Antioxidant and Antiproliferative Potentials of Ficus glumosa and Its Bioactive Polyphenol Metabolites
Abstract
1. Introduction
2. Results and Discussion
2.1. Total Phenolics and Flavonoids Total Contents
2.2. Antioxidant Potential
2.3. Antiproliferative Activity
2.4. HPLC Method Validation
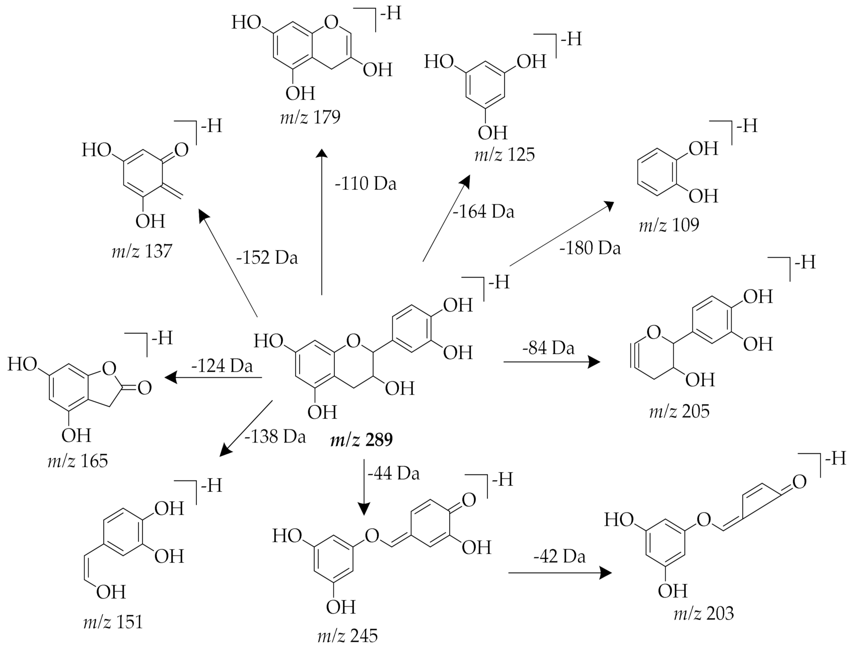
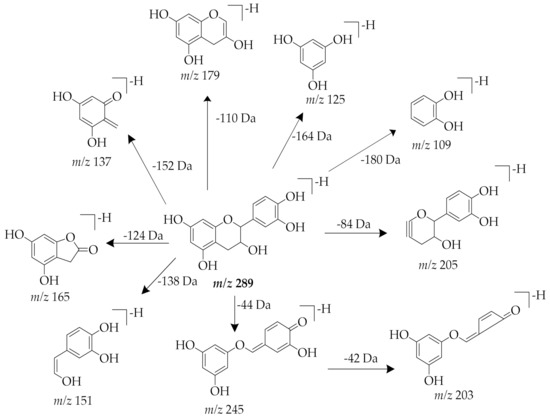
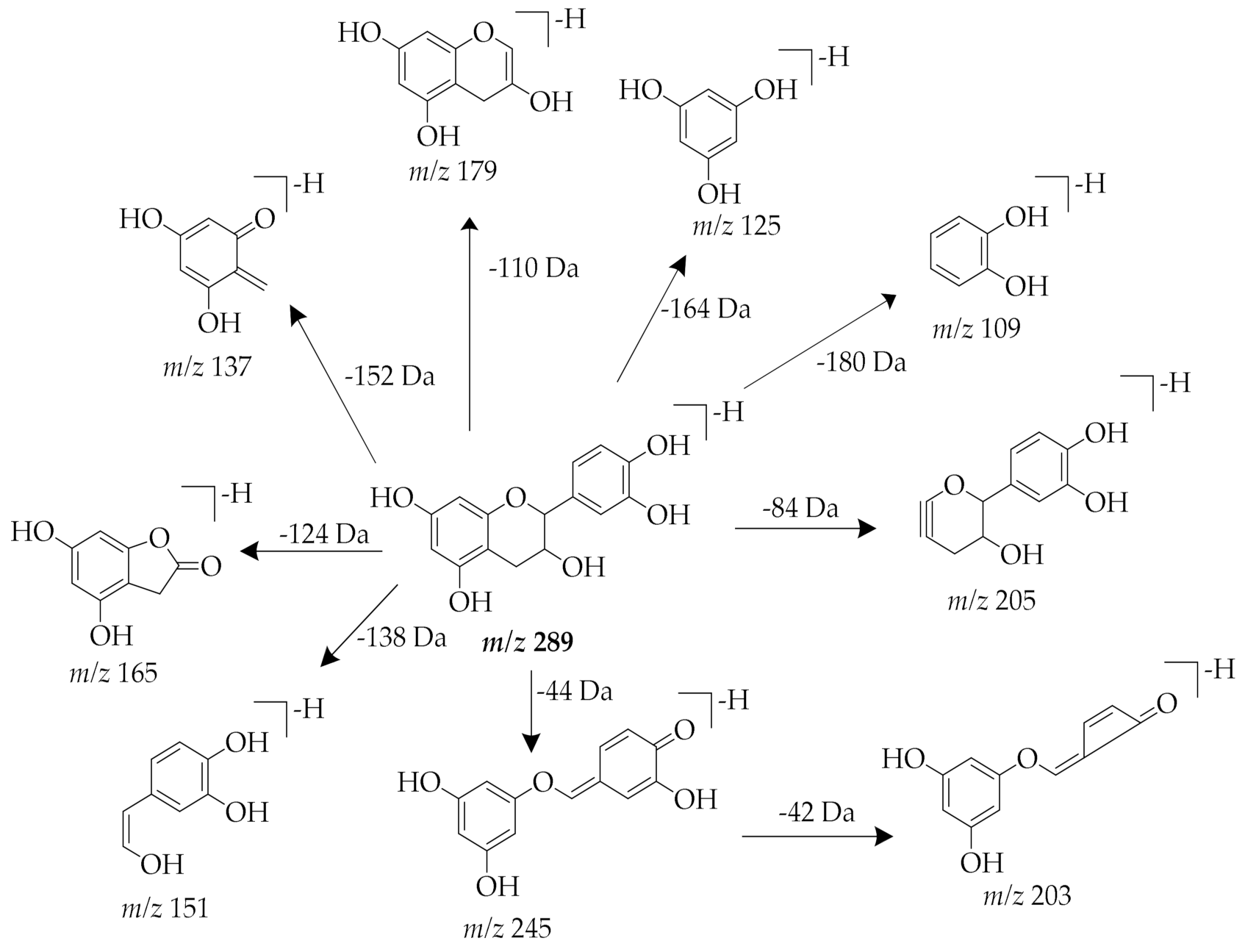
2.5. HPLC-MS Analysis of EA Fraction of Ficus glumosa
2.6. Quantification of Polyphenols in EA Fraction of Ficus glumosa
2.7. Biological Significance of Chemical Constituents in EA Fraction of Ficus glumosa
3. Materials and Methods
3.1. Chemicals and Reagents
3.2. Plant Materials
3.3. Sample Extraction and Partitioning
3.4. Preparation of Standard Solutions
3.5. Method Validation for Quantitative Analysis
3.6. Determination of Total Flavonoid Content (TFC)
3.7. Determination of Total Phenolic Content (TPC)
3.8. In-Vitro Antioxidant Assays of Ficus Glumosa
3.8.1. DPPH Assay
3.8.2. ABTS Assay
3.8.3. FRAP Assay
3.9. In-Vitro Anti-Proliferative Assay of Ficus glumosa
3.9.1. Cell Culture
3.9.2. Anti-Proliferative Activity Analysis
3.10. HPLC-ESI-MS/MS Analysis of EA Fraction of Ficus Glumosa
3.11. Statistical Analysis
4. Conclusions
Author Contributions
Funding
Data Availability Statement
Conflicts of Interest
References
- Beentje, H.J. Fig trees (Ficus, Moraceae) of Kenya. J. East Afr. Nat. Hist. Soc. Ntl. Mus. 1988, 76, 53–76. [Google Scholar]
- Akpana, A.M.; Edward, M.J.; Henry, P.; Joseph, A. Mineral and vitamin composition of some lesser-known leafy vegetables consumed in northern senatorial district of Cross River State, Nigeria. Am. J. Food. Nutr. 2017, 5, 51–57. [Google Scholar]
- Jansen, P.; Cardon, D. Plant Resources of Tropical Africa 3. Dyes and Tannins; PROTA Foundation: Wageningen, The Netherlands, 2005. [Google Scholar]
- Ameh, P.O. Physicochemical properties and rheological behaviour of Ficus glumosa gum in aqueous solution. Afr. J. Pure Appl. Chem. 2013, 7, 35–43. [Google Scholar]
- Telefo, P.B.; Lienou, L.L.; Yemele, M.D.; Lemfack, M.C.; Mouokeu, C.; Goka, C.S.; Tagne, S.R.; Moundipa, F.P. Ethnopharmacological survey of plants used for the treatment of female infertility in Baham, Cameroon. J. Ethnopharmacol. 2011, 136, 178–187. [Google Scholar] [CrossRef]
- Masarirambi, M.T.; Zwane, P.E.; Surana, N.; Kunene, E.N.; Moyo, S.; Mabuza, L.L.; Makhanya, B.P. Indigenous dye plants of the Kingdom of Eswatini, traditional uses and new prospects. Adv. Med. Plant Res. 2019, 7, 8–14. [Google Scholar] [CrossRef]
- Umar, Z.U.; Moh’d, A.; Tanko, Y. Effects of ethanol leaf extract of Ficus glumosa on fasting blood glucose and serum lipid profile in diabetic rats. Niger. J. Physiol. Sci. 2013, 28, 99–104. [Google Scholar]
- Koné, W.M.; Atindehou, K.K. Ethnobotanical inventory of medicinal plants used in traditional veterinary medicine in northern Côte d’Ivoire (West Africa). S. Afric. J. Bot. 2008, 74, 76–84. [Google Scholar] [CrossRef]
