Antibacterial and Cytotoxic Phenolic Polyketides from Two Marine-Derived Fungal Strains of Aspergillus unguis
Abstract
:1. Introduction
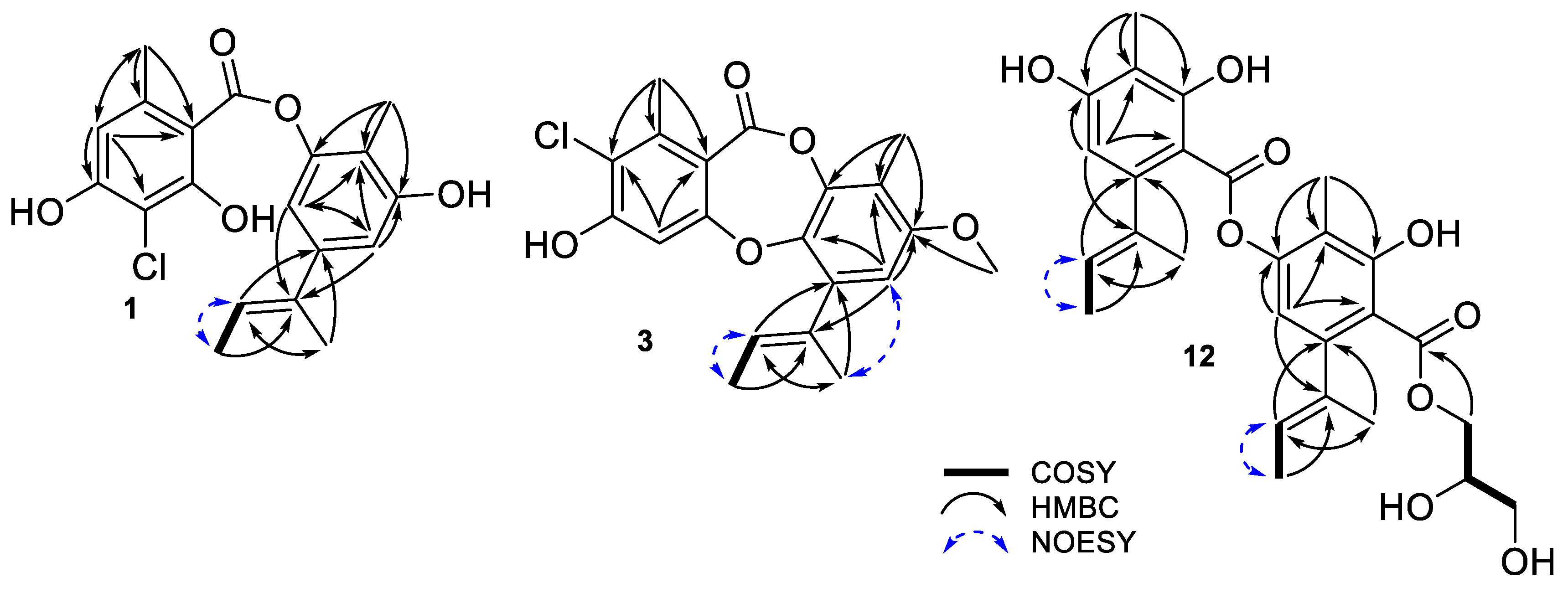
2. Results and Discussion
3. Materials and Methods
3.1. General Experimental Procedures
3.2. Fungal Strains, Cultivation, and Isolation of Secondary Metabolites
3.2.1. Fungal Strain, Cultivation, and Isolation of 11–13 and 15 from A. unguis 158SC-067
3.2.2. Fungal Strain, Cultivation, and Isolation of 1–10, 14, and 16–17 from A. unguis IV17-109
3.3. Snatzke’s Method
3.4. Antibacterial Assay
3.5. Sulforhodamine B (SRB) Assay for Cytotoxicity Test
4. Conclusions
Supplementary Materials
Author Contributions
Funding
Institutional Review Board Statement
Informed Consent Statement
Data Availability Statement
Acknowledgments
Conflicts of Interest
References
- Global Report for Research on Infectious Diseases of Poverty 2012. World Health Organization. Available online: https://apps.who.int/iris/handle/10665/44850 (accessed on 1 December 2021).
