Abstract
Potent and selective adenosine receptor (AR) agonists are of pharmacological interest for the treatment of a wide range of diseases and conditions. Among these derivatives, nucleoside-based agonists represent the great majority of molecules developed and reported to date. However, the limited availability of compounds selective for a specific AR subtype (i.e., A2BAR) and a generally long and complex synthetic route for largely substituted nucleosides are the main drawbacks of this category of molecules. Non-nucleoside agonists represent an alternative set of compounds able to stimulate the AR function and based on simplified structures. This review provides an updated overview on the structural classes of non-nucleoside AR agonists and their biological activities, with emphasis on the main derivatives reported in the literature. A focus is also given to the synthetic routes employed to develop these derivatives and on molecular modeling studies simulating their interaction with ARs.
1. Introduction
The endogenous nucleoside adenosine regulates a number of physiological and pathological processes through the stimulation of membrane proteins named adenosine receptors (ARs). These proteins are G protein-coupled receptors cloned as four subtypes (A1, A2A, A2B, and A3 ARs) [1,2] and coupled to cytoplasmic GTP-binding proteins that mediate the intracellular effects of AR stimulation. In particular, the stimulation of the A2A and A2B ARs leads to an increase of intracellular cAMP levels through activation of a G protein, while the stimulation of the A1 and A3 ARs leads to a decrease of intracellular cAMP levels through activation of Gi/o proteins. Modulation of further second messengers has also been described, which involves the activation of signaling mechanisms like phospholipase C, Protein Kinase C (PKC), phosphoinositide 3-kinases, ion channels, and the modulation of calcium levels [1,3,4]. The stimulation of the various AR subtypes has effects on Central Nervous System (CNS) and peripheral tissues [5,6], modulating release of neurotransmitters, synaptic transmission [7], heart rate and atrial contractility, vascular smooth muscle tone [8], gastrointestinal functions [9,10], as well as renal [11], platelet [12], and leukocyte [13] functions. Therefore, AR regulation represents a high-potential strategy for the development of therapeutic tools. On the other hand, widespread AR expression requires compounds endowed not only with high potency and efficacy at the various ARs but also with selectivity for specific AR subtypes [14]. To date, a limited number of adenosinergic ligands have been approved for therapy besides Ado itself, that is, the A2AAR agonist Regadenoson (approved as a coronary vasodilator) and the A2AAR antagonist Istradefylline as an anti-Parkinson drug [15,16,17].
Several compounds have been designed and developed as AR agonists, where adenosine generally represents the core scaffold further modified to obtain compounds with various degrees of AR potency and selectivity [18]. The key modifications made to the endogenous ligand are at both the purine moiety and the ribose ring. In the first case, substituents introduced at the 2- and N6-position lead to an improvement of the affinity/potency and often selectivity for specific AR subtypes, depending on the volume and chemical-physical profile of the substituents themselves. A key modification of the ribose moiety is at its 4’-position, with the introduction of an N-alkylcarboxamido function (the so-called MECA, N-methylcarboxamidoadenosine, or NECA, N-ethylcarboxamidoadenosine, derivatives, where the alkyl group consists of a methyl or an ethyl function, respectively) [19,20,21,22]. This modification generally improves the activity at all the AR subtypes with respect to the corresponding adenosine analogues. Conversely, the removal of the ribose moiety or its replacement with a small alkyl group was generally observed as associated to an agonist-to-antagonist switch of the pharmacological profile [23,24,25].
Recent developments in this field have occurred since the publication of some patents and articles in the early 2000s describing non-nucleoside agonists of the ARs [26,27,28,29,30]. The early data are related to non-selective agonists ranging from partial to full agonist profiles. Subsequent reports described further non-nucleoside derivatives endowed with low nanomolar potency and improved selectivity for the A1, A2A, or A2B AR subtypes [30,31,32,33,34,35,36,37,38]. Structural features and biological activity of these molecules, synthetic approaches, and molecular modelling studies simulating the interaction between these compounds and AR targets are reviewed in this work.
2. Non-Nucleoside Agonists of the ARs
2.1. Structural Features and Biological Activity
2.1.1. Pyridine Derivatives
The discovery and development of pyridine-based non-nucleoside agonists of the ARs started from the publication of patents from Bayer describing pyridine derivatives endowed with agonist activity at the ARs [26,27,28,29,39]. These compounds were generally 2-aminopyridines presenting two cyano groups at the 3- and 5-positions, a phenyl group in the 4-position, and in the 6-position a further substituent starting with a methylthio spacer followed by groups of various volumes and chemical-physical properties. The key structural modifications applied to the series were related to the 6-chain and to further substituents to be inserted to the 4-phenyl ring. These studies led to the discovery of compounds of significative importance, in particular for the A1AR. One of these compounds is the A1AR agonist 2-amino-6-[[2-(4-chlorophenyl)-1,3-thiazol-4-yl]methylsulfanyl]-4-[4-(2-hydroxyethoxy)phenyl]pyridine-3,5-dicarbonitrile, also named BAY 68-4986 or Capadenoson (1; Figure 1; Table 1). This compound consists in a 2-aminopyridine presenting two cyano groups at the 3- and 5-positions, a substituted phenyl group in the 4-position, and in the 6-position a thiomethyl spacer with a substituted thiazole. Capadenoson currently represents a reference A1AR partial agonist, endowed with subnanomolar potency at the human A1AR [39,40,41]. Capadenoson was shown to dose-dependently modulate the stress-induced heart rate changes and the release of norepinephrine from cardiac presynaptic nerves in the perfused hearts of spontaneously hypertensive rats [42]. In canine models of heart failure, the administration of Capadenoson improved the left ventricular function and prevented progressive remodeling [43]. In a phase II clinical study, Capadenoson was shown to modulate the heart rate in patients with stable angina [44], even if it was later withdrawn [45]. In another phase II clinical study (patients with persistent or permanent atrial fibrillation), this molecule did not show a relevant effect in the modulation of heart rate [46,47]. Further clinical evaluations of this molecule were not reported. Capadenoson was also studied as modulator of body temperature in rats, showing a slight hypothermic effect compared to the A1AR full agonist CHA [48]. This molecule also showed a favorable DMPK (drug metabolism and pharmacokinetics) profile [39,46] The advantages of the use of partial A1AR agonists were highlighted in one of these works, including the ability of these compounds to not lead to receptor desensitization, the multifaceted set of effects in various tissues where different levels of A1AR expression are observed, the lower risk of producing severe side effects with respect to full agonists [46]. A biased agonism of Capadenoson was also assessed since this compound exhibited high potency in the activation of all the intracellular pathways upon A1AR stimulation, with the exception of the intracellular calcium mobilization, where the effect was lower with respect to other A1AR reference agonists [49]. Considering the AR affinity, Capadenoson showed also a high A1AR selectivity versus the other AR subtypes where the percentage of radioligand displacement was 0–2.5% [36]. In contrast, a recent work reported that this molecule can also bind the A2BAR with a Ki of about 300 nM, but the authors did not specify the affinity at the other subtypes. In the same work, the potency of 1 in functional experiments was given as EC50 equal to 0.66 nM, 1400 nM, and 1.1 nM at the A1, A2A, and A2B ARs, respectively (Table 1) [41].
Figure 1.
Selected pyridine-based non-nucleoside agonists of the adenosine receptors.
Table 1.
Binding affinity (Ki) and potency (EC50) data of selected pyridine-based non-nucleoside agonists of the ARs.
Interestingly, Capadenoson showed a biased agonism also at the A2BAR since it activated the cAMP pathway with higher potency with respect to the other pathways induced by A2BAR stimulation. Structural modifications at the exocyclic amine group of Capadenoson led to the development of the A1AR agonist 2-(((2-(4-chlorophenyl)-1,3-thiazol-4-ylmethyl)sulfanyl)-4-(4-(2-hydroxyethoxy)phenyl)-6-(pyrrolidin-l-yl)pyridine-3,5-dicarbonitrile, also named Neladenoson (2; Figure 1; Table 1). Like Capadenoson, Neladenoson is a selective partial agonists of the A1AR [50,51]. Neladenoson showed cardioprotective effects in rat preclinical models, analogously to Capadenoson, although with lower central effects. A bialanate (alanine–alanine ester) derivative of Neladenoson (in its hydrochloride salt form) was also developed as a prodrug, showing a more favorable pharmacokinetic profile.
Neladenoson bialanate (BAY 1067197; 3; Figure 1) is currently in clinical evaluation for the treatment of chronic heart failure with preserved/reduced ejection fraction (HFpEF and HFrEF, respectively) [50,51,52,53,54,55,56,57]. Early results show a lack of dose-dependent favorable effects on cardiac structure and function and on exercise capacity, with a dose-dependent decrease in renal function [58,59].
Further derivatives of Capadenoson were developed, with the evaluation of their binding affinity and dissociation kinetics properties at the A1AR (as examples are reported compounds 4–8; Figure 1; Table 1). Several of these derivatives were endowed with good A1AR affinity and selectivity, ranging from partial to full agonist profiles [36]. In particular, considering the modifications on the 4-phenyl ring of Capadenoson, the replacement of the para-hydroxyethyloxy substituent with a hydroxy group maintain the A1AR affinity of Capadenoson (5, Ki A1AR = 1.5 nM, versus 1, Ki A1AR = 1.4 nM; Table 1). The replacement of the same moiety with a methoxy group (4) led to the synthesis of a Capadenoson analogue that was further modified at the phenyl group present in the 2-position of the thiazole ring. In this set of derivatives, high A1AR affinities were obtained with compounds presenting a phenyl ring substituted in the para-position with a halogen atom (i.e., 7). In some cases, compounds were found endowed with residence times up to 132 min (4), about 4.7-fold longer than Capadenoson itself [36].
A work by Beukers and colleagues [31] described five 2-aminopyridines derivatives with similarities to Capadenoson, given the presence of two cyano groups at the 3- and 5-positions and a phenyl group in the 4-position. In the 6-position, a thiomethyl spacer with a 2-imidazole ring was inserted. The 4-phenyl group could be further substituted with a hydroxy or methoxy group in the para- or meta-position. Results of biological evaluation of these compounds showed a low nanomolar affinity for the A1 but also for the A2B ARs (9–13; Figure 1; Table 1). The most potent A1 and A2B AR agonists of this group (then named LUF5844, 10, and LUF5845, 11, respectively) present a methoxy group in the meta- or para-position 4-phenyl ring, respectively. A modification of LUF5844 by substituting the imidazole ring with a 6-methylpyridin-2-yl group led to the development of the compound 2-amino-4-(3-methoxyphenyl)-6-(2-(6-methylpyridin-2-yl)ethyl)pyridine-3,5-dicarbo- nitrile (MMPD; 14; Figure 1; Table 1), a partial A1AR agonist endowed with subnanomolar affinity for this receptor and high selectivity versus the other AR subtypes. This compound was also developed as a radioligand useful for Positron Emission Tomography (PET) imaging in the brain, given its good pharmacokinetics profile related to the ability to cross the Blood Brain Barrier (BBB) [60,61]. Even the compound 2-amino-4-(4-hydroxy phenyl)-6-(1H-imidazol-2ylmethylsulfanyl)-pyridine-3,5-dicarbonitrile [31], then named LUF5834 (13; Figure 1; Table 1), was developed as a radioligand able to bind to A1AR in both G-protein-coupled and uncoupled conditions with a similar high affinity [34]. Since this molecule showed nanomolar affinity also for the A2AAR, it was employed for a mutagenesis study at this AR subtype, in comparison with the nucleoside derivative CGS21680. Results showed that the potencies of LUF5834 and CGS21680 are differently subjected to variations due to mutations of binding site residues, suggesting different ligand–receptor interactions between nucleoside and non-nucleoside agonists and the A2AAR [37]. The same research group later reported the synthesis and biological evaluation of 9–13 analogues where the imidazolyl-methyl-thio substituent in the 6-position was replaced by a hydroxy-ethyl-thio group [32]. In general, these compounds, (15–19; Figure 1; Table 1), showed A1AR selectivity, with affinity in the nanomolar range. Low nanomolar or subnanomolar potencies of some of these compounds at the A1AR were also reported by Bayer researchers [39]. Interestingly, some of these derivatives showed full agonist activity at the A1AR, while other similar derivatives proved to be inverse agonists of the same receptor. The presence of a small substituent in the meta-position of the 4-phenyl ring generally appeared more important with respect to the insertion of the same group in the para-position for the A1AR affinity and for both agonist and antagonist/inverse agonist activities [32]. One of these compounds, named LUF5831 (17; Figure 1; Table 1), initially showed almost full agonist activity at the A1AR. In a subsequent work [33], the A1AR partial agonist profile of the same compound was reported. Interestingly, the same molecule appeared to maintain the affinity for a mutated A1AR (T277A) differently from the nucleoside agonist cyclopentyladenosine (CPA) that lost its binding ability to the mutated receptor. Furthermore, the affinity of LUF5831 for the A1AR was reduced by the presence of the allosteric modulator PD81,723, which conversely led to an improvement of the A1AR affinity of the nucleoside agonist CPA [33].