- Jeruto, P.; Mutai, C.; Ouma, G.; Lukhoba, C.; Nyamaka, R.L.; Manani, S.D. Ethnobotanical survey and propagation of some endangered medicinal plants from South Nandi district of Kenya. J. Anim. Plant Sci. 2010, 8, 1016–1043. [Google Scholar]
- Madubunyi, I.I.; Onoja, S.O.; Asuzu, I.U. In vitro antioxidant and in vivo antidiabetic potential of the methanol extract of Ficus glumosa Del (Moraceae) stem bark in alloxan-induced diabetic mice. Comp. Clin. Pathol. 2010, 21, 389–394. [Google Scholar] [CrossRef]
- Ntchapda, F.; Djedouboum, A.; Kom, B.; Nana, P.; Bonabe, C.; Maguirgue, K.; Talla, E.; Dimo, T. Diuretic activity of the aqueous extract leaves of Ficus glumosa Del. (Moraceae) in rats. Sci. World J. 2014, 2014. [Google Scholar] [CrossRef]
- Ntchapda, F.; Djedouboum, A.; Talla, E.; Sokeng, D.S.; Nana, P.; Adjia, H.; Nguimbou, R.M.; Bonabe, C.; Gaimatakon, S.; Njintang, Y.N.; et al. Hypolipidemic and anti-atherogenic effect of aqueous extract leaves of Ficus glumosa (Moraceae) in rats. Exp. Gerontol. 2015, 62, 53–62. [Google Scholar] [CrossRef]
- Sibandze, G.F. Pharmacological Properties of Swazi Medicinal Plants. Ph.D. Thesis, University of Witwatersrand, Johannesburg, South Africa, 2009. [Google Scholar]
- Abubakar, M.S.; Musa, A.M.; Ahmed, A.; Hussaini, I.M. The perception and practice of traditional medicine in the treatment of cancers and inflammations by the Hausa and Fulani tribes of Northern Nigeria. J. Ethnopharmacol. 2007, 111, 625–629. [Google Scholar] [CrossRef]
- Deepa, P.; Sowndhararajan, K.; Kim, S.; Park, S.J. A role of Ficus species in the management of diabetes mellitus: A review. J. Ethnopharmacol. 2018, 215, 210–232. [Google Scholar] [CrossRef]
- Kwazo, H.A.; Faruq, U.Z.; Dangoggo, S.M.; Malalmi, B.S.; Moronkola, D.O. Antimicrobial activity and phytochemical screening of crude water extract of the stem bark of Ficus glumosa. Sci. Res Essays 2015, 10, 177–183. [Google Scholar]
- Ibrahim, M.T.; Shafei, A.A.; Mahrous, F. Phytochemical and biological studies of natural Egyptian recipe with anticancer effect. IOSR J. Pharm. Biol. Sci. 2017, 12, 29–39. [Google Scholar] [CrossRef]
- Jasmine, R.; Manikandan, K.; Karthikeyan, K. Evaluating the antioxidant and anticancer property of Ficus carica fruits. Afr. J. Biotechnol. 2015, 14, 634–641. [Google Scholar] [CrossRef]
- Purnamasari, R.; Winarni, D.; Permanasari, A.A.; Agustina, E.; Hayaza, S.; Darmanto, W. Anticancer activity of methanol extract of Ficus carica leaves and fruits against proliferation, apoptosis, and necrosis in Huh7it Cells. Cancer Inform. 2019, 18, 2576. [Google Scholar] [CrossRef]
- Awolola, G.V. Phytochemical analyses and biological activities of four South African Ficus species (Moraceae). Ph.D. Thesis, University of Kwazulu-Natal, Durban, South Africa, 2015. [Google Scholar]
