. [Google Scholar] [CrossRef]
- Xu, W.; Teoh, C.L.; Peng, J.; Su, D.; Yuan, L.; Chang, Y. A Mitochondria-Targeted Ratiometric Fluorescent Probe to Monitor Endogenously Generated Sulfur Dioxide Derivatives in Living Cells. Biomaterials 2015, 56, 1–9. [Google Scholar] [CrossRef]
- Yan, Y.; He, X.; Miao, J.; Zhao, B. A Near-Infrared and Mitochondria-Targeted Fluorescence Probe for Ratiometric Monitoring of Sulfur Dioxide Derivatives in Living Cells. J. Mater. Chem. B Mater. Biol. Med. 2019, 7, 6585–6591. [Google Scholar] [CrossRef]
- Yan, Y.H.; Wu, Q.R.; Che, Q.L.; Ding, M.M.; Xu, M.; Miao, J.Y.; Zhao, B.X.; Lin, Z.M. A Mitochondria-Targeted Fluorescent Probe for the Detection of Endogenous SO2 Derivatives in Living Cells. Analyst 2020, 145, 2937–2944. [Google Scholar] [CrossRef]
- Zhong, K.; Yao, Y.; Sun, X.; Wang, Y.; Tang, L.; Li, X.; Zhang, J.; Yan, X.; Li, J. Mitochondria-Targeted Fluorescent Turn-On Probe for Rapid Detection of Bisulfite/Sulfite in Water and Food Samples. J. Agr. Food Chem. 2022, 70, 5159–5165. [Google Scholar] [CrossRef]
- Chen, W.; Fang, Q.; Yang, D.; Zhang, H.; Song, X.; Foley, J. Selective, Highly Sensitive Fluorescent Probe for the Detection of Sulfur Dioxide Derivatives in Aqueous and Biological Environments. Anal. Chem. 2015, 87, 609–616. [Google Scholar] [CrossRef]
- Zhang, Y.; Zhang, X.; Yang, X.F.; Zhang, J. A Colorimetric and Fluorogenic Probe for Bisulfite Using Benzopyrylium as the Recognition Unit. Luminescence 2017, 32, 1233–1239. [Google Scholar] [CrossRef]
- Dai, X.; Zhang, T.; Du, Z.; Cao, X.; Chen, M.; Hu, S.; Miao, J.; Zhao, B. An Effective Colorimetric and Ratiometric Fluorescent Probe for Bisulfite in Aqueous Solution. Anal. Chim. Acta 2015, 888, 138–145. [Google Scholar] [CrossRef]
- Wu, W.; Wang, Z.; Dai, X.; Miao, J.; Zhao, B. An Effective Colorimetric and Ratiometric Fluorescent Probe Based FRET with a Large Stokes Shift for Bisulfite. Sci. Rep. 2016, 6, 25315. [Google Scholar] [CrossRef]
- Shen, W.; Xu, H.; Feng, J.; Sun, W.; Hu, G.; Hu, Y.; Yang, W. A Ratiometric and Colorimetric Fluorescent Probe Designed Based On FRET for Detecting SO32-/HSO3− in Living Cells and Mice. Spectrochim. Acta A 2021, 263, 120183. [Google Scholar] [CrossRef]
- Han, X.; Zhai, Z.; Yang, X.; Zhang, D.; Tang, J.; Zhu, J.; Zhu, X.; Ye, Y. A FRET-Based Ratiometric Fluorescent Probe to Detect Cysteine Metabolism in Mitochondria. Org. Biomol. Chem. 2020, 18, 1487–1492. [Google Scholar] [CrossRef]
- Sun, Y.; Zhao, D.; Fan, S.; Duan, L.; Li, R. Ratiometric Fluorescent Probe for Rapid Detection of Bisulfite through 1,4-Addition Reaction in Aqueous Solution. J. Agr. Food Chem. 2014, 62, 3405–3409. [Google Scholar] [CrossRef] [PubMed]
- Chen, Y.; Zhu, C.; Yang, Z.; Chen, J.; He, Y.; Jiao, Y.; He, W.; Qiu, L.; Cen, J.; Guo, Z. A Ratiometric Fluorescent Probe for Rapid Detection of Hydrogen Sulfide in Mitochondria. Angew. Chem. Int. Edit. 2013, 52, 1688–1691. [Google Scholar] [CrossRef] [PubMed]