- Hutchings, M.I.; Truman, A.W.; Wilkinson, B. Antibiotics: Past, present and future. Curr. Opin. Microbiol. 2019, 51, 72–80. [Google Scholar] [CrossRef] [PubMed]
- Carroll, A.R.; Copp, B.R.; Davis, R.A.; Keyzers, R.A.; Prinsep, M.R. Marine natural products. Nat. Prod. Rep. 2021, 38, 362–413. [Google Scholar] [CrossRef] [PubMed]
- Nielsen, J.; Nielsen, P.H.; Frisvad, J.C. Fungal depside, guisinol, from a marine derived strain of Emericella unguis. Phytochemistry 1999, 50, 263–265. [Google Scholar] [CrossRef]
- Cao, S.G.; Lee, A.S.Y.; Huang, Y.C.; Flotow, H.; Ng, S.; Butler, M.S.; Buss, A.D. Agonodepsides A and B: Two new depsides from a filamentous fungus F7524. J. Nat. Prod. 2002, 65, 1037–1038. [Google Scholar] [CrossRef] [PubMed]
- Kawahara, N.; Nakajima, S.; Satoh, Y.; Yamazaki, M.; Kawai, K.I. Studies on fungal products. XVIII: Isolation and structures of a new fungal depsidone related to nidulin and a new phthalide from Emericella unguis. Chem. Pharm. Bull. 1988, 36, 1970–1975. [Google Scholar] [CrossRef] [Green Version]
- Morshed, M.T.; Vuong, D.; Crombie, A.; Lacey, A.E.; Karuso, P.; Lacey, E.; Piggott, A.M. Expanding antibiotic chemical space around nidulin pharmacophore. Org. Biomol. Chem. 2018, 16, 3038–3051. [Google Scholar] [CrossRef] [PubMed]
- Sureram, S.; Kesornpun, C.; Mahidol, C.; Ruchirawat, S.; Kittakoop, P. Directed biosynthesis through biohalogenation of secondary metabolites of the marine-derived fungus Aspergillus unguis. RSC Adv. 2013, 3, 1781–1788. [Google Scholar] [CrossRef]
- Anh, C.V.; Kang, J.S.; Choi, B.-K.; Lee, H.-S.; Heo, C.-S.; Shin, H.J. Polyketides and Meroterpenes from the Marine-Derived Fungi Aspergillus unguis 158SC-067 and A. flocculosus 01NT-1.1.5 and Their Cytotoxic and Antioxidant Activities. Mar. Drugs 2021, 19, 415. [Google Scholar] [CrossRef] [PubMed]
- Phainuphong, P.; Rukachaisirikul, V.; Phongpaichit, S.; Sakayaroj, J.; Kanjanasirirat, P.; Borwornpinyo, S.; Akrimajirachoote, N.; Yimnual, C.; Muanprasat, C. Depsides and depsidones from the soil-derived fungus Aspergillus unguis PSU-RSPG204. Tetrahedron 2018, 74, 5691–5699. [Google Scholar] [CrossRef]
- Ibrahim, S.R.; Mohamed, G.A.; Al Haidari, R.A.; El-Kholy, A.A.; Zayed, M.F.; Khayat, M.T. Biologically active fungal depsidones: Chemistry, biosynthesis, structural characterization, and bioactivities. Fitoterapia 2018, 129, 317–365. [Google Scholar] [CrossRef] [PubMed]
- Stodola, F.H.; Vesonder, R.F.; Fennell, D.I.; Weisleder, D. A new depsidone from Aspergillus unguis. Phytochemistry 1972, 11, 2107–2108. [Google Scholar] [CrossRef]
- Zhang, Y.; Mu, J.; Feng, Y.; Wen, L.X.; Han, J.Y. Four chlorinated depsidones from a seaweed-derived strain of Aspergillus unguis and their new biological activities. Nat. Prod. Res. 2014, 28, 503–506. [Google Scholar] [CrossRef] [PubMed]
