Optimized 90° Pulse for Fast Measurement of Overhauser Magnetometer
Abstract
1. Introduction
- (1)
- In Section 3, we derive and analyze the dynamic equation governing Larmor precession under 90° pulse excitation, enabling theoretical prediction of optimal pulse parameters.
- (2)
- In Section 4, based on the analysis, we design and implement a high cycling rate OVM using optimized pulse waveforms to achieve efficient polarization.
- (3)
- In Section 5, we experimentally validate the proposed method under both natural and artificial magnetic field conditions, demonstrating improved sensitivity and cycling rate.
2. The Working Principle of OVM
3. Theory for Fast Measurement
3.1. Equations Construction of the Proton Magnetization Dynamics Equation
3.2. Equation Solution of Magnetization Dynamic Equations
4. Calculation and Discussion
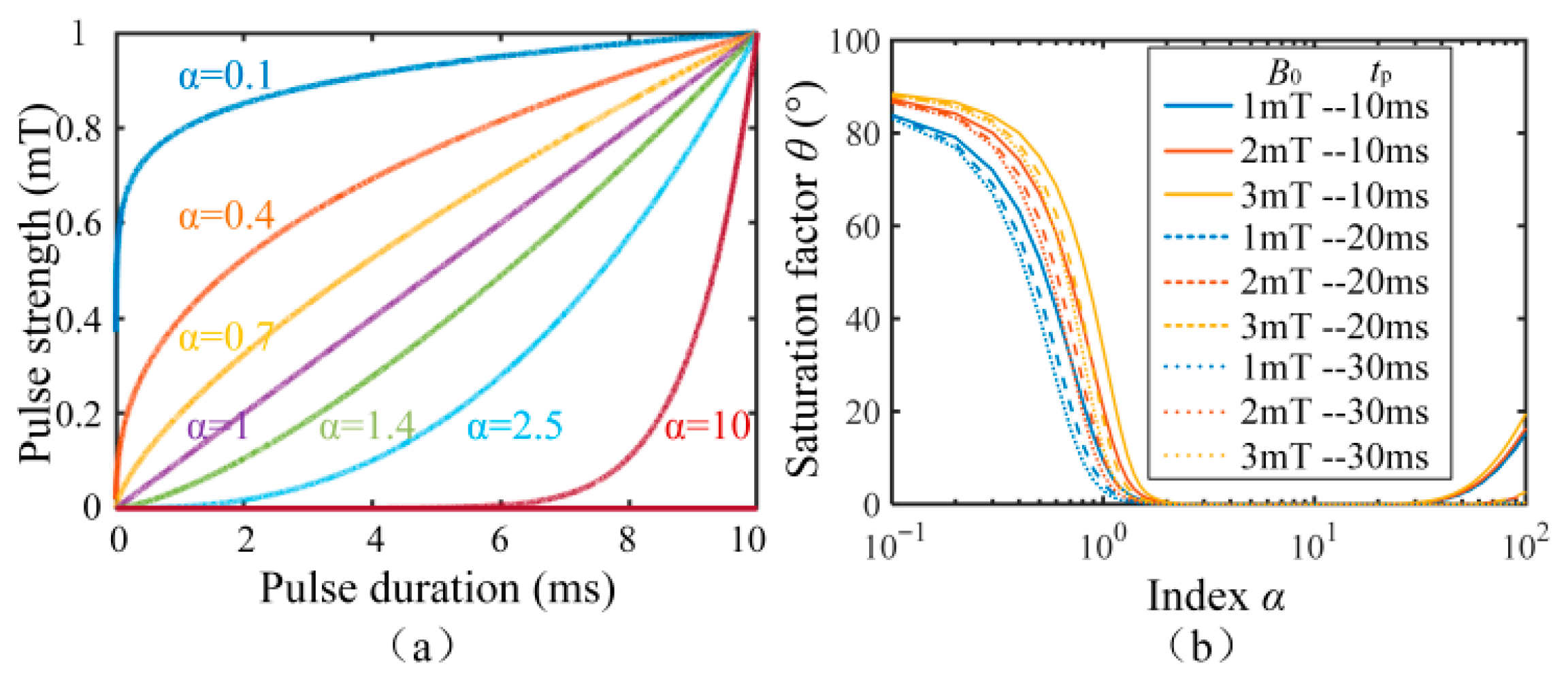
4.1. The Influence of 90° Pulse Waveform on Polarization Efficiency
4.2. The Impact of 90°Pulse Strength on Polarization Efficiency
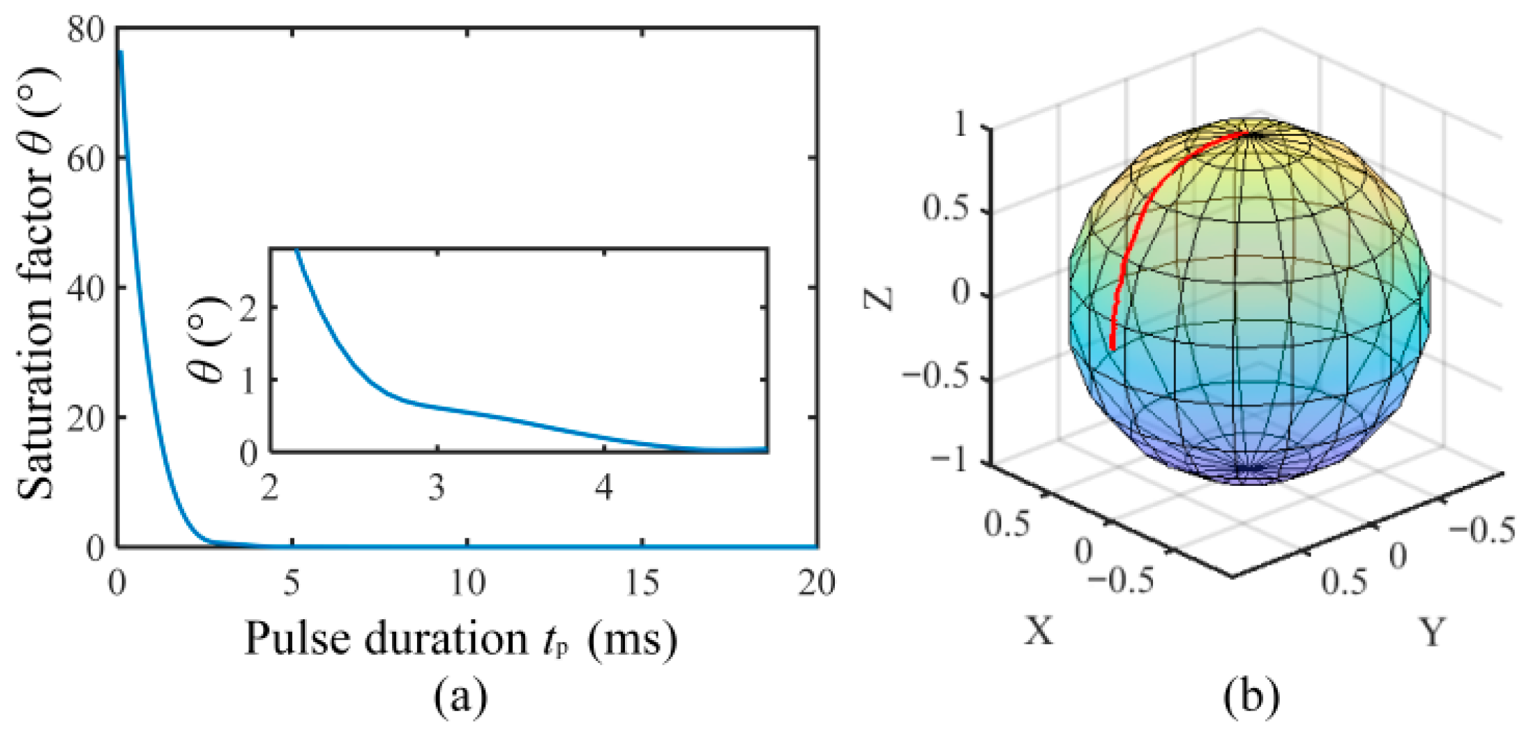
4.3. The Impact of 90°Pulse Duration on Polarization Efficiency
5. Experiment
5.1. Magnetometer Used for Experiments
5.2. Experimental Results of Different 90° Pulse Parameters
5.3. Sensitivity Estimation in Natural Environment
5.4. Sensitivity Estimation in Artificial Magnetic Field System
6. Conclusions
Author Contributions
Funding
Institutional Review Board Statement
Informed Consent Statement
Data Availability Statement
Acknowledgments
Conflicts of Interest
References
- Gao, G.; Hu, J.; Tang, F.; Liu, W.; Zhang, X.; Wang, B.; Deng, D.; Zhu, M.; Zhao, N. Stability improvement of nuclear magnetic resonance gyroscope with self-calibrating parametric magnetometer. Phys. Rev. Appl. 2024, 21, 011042. [Google Scholar] [CrossRef]
- Packard, M.E. Free nuclear induction in the earth’s magnetic field. Phys. Rev. 1954, 93, 941. [Google Scholar]
- Choi, H.; Kim, S.S.; Park, S.H. Comparative analysis of shipboard three-component magnetometer (STCM) and proton precession magnetometer (PPM) datasets in the Australian-Antarctic Ridge. Data Brief 2023, 49, 109351. [Google Scholar] [CrossRef] [PubMed]
