The Functional Signature of Decision Making Across Dyads During a Persuasive Scenario: Hemodynamic fNIRS Coherence Measure
Abstract
1. Introduction
1.1. Neuroimaging Studies of Persuasion in Shared Decision Making
1.2. The Relation Between Brain Activity and Individual Differences
2. Materials and Methods
2.1. Sample
2.2. Experimental Procedure
- (i)
- Persuasive interaction, in which participants engaged in a face-to-face persuasive interaction during which fNIRS data were recorded continuously from both the Pr and the Pd;
- (ii)
- Perception of the persuasive interaction, where, following the interaction, participants evaluated their experience and perception of the persuasive process through post-task items derived and modified from the Group Questionnaire [46]
- (iii)
Persuasive Interaction
“A member of a workgroup does not appear to be in line with the ideals and style of the group. Think about your ideal workgroup. Choose the sentence that most closely aligns with the decision and behavior you would expect from your group.”
“Now, present this scenario to the other participant and attempt to persuade them that your chosen approach for acting within an ideal group is the most effective and should be adopted by both of you in a group setting.”
2.3. Perception of the Persuasive Interaction
Assessment of Individual Differences
2.4. fNIRS Data Acquisition and Processing
2.5. Data Analysis
2.5.1. fNIRS Interbrain Data Analysis
2.5.2. Correlation Analysis Between fNIRS and Psychometric Data
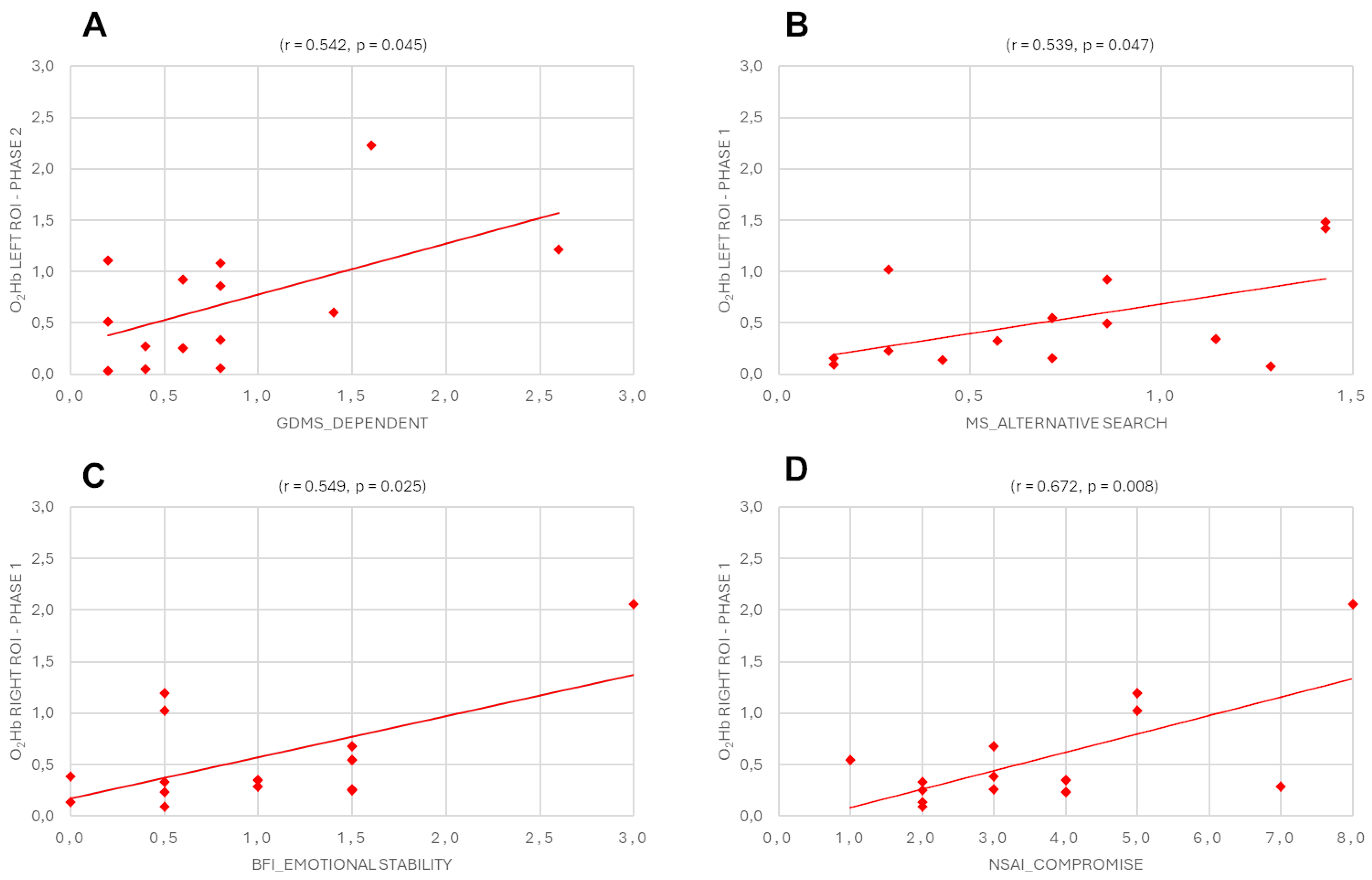
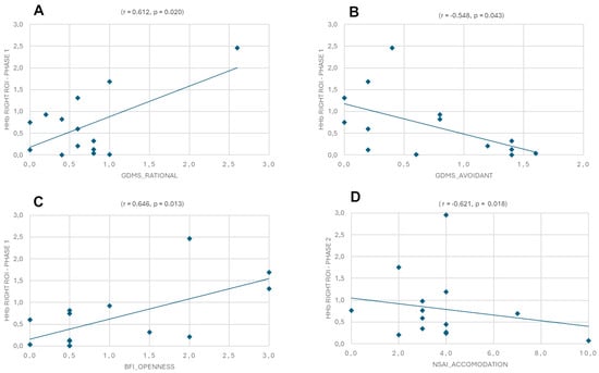
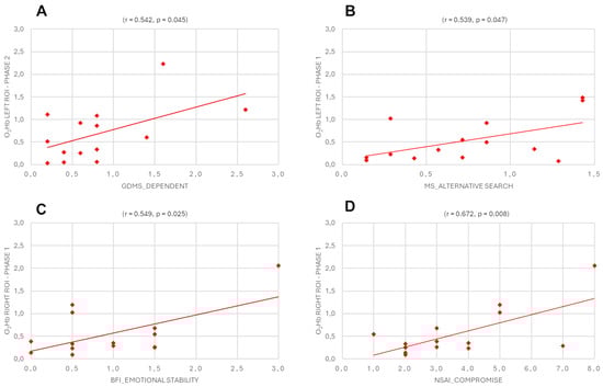
3. Results
Correlational Results
4. Discussion
5. Conclusions
Author Contributions
Funding
Institutional Review Board Statement
Informed Consent Statement
Data Availability Statement
Conflicts of Interest
References
- Rovelli, K.; Allegretta, R.A. Framing Decision-Making: The Role of Executive Functions, Cognitive Bias and Reward. Neuropsychol. Trends 2023, 33, 37–50. [Google Scholar] [CrossRef]
- Balconi, M.; Allegretta, R.A.; Angioletti, L. Metacognition of One’s Strategic Planning in Decision-Making: The Contribution of EEG Correlates and Individual Differences. Cogn. Neurodyn 2025, 19, 4. [Google Scholar] [CrossRef] [PubMed]