This suggested that the interaction between the non-nucleoside agonist LUF5831 and the receptor could involve some residues different with respect to the ones interacting with the nucleoside derivative CPA, as later suggested also at the A2AAR (see above LUF5834) [37].
Further 2-amino-3,5-dicyanopyridines were recently reported, bearing a 2-furyl ring in the 4-position and a thiomethyl chain in the 6-position, further substituted with groups of various volumes, polarity, and chemical-physical properties. Interestingly, all these compounds showed antagonist activity at the A1AR, with affinity data in the low nanomolar range in several cases (as examples are reported compounds 20–24; Figure 1; Table 1). The replacement of the 4-phenyl ring with a 2-furyl group seems critical for the agonist-to-antagonist shift in the intrinsic activity of the compounds [62].
Among the pyridine derivatives acting as agonists at the ARs, a key compound is BAY 60–6583 (25; Figure 1; Table 1). This molecule was introduced as a selective A2BAR agonist, with EC50 potency data at a low nanomolar level [39,65,66]. Various affinity/potency data were then reported for this molecule at the same receptor, in all cases ranging in the nanomolar/submicromolar level [39,63,64,67,68]. These observed variations of affinity or potency may be due to different assay protocols or conditions. Considering the molecular structure, the 3,5-dicyano-6-aminopyridine nucleus is still present, with the introduction of a substituted phenyl ring in the 4-position and a thioacetamide chain in the 2-position. This molecule soon became a reference ligand for pharmacological studies involving the A2BAR, given the low availability of selective ligands for this receptor. In a mutagenesis study at the A2BAR, the potency and efficacy of BAY 60–6583 was tested at various receptor mutants, in comparison to the nucleoside agonist NECA [68]. Results showed that in some cases, the mutations led to different effects for non-nucleoside and nucleoside agonists, considering both the potency (EC50 data) and efficacy as full or partial agonist, in agreement to what was observed at the A1AR [33] and A2AAR [37]. The partial agonist profile of this molecule at the A2BAR was then assessed [69], even if the results of the study suggested the authors to highlight that the intrinsic activity of this molecule could vary from full agonist to antagonist depending on the tissue, the receptor expression level, and the local adenosine concentration. BAY 60–6583 was used for several pharmacological studies, analyzing in particular its cardioprotective effects [70,71]. Beneficial effects of this molecule for obesity [72], lung injury [73], and insulin resistance [74,75] were also reported. Though this molecule never entered in clinical trials, analogues of BAY 60–6583 were synthesized and tested [64]. These derivatives differed from BAY 60–6583 in terms of the substituent on the 4-phenyl ring or the 2-chain (as examples are reported compounds 26–30; Figure 1; Table 1). Interestingly, one of these compounds (28), bearing a cyclopropylmethyloxy group in the para-position of the 4-phenyl ring (like BAY 60–6583) and a 2-imidazolyl-methyl-thio chain in the 2-position, showed low nanomolar potency in functional assay at the A2BAR together with high nanomolar affinity in binding experiments and seems to show an interesting selectivity versus the other AR subtypes. This selectivity is higher compared to analogues bearing the same 2-substituent and presenting in the 4-position a phenyl ring unsubstituted or substituted by smaller groups (9–13; Figure 1; Table 1) [31]. Further derivatives of this work showed A2BAR potency within the nanomolar range, although in some cases with limited selectivity.
2.1.2. Pyrimidine Derivatives
The pyrimidine scaffold was used as a core structure for the development of AR ligands generally endowed with antagonist activity and, in some cases, low nanomolar affinity [76]. These compounds were 2,6-diphenylpyrimidine or 4,6-diphenylpyrimidine derivatives bearing a substituted amide function in the 4- or 2-position, respectively. The second group showed a marked selectivity for the A1AR. Further development of these compounds, obtained by mixing their structural features with the ones of the already described cyanopyridine agonists (see above [31,32]), led to the synthesis of pyrimidine derivatives endowed with inverse agonist activity at the same receptor [77]. The combination of two aromatic rings in the 4- and 5-position of pyrimidine led to the development of an A2BAR antagonist [78]. A few years later, with respect to the publication of the early patents on pyridine derivatives, two patents about cyanopyrimidine derivatives as A2AAR agonists were reported by Otsuka Pharmaceuticals [30,38].
These molecules were 4-amino-6-aryl-5-cyano-2-thiopyrimidines, presenting an acetylamino group in the para-position of the 6-phenyl ring and various substituents within the 2-chain (as examples are reported compounds 31–36; Figure 2; Table 2). These compounds present several similarities compared to the above-described cyanopyridine agonists, with the main difference consisting in the absence of one cyano group of the pyridines substituted by a nitrogen atom in the aromatic scaffold. Several of these compounds were claimed as being endowed with low nanomolar potency at the A2AAR.
Figure 2.
Selected pyrimidine-based non-nucleoside agonists of the adenosine receptors.
Table 2.
Binding affinity (Ki) and potency (EC50) data of selected pyrimidine-based non-nucleoside agonists of the ARs.
In a subsequent work, Louvel and coworkers [35] described cyanopyrimidine obtained by combining structural features of Capadenoson with the pyrimide core. These molecules showed A1AR affinity at a low nanomolar level and a good selectivity for the same receptor, with generally a partial agonist profile (as examples are reported compounds 37–42; Figure 2; Table 2). High A1AR affinities were obtained in particular with compounds bearing a 3,4-methylenedioxy substituent on the 4-phenyl ring and a substituted phenyl ring linked to the thiazole moiety of the 2-substituent, with some analogies with respect to what was observed in a study on pyridine-based Capadenoson analogues [36]. In addition, dissociation kinetics were analyzed and reported for the same compounds.
Pyrimidine analogues bearing a 2-thioarylalkyl chain and an alkyloxy group in the 6-position were developed as AR ligands. These compounds (lacking the 5-cyano group and an aromatic ring within the 6-substituent) showed antagonist activity at the ARs [79]. In a successive work, the same authors tested analogues of these molecules based on a pyrimidine scaffold, with the presence of a phenylmethyloxy chain in the 6-position [80]. Biological evaluation of these compounds showed that they are endowed with micromolar affinity for the A1AR and high nanomolar agonist potency at the same AR subtype (43–44; Figure 2; Table 2). This suggested the importance of the presence of the 5-cyano group and an aromatic ring directly linked to the heterocyclic core to achieve nanomolar affinity at ARs. The pyrimidine core was also fused with a thiazole moiety to obtain thiazolo[5,4-d]pyrimidine agonists of the A2AAR. These compounds mimicked some structural features of adenosine, since the 6-substituent inserted in the bicyclic core of the thiazolopyrimidines appears to provide analogue interaction with the receptor cavity with respect to the adenosine ribose ring, according to molecular modelling studies [81]. Results of the biological evaluation of these compounds showed high nanomolar A2AAR affinity and moderate selectivity for some derivatives, with a partial agonist profile (as example 45; Figure 2; Table 2).
2.2. Synthetic Approaches
As reported above, two main scaffolds of compounds with non-nucleosidic structure and agonist properties for ARs have been identified.
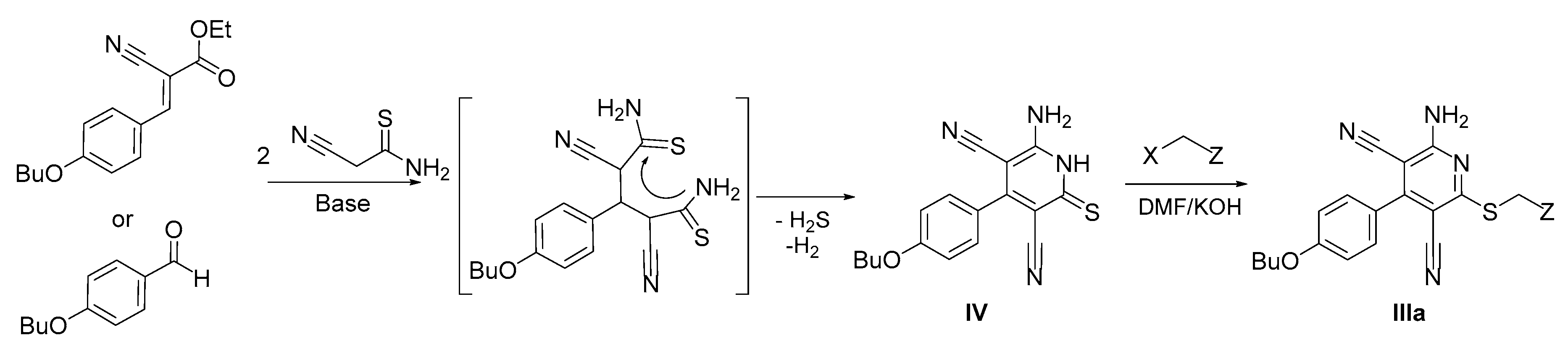
The first series of compounds were substituted 3,5-dicarbonitrile pyridine. Their synthesis and biological evaluation were reported in two patents by Bayer [26,27]. The synthetic procedure involved the reaction of an aldehyde with malononitrile in basic conditions to give the aryilidenemalononitrile, which reacted with another molecule of malononitrile and, in the presence of thiophenol, furnished the 2-amino-4-aryl-6-(phenylthio)pyridine-3,5-dicarbonitriles (general structure I). The latter compound was used for the production of the useful intermediate 6-thiol derivative II by elimination of the phenyl group with sodium sulfide and then treatment with chloridric acid to get the thiol derivative. The reaction of II with the suitable alkylhalide chains furnished the desired final 3,5-dicarbonitrile pyridines III (Scheme 1).
Scheme 1.
Synthetic route to obtain the 3,5-dicarbonitrile pyridines. Reagents and conditions: (a) piperidine, EtOH; (b) malononitrile, thiophenol, Et3N, EtOH; (c) (i) Na2S, DMF, (ii) 1 M HCl; (d) alkylhalide, NaHCO3, DMF; Ar = aryl, R = alkyl.
