Tidal Volume Monitoring via Surface Motions of the Upper Body—A Pilot Study of an Artificial Intelligence Approach
Abstract
1. Introduction
2. Materials and Methods
2.1. Measurement Setup
2.2. Participants and Respiratory Manoeuvres
2.3. Motion Parameter Calculation—Sensors and Sensor Locations
2.4. Data Processing and AI Design
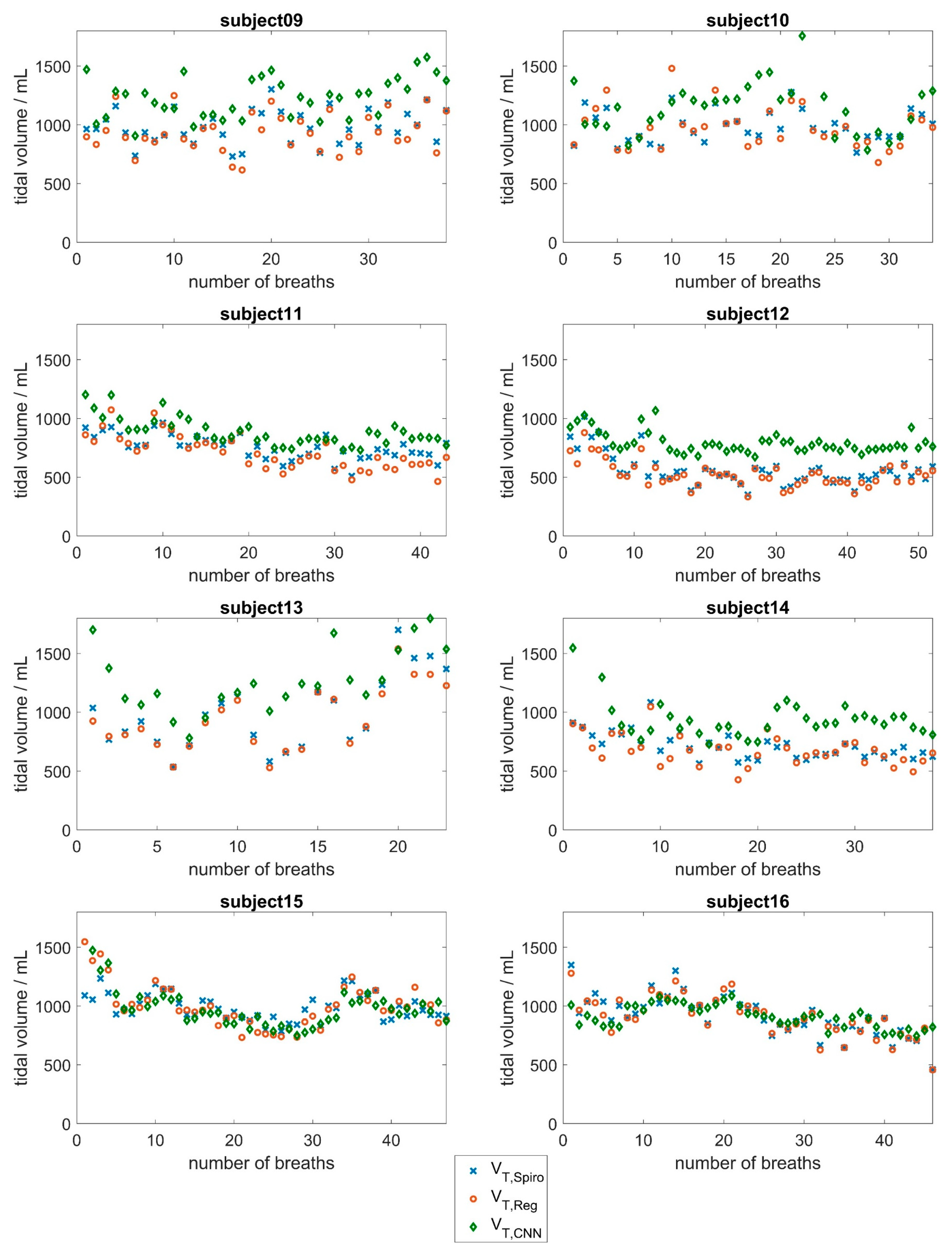
3. Results
4. Discussion
5. Conclusions
Author Contributions
Funding
Institutional Review Board Statement
Informed Consent Statement
Data Availability Statement
Conflicts of Interest
Abbreviations
| BN layer | Batch normalisation layer |
| CNN | Convolutional Neural Network |
| ECG | Electrocardiogram |
| FC layer | Fully connected layer |
| IMU | Inertial Measurement Unit |
| LSTM | Neural Network with Long Short-Term Memory Architecture |
| MoCap | Motion Capture System |
| NN | Neural Network |
| OEP | Optoelectronic Plethysmography |
| ReLu layer | Rectified linear unit layer |
| RIP | Respiratory Inductance Plethysmography |
| RMSE | Root mean squared error |
| RR | Respiratory Rate |
| VT,Spiro | Tidal Volume, obtained via Spirometer |
| VT,Reg | Tidal Volume, obtained via Regression |
| VT,CNN | Tidal Volume, obtained using the Convolutional Neural Network |
References
- Jalal, N.A.; Alshirbaji, T.A.; Docherty, P.D.; Neumuth, T.; Moeller, K. A Deep Learning Framework for Recognising Surgical Phases in Laparoscopic Videos. IFAC-PapersOnLine 2021, 54, 334–339. [Google Scholar] [CrossRef]
- Alshirbaji Tamer, A.; Jalal Nour, A.; Mündermann, L.; Möller, K. Classifying Smoke in Laparoscopic Videos Using SVM. Curr. Dir. Biomed. Eng. 2017, 3, 191–194. [Google Scholar] [CrossRef]
- Abdulbaki Alshirbaji, T.; Jalal, N.A.; Docherty, P.D.; Neumuth, T.; Möller, K. A Deep Learning Spatial-Temporal Framework for Detecting Surgical Tools in Laparoscopic Videos. Biomed. Signal Process. Control 2021, 68, 102801. [Google Scholar] [CrossRef]
- Abdulbaki Alshirbaji, T.; Jalal, N.A.; Docherty, P.D.; Neumuth, T.; Möller, K. Robustness of Convolutional Neural Networks for Surgical Tool Classification in Laparoscopic Videos from Multiple Sources and of Multiple Types: A Systematic Evaluation. Electronics 2022, 11, 2849. [Google Scholar] [CrossRef]
- Vedantham, S.; Shazeeb, M.S.; Chiang, A.; Vijayaraghavan, G.R. Artificial Intelligence in Breast X-Ray Imaging. Semin. Ultrasound CT MR 2023, 44, 2–7. [Google Scholar] [CrossRef] [PubMed]
- Chan, H.-P.; Samala, R.K.; Hadjiiski, L.M.; Zhou, C. Deep Learning in Medical Image Analysis. Adv. Exp. Med. Biol. 2020, 1213, 3–21. [Google Scholar] [CrossRef] [PubMed]
- Maier-Hein, L.; Vedula, S.S.; Speidel, S.; Navab, N.; Kikinis, R.; Park, A.; Eisenmann, M.; Feussner, H.; Forestier, G.; Giannarou, S.; et al. Surgical Data Science for Next-Generation Interventions. Nat. Biomed. Eng. 2017, 1, 691–696. [Google Scholar] [CrossRef]