- Crivelli, D.; Balconi, M. Shared Emotions, Interpersonal Syntonization, and Group Decision-Making: A Multi-Agent Perspective. Front. Neurosci. 2023, 17, 1251855. [Google Scholar] [CrossRef] [PubMed]
- Chater, N.; Zeitoun, H.; Melkonyan, T. The Paradox of Social Interaction: Shared Intentionality, We-Reasoning, and Virtual Bargaining. Psychol. Rev. 2022, 129, 415–437. [Google Scholar] [CrossRef]
- Cacioppo, J.T.; Cacioppo, S.; Petty, R.E. The Neuroscience of Persuasion: A Review with an Emphasis on Issues and Opportunities. Soc. Neurosci. 2018, 13, 129–172. [Google Scholar] [CrossRef]
- Aquino, A.; Alparone, F.R.; Pagliaro, S.; Haddock, G.; Maio, G.R.; Perrucci, M.G.; Ebisch, S.J.H. Sense or Sensibility? The Neuro-Functional Basis of the Structural Matching Effect in Persuasion. Cogn. Affect. Behav. Neurosci. 2020, 20, 536–550. [Google Scholar] [CrossRef]
- Cascio, C.N.; Scholz, C.; Falk, E.B. Social Influence and the Brain: Persuasion, Susceptibility to Influence and Retransmission. Curr. Opin. Behav. Sci. 2015, 3, 51–57. [Google Scholar] [CrossRef]
- Redcay, E.; Schilbach, L. Using Second-Person Neuroscience to Elucidate the Mechanisms of Social Interaction. Nat. Rev. Neurosci. 2019, 20, 495–505. [Google Scholar] [CrossRef]
- Cascio, C.N.; O’Donnell, M.B.; Bayer, J.; Tinney, F.J.; Falk, E.B. Neural Correlates of Susceptibility to Group Opinions in Online Word-of-Mouth Recommendations. J. Mark. Res. 2015, 52, 559–575. [Google Scholar] [CrossRef]
- Falk, E.B.; Morelli, S.A.; Welborn, B.L.; Dambacher, K.; Lieberman, M.D. Creating Buzz: The Neural Correlates of Effective Message Propagation. Psychol. Sci. 2013, 24, 1234–1242. [Google Scholar] [CrossRef]
- Falk, E.; Scholz, C. Persuasion, Influence, and Value: Perspectives from Communication and Social Neuroscience. Annu. Rev. Psychol. 2018, 69, 329–356. [Google Scholar] [CrossRef] [PubMed]
- Li, Y.; Luo, X.; Wang, K.; Li, X. Persuader-Receiver Neural Coupling Underlies Persuasive Messaging and Predicts Persuasion Outcome. Cereb. Cortex 2023, 33, 6818–6833. [Google Scholar] [CrossRef] [PubMed]
- Iacoboni, M. Imitation, Empathy, and Mirror Neurons. Annu. Rev. Psychol. 2009, 60, 653–670. [Google Scholar] [CrossRef] [PubMed]
- Cui, X.; Bray, S.; Bryant, D.M.; Glover, G.H.; Reiss, A.L. A Quantitative Comparison of NIRS and FMRI across Multiple Cognitive Tasks. Neuroimage 2011, 54, 2808–2821. [Google Scholar] [CrossRef]