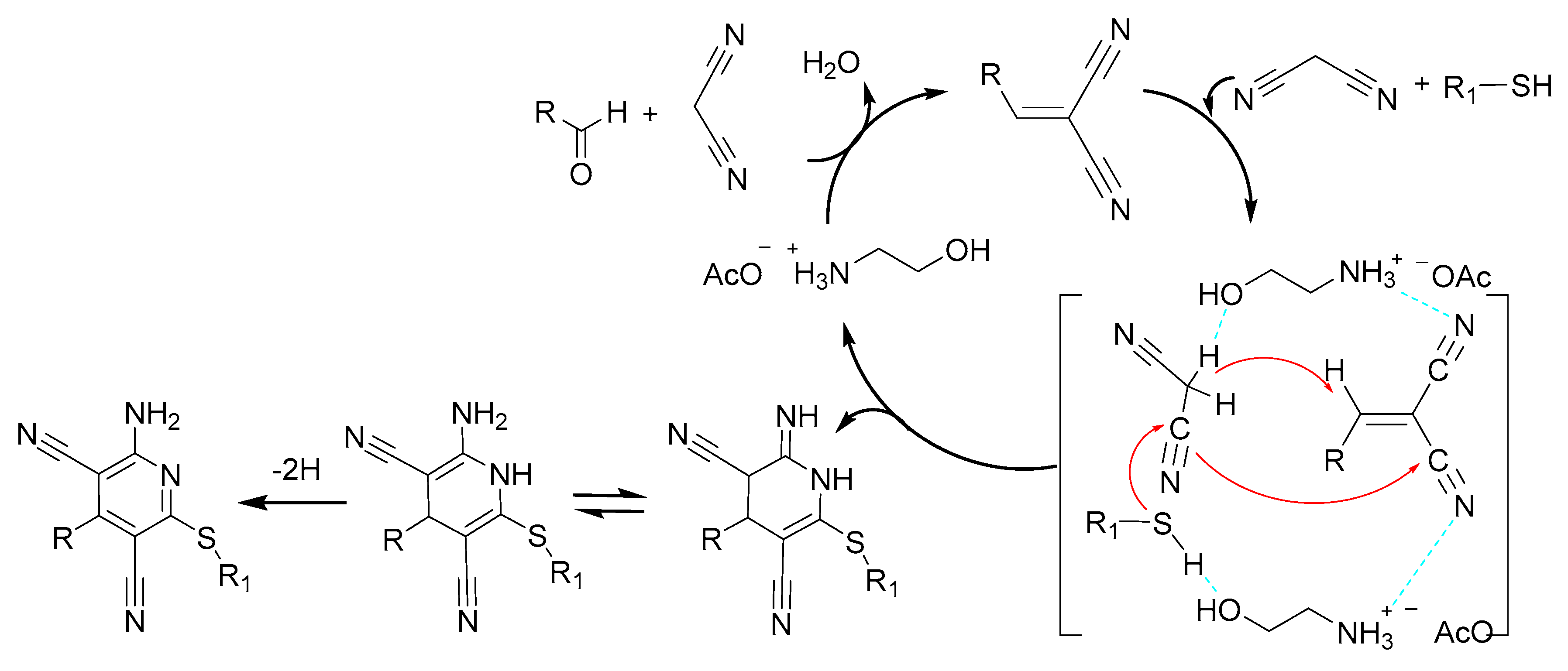
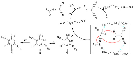
The reaction pathway for the production of such a series of compounds was previously reported by other authors [82,83,84]. In particular Dyachenko and Litvinov obtained the 6-amino-3,5-dicyanopyridine-2(1H)-thione derivatives IIIa from ethyl 3-(4-butoxyphenyl)-2-cyanoacrylate or 4-butoxy benzaldehyde and cyanothioacetamide in basic conditions by N-methylmorpholine with the reaction mechanism suggested, as depicted in Figure 3 [85].
Figure 3.
Mechanism proposed by Dychenko and Litvinov for the cyclization formation of 3,5-dicyano pyridine derivatives. X = Br, Cl; Z = 4-Cl-Ph, CH3COO, PhCO, CH2=CH, NH2CO, H, 4-Br-PhCO, 4-Cl-PhCO, EtCOO, PhCH2COO, 2-oxo-3-pyrazynylcarbonyl, PhNHCO, CN; B = N-methylmorpholine.
Subsequently, on the basis of data previously published in the patent from Bayer, Beukers and coworkers evaluated some 3,5-dicarbonitrile derivatives as human A2B adenosine receptor agonists, which were synthesized with the previously reported procedure [31]. Both the synthetic approaches used the thiol intermediate that was reacted with the suitable organic halide to obtain the final 2-thioalkylpyridine derivatives.
A different methodology was used by Evdokimov and colleagues, who prepared a series of 2-amino-3,5-dicyano-6-sulfanylpyridines and 1,4-dihydropyridines via a single-step, three-component reaction of malononitrile with different aldehydes and thiols (Scheme 2) [86].
Scheme 2.
Synthesis of the 2-amino-3,5-dicyano-6-sulfanylpyridines via the single-step, three-component reaction.
The hypothesized mechanism of the reaction includes the formation of 1,4-dihydropyridines, which undergo oxidation by the Knoevenagel adducts rather than air oxygen (Figure 4). As base, 1,4-diazabicyclo[2.2.2]octane (DABCO) or trimethylamine was used and 2-amino-3,5-dicarbonitrile-6-thio-pyridine derivatives in 20–48% yields were obtained due to the formation of 1,4-dihydropyridines as side products.
Figure 4.
Reaction mechanism of the single-step, three-component reaction formulated by Evdokimov.
Due to the importance such a class of molecules has acquired over the time, several other synthetic routes have been attempted. In particular, in one of them are reported conditions that led to the use of less pollutant reagent/catalyst/waste or better yields using a different catalytic agent.
Sridhar and co-workers [87] firstly reported the application of Lewis acids as catalysts in the preparation of this class of compounds using the single-step approach to react the suitable aldehyde with malononitrile and thiophenol. Furthermore, a comparison of conventional or microwave heating to obtain the 2-amino-3,5-dicarbonitrile-6-(phenylthio)pyridine-4-substituted intermediates was described. The substitution of the base catalysis with the Lewis acid led to a doubling of the yield of the reaction when ZnCl2 was used as Lewis acid (Figure 5). Comparing the two methods, it is possible to assume that there was not an increment of the yield with the microwave protocol, but in this case, a few minutes of heating was sufficient to obtain the final product with good yield.
Figure 5.
Reaction mechanism theorized when the Lewis acid ZnCl2 was used.
Subsequently, other authors used the same approach but using different Lewis acids. Kottawar and colleagues used scandium triflate to produce highly substituted pyridines. In this case, the yields of the reaction were subject to the used aldehyde, but they performed the reaction on a great variety of aldehydes to furnish a good library of data in the production of 3,5-dicyanopyridines [88]. The increasingly eco-friendly requirements for synthetic protocols pushed several researchers to also look for new materials and conditions. Takale and co-workers [89] investigated the use of iodoxybenzoic acid (IBX) in aqueous media as an oxidant catalyst. The activity of IBX was compared with other compounds such as β-cyclodextrin, ceric ammonium nitrate or sulfate, tetrabutylammonium hydrogen sulphate, urea hydrogen peroxide, and cupreous chloride at reflux conditions for 3–5 h, but the yields of recovered product were 32–60%, while with IBX at 70 °C, for a 1.5 h reaction time, the yield was 80%. Additionally, the catalyst could be recovered and reused as it maintains its catalytic property. Thimmaiah and colleagues [90] set up a multicomponent reaction for the production of 2-amino-3,5-dicarbonitrile-6-thio-pyridines using heterogeneous catalysis by Zn(II) or a Cd(II) metal–organic framework (MOF). The advantages of the method were the tolerability of different functional groups present on the substrates, the recovery and reuse of the catalysts, and the fact that the reaction does not necessitate the use of any organic solvent. Moreover, in these conditions, the reaction requires less reaction time (30–60 min), with, in general, very high yields of the product isolated by column chromatography.
Among the nanoparticle materials, CuI nanoparticles were also used as a worthwhile and reusable catalyst supply and eco-friendly procedure for the synthesis of 2-amino-3,5-dicyano-6-sulfanyl pyridine derivatives. The products were obtained, in the better conditions, using CuI with a high specific surface area and approximately crystalline size of 60 nm in ethanol/water under reflux conditions. The reaction took 100 min and via a multicomponent reaction of 4-chlorobenzaaldehyde, malononitrile, and thiophenol under reflux conditions, gave a 90% yield on the isolated product. The method presented is mild, efficient, inexpensive, and satisfactory to give the products in the presence of novel nanoscale materials [91].
Another approach to furnish this class of compounds was the use of ionic liquids. This approach has the advantage of the use of solvents with very low vapor pressure, good thermal stability, and the possibility to recycle and reuse them. The use of the ionic liquids is strategic also because gas, and in particular oxygen, can be present in the solvent at a greater concentration versus other organic solvents, allowing the easy dehydrogenation of 1,4-dihydropyridines leading to the pyridine derivatives by aromatization of the intermediate. Tian and Guo used 1-butyl-3-methylimidazolium tetrafluoroborate ([bmim]BF4) as an ionic liquid, which gave a higher yield of 2-amino-4-phenyl-6-(phenylsulfanyl)-3,5-dicyanopyridines with respect to the corresponding chlorine or bromine ionic halide liquids [92]. In this case, the reaction was performed with the three-component approach, aromatic aldehyde, malononitrile, and thiophenol, at 50 °C. The advantages of the method were the very high yields (78–89%), the short reaction time (20–30 min) together with high selectivity and milder reaction conditions, and the recovery and reuse of the solvent.
Other authors used 2-hydroxyethylammonium acetate (2-HEAA) as an ionic liquid for the multicomponent reaction [93]. By using 2-HEAA, the reaction was kept at room temperature for 5 min. Water was added to work up the reaction mixture from which the product was filtered off and the ionic liquid recovered after evaporation of the filtrate and drying at 100 °C under vacuum. The reuse of the solvents, recovered from a previous reaction batch, led to obtaining the desired product with an almost quantitative yield in the usual time. The authors hypothesized a mutual activation of the substrates and the ionic liquid, as shown in Figure 6.
Figure 6.
Reaction mechanism hypothesized for the mutual activation of the substrates and the ionic liquid.