- Barde, M.I.; Hassan, Y. Phytochemical screening and antioxidant potential of selected Nigerian vegetables. Intern. Ann. Sci. 2019, 8, 12–16. [Google Scholar]
- Awolola, G.V.; Sofidiya, M.O.; Baijnath, H.; Noren, S.S.; Koorbanally, N.A. The phytochemistry and gastroprotective activities of the leaves of Ficus glumosa. S. Afr. J. Bot. 2019, 126, 190–195. [Google Scholar] [CrossRef]
- Wahle, K.W.J.; Brown, I.; Rotondo, D.; Heys, S.D. Plant Phenolics in the Prevention and Treatment of cancer. In Bio-Farms for Nutraceuticals; Springer: Aberdeen, UK, 2010; pp. 36–51. [Google Scholar]
- Khan, N.; Afaq, F.; Mukhtar, H. Cancer chemoprevention through dietary antioxidants: Progress and promise. Antioxid. Redox Signal. 2008, 10, 475–510. [Google Scholar] [CrossRef] [PubMed]
- Lobo, V.; Patil, A.; Phatak, A.; Chandra, N. Free radicals, antioxidants and functional foods: Impact on human health. A review. Pharmacogn. Rev. 2010, 4, 118–126. [Google Scholar] [CrossRef]
- Nana, F.; Sandjo, L.P.; Keumedjio, F.; Ambassa, P.; Malik, R.; Kuete, V.; Rincheval, V.; Choudhary, M.I.; Ngadjui, B.T. Ceramides and cytotoxic constituents from Ficus glumosa Del. (Moraceae). J. Braz. Chem Soc. 2012, 23, 482–487. [Google Scholar] [CrossRef]
- Olaokun, O.O.; McGaw, L.J.; Eloff, J.N.; Naidoo, V. Evaluation of the inhibition of carbohydrate hydrolysing enzymes, antioxidant activity and polyphenolic content of extracts of ten African Ficus species (Moraceae) used traditionally to treat diabetes. BMC Complement Altern. Med. 2013, 13, 1–10. [Google Scholar] [CrossRef] [PubMed]
- Sultana, J.; Kabir, A.S.; Hakim, M.A.; Abdullah, M.; Islam, N.; Reza, M.A. Evaluation of the antioxidant activity of Ficus racemosa plant extracts from north-western district of Bangladesh. J. Life Earth Sci. 2013, 8, 93–99. [Google Scholar] [CrossRef]
- Yadav, S.; Gupta, V.K.; Gopalakrishnan, A.; Verma, M.R. Antioxidant activity analysis of Ficus racemosa leaf extract. J. Entomol. Zool. Stud. 2019, 7, 1443–1446. [Google Scholar]
- Abdel-Hameed, E.-S.S. Total phenolic contents and free radical scavenging activity of certain Egyptian Ficus species leaf samples. Food Chem. 2009, 114, 1271–1277. [Google Scholar] [CrossRef]
- Al-Matani, S.K.; Al-Wahaibi, R.N.S.; Hossain, M.A. Total flavonoids content and antimicrobial activity of crude extract from leaves of Ficus sycomorus native to Sultanate of Oman. Karbala Intern. J. Mod. Sci. 2015, 1, 166–171. [Google Scholar]
- Siddhuraju, P.; Becker, K. Antioxidant properties of various solvent extracts of total phenolic constituents from three different agroclimatic origins of drumstick tree (Moringa oleifera Lam.) leaves. J. Agric. Food Chem. 2003, 51, 2144–2155. [Google Scholar] [CrossRef]
- Singh, M.; Kaur, M.; Silakari, O. Flavones: An important scaffold for medicinal chemistry. Eur. J. Med. Chem. 2014, 84, 206–239. [Google Scholar] [CrossRef]