- Maier-Hein, L.; Eisenmann, M.; Sarikaya, D.; März, K.; Collins, T.; Malpani, A.; Fallert, J.; Feussner, H.; Giannarou, S.; Mascagni, P.; et al. Surgical Data Science—From Concepts toward Clinical Translation. Med. Image Anal. 2022, 76, 102306. [Google Scholar] [CrossRef]
- Bodenstedt, S.; Wagner, M.; Müller-Stich, B.P.; Weitz, J.; Speidel, S. Artificial Intelligence-Assisted Surgery: Potential and Challenges. Visc. Med. 2020, 36, 450–455. [Google Scholar] [CrossRef]
- Neumann, J.; Uciteli, A.; Meschke, T.; Bieck, R.; Franke, S.; Herre, H.; Neumuth, T. Ontology-Based Surgical Workflow Recognition and Prediction. J. Biomed. Inform. 2022, 136, 104240. [Google Scholar] [CrossRef]
- Miravitlles, M.; Petkov, R. Artificial Intelligence and Machine Learning in Respiratory Medicine. Expert. Rev. Respir. Med. 2020, 14, 559–564. [Google Scholar] [CrossRef]
- Al-Anazi, S.; Al-Omari, A.; Alanazi, S.; Marar, A.; Asad, M.; Alawaji, F.; Alwateid, S. Artificial Intelligence in Respiratory Care: Current Scenario and Future Perspective. Ann. Thorac. Med. 2024, 19, 117–130. [Google Scholar] [CrossRef]
- Kaplan, A.; Cao, H.; FitzGerald, J.M.; Iannotti, N.; Yang, E.; Kocks, J.W.H.; Kostikas, K.; Price, D.; Reddel, H.K.; Tsiligianni, I.; et al. Artificial Intelligence/Machine Learning in Respiratory Medicine and Potential Role in Asthma and COPD Diagnosis. J. Allergy Clin. Immunol. Pract. 2021, 9, 2255–2261. [Google Scholar] [CrossRef] [PubMed]
- Tran, D.; Kwo, E.; Nguyen, E. Current State and Future Potential of AI in Occupational Respiratory Medicine. Curr. Opin. Pulm. Med. 2022, 28, 139–143. [Google Scholar] [CrossRef]
- Konno, K.; Mead, J. Measurement of the Separate Volume Changes of Rib Cage and Abdomen during Breathing. J. Appl. Physiol. 1967, 22, 407–422. [Google Scholar] [CrossRef]
- Parreira, V.F.; Vieira, D.S.; Myrrha, M.A.; Pessoa, I.M.; Lage, S.M.; Britto, R.R. Optoelectronic Plethysmography: A Review of the Literature. Rev. Bras. Fisioter. 2012, 16, 439–453. [Google Scholar] [CrossRef]
- Massaroni, C.; Carraro, E.; Vianello, A.; Miccinilli, S.; Morrone, M.; Levai, I.K.; Schena, E.; Saccomandi, P.; Sterzi, S.; Dickinson, J.W.; et al. Optoelectronic Plethysmography in Clinical Practice and Research: A Review. Respiration 2017, 93, 339–354. [Google Scholar] [CrossRef]
- Kogan, D.; Jain, A.; Kimbro, S.; Gutierrez, G.; Jain, V. Respiratory Inductance Plethysmography Improved Diagnostic Sensitivity and Specificity of Obstructive Sleep Apnea. Respir. Care 2016, 61, 1033–1037. [Google Scholar] [CrossRef] [PubMed]
- Heyde, C.; Mahler, H.; Roecker, K.; Gollhofer, A. A Wearable Respiratory Monitoring Device–the between-Days Variability of Calibration. Int. J. Sports Med. 2015, 36, 29–34. [Google Scholar] [CrossRef]