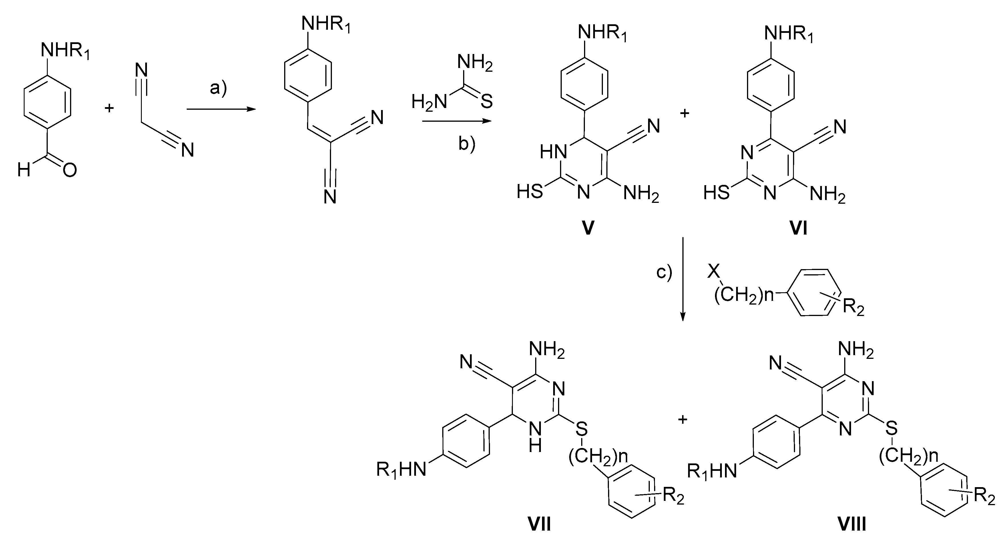
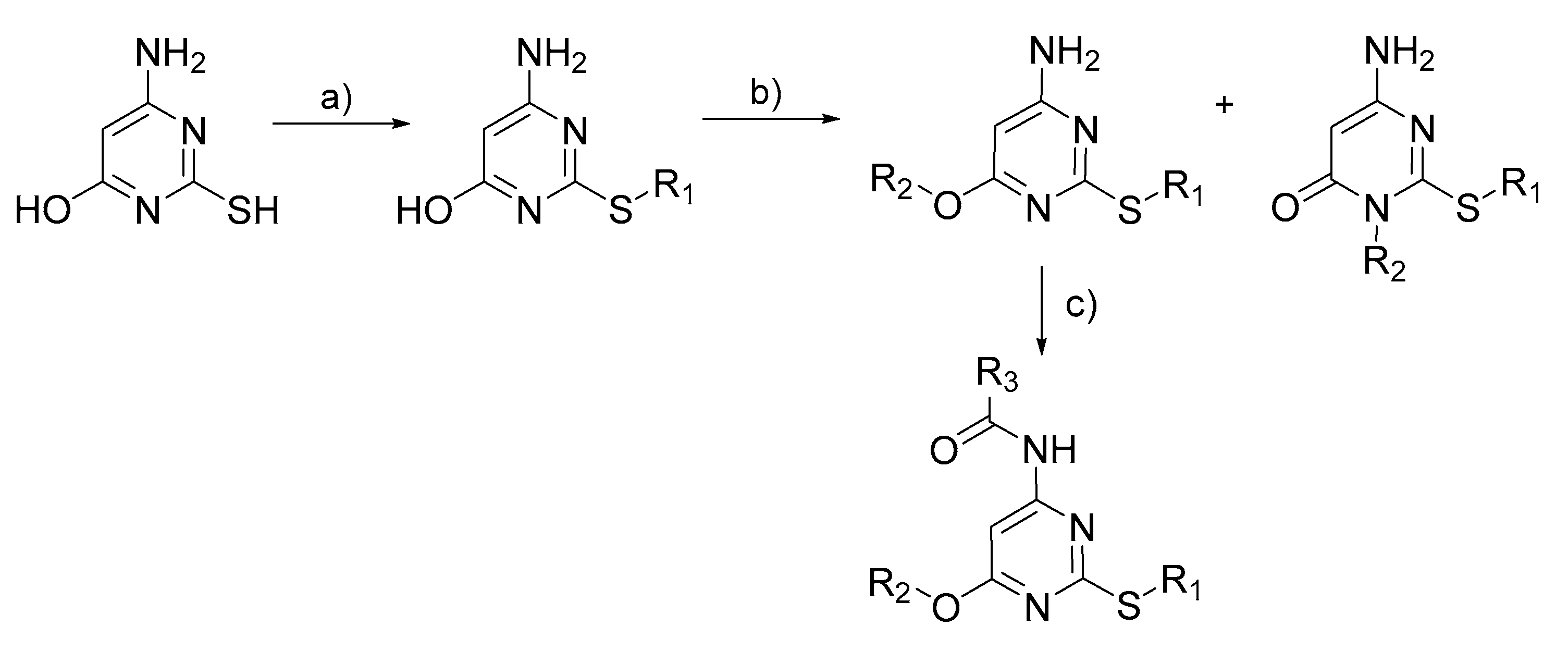
In 2008, a patent (WO/2005/105778) by Otsuka Pharmaceutical reported the synthesis of 4-amino-5-cyanopyrimidine derivatives as potent A2AAR agonists (second series of derivatives). Compounds were obtained through the synthesis of the intermediate 2-mercapto-4-substituted pyrimidine VI (Scheme 3). The scaffold was obtained using a previously reported procedure [94], by reaction of the useful substituted benzaldehyde with malononitrile, using ethanol as solvent, and an equimolar amount of an organic base, such as piperidine, at room temperature to give the 2-(4-substitutedbenzylidene)malononitrile. The latter compound was reacted with thiourea [95] in ethanol and in the presence of sodium ethoxide at reflux to obtain a mixture of pyrimidine or dehydropyrimidine derivatives V and VI. The reaction of the mixture of compounds with the suitable alkyl-aryl-halide in DMF as solvent, and in the presence of sodium bicarbonate as the base at room temperature, furnished the desired final compounds as 2-alkylthiopyrimidines VIII or 2-alkylthiodehydropyrimidines VII. The dihydro compound V can be transformed to the pyrimidine derivative VI by an oxidation reaction.
Scheme 3.
Synthetic route for the pyrimidine derivatives with agonist properties at ARs. Reagents and conditions: a) piperidine, EtOH, r.t.; b) EtONa, EtOH, reflux; c) NaHCO3, DMF, r.t.
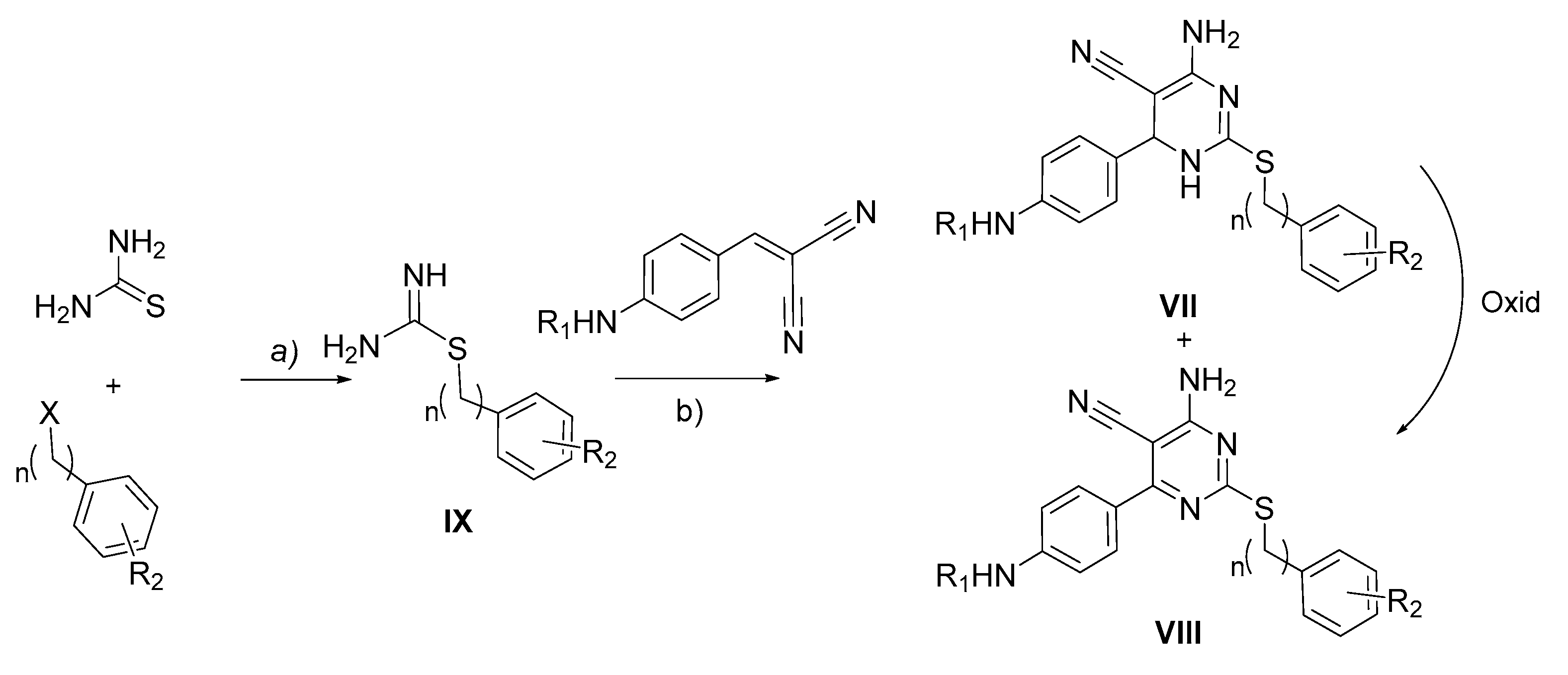
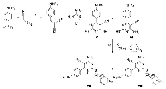
Treatment with N-bromosuccinimide (NBS) in ethanol or using 2,3-dichloro-5,6-dicyanobenzoquinone (DDQ) in dioxane at reflux transformed the dehydro derivative V in the oxidized compound VI. Alternatively, the final compound could also be obtained by reaction of the thiourea with the alkyl-aryl-halide through the S-alkyl isothioureas IX. The reaction was performed in ethanol in the presence of a base or an acid at 60 °C. The intermediate was obtained as a free form or a salt form [96]. The S-alkyl isothioureas IX was then reacted with the benzylidene-malononitriles in ethanol and in the presence of sodium bicarbonate to furnish the desired compounds VIII (Scheme 4) [97].
Scheme 4.
Alternative route for the synthesis of the pyrimidine derivatives. Reagents and conditions: a) base/acid, EtOH, 60 °C; b) NaHCO3, EtOH.
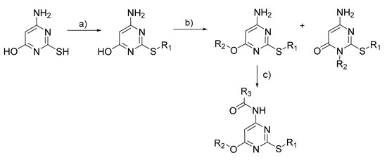
Starting from 2008, Cosimelli and coworkers published a series of compounds with agonist properties for ARs characterized by a common 6-alkoxypyrimidine scaffold [79,80,98]. The synthesis of such compounds was obtained by alkylation of the sulfur atom in the 2-position of the commercially available 4-amino-6-hydroxy-2-mercaptopyrimidine with the suitable alkyl halide in an aqueous solution of sodium hydroxide (Scheme 5). With the aim at alkylating the oxygen atom at 6-position, the 2-S-alkyl pyrimidines where then reacted with the suitable alkyl halide in DMF and excess of potassium carbonate. The reaction furnished a mixture of O- or N-alkylated derivatives due to the keto-enolic equilibrium forms present of the reagent. Finally, the O-alkylated derivatives were reacted with the opportune anhydride and concentrated sulfuric acids as catalyst.
Scheme 5.
Synthesis for the 6-alkoxy-pyrimidines. Reagents and conditions: a) alkyl/alkyl-aryl halide, 1 M NaOH, 50–55 °C; b) alkyl/alkyl-aryl halide, anhydrous DMF, excess K2CO3, reflux; c) anhydride, catalytic conc H2SO4, 50–60 °C.
The identification of non-nucleoside agonists with new scaffolds is very interesting, especially from the synthetic point of view. In fact, before the discovery of the pyridine and pyrimidine derivatives, all AR agonists were adenosine derivatives. Their synthesis is very complex and concerns two different so-called divergent or convergent approaches. In the first, a nucleoside is modified to obtain adenosine derivatives. An example is the synthesis of the full agonist 2-substituted NECA derivatives that can be obtained in about nine steps from guanosine to get the intermediate useful for the synthesis of compounds bearing a substitution in the 2-position, which is important for the selectivity of these compounds versus A2A/A3 AR subtypes [99]. In the “convergent approach”, the nucleosides are obtained by a glycosylation reaction through a modified nitrogen heterocyclic base and a suitable sugar both obtained after modification of commercially available bases and sugars, in different synthetic steps. The disadvantage of this method is that a mixture of different anomeric and isomeric compounds could be obtained based on coupling conditions, heterocyclic base, and sugar structures and reactivity [100,101]. Basically, nucleoside production consists of several synthetic passages, which involve the purification of the products with relatively complex methods and yields of the final products that could be very low due to the formation of side compounds.