- Veerapur, V.P.; Prabhakar, K.R.; Parihar, V.K.; Kandadi, M.R.; Ramakrishana, S.; Mishra, B.; Rao, B.S.S.; Srinivasan, K.K.; Priyadarsini, K.I.; Unnikrishnan, M.K. Ficus racemosa stem bark extract: A potent antioxidant and a probable natural radioprotector. Evid. Based Complement. Alternat. Med. 2009, 6, 317–324. [Google Scholar] [CrossRef]
- Sawadogo, W.R.; Maciuk, A.; Banzouzi, J.T.; Champy, P.; Figadere, B.; Guissou, I.P.; Nacoulma, O.G. Mutagenic effect, antioxidant and anticancer activities of six medicinal plants from Burkina Faso. Nat. Prod. Res. 2012, 26, 575–579. [Google Scholar] [CrossRef]
- Shi, Y.X.; Xu, Y.K.; Hu, H.B.; Na, Z.; Wang, W.-H. Preliminary assessment of antioxidant activity of young edible leaves of seven Ficus species in the ethnic diet in Xishuangbanna, Southwest China. Food Chem. 2011, 128, 889–894. [Google Scholar] [CrossRef]
- Brewer, M.S. Natural antioxidants: Sources, compounds, mechanism of action, and potential applications. Compr. Rev. Food Sci. Food Saf. 2011, 10, 221–247. [Google Scholar] [CrossRef]
- Reczek, C.R.; Chandel, N.S. The two faces of reactive oxygen species in cancer. Annual. Rev. Cancer Biol. 2017, 1, 79–98. [Google Scholar] [CrossRef]
- Waris, G.; Ahsan, H. Reactive oxygen species: Role in the development of cancer and various chronic conditions. J. Carcinog. 2006, 5, 14. [Google Scholar] [CrossRef] [PubMed]
- Bhullar, K.S.; Rupasinghe, H.P.V. Polyphenols: Multipotent therapeutic agents in neurodegenerative diseases. Oxid. Med. Cell. Longev. 2013, 2013. [Google Scholar] [CrossRef] [PubMed]
- Abubakar, I.B.; Lim, K.H.; Loh, H.S. Alkaloid extracts of Ficus species and palm oil-derived tocotrienols synergistically inhibit proliferation of human cancer cells. Nat. Prod. Res. 2015, 29, 2137–2140. [Google Scholar] [CrossRef] [PubMed]
- Yessoufou, K.; Elansary, H.O.; Mahmoud, E.A.; Skalicka-Woźniak, K. Antifungal, antibacterial and anticancer activities of Ficus drupacea L. stem bark extract and biologically active isolated compounds. Ind. Crops Prod. 2015, 74, 752–758. [Google Scholar] [CrossRef]
- Mena, P.; Calani, L.; Dall’Asta, C.; Galaverna, G.; Garcia-Viguera, C.; Bruni, R.; Crozier, A.; Rio, D.D. Rapid and comprehensive evaluation of (poly)phenolic compounds in pomegranate (Punica granatum L.) juice by UHPLC-MSn. Molecules 2012, 17, 14821–14840. [Google Scholar] [CrossRef]
- Wyrepkowski, C.C.; Gomes, D.L.M.C.; Sinhorin, A.P.; Vilegas, W.; De, R.A.G.; Resende, F.A.; Varanda, E.A.; Dos, L.C.S. Characterization and quantification of the compounds of the ethanolic extract from Caesalpinia ferrea stem bark and evaluation of their mutagenic activity. Molecules 2014, 19, 16039–16057. [Google Scholar] [CrossRef] [PubMed]
- Chen, G.L.; Mutie, F.M.; Xu, Y.B.; Saleri, F.D.; Hu, G.W.; Guo, M.Q. Antioxidant, anti-inflammatory activities and polyphenolprofile of Rhamnus prinoides. Pharmaceuticals. 2020, 13, 55. [Google Scholar] [CrossRef]