- Heyde, C.; Leutheuser, H.; Eskofier, B.; Roecker, K.; Gollhofer, A. Respiratory Inductance Plethysmography—A Rationale for Validity during Exercise. Med. Sci. Sports Exerc. 2014, 46, 488–495. [Google Scholar] [CrossRef]
- Miller, M.R.; Hankinson, J.; Brusasco, V.; Burgos, F.; Casaburi, R.; Coates, A.; Crapo, R.; Enright, P.; van der Grinten, C.P.M.; Gustafsson, P.; et al. Standardisation of Spirometry. Eur. Respir. J. 2005, 26, 319–338. [Google Scholar] [CrossRef] [PubMed]
- Hayes, D.J.; Kraman, S.S. The Physiologic Basis of Spirometry. Respir. Care 2009, 54, 1717–1726. [Google Scholar] [PubMed]
- Coates, A.L.; Peslin, R.; Rodenstein, D.; Stocks, J. Measurement of Lung Volumes by Plethysmography. Eur. Respir. J. 1997, 10, 1415–1427. [Google Scholar] [CrossRef] [PubMed]
- Criée, C.P.; Sorichter, S.; Smith, H.J.; Kardos, P.; Merget, R.; Heise, D.; Berdel, D.; Köhler, D.; Magnussen, H.; Marek, W.; et al. Body Plethysmography--Its Principles and Clinical Use. Respir. Med. 2011, 105, 959–971. [Google Scholar] [CrossRef]
- Askanazi, J.; Silverberg, P.A.; Foster, R.J.; Hyman, A.I.; Milic-Emili, J.; Kinney, J.M. Effects of Respiratory Apparatus on Breathing Pattern. J. Appl. Physiol. Respir. Environ. Exerc. Physiol. 1980, 48, 577–580. [Google Scholar] [CrossRef]
- Gilbert, R.; Auchincloss, J.H.J.; Brodsky, J.; Boden, W. Changes in Tidal Volume, Frequency, and Ventilation Induced by Their Measurement. J. Appl. Physiol. 1972, 33, 252–254. [Google Scholar] [CrossRef]
- Laufer, B.; Hoeflinger, F.; Docherty, P.D.; Jalal, N.A.; Krueger-Ziolek, S.; Rupitsch, S.J.; Reindl, L.; Moeller, K. Characterisation and Quantification of Upper Body Surface Motions for Tidal Volume Determination in Lung-Healthy Individuals. Sensors 2023, 23, 1278. [Google Scholar] [CrossRef]
- Sibson, F. On the Movements of Respiration in Disease, and on the Use of a Chest-Measurer. Med. Chir. Trans. 1848, 31, 353–498.3. [Google Scholar] [CrossRef][Green Version]
- Kaneko, H.; Horie, J. Breathing Movements of the Chest and Abdominal Wall in Healthy Subjects. Respir. Care 2012, 57, 1442. [Google Scholar] [CrossRef]
- WADE, O.L. Movements of the Thoracic Cage and Diaphragm in Respiration. J. Physiol. 1954, 124, 193–212. [Google Scholar] [CrossRef]
- Laufer, B.; Docherty, P.D.; Murray, R.; Krueger-Ziolek, S.; Jalal, N.A.; Hoeflinger, F.; Rupitsch, S.J.; Reindl, L.; Moeller, K. Sensor Selection for Tidal Volume Determination via Linear Regression—Impact of Lasso versus Ridge Regression. Sensors 2023, 23, 7407. [Google Scholar] [CrossRef]
- Laufer, B.; Krueger-Ziolek, S.; Docherty, P.D.; Hoeflinger, F.; Reindl, L.; Moeller, K. Minimum Number of Sensors in a Smart Shirt to Measure Tidal Volumes. IFAC-PapersOnLine 2018, 51, 92–97. [Google Scholar] [CrossRef]