The synthesis of nucleoside analogues furnished very potent and selective AR agonists that are actually used as tools to study ARs, and several examples are in clinical trials but in general with poor pharmacokinetic properties and very complex synthetic routes for their realization [4,14,18,61]. Hence, the need to discover non-nucleosidic scaffolds gives the advantage of low-cost compounds obtained with simple and fast methods, and sometimes environmental friendly procedures and fewer waste products. The change in the production of nucleosidic compounds with respect to the non-nucleosidic ones leads to a reduction of the synthetic work, decreases the costs of the production of the new molecules, and, decreasing the amount of waste, reduces the impact on pollution and on the costs of side-product disposal.
2.3. Molecular Modelling
Currently, several X-Ray or cryo-EM structures of ARs in complex with nucleoside agonists are available, in particular of the A2A [102,103,104] and A1 [105] AR subtypes. In contrast, structural experimental data depicting the interaction between non-nucleoside agonists and the ARs are still lacking. Studies were reported describing the effect of mutations of the binding site (or its proximity) residues on the affinity and/or efficacy of AR ligands, in some cases with the comparison of the effects on nucleoside- and non-nucleoside agonist activity. These works suggested different ligand–receptor recognition patterns for these two families of AR agonists. Molecular modelling studies were hence performed to interpret these data and to simulate the potential non-nucleoside agonist conformations within the AR binding cavity [36,37,63,64,68,106,107,108,109].
The docking conformation suggested by the majority of modelling studies presents the purine/pyrimidine scaffold of the agonists positioned analogously to the purine core of the nucleoside agonists (X-Ray/cryo-EM data), between a conserved phenylalanine in the extracellular loop (EL) 2 (i.e., Phe171 in the A1AR) and a conserved isoleucine in the transmembrane (TM) chain 7 (position 7.39 according to the Ballesteros and Weinstein numbering system [110]; in the A1AR, this position is occupied by Ile274 [111]). Figure 7 shows the putative binding mode of Capadenoson (1) and LUF5834 (13) at the A1AR. The exocyclic amine has a polar interaction with a glutamate residue in EL2 (i.e., Glu172 in A1AR) that is conserved among all the AR subtypes apart from the A3AR. The same amine and the cyano group next to this function have a polar interaction with the AR conserved asparagine in the 6.55 position (i.e., Asn254 in the A1AR), while the aromatic ring directly linked to the heterocyclic core points toward the depth of the cavity. The thioarylalkyl chain is oriented toward the extracellular environment. This arrangement appears the most suitable to interpret the activity of Capadenoson analogues at the A1AR or the Otsuka Pharmaceuticals pyrimidine-based A2AAR agonists, since the aromatic ring directly linked to the heterocyclic core generally presents small substituents that may find space within the depth of the binding cavities with no detrimental effect on the compound arrangement.
Figure 7.
Putative binding mode of non-nucleoside agonists at the ARs. Panels (a,b) describe the potential binding mode of Capadenoson (1) and LUF5834 (13), respectively, at the A1AR. Key receptor residues involved in ligand–target interaction are indicated.
The bulky thioarylalkyl chains of these compounds are located at the entrance of the binding cavities, where large amounts of space are available to accommodate these groups. The role of these chains to provide selectivity for a specific AR subtype seems critical since the kind of heterocycle inserted within this substituent modulates AR affinity. In fact, while the presence of an imidazole leads to compounds with nanomolar affinity for A1, A2A, and A2B subtypes, its replacement with a thiazole generally enhances A1AR selectivity. The presence of a pyridyl group appears favorable to improve A2AAR affinity. Modeling studies have not clarified this feature since the thioarylalkyl chain may adopt several arrangements at the entrance of the binding cavity, with a consequent difficulty in the interpretation of the affinity data. The effect of the second cyano group (in the para-position with respect to the exocyclic amine) of the pyridines on the binding affinity has not been totally clarified as well, since compounds lacking this group (i.e., the corresponding pyrimidine derivatives) are endowed with nanomolar affinity for the respective ARs. Compounds bearing this function were suggested to have an additional interaction with a conserved histidine residue in position 7.43 (i.e., His278 in the A1AR).
According to the above-described arrangement, the exocyclic amine would occupy the analogue position of the 6-amine group of nucleoside agonists. Hence, modifications of this group with the insertion of further substituents could follow the “rules” depicted by Structure-Activity Relationship (SAR) analyses of nucleoside analogues. As an example, the insertion of alkyl/cycloalkyl groups in the 6-amine of adenosine led to the development of the selective A1AR agonist cyclopentyladenosine (CPA). Analogously, the modification of the A1AR agonist Capadenoson (1) through the replacement of the exocyclic amine with a pyrrolidinyl group led to the development of Neladenoson (2), another A1AR agonist with improved selectivity versus the A2BAR (see EC50 data of 1 and 2, Table 1). However, this rule appears to not always be respected in the case of non-nucleoside derivatives, since some above-described antagonists presenting analogue docking conformations were modified with the insertion of alkyl groups in the exocyclic amine but the obtained affinities at ARs were generally lower respect to the unmodified compounds [62].
Further arrangements were reported, with some relevant differences with respect to the above-described one. At the A2BAR, docking studies of pyridine-based agonists suggested an additional arrangement with the compounds (Figure 8a) [64,68,106,108].
Figure 8.
Putative binding mode of non-nucleoside agonists at the ARs. Panels (a,b) describe the potential alternative binding mode of non-nucleoside agonists at the A2BAR (BAY 60–6583, 25) and at the A2AAR (33), respectively. Key receptor residues involved in ligand–target interaction are indicated.
This docking conformation makes the heterocyclic core still be located in the center of the binding cavity, but the phenyl ring directly linked to it points toward the extracellular environment, while the thioarylalkyl chain is inserted in the depth of the cavity. The exocyclic amine again has a polar interaction with a glutamate residue in EL2 (i.e., Glu174 in A2BAR), while the polar interaction with the conserved asparagine 6.55 (Asn254 in the A2BAR) is given by the exocyclic amine and the nitrogen atom of the pyridine core, while the cyan group next to the exocyclic amine points toward the extracellular space. However, this arrangement appears possible only for derivatives presenting a small thioarylalkyl group. A further docking conformation was observed at the A2AAR for the Otsuka Pharmaceutical pyrimidine-based agonists (Figure 8b) [109]. This conformation is an upside-down version of the general binding mode described above, with the thioarylalkyl group externally located and the phenyl ring in the depth of the cavity. The exocyclic amine interacts with TM2 residues, while the cyano group points toward the conserved histidine in the 7.43 position (i.e., His278 in the A2AAR). The polar interaction with the conserved asparagine in the 6.55 position (i.e., Asn253 in the A2AAR) is given by one of the nitrogen atoms of the heterocyclic core. This arrangement could be in agreement with the affinity data, but its occurrence apparently depends on the arrangement of the EL2 glutamate residue (i.e., Glu169 in A2AAR) [109].
Experimental (X-Ray/cryo-EM) data would be of great use for interpreting the biological activity of these compounds and for the design of further simplified agonists with high affinity, i.e., for the A3AR, the only AR subtype at which the above-described non-nucleoside agonist presents low or null activity.
3. Conclusions
Agonists of the ARs were only analogues of nucleoside adenosine until the discovery of the agonist properties of some pyridine derivatives in the early 2000s. This discovery prompted researchers to identify new non-nucleoside molecules endowed with increased activity and/or selectivity compared to the various AR subtypes, due to their easy synthesis with respect to the production of nucleosides, especially from the industrial point of view.
This field appears promising, since on the one hand, selective A1, A2A, and A2B AR non-nucleoside agonists have been found only with two heterocyclic scaffolds (pyridine and pyrimidine), On the other hand, selective non-nucleoside agonists of the A3AR subtype have not been yet identified, leaving this goal still open. Finally, the understanding of the binding mode of non-nucleoside structures at the AR cavities could significantly help the design of novel agonists based on a simplified structure, with advantages due to the possibility of exploring different scaffolds and various substituents, which may also lead to good drug-like properties.
Author Contributions
D.D.B., C.L., and R.V. worked on the original draft preparation and data curation; M.B., A.M.N., G.M., and A.S. contributed to the writing and editing of the manuscript.
Funding
This work was supported by the Fondo di Ricerca di Ateneo (University of Camerino) and by a grant of the Italian Ministry for University and Research (PRIN 2015 N° 2015E8EMCM_008).
Conflicts of Interest
The authors declare no conflict of interest.
References
- Fredholm, B.B.; IJzerman, A.P.; Jacobson, K.A.; Klotz, K.-N.; Linden, J. International Union of Pharmacology. XXV. Nomenclature and classification of adenosine receptors. Pharm. Rev. 2001, 53, 527–552. [Google Scholar] [PubMed]
- Robeva, A.S.; Woodard, R.L.; Jin, X.; Gao, Z.; Bhattacharya, S.; Taylor, H.E.; Rosin, D.L.; Linden, J. Molecular characterization of recombinant human adenosine receptors. Drug Dev. Res. 1996, 39, 243–252. [Google Scholar] [CrossRef]
- Fredholm, B.B.; IJzerman, A.P.; Jacobson, K.A.; Linden, J.; Muller, C.E. International Union of Basic and Clinical Pharmacology. LXXXI. Nomenclature and classification of adenosine receptors--an update. Pharm. Rev. 2011, 63, 1–34. [Google Scholar] [CrossRef] [PubMed]
- Borea, P.A.; Gessi, S.; Merighi, S.; Vincenzi, F.; Varani, K. Pharmacology of adenosine receptors: The state of the art. Physiol. Rev. 2018, 98, 1591–1625. [Google Scholar] [CrossRef] [PubMed]
- Cristalli, G.; Volpini, R. Adenosine receptors: Chemistry and pharmacology. Curr. Top. Med. Chem. 2003, 3, 355–469. [Google Scholar] [CrossRef] [PubMed]
- Jacobson, K.A.; Gao, Z.G. Adenosine receptors as therapeutic targets. Nat. Rev. Drug. Discov. 2006, 5, 247–264. [Google Scholar] [CrossRef] [PubMed]
- Sperlagh, B.; Vizi, E.S. The role of extracellular adenosine in chemical neurotransmission in the hippocampus and basal ganglia: Pharmacological and clinical aspects. Curr. Top. Med. Chem. 2011, 11, 1034–1046. [Google Scholar] [CrossRef]
- Headrick, J.P.; Ashton, K.J.; Rose’meyer, R.B.; Peart, J.N. Cardiovascular adenosine receptors: Expression, actions and interactions. Pharm. Ther. 2013, 140, 92–111. [Google Scholar] [CrossRef] [PubMed]
- Dal Ben, D.; Antonioli, L.; Lambertucci, C.; Fornai, M.; Blandizzi, C.; Volpini, R. Purinergic ligands as potential therapeutic Tools for the treatment of inflammation-related intestinal diseases. Front. Pharm. 2018, 9, 212. [Google Scholar] [CrossRef]
- Antonioli, L.; Colucci, R.; Pellegrini, C.; Giustarini, G.; Tuccori, M.; Blandizzi, C.; Fornai, M. The role of purinergic pathways in the pathophysiology of gut diseases: Pharmacological modulation and potential therapeutic applications. Pharm. Ther. 2013, 139, 157–188. [Google Scholar] [CrossRef]
- Vallon, V.; Osswald, H. Adenosine receptors and the kidney. In Adenosine Receptors in Health and Disease; Springer: Berlin/Heidelberg, Germany, 2009; pp. 443–470. [Google Scholar]
- Johnston-Cox, H.A.; Yang, D.; Ravid, K. Physiological implications of adenosine receptor-mediated platelet aggregation. J. Cell. Physiol. 2011, 226, 46–51. [Google Scholar] [CrossRef] [PubMed]
- Linden, J. Regulation of leukocyte function by adenosine receptors. Adv. Pharm. 2011, 61, 95–114. [Google Scholar]
- Chen, J.-F.; Eltzschig, H.K.; Fredholm, B.B. Adenosine receptors as drug targets–What are the challenges? Nat. Rev. Drug Discov. 2013, 12, 265–286. [Google Scholar] [CrossRef] [PubMed]
- CVT. CV Therapeutics and Astellas Announce FDA Approval for Lexiscan(TM) (regadenoson) Injection. Available online: http://www.cvt.com/PressRelease.aspx?releaseID=1128317 (accessed on 10 April 2008).