- Sureram, S.; Wiyakrutta, S.; Ngamrojanavanich, N.; Mahidol, C.; Ruchirawat, S.; Kittakoop, P. Depsidones, Aromatase inhibitors and radical scavenging agents from the marine-derived fungus Aspergillus unguis CRI282-03. Planta Med. 2012, 78, 582–588. [Google Scholar] [CrossRef]
- Bari, L.D.; Pescitelli, G.; Pratelli, C.; Pini, D.; Salvadori, P. Determination of absolute configuration of acyclic 1,2-diols with Mo2(OAc)4. 1. Snatzke’s method revisited. J. Org. Chem. 2001, 66, 4819–4825. [Google Scholar] [CrossRef]
- Sun, X.P.; Cao, F.; Shao, C.L.; Chen, M.; Liu, H.J.; Zheng, C.J.; Wang, C.Y. Subergorgiaols A–L, 9,10-secosteroids from the South China Sea gorgonian Subergorgia rubra. Steroids 2015, 94, 7–14. [Google Scholar] [CrossRef]
- Appendino, G.; Gibbons, S.; Giana, A.; Pagani, A.; Grassi, G.; Stavri, M.; Smith, E.; Rahman, M.M. Antibacterial cannabinoids from Cannabis sativa: A structure-activity study. J. Nat. Prod. 2008, 71, 1427–1430. [Google Scholar] [CrossRef]
- Choi, B.-K.; Trinh, P.T.H.; Lee, H.-S.; Choi, B.-W.; Kang, J.S.; Ngoc, N.T.D.; Van, T.T.T.; Shin, H.J. New Ophiobolin Derivatives from the Marine Fungus Aspergillus flocculosus and Their Cytotoxicities against Cancer Cells. Mar. Drugs 2019, 17, 346. [Google Scholar] [CrossRef] [Green Version]



| Compound | 1 | 3 | ||
|---|---|---|---|---|
| Position | δH, Mult (J in Hz) | δC | δH, Mult (J in Hz) | δC |
| 1 | 106.1 | 114.9 | ||
| 2 | 142.3 | 142.7 | ||
| 3 | 6.47, s | 112.4 | 120.9 | |
| 4 | 159.9 | 162.8 | ||
| 5 | 107.2 | 6.53, s | 106.3 | |
| 6 | 161.9 | 159.1 | ||
| 7 | 2.61, s | 24.4 | 2.44, s | 18.4 |
| 8 | 171.4 | 164.7 | ||
| 1′ | 6.78, d (1.6) | 110.9 | 6.53, s | 108.3 |
| 2′ | 144.2 | 137.2 | ||
| 3′ | 6.62, d (1.6) | 111.2 | 143.2 | |
| 4′ | 150.8 | 144.5 | ||
| 5′ | 116.6 | 118.1 | ||
| 6′ | 157.5 | 156.3 | ||
| 7′ | 135.9 | 134.3 | ||
| 8′ | 5.86, m | 123.0 | 5.60, m | 127.0 |
| 9′ | 1.77, dd (0.7, 6.9) | 14.3 | 1.86, d (6.6) | 14.0 |
| 10′ | 1.98, brs | 15.4 | 2.09, brs | 17.9 |
| 11′ | 2.00, s | 9.5 | 2.14, s | 9.2 |
| 1″ | 3.79, s | 56.5 | ||
| Position | δH, Mult (J in Hz) | δC | Position | δH, Mult (J in Hz) | δC |
|---|---|---|---|---|---|
| 1 | 103.0 | 1′ | 111.2 | ||
| 2 | 149.6 | 2′ | 148.3 | ||
| 3 | 6.20, s | 110.4 | 3′ | 6.37, s | 115.4 |
| 4 | 162.4 | 4′ | 153.8 | ||
| 5 | 110.9 | 5′ | 118.4 | ||
| 6 | 163.8 | 6′ | 161.4 | ||
| 7 | 139.9 | 7′ | 139.0 | ||
| 8 | 5.35, m | 121.9 | 8′ | 5.35, m | 123.2 |
| 9 | 1.66, d (6.1) | 13.8 | 9′ | 1.74, d (6.1) | 14.0 |
| 10 | 1.93, s | 18.8 | 10′ | 1.93, s | 19.1 |
| 11 | 2.06, s | 8.0 | 11′ | 2.00, s | 9.4 |
| 12 | 170.6 | 12′ | 171.9 | ||