- Laufer, B.; Jalal, N.A.; Docherty, P.D.; Busch, C.; Krueger-Ziolek, S.; Hoeflinger, F.; Chase, J.G.; Reindl, L.; Moeller, K. Wearable Tidal Volume Determination via One Circumferential Measurement and Three Strain Gauges—A Pilot Study. IFAC-PapersOnLine 2023, 56, 7359–7364. [Google Scholar] [CrossRef]
- Laufer, B.; Jalal, N.A.; Krueger-Ziolek, S.; Docherty, P.D.; Murray, R.; Hoeflinger, F.; Reindl, L.; Moeller, K. Optimal Positioning of Inertial Measurement Units in a Smart Shirt for Determining Respiratory Volume. In Proceedings of the 2023 45th Annual International Conference of the IEEE Engineering in Medicine & Biology Society (EMBC), Sydney, Australia, 24–27 July 2023. [Google Scholar] [CrossRef]
- Rahmani, M.H.; Berkvens, R.; Weyn, M. Chest-Worn Inertial Sensors: A Survey of Applications and Methods. Sensors 2021, 21, 2875. [Google Scholar] [CrossRef] [PubMed]
- Karacocuk, G.; Höflinger, F.; Zhang, R.; Reindl, L.M.; Laufer, B.; Möller, K.; Röell, M.; Zdzieblik, D. Inertial Sensor-Based Respiration Analysis. IEEE Trans. Instrum. Meas. 2019, 68, 4268–4275. [Google Scholar] [CrossRef]
- Rozevika, A.; Katashev, A.; Okss, A.; Mantyla, J.; Coffeng, R. On the Monitoring of Breathing Volume, Using Textile Strain Gauges. In Proceedings of the World Congress on Medical Physics and Biomedical Engineering 2018, Prague, Czech Republic, 3–8 June 2018; Lhotska, L., Sukupova, L., Lacković, I., Ibbott, G.S., Eds.; Springer: Singapore, 2019; pp. 921–925. [Google Scholar]
- Laufer, B.; Krueger-Ziolek, S.; Docherty, P.D.; Hoeflinger, F.; Reindl, L.; Moeller, K. An Alternative Way to Measure Tidal Volumes. In Proceedings of the 8th European Medical and Biological Engineering Conference, Portorož, Slovenia, 29 November–3 December 2020; Jarm, T., Cvetkoska, A., Mahnič-Kalamiza, S., Miklavcic, D., Eds.; Springer International Publishing: Portorož, Slovenia, 2021; pp. 66–72. [Google Scholar]
- Chu, M.; Nguyen, T.; Pandey, V.; Zhou, Y.; Pham, H.N.; Bar-Yoseph, R.; Radom-Aizik, S.; Jain, R.; Cooper, D.M.; Khine, M. Respiration Rate and Volume Measurements Using Wearable Strain Sensors. Npj Digit. Med. 2019, 2, 8. [Google Scholar] [CrossRef]
- Aliverti, A. Wearable Technology: Role in Respiratory Health and Disease. Breathe 2017, 13, e27–e36. [Google Scholar] [CrossRef]
- Beck, S.; Laufer, B.; Krueger-Ziolek, S.; Moeller, K. Measurement of Respiratory Rate with Inertial Measurement Units. Curr. Dir. Biomed. Eng. 2020, 6, 237–240. [Google Scholar] [CrossRef]
- Xu, D.; Yu, W.; Deng, C.; He, Z.S. Non-Contact Detection of Vital Signs Based on Improved Adaptive EEMD Algorithm (July 2022). Sensors 2022, 22, 6423. [Google Scholar] [CrossRef]
- Jayarathna, T.; Gargiulo, G.D.; Lui, G.Y.; Breen, P.P. Electrodeless Heart and Respiratory Rate Estimation during Sleep Using a Single Fabric Band and Event-Based Edge Processing. Sensors 2022, 22, 6689. [Google Scholar] [CrossRef]