- Li, Y.; Liu, Y.; Liu, R.; Liu, S.; Zhang, X.; Wang, Z.; Zhang, J.; Lu, J. HPLC-LTQ-orbitrap MSn profiling method to comprehensively characterize multiple chemical constituents in xiao-er-qing-jie granules. Anal. Methods. 2015, 7, 7511–7526. [Google Scholar] [CrossRef]
- Gómez-Juaristi, M.; Martínez-López, S.; Sarria, B.; Bravo, L.; Mateos, R. Bioavailability of hydroxycinnamates in an instant green/roasted coffee blend in humans. Identification of novel colonic metabolites. Food Funct. 2018, 9, 331–343. [Google Scholar] [CrossRef]
- Ammar, S.; del Mar Contreras, M.; Belguith-Hadrich, O.; Bouaziz, M.; Segura-Carretero, A. New insights into the qualitative phenolic profile of Ficus carica L. fruits and leaves from Tunisia using ultra-high-performance liquid chromatography coupled to quadrupole-time-of-flight mass spectrometry and their antioxidant activity. RSC Adv. 2015, 5, 20035–20050. [Google Scholar] [CrossRef]
- Kumar, S.; Singh, A.; Kushwaha, A.K.; Tiwari, R.; Chaudhary, L.B.; Srivastava, M.; Kumar, B. The UPLC–ESI–QqQLIT–MS/MS method for quantitative determination of phytochemicals in ethanolic extracts of different parts of eight Ficus species: Development and validation. Int. J. Food Prop. 2018, 21, 328–344. [Google Scholar] [CrossRef]
- Rockenbach, I.I.; Jungfer, E.; Ritter, C.; Santiago-Schübel, B.; Thiele, B.; Fett, R.; Galensa, R. Characterization of flavan-3-ols in seeds of grape pomace by CE, HPLC-DAD-MSn and LC-ESI-FTICR-MS. Food Res. Int. 2012, 48, 848–855. [Google Scholar] [CrossRef]
- Alejo-Armijo, A.; Tello-Abolafia, A.; Salido, S.; Altarejos, J. Phenolic compounds in laurel wood: A New source of proanthocyanidins. J. Wood Chem. Technol. 2019, 39, 436–453. [Google Scholar] [CrossRef]
- Sendker, J.; Petereit, F.; Lautenschläger, M.; Hellenbrand, N.; Hensel, A. Phenylpropanoid-substituted procyanidins and tentatively identified procyanidin glycosides from Hawthorn (Crataegus spp). Planta Med. 2012, 79, 45–51. [Google Scholar] [CrossRef] [PubMed]
- Brahmi-Chendouh, N.; Piccolella, S.; Crescente, G.; Pacifico, F.; Boulekbache, L.; Hamri-Zeghichi, S.; Akkal, S.; Madani, K.; Pacifico, S. A nutraceutical extract from Inula viscosa leaves: UHPLC-HR-MS/MS based polyphenol profile, and antioxidant and cytotoxic activities. J. Food Drug Anal. 2019, 27, 692–702. [Google Scholar] [CrossRef] [PubMed]
- Zhang, L.; Tu, Z.C.; Xie, X.; Lu, Y.; Wang, Z.X.; Wang, H.; Sha, X.M. Antihyperglycemic, antioxidant activities of two Acer palmatum cultivars, and identification of phenolics profile by UPLC-QTOF-MS/MS: New natural sources of functional constituents. Ind. Crops. Prod. 2016, 89, 522–532. [Google Scholar] [CrossRef]
- Biazotto, K.R.; De Souza, L.M.M.; Neves, B.V.; Braga, A.R.C.; Tangerina, M.M.P.; Vilegas, W.; Mercadante, A.Z.; De Rosso, V.V. Brazilian biodiversity fruits: Discovering bioactive compounds from underexplored sources. J. Agric. Food Chem. 2019, 67, 1860–1876. [Google Scholar] [CrossRef]