| 1″ | 4.30, dd (5.9, 11.3) 4.37, dd (4.9, 11.3) | 67.5 | |||
| 2″ | 3.90, dt (5.9, 10.8) | 70.9 | |||
| 3″ | 3.62, dd (5.2, 11.3) 3.58, dd (5.7, 11.2) | 64.2 |
| MIC (µM) | |||
|---|---|---|---|
| B. subtilis KCTC 1021 | Micrococcus luteus KCTC 1915 | Staphylococcus aureus KCTC 1927 | |
| 1 | 22.1 | 22.1 | 22.1 |
| 3 | 10.7 | 10.7 | 5.3 |
| 12 | 8.0 | 16.0 | 16.0 |
| Kanamycin | 1.0 | 0.5 | 1.0 |
| Compounds | ACHN | NCI-H23 | PC-3 | NUGC-3 | MDA-MB-231 | HCT-15 |
|---|---|---|---|---|---|---|
| 1 | 13.9 | 19.6 | 16.1 | 7.8 | 16.9 | 13.2 |
| 2 | 2.5 | 2.9 | 2.7 | 2.6 | 3.1 | 3.0 |
| 3 | 12.9 | 14.0 | 14.4 | 8.3 | 15.5 | 12.5 |
| 4 | 4.6 | 4.0 | 3.7 | 3.4 | 4.6 | 3.9 |
| 5 | 5.0 | 4.4 | 4.4 | 3.4 | 6.0 | 6.2 |
| 6 | 4.8 | 4.7 | 4.8 | 3.8 | 5.5 | 5.2 |
| 7 | 27.7 | 16.1 | 26.6 | 18.9 | 24.3 | 24.6 |
| 8 | 7.3 | 9.8 | 7.5 | 4.3 | 13.3 | 10.5 |
| 9 | n.a. | n.a. | n.a. | n.a. | n.a. | n.a. |
| 10 | 11.8 | 11.9 | 10.2 | 7.7 | 7.8 | 9.1 |
| 11 | 43.8 | 41.8 | 32.8 | 26.3 | 26.9 | 46.9 |
| 12 | n.t. | n.t. | n.t. | n.t. | n.t. | n.t. |
| 13 | 2.7 | 3.7 | 3.1 | 1.9 | 3.7 | 4.9 |
| 14 | 13.4 | 11.2 | 11.5 | 10.4 | 13.0 | 13.0 |
| 15 | 14.8 | 13.8 | 16.9 | 13.9 | 12.9 | 14.3 |
| 16 | 16.5 | 12.4 | 14.0 | 13.2 | 14.6 | 10.5 |
| 17 | n.t. | n.t. | n.t. | n.t. | n.t. | n.t. |
| Adr. | 0.15 | 0.12 | 0.15 | 0.15 | 0.16 | 0.15 |
Publisher’s Note: MDPI stays neutral with regard to jurisdictional claims in published maps and institutional affiliations. |
© 2022 by the authors. Licensee MDPI, Basel, Switzerland. This article is an open access article distributed under the terms and conditions of the Creative Commons Attribution (CC BY) license (https://creativecommons.org/licenses/by/4.0/).
Share and Cite
Anh, C.V.; Kwon, J.-H.; Kang, J.S.; Lee, H.-S.; Heo, C.-S.; Shin, H.J. Antibacterial and Cytotoxic Phenolic Polyketides from Two Marine-Derived Fungal Strains of Aspergillus unguis. Pharmaceuticals 2022, 15, 74. https://doi.org/10.3390/ph15010074
Anh CV, Kwon J-H, Kang JS, Lee H-S, Heo C-S, Shin HJ. Antibacterial and Cytotoxic Phenolic Polyketides from Two Marine-Derived Fungal Strains of Aspergillus unguis. Pharmaceuticals. 2022; 15(1):74. https://doi.org/10.3390/ph15010074
Chicago/Turabian StyleAnh, Cao Van, Joo-Hee Kwon, Jong Soon Kang, Hwa-Sun Lee, Chang-Su Heo, and Hee Jae Shin. 2022. "Antibacterial and Cytotoxic Phenolic Polyketides from Two Marine-Derived Fungal Strains of Aspergillus unguis" Pharmaceuticals 15, no. 1: 74. https://doi.org/10.3390/ph15010074
APA StyleAnh, C. V., Kwon, J.-H., Kang, J. S., Lee, H.-S., Heo, C.-S., & Shin, H. J. (2022). Antibacterial and Cytotoxic Phenolic Polyketides from Two Marine-Derived Fungal Strains of Aspergillus unguis. Pharmaceuticals, 15(1), 74. https://doi.org/10.3390/ph15010074