- Higashino, M.; Miyata, K.; Kudo, K. Coordination Dynamics of Thoracic and Abdominal Movements during Voluntary Breathing. Sci. Rep. 2022, 12, 13266. [Google Scholar] [CrossRef] [PubMed]
- Bergofsky, E.H. Relative Contributions of the Rib Cage and the Diaphragm to Ventilation in Man. J. Appl. Physiol. 1964, 19, 698–706. [Google Scholar] [CrossRef] [PubMed]
- Hexoskin Hexoskin Smart Shirts—Cardiac, Respiratory, Sleep & Activity Metrics. Available online: https://www.hexoskin.com/ (accessed on 23 August 2022).
- Feito, Y.; Moriarty, T.A.; Mangine, G.; Monahan, J. The Use of a Smart-Textile Garment during High-Intensity Functional Training: A Pilot Study. J. Sports Med. Phys. Fit. 2019, 59, 947–954. [Google Scholar] [CrossRef] [PubMed]
- Elliot, C.A.; Hamlin, M.J.; Lizamore, C.A. Validity and Reliability of the Hexoskin Wearable Biometric Vest During Maximal Aerobic Power Testing in Elite Cyclists. J. Strength Cond. Res. 2019, 33, 1437–1444. [Google Scholar] [CrossRef]
- Villar, R.; Beltrame, T.; Hughson, R.L. Validation of the Hexoskin Wearable Vest during Lying, Sitting, Standing, and Walking Activities. Appl. Physiol. Nutr. Metab. 2015, 40, 1019–1024. [Google Scholar] [CrossRef]
- Agostoni, E.; Mognoni, P.; Torri, G.; Saracino, F. Relation between Changes of Rib Cage Circumference and Lung Volume. J. Appl. Physiol. 1965, 20, 1179–1186. [Google Scholar] [CrossRef]
- Laufer, B.; Krueger-Ziolek, S.; Docherty, P.D.; Hoeflinger, F.; Reindl, L.; Moeller, K. An Alternative Way to Measure Respiration Induced Changes of Circumferences: A Pilot Study. Annu. Int. Conf. IEEE Eng. Med. Biol. Soc. 2020, 2020, 4632–4635. [Google Scholar]
- Alwosheel, A.; van Cranenburgh, S.; Chorus, C.G. Is Your Dataset Big Enough? Sample Size Requirements When Using Artificial Neural Networks for Discrete Choice Analysis. J. Choice Model. 2018, 28, 167–182. [Google Scholar] [CrossRef]







| Subject | Height [m] | Weight [kg] | BMI [kg/m2] | Age [years] | Gender |
|---|---|---|---|---|---|
| 1 | 1.84 | 75 | 22.15 | 18 | male |
| 2 | 1.72 | 65 | 21.97 | 19 | female |
| 3 | 1.70 | 56 | 19.38 | 26 | male |
| 4 | 1.67 | 57 | 20.44 | 18 | female |
| 5 | 1.83 | 78 | 23.29 | 30 | male |
| 6 | 1.75 | 70 | 22.86 | 32 | male |
| 7 | 1.79 | 75 | 23.41 | 53 | male |
| 8 | 1.74 | 63 | 20.81 | 20 | male |
| 9 | 1.70 | 68 | 23.53 | 24 | male |
| 10 | 1.82 | 73 | 22.04 | 30 | male |
| 11 | 1.74 | 81 | 26.75 | 31 | male |
| 12 | 1.73 | 67 | 22.39 | 19 | male |
| 13 | 1.71 | 60 | 20.52 | 23 | male |
| 14 | 1.68 | 66 | 23.38 | 21 | female |
| 15 | 1.88 | 75 | 21.22 | 20 | male |
| 16 | 1.83 | 82 | 24.49 | 28 | male |
| Hyperparameter | Description | Optimised Value |
|---|---|---|
| filter_size | The size of filters in the convolutional layer | 3 |
| filters_num | The number of filters in the convolutional layer | 189 |
| mini_bs | The number of training samples used in a single iteration | 16 |