- Kyowa Hakko Kirin. Approval for Manufacturing and Marketing of NOURIAST® Tablets 20 mg, a Novel Antiparkinsonian Agent. Available online: http://www.kyowa-kirin.com/news_releases/2013/e20130325_04.html (accessed on 7 October 2019).
- FDA. Drug Trials Snapshots: NOURIANZ. Available online: https://www.fda.gov/drugs/drug-trials-snapshots-nourianz (accessed on 7 October 2019).
- Muller, C.E.; Jacobson, K.A. Recent developments in adenosine receptor ligands and their potential as novel drugs. Biochim. Biophys. Acta 2011, 1808, 1290–1308. [Google Scholar] [CrossRef]
- Baraldi, P.G.; Cacciari, B.; Pineda de Las Infantas, M.J.; Romagnoli, R.; Spalluto, G.; Volpini, R.; Costanzi, S.; Vittori, S.; Cristalli, G.; Melman, N.; et al. Synthesis and biological activity of a new series of N6-arylcarbamoyl, 2-(Ar)alkynyl-N6-arylcarbamoyl, and N6-carboxamido derivatives of adenosine-5’-N-ethyluronamide as A1 and A3 adenosine receptor agonists. J. Med. Chem. 1998, 41, 3174–3185. [Google Scholar] [CrossRef] [PubMed]
- Cristalli, G.; Volpini, R.; Vittori, S.; Camaioni, E.; Monopoli, A.; Conti, A.; Dionisotti, S.; Zocchi, C.; Ongini, E. 2-Alkynyl derivatives of adenosine-5′-N-ethyluronamide: Selective A2 adenosine receptor agonists with potent inhibitory activity on platelet aggregation. J. Med. Chem. 1994, 37, 1720–1726. [Google Scholar] [CrossRef] [PubMed]
- Cristalli, G.; Camaioni, E.; Vittori, S.; Volpini, R.; Borea, P.A.; Conti, A.; Dionisotti, S.; Ongini, E.; Monopoli, A. 2-Aralkynyl and 2-heteroalkynyl derivatives of adenosine-5′-N-ethyluronamide as selective A2a adenosine receptor agonists. J. Med. Chem. 1995, 38, 1462–1472. [Google Scholar] [CrossRef] [PubMed]
- Volpini, R.; Buccioni, M.; Dal Ben, D.; Lambertucci, C.; Lammi, C.; Marucci, G.; Ramadori, A.T.; Klotz, K.-N.; Cristalli, G. Synthesis and biological evaluation of 2-alkynyl-N6-methyl-5′-N-methylcarboxamidoadenosine derivatives as potent and highly selective agonists for the human adenosine A3 receptor. J. Med. Chem. 2009, 52, 7897–7900. [Google Scholar] [CrossRef] [PubMed]
- Lambertucci, C.; Antonini, I.; Buccioni, M.; Dal Ben, D.; Kachare, D.D.; Volpini, R.; Klotz, K.-N.; Cristalli, G. 8-Bromo-9-alkyl adenine derivatives as tools for developing new adenosine A2A and A2B receptors ligands. Bioorg. Med. Chem. 2009, 17, 2812–2822. [Google Scholar] [CrossRef] [PubMed]
- Lambertucci, C.; Buccioni, M.; Dal Ben, D.; Kachler, S.; Marucci, G.; Spinaci, A.; Thomas, A.; Klotz, K.-N.; Volpini, R. New substituted 9-propyladenine derivatives as A2A adenosine receptor antagonists. Medchemcomm 2015, 6, 963–970. [Google Scholar] [CrossRef]
- Lambertucci, C.; Spinaci, A.; Buccioni, M.; Dal Ben, D.; Ngouadjeu Ngnintedem, M.A.; Kachler, S.; Marucci, G.; Klotz, K.-N.; Volpini, R. New A2A adenosine receptor antagonists: A structure-based upside-down interaction in the receptor cavity. Bioorg. Chem. 2019, 92. [Google Scholar] [CrossRef] [PubMed]
- Rosentreter, U.; Henning, R.; Bauser, M.; Krämer, T.; Vaupel, A.; Hübsch, W.; Dembowsky, K.; Salcher-Schraufstätter, O.; Stasch, J.P.; Krahn, T.; et al. Substituted 2-Thio-3,5-Dicyano-4-Aryl-6-Aminopyridines and the Use Thereof as Adenosine Receptor Ligands. U.S. Patent 7,135,486, 14 November 2006. [Google Scholar]
- Rosentreter, U.; Krämer, T.; Shimada, M.; Hübsch, W.; Diedrichs, N.; Krahn, T.; Henninger, K.; Stasch, J.P. Substituted 2-Thio-3,5-Dicyano-4-Phenyl-6-Aminopyridines and their Use as Adenosine Receptor-Selective Ligands. U.S. Patent 7,045,631, 16 May 2006. [Google Scholar]
- Rosentreter, U.; Kramer, T.; Vaupel, A.; Hubsch, W.; Diedrichs, N.; Krahn, T.; Dembowsky, K.; Stasch, J.P.; Shimada, M. Substituted 2-Thio-3,5-Dicyano-4-Phenyl-6-Aminopyridines with Adenosine Receptor-Binding Activity and their Use Cardiovascular Preparations. U.S. Patent 7,078,417, 18 July 2006. [Google Scholar]
- Nell, P.; Albrecht-Kupper, B.; Hübsch, W.; Wuttke, M.; Krahn, T.; Diedrichs, N.; Bischoff, H. Use of Adenosine A1 and/or Dual A1/A2B Agonists for Production of Medicaments for Treating Diseases. U.S. Patent Application No. 12/224,417, 25 February 2010. [Google Scholar]
- Kato, M.; Sato, N.; Okada, M.; Uno, T.; Ito, N.; Takeji, Y.; Shinohara, H.; Fuwa, M. 4-Amino-5-Cyanopyrimidine Derivatives. Patent Application KR20070008715, 17 January 2007. [Google Scholar]
- Beukers, M.W.; Chang, L.C.; von Frijtag Drabbe Kunzel, J.K.; Mulder-Krieger, T.; Spanjersberg, R.F.; Brussee, J.; IJzerman, A.P. New, non-adenosine, high-potency agonists for the human adenosine A2B receptor with an improved selectivity profile compared to the reference agonist N-ethylcarboxamidoadenosine. J. Med. Chem. 2004, 47, 3707–3709. [Google Scholar] [CrossRef] [PubMed]
- Chang, L.C.; von Frijtag Drabbe Kunzel, J.K.; Mulder-Krieger, T.; Spanjersberg, R.F.; Roerink, S.F.; van den Hout, G.; Beukers, M.W.; Brussee, J.; IJzerman, A.P. A series of ligands displaying a remarkable agonistic-antagonistic profile at the adenosine A1 receptor. J. Med. Chem. 2005, 48, 2045–2053. [Google Scholar] [CrossRef] [PubMed]
- Heitman, L.H.; Mulder-Krieger, T.; Spanjersberg, R.F.; von Frijtag Drabbe Kunzel, J.K.; Dalpiaz, A.; IJzerman, A.P. Allosteric modulation, thermodynamics and binding to wild-type and mutant (T277A) adenosine A1 receptors of LUF5831, a novel nonadenosine-like agonist. Br. J. Pharm. 2006, 147, 533–541. [Google Scholar] [CrossRef] [PubMed]
- Lane, J.R.; Klaasse, E.; Lin, J.; van Bruchem, J.; Beukers, M.W.; IJzerman, A.P. Characterization of [3H] LUF5834: A novel non-ribose high-affinity agonist radioligand for the adenosine A1 receptor. Biochem. Pharm. 2010, 80, 1180–1189. [Google Scholar] [CrossRef] [PubMed]
- Louvel, J.; Guo, D.; Agliardi, M.; Mocking, T.A.; Kars, R.; Pham, T.P.; Xia, L.; de Vries, H.; Brussee, J.; Heitman, L.H.; et al. Agonists for the adenosine A1 receptor with tunable residence time. A Case for nonribose 4-amino-6-aryl-5-cyano-2-thiopyrimidines. J. Med. Chem. 2014, 57, 3213–3222. [Google Scholar] [CrossRef] [PubMed]
- Louvel, J.; Guo, D.; Soethoudt, M.; Mocking, T.A.; Lenselink, E.B.; Mulder-Krieger, T.; Heitman, L.H.; IJzerman, A.P. Structure-kinetics relationships of Capadenoson derivatives as adenosine A1 receptor agonists. Eur. J. Med. Chem. 2015, 101, 681–691. [Google Scholar] [CrossRef] [PubMed]
- Lane, J.R.; Klein Herenbrink, C.; van Westen, G.J.; Spoorendonk, J.A.; Hoffmann, C.; IJzerman, A.P. A novel nonribose agonist, LUF5834, engages residues that are distinct from those of adenosine-like ligands to activate the adenosine A2A receptor. Mol. Pharm. 2012, 81, 475–487. [Google Scholar] [CrossRef] [PubMed]
- Sato, N.; Yuki, Y.; Shinohara, H.; Takeji, Y.; Ito, K.; Michikami, D.; Hino, K.; Yamazaki, H. A Novel Cyanopyrimidine Derivative. Patent Application KR20100111687, 15 October 2010. [Google Scholar]
- Nell, P.G.; Albrecht-Kupper, B. The Adenosine A1 Receptor and its Ligands. Prog. Med. Chem. 2009, 47, 163–201. [Google Scholar] [PubMed]
- Kiesman, W.F.; Elzein, E.; Zablocki, J. A1 adenosine receptor antagonists, agonists, and allosteric enhancers. In Adenosine Receptors in Health and Disease; Springer: Berlin/Heidelberg, Germany, 2009; pp. 25–58. [Google Scholar]
- Baltos, J.A.; Vecchio, E.A.; Harris, M.A.; Qin, C.X.; Ritchie, R.H.; Christopoulos, A.; White, P.J.; May, L.T. Capadenoson, a clinically trialed partial adenosine A1 receptor agonist, can stimulate adenosine A2B receptor biased agonism. Biochem. Pharm. 2017, 135, 79–89. [Google Scholar] [CrossRef] [PubMed]
- Bott-Flugel, L.; Bernshausen, A.; Schneider, H.; Luppa, P.; Zimmermann, K.; Albrecht-Kupper, B.; Kast, R.; Laugwitz, K.L.; Ehmke, H.; Knorr, A.; et al. Selective attenuation of norepinephrine release and stress-induced heart rate increase by partial adenosine A1 agonism. PLoS ONE 2011, 6, e18048. [Google Scholar] [CrossRef] [PubMed]
- Sabbah, H.N.; Gupta, R.C.; Kohli, S.; Wang, M.; Rastogi, S.; Zhang, K.; Zimmermann, K.; Diedrichs, N.; Albrecht-Kupper, B.E. Chronic therapy with a partial adenosine A1-receptor agonist improves left ventricular function and remodeling in dogs with advanced heart failure. Circ. Heart Fail. 2013, 6, 563–571. [Google Scholar] [CrossRef] [PubMed]
- Tendera, M.; Gaszewska-Zurek, E.; Parma, Z.; Ponikowski, P.; Jankowska, E.; Kawecka-Jaszcz, K.; Czarnecka, D.; Krzeminska-Pakula, M.; Bednarkiewicz, Z.; Sosnowski, M.; et al. The new oral adenosine A1 receptor agonist capadenoson in male patients with stable angina. Clin. Res. Cardiol. 2012, 101, 585–591. [Google Scholar] [CrossRef] [PubMed]
- Clinicaltrials.gov. Capadenoson in Angina Pectoris. Available online: https://clinicaltrials.gov/ct2/show/NCT00518921 (accessed on 7 October 2019).