- Li, D.P.; Wang, Z.Y.; Cao, X.J.; Cui, J.; Wang, X.; Cui, H.Z.; Miao, J.Y.; Zhao, B.X. A Mitochondria-Targeted Fluorescent Probe for Ratiometric Detection of Endogenous Sulfur Dioxide Derivatives in Cancer Cells. Chem. Commun. 2016, 52, 2760–2763. [Google Scholar] [CrossRef] [PubMed]
- Samanta, S.; Dey, P.; Ramesh, A.; Das, G. A Solo Fluorogenic Probe for the Real-Time Sensing of SO32- and SO42-/HSO4− in Aqueous Medium and Live Cells by Distinct Turn-On Emission Signals. Chem. Commun. 2016, 52, 10381–10384. [Google Scholar] [CrossRef] [PubMed]
- Yu, T.; Yin, G.; Niu, T.; Yin, P.; Li, H.; Zhang, Y.; Chen, H.; Zeng, Y.; Yao, S. A Novel Colorimetric and Fluorescent Probe for Simultaneous Detection of SO32-/HSO3− and HSO4− by Different Emission Channels and its Bioimaging in Living Cells. Talanta 2018, 176, 1–7. [Google Scholar] [CrossRef]
- Zheng, X.; Li, H.; Feng, W.; Xia, H.; Song, Q. Two-Step Sensing, Colorimetric and Ratiometric Fluorescent Probe for Rapid Detection of Bisulfite in Aqueous Solutions and in Living Cells. ACS Omega 2018, 3, 11831–11837. [Google Scholar] [CrossRef]
- Yang, Y.; Zhou, T.; Bai, B.; Yin, C.; Xu, W.; Li, W. Design of Mitochondria-Targeted Colorimetric and Ratiometric Fluorescent Probes for Rapid Detection of SO2 Derivatives in Living Cells. Spectrochim. Acta A 2018, 196, 215–221. [Google Scholar] [CrossRef]
- Shi, J.; Shu, W.; Tian, Y.; Wu, Y.; Jing, J.; Zhang, R.; Zhang, X. A Real-Time Ratiometric Fluorescent Probe for Imaging of SO2 Derivatives in Mitochondria of Living Cells. RSC Adv. 2019, 9, 22348–22354. [Google Scholar] [CrossRef]
- Lin, X.; Liu, W.; Xu, S.; Li, Z.; Zhang, H.; Yu, M. Imaging of Intracellular Bisulfate Based On Sensitive Ratiometric Fluorescent Probes. Spectrochim. Acta A 2022, 265, 120335. [Google Scholar] [CrossRef]
- Qin, Y.; Jiang, X.; Que, Y.; Gu, J.; Wu, T.; Aihemaiti, A.; Shi, K.; Kang, W.; Hu, B.; Lan, J.; et al. A Ratiometric and Colorimetric Hemicyanine Fluorescent Probe for Detection of SO2 Derivatives and its Applications in Bioimaging. Molecules 2019, 24, 4011. [Google Scholar] [CrossRef]
- Li, D.; Tian, X.; Li, Z.; Zhang, J.; Yang, X. Preparation of a Near-Infrared Fluorescent Probe Based on IR-780 for Highly Selective and Sensitive Detection of Bisulfite-Sulfite in Food, Living Cells, and Mice. J. Agr. Food Chem. 2019, 67, 3062–3067. [Google Scholar] [CrossRef]
- Wang, L.; Yang, W.; Song, Y.; Gu, Y.; Hu, Y. A Double-Indole Structure Fluorescent Probe for Monitoring Sulfur Dioxide Derivatives with Distinct Ratiometric Fluorescence Signals in Mammalian Cells. Spectrochim. Acta A 2020, 225, 117495. [Google Scholar] [CrossRef]
- Zhou, R.; Cui, G.; Hu, Y.; Qi, Q.; Huang, W.; Yang, L. An Effective Biocompatible Fluorescent Probe for Bisulfite Detection in Aqueous Solution, Living Cells, and Mice. RSC Adv. 2020, 10, 25352–25357. [Google Scholar] [CrossRef]