- Sharma, A.; Shahzad, B.; Rehman, A.; Bhardwaj, R.; Landi, M.; Zheng, B. Response of phenylpropanoid pathway and the role of polyphenols in plants under abiotic Stress. Molecules 2019, 24, 2452. [Google Scholar] [CrossRef] [PubMed]
- Gomes, C.A.; da Cruz, T.G.; Andrade, J.L.; Milhazes, N.; Borges, F.; Marques, M.P.M. Anticancer activity of phenolic acids of natural or synthetic origin: A structure-activity study. J. Med. Chem. 2003, 46, 5395–5401. [Google Scholar] [CrossRef] [PubMed]
- Sarker, U.; Oba, S. Antioxidant constituents of three selected red and green color Amaranthus leafy vegetable. Sci. Rep. 2019, 9, 1–11. [Google Scholar] [CrossRef] [PubMed]
- Goleniowski, M.; Bonfill, M.; Cusido, R.; Palazón, J. Phenolic Acids. In Natural Products; Springer: Berlin/Heidelberg, Germany, 2013; pp. 1951–1973. [Google Scholar] [CrossRef]
- De Silva, A.B.K.H.; Rupasinghe, H.P.V. Polyphenols composition and anti-diabetic properties in vitro of haskap (Lonicera caerulea L.) berries in relation to cultivar and harvesting date. J. Food Compos. Anal. 2020, 88, 103402. [Google Scholar] [CrossRef]
- Bansal, S.; Vyas, S.; Bhattacharya, S.; Sharma, M. Catechin prodrugs and analogs: A new array of chemical entities with improved pharmacological and pharmacokinetics properties. Nat. Prod. Rep. 2013, 30, 1438–1454. [Google Scholar] [CrossRef] [PubMed]
- Aron, P.M.; Kennedy, J.A. Flavan-3-ols: Nature, occurrence and biological activity. A review. Mol Nut Food Res. 2008, 52, 79–104. [Google Scholar] [CrossRef] [PubMed]
- Zanwar, A.A.; Badole, S.L.; Shende, P.S.; Hegde, M.V.; Bodhankar, S.L. Antioxidant role of catechin in health and disease. In Polyphenols in Human Health and Disease; Watson, R.R., Preedy, V.R., Eds.; Academic Press: San Diego, CA, USA, 2014; pp. 267–271. [Google Scholar]
- Stevens, J.F.; Miranda, C.L.; Wolthers, K.R.; Schimerlik, M.; Deinzer, M.L.; Buhler, D.R. Identification and in vitro biological activities of hop proanthocyanidins: Inhibition of nNOS activity and scavenging of reactive nitrogen species. J. Agric. Food Chem. 2002, 50, 3435–3443. [Google Scholar] [CrossRef]
- Pino, L.L.; Garcia, T.H.; Delgado-Roche, L.; Rodeiro, I.; Hernandez, I.; Vilegas, W.; Spengler, I. Polyphenolic profile by FIA/ESI/IT/MS(n) and antioxidant capacity of the ethanolic extract from the barks of Maytenus cajalbanica (Borhidi & O. Muniz) Borhidi & O. Muniz. Nat. Prod. Res. 2019, 34, 1481–1485. [Google Scholar]
- Takara, K.; Kuniyoshi, A.; Wada, K.; Kinjyo, K.; Iwasaki, H. Antioxidative flavan-3-ol glycosides from stems of Rhizophora stylosa. Biosci. Biotech. Biochem. 2008, 72, 2191–2194. [Google Scholar] [CrossRef]
- Xu, S.; Shang, M.Y.; Liu, G.X.; Xu, F.; Wang, X.; Shou, C.C.; Cai, S.Q. Chemical constituents from the rhizomes of Smilax glabra and their antimicrobial activity. Molecules 2013, 18, 5265–5287. [Google Scholar] [CrossRef]