- Ge, J.; Yu, H.; Luo, W.; Shen, Y.; Dong, H.; Liu, Z. A Novel Coil-Based Overhauser Vector Magnetometer for the Automatic Measurement of Absolute Geomagnetic Total Field and Directions. IEEE/ASME Trans. Mechatron. 2024, 29, 1634–1646. [Google Scholar] [CrossRef]
- Wang, H.; Meng, T.; Luo, W.; Yang, R.; Liu, H.; Ge, J.; Dong, H. Overhauser Sensor Array Based 3-D Magnetic Gradiometer for the Detection of Shallow Subsurface Unexploded Ordnance. IEEE Trans. Instrum. Meas. 2023, 72, 2004411. [Google Scholar] [CrossRef]
- Zhang, J.; Song, X.; Jia, L.; Sun, H.; Qi, S.; Wu, Z.; Liu, G. Enhancement of Magnetic Field Disturbance Suppression for Wearable Optically Pumped Magnetometers. IEEE Trans. Instrum. Meas. 2025, 74, 9515311. [Google Scholar] [CrossRef]
- Zhao, B.; Li, L.; Zhang, Y.; Tang, J.; Liu, Y.; Zhai, Y. Optically Pumped Magnetometers Recent Advances and Applications in Biomagnetism: A Review. IEEE Sens. J. 2023, 23, 18949–18962. [Google Scholar] [CrossRef]
- Yang, K.; Wu, D.; Gao, W.; Ni, T.; Zhang, Q.; Zhang, H.; Huang, D. Calibration of SQUID Magnetometers in Multichannel MCG System Based on Bi-Planar Coil. IEEE Trans. Instrum. Meas. 2022, 71, 1002209. [Google Scholar] [CrossRef]
- Stolz, R.; Schiffler, M.; Becken, M.; Thiede, A.; Schneider, M.; Chubak, G.; Marsden, P.; Bergshjorth, A.B.; Terblanche, O. SQUIDs for magnetic and electromagnetic methods in mineral exploration. Miner. Econ. 2022, 35, 467–494. [Google Scholar] [CrossRef]
- Sun, Z.; Fierlinger, P.; Han, J.; Li, L.; Liu, T.; Schnabel, A.; Stuiber, S.; Voigt, J. Limits of Low Magnetic Field Environments in Magnetic Shields. IEEE Trans. Ind. Electron. 2021, 68, 5385–5395. [Google Scholar] [CrossRef]
- Yusuf, S.N.; Faruk, M.U.; Imagbe, L.O.; Yohanna, O.M.; Yusuf, I.; Onoshagbegbe, A.; Kamal, M.; Jacob, T.T. Integrated geophysical investigation for lead and zinc mineralization in Wase, middle Benue Trough, Nigeria. Heliyon 2022, 8, e12541. [Google Scholar] [CrossRef]
- Karshakov, E.V.; Volkovitsky, A.K. Optimization of Frequency Measurements for Quantum Magnetometers. IEEE Sens. J. 2024, 24, 23694–23702. [Google Scholar] [CrossRef]
- Kolster, M.E.; Wigh, M.D.; Lima Simoes da Silva, E.; Bjerg Vilhelmsen, T.; Døssing, A. High-Speed Magnetic Surveying for Unexploded Ordnance Using UAV Systems. Remote Sens. 2022, 14, 1134. [Google Scholar] [CrossRef]