- Pan, X.; Cheng, S.; Zhang, C.; Qi, X. Two Highly Sensitive Fluorescent Probes Based On Cinnamaldehyde with Large Stokes Shift for Sensing of HSO3− in Pure Water and Living Cells. Anal. Bioanal. Chem. 2020, 412, 6959–6968. [Google Scholar] [CrossRef]
- Shi, Q.; Shen, L.; Xu, H.; Wang, Z.; Yang, X.; Huang, Y.; Redshaw, C.; Zhang, Q. A 1-Hydroxy-2,4-Diformylnaphthalene-Based Fluorescent Probe and its Detection of Sulfites/Bisulfite. Molecules 2021, 26, 3064. [Google Scholar] [CrossRef]
- Zhu, X.; Zhu, L.; Liu, H.; Hu, X.; Peng, R.; Zhang, J.; Zhang, X.; Tan, W. A Two-Photon Fluorescent Turn-On Probe for Imaging of SO2 Derivatives in Living Cells and Tissues. Anal. Chim. Acta 2016, 937, 136–142. [Google Scholar] [CrossRef]
- Xu, B.; Zhou, H.; Mei, Q.; Tang, W.; Sun, Y.; Gao, M.; Zhang, C.; Deng, S.; Zhang, Y. Real-Time Visualization of Cysteine Metabolism in Living Cells with Ratiometric Fluorescence Probes. Anal. Chem. 2018, 90, 2686–2691. [Google Scholar] [CrossRef]
- Zhang, G.; Ji, R.; Kong, X.; Ning, F.; Liu, A.; Cui, J.; Ge, Y. A FRET Based Ratiometric Fluorescent Probe for Detection of Sulfite in Food. RSC Adv. 2019, 9, 1147–1150. [Google Scholar] [CrossRef]
- Yan, Y.; Cui, X.; Li, Z.; Ding, M.; Che, Q.; Miao, J.; Zhao, B.; Lin, Z. A Synergetic FRET/ICT Platform-Based Fluorescence Probe for Ratiometric Imaging of Bisulfite in Lipid Droplets. Anal. Chim. Acta 2020, 1137, 47–55. [Google Scholar] [CrossRef]
- Zeng, R.F.; Lan, J.S.; Wu, T.; Liu, L.; Liu, Y.; Ho, R.; Ding, Y.; Zhang, T. A Novel Mitochondria-Targetted Near-Infrared Fluorescent Probe for Selective and Colorimetric Detection of Sulfite and its Application in Vitro and Vivo. Food Chem. 2020, 318, 126358. [Google Scholar] [CrossRef]
- Xu, J.; Zheng, D.J.; Su, M.M.; Chen, Y.C.; Jiao, Q.C.; Yang, Y.S.; Zhu, H.L. A Rapid Cell-Permeating Turn-On Probe for Sensitive and Selective Detection of Sulfite in Living Cells. Org. Biomol. Chem. 2018, 16, 8318–8324. [Google Scholar] [CrossRef] [PubMed]
- Cai, F.; Hou, B.; Zhang, S.; Chen, H.; Ji, S.; Shen, X.C.; Liang, H. A Chromenoquinoline-Based Two-Photon Fluorescent Probe for the Highly Specific and Fast Visualization of Sulfur Dioxide Derivatives in Living Cells and Zebrafish. J. Mater. Chem. B 2019, 7, 2493–2498. [Google Scholar] [CrossRef] [PubMed]
- Zhou, F.; Sultanbawa, Y.; Feng, H.; Wang, Y.; Meng, Q.; Wang, Y.; Zhang, Z.; Zhang, R. A New Red-Emitting Fluorescence Probe for Rapid and Effective Visualization of Bisulfite in Food Samples and Live Animals. J. Agr. Food Chem. 2019, 67, 4375–4383. [Google Scholar] [CrossRef] [PubMed]
- Hou, P.; Chen, S.; Voitchovsky, K.; Song, X. A Colorimetric and Ratiometric Fluorescent Probe for Sulfite Based on an Intramolecular Cleavage Mechanism. Luminescence 2014, 29, 749–753. [Google Scholar] [CrossRef] [PubMed]
- Liu, C.; Wu, H.; Yang, W.; Zhang, X. A Simple Levulinate-Based Ratiometric Fluorescent Probe for Sulfite with a Large Emission Shift. Anal. Sci. 2014, 30, 589–593. [Google Scholar] [CrossRef][Green Version]