- Albrecht-Kupper, B.E.; Leineweber, K.; Nell, P.G. Partial adenosine A1 receptor agonists for cardiovascular therapies. Purinergic Signal 2012, 8, 91–99. [Google Scholar] [CrossRef] [PubMed]
- Clinicaltrials.gov. Available online: https://clinicaltrials.gov/ct2/show/NCT00568945 (accessed on 7 October 2019).
- Bailey, I.R.; Laughlin, B.; Moore, L.A.; Bogren, L.K.; Barati, Z.; Drew, K.L. Optimization of Thermolytic Response to A1 Adenosine Receptor Agonists in Rats. J. Pharm. Exp. Ther. 2017, 362, 424–430. [Google Scholar] [CrossRef] [PubMed]
- Baltos, J.A.; Gregory, K.J.; White, P.J.; Sexton, P.M.; Christopoulos, A.; May, L.T. Quantification of adenosine A1 receptor biased agonism: Implications for drug discovery. Biochem. Pharm. 2016, 99, 101–112. [Google Scholar] [CrossRef] [PubMed]
- Meibom, D.; Albrecht-Kupper, B.; Diedrichs, N.; Hubsch, W.; Kast, R.; Kramer, T.; Krenz, U.; Lerchen, H.G.; Mittendorf, J.; Nell, P.G.; et al. Neladenoson bialanate hydrochloride: A prodrug of a partial adenosine A1 receptor agonist for the chronic treatment of heart diseases. Chem. Med. Chem. 2017, 12, 728–737. [Google Scholar] [CrossRef] [PubMed]
- Voors, A.A.; Dungen, H.D.; Senni, M.; Nodari, S.; Agostoni, P.; Ponikowski, P.; Bax, J.J.; Butler, J.; Kim, R.J.; Dorhout, B.; et al. Safety and tolerability of neladenoson bialanate, a novel oral partial adenosine A1 receptor agonist, in patients with chronic heart failure. J. Clin. Pharm. 2017, 57, 440–451. [Google Scholar] [CrossRef]
- Dinh, W.; Albrecht-Kupper, B.; Gheorghiade, M.; Voors, A.A.; van der Laan, M.; Sabbah, H.N. Partial adenosine A1 agonist in heart failure. Handb. Exp. Pharm. 2017, 243, 177–203. [Google Scholar]
- Tamargo, J.; Caballero, R.; Delpon, E. New drugs in preclinical and early stage clinical development in the treatment of heart failure. Expert Opin. Investig. Drugs 2019, 28, 51–71. [Google Scholar] [CrossRef]
- Rossignol, P.; Hernandez, A.F.; Solomon, S.D.; Zannad, F. Heart failure drug treatment. Lancet 2019, 393, 1034–1044. [Google Scholar] [CrossRef]
- Deb, P.K.; Deka, S.; Borah, P.; Abed, S.N.; Klotz, K.-N. Medicinal chemistry and therapeutic potential of agonists, antagonists and allosteric modulators of A1 adenosine receptor: Current status and perspectives. Curr. Pharm. Des. 2019. [Google Scholar] [CrossRef] [PubMed]
- Clinicaltrials.gov. A Trial to Study Neladenoson Bialanate Over 20 Weeks in Patients with Chronic Heart Failure with Preserved Ejection Fraction (PANACHE). Available online: https://www.clinicaltrials.gov/ct2/show/NCT03098979 (accessed on 7 October 2019).
- Clinicaltrials.gov. A Trial to Study Neladenoson Bialanate Over 20 Weeks in Patients with Chronic Heart Failure with Reduced Ejection Fraction (PANTHEON). Available online: https://www.clinicaltrials.gov/ct2/show/NCT02992288 (accessed on 7 October 2019).
- Voors, A.A.; Bax, J.J.; Hernandez, A.F.; Wirtz, A.B.; Pap, A.F.; Ferreira, A.C.; Senni, M.; van der Laan, M.; Butler, J. Safety and efficacy of the partial adenosine A1 receptor agonist neladenoson bialanate in patients with chronic heart failure with reduced ejection fraction: a phase IIb, randomized, double-blind, placebo-controlled trial. Eur. J. Heart Fail. 2019. [Google Scholar] [CrossRef] [PubMed]
- Shah, S.J.; Voors, A.A.; McMurray, J.J.V.; Kitzman, D.W.; Viethen, T.; Bomfim Wirtz, A.; Huang, E.; Pap, A.F.; Solomon, S.D. Effect of neladenoson bialanate on exercise capacity among patients with heart failure with preserved ejection fraction: a randomized clinical trial. JAMA 2019, 321, 2101–2112. [Google Scholar] [CrossRef] [PubMed]
- Guo, M.; Gao, Z.G.; Tyler, R.; Stodden, T.; Li, Y.; Ramsey, J.; Zhao, W.J.; Wang, G.J.; Wiers, C.E.; Fowler, J.S.; et al. Preclinical Evaluation of the First Adenosine A1 Receptor Partial Agonist Radioligand for Positron Emission Tomography Imaging. J. Med. Chem. 2018, 61, 9966–9975. [Google Scholar] [CrossRef]
- Jacobson, K.A.; Tosh, D.K.; Jain, S.; Gao, Z.G. Historical and Current Adenosine Receptor Agonists in Preclinical and Clinical Development. Front. Cell Neurosci. 2019, 13, 124. [Google Scholar] [CrossRef] [PubMed]
- Betti, M.; Catarzi, D.; Varano, F.; Falsini, M.; Varani, K.; Vincenzi, F.; Pasquini, S.; di Cesare Mannelli, L.; Ghelardini, C.; Lucarini, E.; et al. Modifications on the Amino-3,5-dicyanopyridine Core to Obtain Multifaceted Adenosine Receptor Ligands with Antineuropathic Activity. J. Med. Chem. 2019, 62, 6894–6912. [Google Scholar] [CrossRef] [PubMed]
- Seibt, B.F.; Schiedel, A.C.; Thimm, D.; Hinz, S.; Sherbiny, F.F.; Muller, C.E. The second extracellular loop of GPCRs determines subtype-selectivity and controls efficacy as evidenced by loop exchange study at A2 adenosine receptors. Biochem. Pharmacol. 2013, 85, 1317–1329. [Google Scholar] [CrossRef] [PubMed]
- Betti, M.; Catarzi, D.; Varano, F.; Falsini, M.; Varani, K.; Vincenzi, F.; Dal Ben, D.; Lambertucci, C.; Colotta, V. The aminopyridine-3,5-dicarbonitrile core for the design of new non-nucleoside-like agonists of the human adenosine A2B receptor. Eur. J. Med. Chem. 2018, 150, 127–139. [Google Scholar] [CrossRef]
- Eckle, T.; Krahn, T.; Grenz, A.; Kohler, D.; Mittelbronn, M.; Ledent, C.; Jacobson, M.A.; Osswald, H.; Thompson, L.F.; Unertl, K.; et al. Cardioprotection by ecto-5’-nucleotidase (CD73) and A2B adenosine receptors. Circulation 2007, 115, 1581–1590. [Google Scholar] [CrossRef] [PubMed]
- Baraldi, P.G.; Tabrizi, M.A.; Fruttarolo, F.; Romagnoli, R.; Preti, D. Recent improvements in the development of A2B adenosine receptor agonists. Purinergic Signal. 2009, 5, 3–19. [Google Scholar] [CrossRef] [PubMed]
- Schiedel, A.C.; Hinz, S.; Thimm, D.; Sherbiny, F.; Borrmann, T.; Maass, A.; Muller, C.E. The four cysteine residues in the second extracellular loop of the human adenosine A2B receptor: role in ligand binding and receptor function. Biochem. Pharm. 2011, 82, 389–399. [Google Scholar] [CrossRef] [PubMed]
- Thimm, D.; Schiedel, A.C.; Sherbiny, F.F.; Hinz, S.; Hochheiser, K.; Bertarelli, D.C.G.; Maass, A.; Müller, C.E. Ligand-Specific binding and activation of the human adenosine A2B receptor. Biochemistry 2013, 52, 726–740. [Google Scholar] [CrossRef] [PubMed]
- Hinz, S.; Lacher, S.K.; Seibt, B.F.; Muller, C.E. BAY60-6583 acts as a partial agonist at adenosine A2B receptors. J. Pharm. Exp. Ther. 2014, 349, 427–436. [Google Scholar] [CrossRef] [PubMed]
- Tian, Y.; Piras, B.A.; Kron, I.L.; French, B.A.; Yang, Z. Adenosine 2B receptor activation reduces myocardial reperfusion injury by promoting anti-inflammatory macrophages differentiation via PI3K/Akt pathway. Oxid. Med. Cell. Longev. 2015, 2015, 585297. [Google Scholar] [CrossRef] [PubMed]
- Ni, Y.; Liang, D.; Tian, Y.; Kron, I.L.; French, B.A.; Yang, Z. Infarct-Sparing effect of adenosine A2B receptor agonist is primarily due to its action on splenic leukocytes via a PI3K/Akt/IL-10 pathway. J. Surg. Res. 2018, 232, 442–449. [Google Scholar] [CrossRef] [PubMed]
- Johnston-Cox, H.; Koupenova, M.; Yang, D.; Corkey, B.; Gokce, N.; Farb, M.G.; LeBrasseur, N.; Ravid, K. The A2B adenosine receptor modulates glucose homeostasis and obesity. PLoS ONE 2012, 7, e40584. [Google Scholar] [CrossRef] [PubMed]
- Hoegl, S.; Brodsky, K.S.; Blackburn, M.R.; Karmouty-Quintana, H.; Zwissler, B.; Eltzschig, H.K. Alveolar epithelial A2B adenosine receptors in pulmonary protection during acute lung injury. J. Immunol. 2015, 195, 1815–1824. [Google Scholar] [CrossRef]
- Johnston-Cox, H.; Eisenstein, A.S.; Koupenova, M.; Carroll, S.; Ravid, K. The macrophage A2B adenosine receptor regulates tissue insulin sensitivity. PLoS ONE 2014, 9, e98775. [Google Scholar] [CrossRef]
- Csoka, B.; Koscso, B.; Toro, G.; Kokai, E.; Virag, L.; Nemeth, Z.H.; Pacher, P.; Bai, P.; Hasko, G. A2B adenosine receptors prevent insulin resistance by inhibiting adipose tissue inflammation via maintaining alternative macrophage activation. Diabetes 2014, 63, 850–866. [Google Scholar] [CrossRef]
- Chang, L.C.; Spanjersberg, R.F.; von Frijtag Drabbe Kunzel, J.K.; Mulder-Krieger, T.; van den Hout, G.; Beukers, M.W.; Brussee, J.; IJzerman, A.P. 2,4,6-trisubstituted pyrimidines as a new class of selective adenosine A1 receptor antagonists. J. Med. Chem. 2004, 47, 6529–6540. [Google Scholar] [CrossRef] [PubMed]
- van Veldhoven, J.P.; Chang, L.C.; von Frijtag Drabbe Kunzel, J.K.; Mulder-Krieger, T.; Struensee-Link, R.; Beukers, M.W.; Brussee, J.; IJzerman, A.P. A new generation of adenosine receptor antagonists: from di- to trisubstituted aminopyrimidines. Bioorg. Med. Chem. 2008, 16, 2741–2752. [Google Scholar] [CrossRef] [PubMed]