- Fontaine, B.M.; Nelson, K.; Lyles, J.T.; Jariwala, P.B.; Garcia-Rodriguez, J.M.; Quave, C.L.; Weinert, E.E. Identification of ellagic acid rhamnoside as a bioactive component of a complex botanical extract with anti-biofilm activity. Front. Microbiol. 2017, 8, 496. [Google Scholar] [CrossRef]
- Oszmiański, J.; Wojdylo, A.; Nowicka, P.; Teleszko, M.; Cebulak, T.; Wolanin, M. Determination of phenolic compounds and antioxidant activity in leaves from wild Rubus, L. species. Molecules 2015, 20, 4951–4966. [Google Scholar] [CrossRef]
- Zhu, M.Z.; Wu, W.; Jiao, L.L.; Yang, P.F.; Guo, M.Q. Analysis of Flavonoids in Lotus (Nelumbo nucifera) leaves and their antioxidant activity using microporous resin chromatography coupled with LC-MS and antioxidant biochemical assays. Molecules 2015, 20, 10553–10565. [Google Scholar] [CrossRef]
- Zhu, M.; Wei, P.; Peng, Q.; Qin, S.; Zhou, Y.; Zhang, R.; Zhu, C.; Zhang, L. Simultaneous qualitative and quantitative evaluation of Toddalia asiatica root by using HPLC-DAD and UPLC-QTOF-MS/MS. Phytochem. Anal. 2018, 30, 164–181. [Google Scholar] [CrossRef] [PubMed]
- Ru, Q.M.; Wang, L.J.; Li, W.M.; Wang, J.L.; Ding, Y.T. In vitro antioxidant properties of flavonoids and polysaccharides extract from tobacco (Nicotiana tabacum L.) leaves. Molecules 2012, 17, 11281–11291. [Google Scholar] [CrossRef]
- Esmaeili, K.A.; Taha, R.M.; Mohajer, S.; Banisalam, B. Antioxidant activity and total phenolic and flavonoid content of various solvent extracts from in vivo and in vitro grown Trifolium pratense L. (Red Clover). Biomed Res. Int. 2015, 2015. [Google Scholar] [CrossRef]
- Xu, Y.B.; Chen, G.L.; Guo, M.Q. Antioxidant and anti-inflammatory activities of the crude extracts of Moringa oleifera from Kenya and their correlations with flavonoids. Antioxidants 2019, 8, 296. [Google Scholar] [CrossRef] [PubMed]
- Zou, Y.; Chang, S.K.C.; Gu, Y.; Qian, S.Y. Antioxidant activity and phenolic compositions of lentil (Lens culinaris var. Morton) extract and its fractions. J. Agric. Food Chem. 2011, 59, 2268–2276. [Google Scholar] [CrossRef] [PubMed]
- Vichai, V.; Kirtikara, K. Sulforhodamine B colorimetric assay for cytotoxicity screening. Nat. Protoc. 2006, 1, 1112–1116. [Google Scholar] [CrossRef] [PubMed]








| Property | Analytes | |||
|---|---|---|---|---|
| Gallic Acid | Rutin | |||
| Calibration equation | y = 24.287x − 21.448 | y = 16.298x + 3.3106 | ||
| Linear ranges (µg/mL) | 1–32 | 1.25–40 | ||
| Correlation coefficient (R2) | 0.9982 | 0.9988 | ||
| LOD | 1.84 | 1.93 | ||
| LOQ | 5.58 | 5.85 | ||
| Intraday precision (% RSD) | 2.36 | 0.58 | ||
| Interday precision (% RSD) | 1.69 | 0.47 | ||
| Repeatability (% RSD) | 2.10 | 0.65 | ||
| Stability (% RSD) | 2.49 | 0.56 | ||
| Recovery | Average recovery (%) | % RSD | Average recovery (%) | % RSD |
| 95.95 | 2.43 | 98.17 | 0.55 | |
| Peak No. | Rt (min) | [M-H]_ | MS/MS Fragments | Tentative Identification | Content (µg/g) | References |
|---|---|---|---|---|---|---|