- Li, J.; Sun, Y.; Wang, C.; Guo, Z.; Shen, Y.; Zhu, W. AND-Logic Based Fluorescent Probe for Selective Detection of Lysosomal Bisulfite in Living Cells. Anal. Chem. 2019, 91, 11946–11951. [Google Scholar] [CrossRef]
- Wang, Y.; Zhou, F.; Meng, Q.; Zhang, S.; Jia, H.; Wang, C.; Zhang, R.; Zhang, Z. A Novel Fluorescence Probe for the Reversible Detection of Bisulfite and Hydrogen Peroxide Pair in vitro and in vivo. Chem. Asian J. 2021, 16, 3419–3426. [Google Scholar] [CrossRef]
- Wu, L.; Qi, S.; Liu, Y.; Wang, X.; Zhu, L.; Yang, Q.; Du, J.; Xu, H.; Li, Y. A Novel Ratiometric Fluorescent Probe for Differential Detection of HSO3− and ClO− and Application in Cell Imaging and Tumor Recognition. Anal. Bioanal. Chem. 2021, 413, 1137–1148. [Google Scholar] [CrossRef]
- Sun, Y.; Wang, P.; Liu, J.; Zhang, J.; Guo, W. A Fluorescent Turn-On Probe for Bisulfite Based On Hydrogen Bond-Inhibited C = N Isomerization Mechanism. Analyst 2012, 137, 3430. [Google Scholar] [CrossRef]
- Huo, F.; Wu, Q.; Yin, C.; Zhang, W.; Zhang, Y. A High Efficient and Lysosome Targeted “Off-On” Probe for Sulfite Based On Nucleophilic Addition and ESIPT. Spectrochim. Acta A 2019, 214, 429–435. [Google Scholar] [CrossRef]
- Wang, G.; Qi, H.; Yang, X. A Ratiometric Fluorescent Probe for Bisulphite Anion, Employing Intramolecular Charge Transfer. Luminescence 2013, 28, 97–101. [Google Scholar] [CrossRef]
- Niu, T.; Yu, T.; Yin, G.; Chen, H.; Yin, P.; Li, H. A Novel Colorimetric and Ratiometric Fluorescent Probe for Sensing SO2 Derivatives and their Bio-Imaging in Living Cells. Analyst 2019, 144, 1546–1554. [Google Scholar] [CrossRef]
- Venkatachalam, K.; Asaithambi, G.; Rajasekaran, D.; Periasamy, V. A Novel Ratiometric Fluorescent Probe for “Naked-Eye” Detection of Sulfite Ion: Applications in Detection of Biological SO32- Ions in Food and Live Cells. Spectrochim. Acta A 2020, 228, 117788. [Google Scholar] [CrossRef]
- Kolińska, J.; Grzelakowska, A. Novel Styrylbenzimidazolium-Based Fluorescent Probe for Reactive Sulfur Species: Selectively Distinguishing Between Bisulfite and Thiol Amino Acids. Spectrochim. Acta A 2021, 262, 120151. [Google Scholar] [CrossRef]
- Chen, S.; Hou, P.; Sun, J.; Wang, H.; Liu, L. Imidazo[1,5-α]Pyridine-Based Fluorescent Probe with a Large Stokes Shift for Specific Recognition of Sulfite. Spectrochim. Acta A 2020, 225, 117508. [Google Scholar] [CrossRef]
- Cheng, X.; He, P.; Zhong, Z.; Liang, G. Reaction-Based Probe for Hydrogen Sulfite: Dual-Channel and Good Ratiometric Response. Luminescence 2016, 31, 1372–1378. [Google Scholar] [CrossRef]
- Mishra, A.; Ma, C.; Bäuerle, P. Functional Oligothiophenes: Molecular Design for Multidimensional Nanoarchitectures and their Applications. Chem. Rev. 2009, 109, 1141–1276. [Google Scholar] [CrossRef]
- Wang, J.; Xu, W.; Wang, Y.; Hua, J. Diketopyrrolopyrrole-Based Fluorescent Probe for Endogenous Bisulfite Detection and Bisulfite Triggered Phototoxicity Specific in Liver Cancer Cells. Spectrochim. Acta A 2021, 262, 120098. [Google Scholar] [CrossRef]