- Tan, C.; Xin, L.; Chen, H.; Yang, L. Nonlinear Compensation Method Based on Data for Increasing Absolute Measurement Precision of FID Signal. IEEE Trans. Instrum. Meas. 2021, 70, 6010509. [Google Scholar] [CrossRef]
- Sapunov, V.A.; Doroshek, A.S.; Filatov, A.I. Sensor of nuclear electron double resonance with circular polarization of electron-pump field. Instrum. Exp. Tech. 1989, 31, 958–960. [Google Scholar]
- Ghiasi, Y.E.; Mahboubian, F.; Tameh, H.S.; Sarreshtedari, F. Investigating the effectiveness of frequency measurement methods for spin echo enhanced proton precession magnetometers. Iran. J. Earth Sci. 2025, 17, 172511 . [Google Scholar]
- Zhang, Q.; Zhou, K.; Deng, M.; Zhang, Q.; Feng, Y.; Liu, L. Development of a High-Precision Deep-Sea Magnetic Survey System for Human-Occupied Vehicles. Electronics 2024, 13, 3611. [Google Scholar] [CrossRef]
- Bennett, J.S.; Vyhnalek, B.E.; Greenall, H.; Bridge, E.M.; Gotardo, F.; Forstner, S.; Harris, G.I.; Miranda, F.A.; Bowen, W.P. Precision Magnetometers for Aerospace Applications: A Review. Sensors 2021, 21, 5568. [Google Scholar] [CrossRef]
- Gong, X.; Chen, S.; Zhang, S. JOM-4S Overhauser Magnetometer and Sensitivity Estimation. Sensors 2021, 21, 7698. [Google Scholar] [CrossRef]
- Wang, H.; Ge, J.; Luo, W.; Meng, T.; Liu, Y.; Chen, A.; Liu, H.; Dong, H. Construction and Experimental Verification of an Integrated Dual-Mode Overhauser Magnetometer for Marine Magnetism Survey. IEEE Sens. J. 2023, 23, 25854–25863. [Google Scholar] [CrossRef]
- Chow, W.Y.; De Paëpe, G.; Hediger, S. Biomolecular and Biological Applications of Solid-State NMR with Dynamic Nuclear Polarization Enhancement. Chem. Rev. 2022, 122, 9795–9847. [Google Scholar] [CrossRef] [PubMed]
- Zhang, X.; Wolf, C.; Wang, Y.; Aubin, H.; Bilgeri, T.; Willke, P.; Heinrich, A.J.; Choi, T. Electron spin resonance of single iron phthalocyanine molecules and role of their non-localized spins in magnetic interactions. Nat. Chem. 2022, 14, 59–68. [Google Scholar] [CrossRef]
- Biedenbänder, T.; Aladin, V.; Saeidpour, S.; Corzilius, B. Dynamic Nuclear Polarization for Sensitivity Enhancement in Biomolecular Solid-State NMR. Chem. Rev. 2022, 122, 9738–9794. [Google Scholar] [CrossRef]