| feature_num | The number of neurons in the first fully connected layer (FC1) | 11 |
| lr | The initial learning rate | 9.708 × 10−3 |
| epoch_num | The number of training epochs | 39 |
| L2_coe | L2 regularisation coefficient | 0.098 |
| Subject | Mean VT,Spiro mL | Regression Mean abs. Error mL | Regression Mean rel. Error % | CNN Approach Mean abs. Error mL | CNN Approach Mean rel. Error % |
|---|---|---|---|---|---|
| 1 | 906 | 73.4 | 8 | 389.8 | 43 |
| 2 | 689 | 92.2 | 13 | 370.5 | 54 |
| 3 | 953 | 168.8 | 18 | 157.6 | 17 |
| 4 | 626 | 168.3 | 27 | 244.4 | 39 |
| 5 | 976 | 50.7 | 5 | 76.3 | 8 |
| 6 | 1030 | 339.6 | 33 | 118.4 | 11 |
| 7 | 1637 | 115.1 | 7 | 579.8 | 35 |
| 8 | 608 | 100.7 | 17 | 275.8 | 45 |
| 9 | 987 | 62.4 | 6 | 245.8 | 25 |
| 10 | 985 | 70.7 | 7 | 224.8 | 23 |
| 11 | 757 | 66.1 | 9 | 130.6 | 17 |
| 12 | 559 | 40.2 | 7 | 234.3 | 42 |
| 13 | 985 | 55.5 | 6 | 299.9 | 30 |
| 14 | 714 | 58.4 | 8 | 306.9 | 43 |
| 15 | 992 | 80.0 | 8 | 110.0 | 11 |
| 16 | 918 | 34.0 | 4 | 97.5 | 11 |
Disclaimer/Publisher’s Note: The statements, opinions and data contained in all publications are solely those of the individual author(s) and contributor(s) and not of MDPI and/or the editor(s). MDPI and/or the editor(s) disclaim responsibility for any injury to people or property resulting from any ideas, methods, instructions or products referred to in the content. |
© 2025 by the authors. Licensee MDPI, Basel, Switzerland. This article is an open access article distributed under the terms and conditions of the Creative Commons Attribution (CC BY) license (https://creativecommons.org/licenses/by/4.0/).
Share and Cite
Laufer, B.; Abdulbaki Alshirbaji, T.; Docherty, P.D.; Jalal, N.A.; Krueger-Ziolek, S.; Moeller, K. Tidal Volume Monitoring via Surface Motions of the Upper Body—A Pilot Study of an Artificial Intelligence Approach. Sensors 2025, 25, 2401. https://doi.org/10.3390/s25082401
Laufer B, Abdulbaki Alshirbaji T, Docherty PD, Jalal NA, Krueger-Ziolek S, Moeller K. Tidal Volume Monitoring via Surface Motions of the Upper Body—A Pilot Study of an Artificial Intelligence Approach. Sensors. 2025; 25(8):2401. https://doi.org/10.3390/s25082401
Chicago/Turabian StyleLaufer, Bernhard, Tamer Abdulbaki Alshirbaji, Paul David Docherty, Nour Aldeen Jalal, Sabine Krueger-Ziolek, and Knut Moeller. 2025. "Tidal Volume Monitoring via Surface Motions of the Upper Body—A Pilot Study of an Artificial Intelligence Approach" Sensors 25, no. 8: 2401. https://doi.org/10.3390/s25082401
APA StyleLaufer, B., Abdulbaki Alshirbaji, T., Docherty, P. D., Jalal, N. A., Krueger-Ziolek, S., & Moeller, K. (2025). Tidal Volume Monitoring via Surface Motions of the Upper Body—A Pilot Study of an Artificial Intelligence Approach. Sensors, 25(8), 2401. https://doi.org/10.3390/s25082401