- Aparin, I.O.; Proskurin, G.V.; Golovin, A.V.; Ustinov, A.V.; Formanovsky, A.A.; Zatsepin, T.S.; Korshun, V.A. Fine Tuning of Pyrene Excimer Fluorescence in Molecular Beacons by Alteration of the Monomer Structure. J. Org. Chem. 2017, 82, 10015–10024. [Google Scholar] [CrossRef]
- Matías, N.; Möller, A.D. Diffusion of Nitric Oxide and Oxygen in Lipoproteins and Membranes Studied by Pyrene Fluorescence Quenching. Free Radic. Bio. Med. 2018, 4, 553. [Google Scholar]
- Chao, J.; Zhao, J.; Zhang, Y.; Huo, F.; Yin, C.; Li, M.; Duan, Y. High-Specific Fluorescence Probe for SO32- Detection and Bioimaging. J. Fluoresc 2021, 31, 363–371. [Google Scholar] [CrossRef]
- Yao, Y.; Sun, Q.; Chen, Z.; Huang, R.; Zhang, W.; Qian, J. A Mitochondria-Targeted Near Infrared Ratiometric Fluorescent Probe for the Detection of Sulfite in Aqueous and in Living Cells. Talanta 2018, 189, 429–436. [Google Scholar] [CrossRef]
- Tamima, U.; Santra, M.; Song, C.W.; Reo, Y.J.; Ahn, K.H. A Benzopyronin-Based Two-Photon Fluorescent Probe for Ratiometric Imaging of Lysosomal Bisulfite with Complete Spectral Separation. Anal. Chem. 2019, 91, 10779–10785. [Google Scholar] [CrossRef]
- Gao, H.; Qi, H.; Peng, Y.; Qi, H.; Zhang, C. Rapid “Turn-On” Photo Luminescence Detection of Bisulfite in Wines and Living Cells with a Formyl Bearing Bis-Cyclometalated Ir(Ⅲ) Complex. Analyst 2018, 143, 3670–3676. [Google Scholar] [CrossRef]
- Liu, Y.; Ren, T.B.; Cheng, D.; Hou, J.; Su, D.; Yuan, L. An ESIPT-Based Ratiometric Fluorescent Probe for Highly Sensitive and Rapid Detection of Sulfite in Living Cells. ChemistryOpen 2019, 8, 1251–1257. [Google Scholar] [CrossRef]
- Xu, S.; Tang, R.; Wang, Z.; Zhou, Y.; Yan, R. A Novel Flavone-Based Fluorescent Probe for Relay Recognition of HSO3− and Al3+. Spectrochim. Acta A 2015, 149, 208–215. [Google Scholar] [CrossRef]

















Publisher’s Note: MDPI stays neutral with regard to jurisdictional claims in published maps and institutional affiliations. |
© 2022 by the authors. Licensee MDPI, Basel, Switzerland. This article is an open access article distributed under the terms and conditions of the Creative Commons Attribution (CC BY) license (https://creativecommons.org/licenses/by/4.0/).
Share and Cite
Li, T.; Chen, X.; Wang, K.; Hu, Z. Small-Molecule Fluorescent Probe for Detection of Sulfite. Pharmaceuticals 2022, 15, 1326. https://doi.org/10.3390/ph15111326
Li T, Chen X, Wang K, Hu Z. Small-Molecule Fluorescent Probe for Detection of Sulfite. Pharmaceuticals. 2022; 15(11):1326. https://doi.org/10.3390/ph15111326
Chicago/Turabian StyleLi, Ting, Xuyang Chen, Kai Wang, and Zhigang Hu. 2022. "Small-Molecule Fluorescent Probe for Detection of Sulfite" Pharmaceuticals 15, no. 11: 1326. https://doi.org/10.3390/ph15111326
APA StyleLi, T., Chen, X., Wang, K., & Hu, Z. (2022). Small-Molecule Fluorescent Probe for Detection of Sulfite. Pharmaceuticals, 15(11), 1326. https://doi.org/10.3390/ph15111326