- Vidal, B.; Nueda, A.; Esteve, C.; Domenech, T.; Benito, S.; Reinoso, R.F.; Pont, M.; Calbet, M.; Lopez, R.; Cadavid, M.I.; et al. Discovery and characterization of 4’-(2-furyl)-N-pyridin-3-yl-4,5’-bipyrimidin-2’-amine (LAS38096), a potent, selective, and efficacious A2B adenosine receptor antagonist. J. Med. Chem. 2007, 50, 2732–2736. [Google Scholar] [CrossRef] [PubMed]
- Cosimelli, B.; Greco, G.; Laneri, S.; Novellino, E.; Sacchi, A.; Trincavelli, M.L.; Giacomelli, C.; Taliani, S.; Da Settimo, F.; Martini, C. 4-amino-6-alkyloxy-2-alkylthiopyrimidine derivatives as novel non-nucleoside agonists for the adenosine A1 receptor. Chem. Biol. Drug Des. 2016, 88, 724–729. [Google Scholar] [CrossRef] [PubMed]
- Bharate, S.B.; Singh, B.; Kachler, S.; Oliveira, A.; Kumar, V.; Bharate, S.S.; Vishwakarma, R.A.; Klotz, K.-N.; Gutierrez de Teran, H. Discovery of 7-(Prolinol-N-yl)-2-phenylamino-thiazolo[5,4-d]pyrimidines as novel non-nucleoside partial agonists for the A2A adenosine receptor: Prediction from molecular modeling. J. Med. Chem. 2016, 59, 5922–5928. [Google Scholar] [CrossRef] [PubMed]
- Cosimelli, B.; Greco, G.; Ehlardo, M.; Novellino, E.; Da Settimo, F.; Taliani, S.; La Motta, C.; Bellandi, M.; Tuccinardi, T.; Martinelli, A.; et al. Derivatives of 4-amino-6-hydroxy-2-mercaptopyrimidine as novel, potent, and selective A3 adenosine receptor antagonists. J. Med. Chem. 2008, 51, 1764–1770. [Google Scholar] [CrossRef]
- Dyachenko, V.D.; Krivokolysko, S.; Sharanin, Y.; Litvinov, V.P. New route to 6-amino-4-aryl-3,5-dicyano-pyridine-2(1H)-thiones. Russ. J. Org. Chem. 1997, 33, 1014–1017. [Google Scholar]
- Dyachenko, V.D.; Krivokolysko, S.; Sharanin, Y.; Litvinov, V.P. Synthesis and recyclization of 4-aryl-2,6-diamino-3,5-dicyano-4H-thiopyrans. Russ. J. Org. Chem. 1998, 34, 557–563. [Google Scholar]
- Quintela, J.M.; Peinador, C.; Veiga, M.C.; Botana, L.M.; Alfonso, A.; Riguera, R. Synthesis, antihistaminic and cytotoxic activity of pyridothieno- and pyridodithienotriazines. Eur. J. Med. Chem. 1998, 33, 887–897. [Google Scholar] [CrossRef]
- Dyachenko, V.D.; Litvinov, V.P. Michael reaction in synthesis of 6-amino-4-(4-butoxyphenyl)-3,5-dicyanopyridine-2(1H)-thione. Chem. Heterocycl. Compd. 1998, 34, 188–194. [Google Scholar] [CrossRef]
- Evdokimov, N.M.; Magedov, I.V.; Kireev, A.S.; Kornienko, A. One-step, three-component synthesis of pyridines and 1,4-dihydropyridines with manifold medicinal utility. Org. Lett. 2006, 8, 899–902. [Google Scholar] [CrossRef] [PubMed]
- Sridhar, M.; Ramanaiah, B.C.; Narsaiah, C.; Mahesh, B.; Kumaraswamy, M.; Mallu, K.K.R.; Ankathi, V.M.; Shanthan Rao, P. Novel ZnCl2-catalyzed one-pot multicomponent synthesis of 2-amino-3,5-dicarbonitrile-6-thio-pyridines. Tetrahedron Lett. 2009, 50, 3897–3900. [Google Scholar] [CrossRef]
- Kottawar, S.S.; Siddiqui, S.A.; Bhusare, S.R. Scandium triflate-catalyzed one-pot multi-component synthesis of 2-amino-6-thiopyridine-3,5-dicarbonitriles. Heterocycl. Commun. 2012, 18, 249. [Google Scholar] [CrossRef]
- Takale, S.; Patil, J.; Padalkar, V.; Pisal, R.; Chaskar, A. O-iodoxybenzoic acid in water: Optimized green alternative for multicomponent one-pot synthesis of 2-amino-3,5-dicarbonitrile-6-thiopyridines. J. Braz. Chem. Soc. 2012, 23, 966–969. [Google Scholar] [CrossRef]
- Thimmaiah, M.; Li, P.; Regati, S.; Chen, B.; Zhao, J.C.-G. Multi-component synthesis of 2-amino-6-(alkylthio)pyridine-3,5-dicarbonitriles using Zn(II) and Cd(II) metal–organic frameworks (MOFs) under solvent-free conditions. Tetrahedron Lett. 2012, 53, 4870–4872. [Google Scholar] [CrossRef] [PubMed]
- Safaei-Ghomi, J.; Ghasemzadeh, M.A. CuI nanoparticles: A highly active and easily recyclable catalyst for the synthesis of 2-amino-3,5-dicyano-6-sulfanyl pyridines. J. Sulfur Chem. 2013, 34, 233–241. [Google Scholar] [CrossRef]
- Tian, J.; Guo, H. One-Pot Synthesis of 2-Amino-4-phenyl-6-(phenylsulfanyl)-3,5-dicyanopyridines in Ionic Liquids. Chin. J. Org. Chem. 2012, 32, 193–196. [Google Scholar] [CrossRef]
- Sobhani, S.; Honarmand, M. 2-Hydroxyethylammonium acetate: A reusable task-specific ionic liquid promoting one-pot, three-component synthesis of 2-amino-3,5-dicarbonitrile-6-thio-pyridines. C. R. Chim. 2013, 16, 279–286. [Google Scholar] [CrossRef]
- Emerson, W.S.; Patrick, T.M. The preparation of 2-thiophenealdehyde and some of its derivatives. J. Org. Chem. 1949, 14, 790–797. [Google Scholar] [CrossRef]
- Daboun, H.A.; El-Reedy, A.M. A one step synthesis of new 4-aminopyrimidine derivatives: Preparation of tetrazolo- and s-triazolopyrimidines. Z. Nat. B 1983, 38, 1686. [Google Scholar] [CrossRef]
- Urquhart, G.G.; Gates, J.W.J.; Connor, R. n-Dodecyl (lauryl) mercaptan. Org. Synth. 1941, 21, 36. [Google Scholar]
- El-Sharabsy, S.A.; Gawad, S.M.A.; Hussain, S.M. Reactions with substituted acrylonitriles: A novel synthesis of polysubstituted pyrimidines. J. Prakt. Chem. 1989, 331, 207–211. [Google Scholar] [CrossRef]
- Cosimelli, B.; Greco, G.; Laneri, S.; Novellino, E.; Sacchi, A.; Collina, S.; Rossi, D.; Cosconati, S.; Barresi, E.; Taliani, S.; et al. Studies on enantioselectivity of chiral 4-acetylamino-6-alkyloxy-2-alkylthiopyrimidines acting as antagonists of the human A3 adenosine receptor. Medchemcomm 2018, 9, 81–86. [Google Scholar] [CrossRef] [PubMed]
- Cristalli, G.; Eleuteri, A.; Vittori, S.; Volpini, R.; Lohse, M.J.; Klotz, K.-N. 2-Alkynyl derivatives of adenosine and adenosine-5’-N-ethyluronamide as selective agonists at A2 adenosine receptors. J. Med. Chem. 1992, 35, 2363–2368. [Google Scholar] [CrossRef]
- Cristalli, G.; Costanzi, S.; Lambertucci, C.; Taffi, S.; Vittori, S.; Volpini, R. Purine and deazapurine nucleosides: Synthetic approaches, molecular modelling and biological activity. IL Farm. 2003, 58, 193–204. [Google Scholar] [CrossRef]
- Volpini, R.; Camaioni, E.; Vittori, S.; Barboni, L.; Lambertucci, C.; Cristalli, G. Synthesis of New Nucleosides by coupling of chloropurines with 2- and 3-deoxy derivatives of N-methyl-D-ribofuranuronamide. Helv. Chim. Acta 1998, 81, 145–152. [Google Scholar] [CrossRef]
- Lebon, G.; Warne, T.; Edwards, P.C.; Bennett, K.; Langmead, C.J.; Leslie, A.G.; Tate, C.G. Agonist-bound adenosine A2A receptor structures reveal common features of GPCR activation. Nature 2011, 474, 521–525. [Google Scholar] [CrossRef]
- Xu, F.; Wu, H.; Katritch, V.; Han, G.W.; Jacobson, K.A.; Gao, Z.G.; Cherezov, V.; Stevens, R.C. Structure of an agonist-bound human A2A adenosine receptor. Science 2011, 332, 322–327. [Google Scholar] [CrossRef]
- Lebon, G.; Edwards, P.C.; Leslie, A.G.; Tate, C.G. Molecular determinants of CGS21680 binding to the human adenosine A2A receptor. Mol. Pharm. 2015, 87, 907–915. [Google Scholar] [CrossRef]
- Draper-Joyce, C.J.; Khoshouei, M.; Thal, D.M.; Liang, Y.L.; Nguyen, A.T.N.; Furness, S.G.B.; Venugopal, H.; Baltos, J.A.; Plitzko, J.M.; Danev, R.; et al. Structure of the adenosine-bound human adenosine A1 receptor-Gi complex. Nature 2018, 558, 559–563. [Google Scholar] [CrossRef]
- Dal Ben, D.; Buccioni, M.; Lambertucci, C.; Thomas, A.; Volpini, R. Simulation and comparative analysis of binding modes of nucleoside and non-nucleoside agonists at the A2B adenosine receptor. Silico Pharm. 2013, 1, 24. [Google Scholar] [CrossRef] [PubMed]
- Li, J.; Jonsson, A.L.; Beuming, T.; Shelley, J.C.; Voth, G.A. Ligand-dependent activation and deactivation of the human adenosine A2A receptor. J. Am. Chem. Soc. 2013, 135, 8749–8759. [Google Scholar] [CrossRef] [PubMed]
- Rodriguez, D.; Gao, Z.G.; Moss, S.M.; Jacobson, K.A.; Carlsson, J. Molecular docking screening using agonist-bound GPCR structures: Probing the A2A adenosine receptor. J. Chem. Inf. Model. 2015, 55, 550–563. [Google Scholar] [CrossRef] [PubMed]
- Dal Ben, D.; Buccioni, M.; Lambertucci, C.; Marucci, G.; Santinelli, C.; Spinaci, A.; Thomas, A.; Volpini, R. Simulation and comparative analysis of different binding modes of Non-nucleoside agonists at the A2A adenosine receptor. Mol. Inf. 2016, 35, 403–413. [Google Scholar] [CrossRef] [PubMed]
- Ballesteros, J.A.; Weinstein, H. Integrated methods for the construction of three-dimensional models and computational probing of structure-function relations in G protein-coupled receptors. Methods Neurosci. 1995, 25, 366–428. [Google Scholar]
- Dal Ben, D.; Lambertucci, C.; Marucci, G.; Volpini, R.; Cristalli, G. Adenosine receptor modeling: What does the A2A crystal structure tell us? Curr. Top. Med. Chem. 2010, 10, 993–1018. [Google Scholar] [CrossRef] [PubMed]
© 2019 by the authors. Licensee MDPI, Basel, Switzerland. This article is an open access article distributed under the terms and conditions of the Creative Commons Attribution (CC BY) license (http://creativecommons.org/licenses/by/4.0/).