| 1 | 4.13 | 168.92 | 169, 125 | Gallic acid | 1.59 | [43,44] |
| 2 | 6.11 | 153.03 | 153, 109 | Protocatechuic acid | 3.83 | [45] |
| 3 | 6.96 | 353.08 | 191 | Caffeoylquinic acid isomer | 2.36 | [46,47] |
| 4 | 7.43 | 335.16 | 289, 245, 205, 203, 179, 151, 137, 125, 109 | Epi-catechin | 0.74 | [48,49] |
| 5 | 7.86 | 577.23 | 425, 407, 289, 245, 203, 161, 137, 125 | Procyanidin B2 dimer | 4.28 | [50] |
| 6 | 9.62 | 335.11 | 289, 245, 205, 203, 179, 165, 151, 137, 125, 109 | Catechin | 22.93 | [48,49] |
| 7 | 11.17 | 561.19 | 289, 273, 271, 245 | (Epi)afzelechin-(4-8)-(epi)catechin | 1.14 | [51] |
| 8 | 13.79 | 739.33 | 569, 459, 435, 417, 289, 177 | Cinchonain II | 0.32 | [52,53] |
| 9 | 16.50 | 739.38 | 739, 587, 569, 459, 435, 417, 339, 289, 245, 177 | Cinchonain II isomer 1 | 30.86 | [52,53] |
| 10 | 20.75 | 451.16 | 341, 231, 217, 189, 177 | Cinchonain I | 22.82 | [54] |
| 11 | 22.50 | 739.29 | 569, 477, 459, 449, 435, 417, 339, 289, 177 | Cichonain II isomer 2 | 2.24 | [52,53] |
| 12 | 26.18 | 451.15 | 341, 289, 231, 217, 189 | Cinchonain I isomer 1 | 4.24 | [54] |
| 13 | 31.42 | 451.14 | 341, 231, 217, 189, 177 | Cinchonain I isomer 2 | 0.29 | [54] |
| 14 | 45.29 | 451.13 | 341, 231, 217, 189, 177 | Cinchonain I isomer 3 | 31.76 | [54] |
| 15 | 47.76 | 451.12 | 341, 217, 189, 177 | Cinchonain I isomer 4 | 3.88 | [54] |
| 16 | 57.42 | 447.19 | 447, 403, 323, 295 | Ellagic acid-rhamnoside | 1.00 | [55] |
Publisher’s Note: MDPI stays neutral with regard to jurisdictional claims in published maps and institutional affiliations. |
© 2021 by the authors. Licensee MDPI, Basel, Switzerland. This article is an open access article distributed under the terms and conditions of the Creative Commons Attribution (CC BY) license (http://creativecommons.org/licenses/by/4.0/).
Share and Cite
Mutungi, M.M.; Muema, F.W.; Kimutai, F.; Xu, Y.-B.; Zhang, H.; Chen, G.-L.; Guo, M.-Q. Antioxidant and Antiproliferative Potentials of Ficus glumosa and Its Bioactive Polyphenol Metabolites. Pharmaceuticals 2021, 14, 266. https://doi.org/10.3390/ph14030266
Mutungi MM, Muema FW, Kimutai F, Xu Y-B, Zhang H, Chen G-L, Guo M-Q. Antioxidant and Antiproliferative Potentials of Ficus glumosa and Its Bioactive Polyphenol Metabolites. Pharmaceuticals. 2021; 14(3):266. https://doi.org/10.3390/ph14030266
Chicago/Turabian StyleMutungi, Moses Mutuse, Felix Wambua Muema, Festus Kimutai, Yong-Bing Xu, Hui Zhang, Gui-Lin Chen, and Ming-Quan Guo. 2021. "Antioxidant and Antiproliferative Potentials of Ficus glumosa and Its Bioactive Polyphenol Metabolites" Pharmaceuticals 14, no. 3: 266. https://doi.org/10.3390/ph14030266
APA StyleMutungi, M. M., Muema, F. W., Kimutai, F., Xu, Y.-B., Zhang, H., Chen, G.-L., & Guo, M.-Q. (2021). Antioxidant and Antiproliferative Potentials of Ficus glumosa and Its Bioactive Polyphenol Metabolites. Pharmaceuticals, 14(3), 266. https://doi.org/10.3390/ph14030266