- Lang, K.; Moussavi, M.; Belorizky, E. New, high-performance, hydrogenated paramagnetic solution for use in earth field DNP-NMR magnetometers. J. Phys. Chem. A 1997, 101, 1662–1671. [Google Scholar] [CrossRef]
- Kernevez, N.; Duret, D.; Moussavi, M.; Leger, J.-M. Weak field NMR and ESR spectrometers and magnetometers. IEEE Trans. Magn. 1992, 28, 3054–3059. [Google Scholar] [CrossRef]
















| Parameter | Recommended Ranges | Recommended Values |
|---|---|---|
| Waveform index | 30 > α > 2 | α = 3 |
| Pulse strength B0 | B0 ≥ 3 mT | B0 = 3 mT |
| Pulse duration tp | tp ≥ 3 ms | tp = 3 ms |
| Standard Magnetic Field | JOM-5SF Average | Absolute Error |
|---|---|---|
| 20,577.53 nT | 20,577.51 nT | −0.02 nT |
| 40,498.31 nT | 40,498.34 nT | 0.03 nT |
| 50,180.61 nT | 50,180.51 nT | −0.1 nT |
| 61,407.26 nT | 61,407.21 nT | −0.05 nT |
| 81,949.21 nT | 81,949.23 nT | 0.02 nT |
Disclaimer/Publisher’s Note: The statements, opinions and data contained in all publications are solely those of the individual author(s) and contributor(s) and not of MDPI and/or the editor(s). MDPI and/or the editor(s) disclaim responsibility for any injury to people or property resulting from any ideas, methods, instructions or products referred to in the content. |
© 2026 by the authors. Licensee MDPI, Basel, Switzerland. This article is an open access article distributed under the terms and conditions of the Creative Commons Attribution (CC BY) license.
Share and Cite
Gong, X.; Zhang, S.; Chen, S.; Guo, X. Optimized 90° Pulse for Fast Measurement of Overhauser Magnetometer. Sensors 2026, 26, 2347. https://doi.org/10.3390/s26082347
Gong X, Zhang S, Chen S, Guo X. Optimized 90° Pulse for Fast Measurement of Overhauser Magnetometer. Sensors. 2026; 26(8):2347. https://doi.org/10.3390/s26082347
Chicago/Turabian StyleGong, Xiaorong, Shuang Zhang, Shudong Chen, and Xin Guo. 2026. "Optimized 90° Pulse for Fast Measurement of Overhauser Magnetometer" Sensors 26, no. 8: 2347. https://doi.org/10.3390/s26082347
APA StyleGong, X., Zhang, S., Chen, S., & Guo, X. (2026). Optimized 90° Pulse for Fast Measurement of Overhauser Magnetometer. Sensors, 26(8), 2347. https://doi.org/10.3390/s26082347