- Burns, S.M.; Barnes, L.N.; McCulloh, I.A.; Dagher, M.M.; Falk, E.B.; Storey, J.D.; Lieberman, M.D. Making Social Neuroscience Less WEIRD: Using FNIRS to Measure Neural Signatures of Persuasive Influence in a Middle East Participant Sample. J. Pers. Soc. Psychol. 2019, 116, e1–e11. [Google Scholar] [CrossRef]
- Hoshi, Y. Hemodynamic Signals in FNIRS. Prog. Brain Res. 2016, 225, 153–179. [Google Scholar] [CrossRef]
- Sato, H.; Yahata, N.; Funane, T.; Takizawa, R.; Katura, T.; Atsumori, H.; Nishimura, Y.; Kinoshita, A.; Kiguchi, M.; Koizumi, H.; et al. A NIRS–FMRI Investigation of Prefrontal Cortex Activity during a Working Memory Task. Neuroimage 2013, 83, 158–173. [Google Scholar] [CrossRef]
- Cui, X.; Bray, S.; Reiss, A.L. Functional near Infrared Spectroscopy (NIRS) Signal Improvement Based on Negative Correlation between Oxygenated and Deoxygenated Hemoglobin Dynamics. Neuroimage 2010, 49, 3039–3046. [Google Scholar] [CrossRef]
- Strangman, G.; Culver, J.P.; Thompson, J.H.; Boas, D.A. A Quantitative Comparison of Simultaneous BOLD FMRI and NIRS Recordings during Functional Brain Activation. Neuroimage 2002, 17, 719–731. [Google Scholar] [CrossRef]
- Balconi, M.; Vanutelli, M.E.; Bartolo, A.; Cortesi, L. Transitive and Intransitive Gesture Execution and Observation Compared to Resting State: The Hemodynamic Measures (FNIRS). Cogn. Process 2015, 16, 125–129. [Google Scholar] [CrossRef]
- Rahman, M.A.; Siddik, A.B.; Ghosh, T.K.; Khanam, F.; Ahmad, M. A Narrative Review on Clinical Applications of FNIRS. J. Digit. Imaging 2020, 33, 1167–1184. [Google Scholar] [CrossRef] [PubMed]
- Schilbach, L. A Second-Person Approach to Other Minds. Nat. Rev. Neurosci. 2010, 11, 449. [Google Scholar] [CrossRef] [PubMed]
- Montague, P.R.; Berns, G.S.; Cohen, J.D.; McClure, S.M.; Pagnoni, G.; Dhamala, M.; Wiest, M.C.; Karpov, I.; King, R.D.; Apple, N.; et al. Hyperscanning: Simultaneous FMRI during Linked Social Interactions. Neuroimage 2002, 16, 1159–1164. [Google Scholar] [CrossRef]
- Balconi, M.; Vanutelli, M.E. Competition in the Brain. The Contribution of EEG and FNIRS Modulation and Personality Effects in Social Ranking. Front. Psychol. 2016, 7, 212981. [Google Scholar] [CrossRef]
- Balconi, M.; Allegretta, R.A.; Angioletti, L. Autonomic Synchrony Induced by Hyperscanning Interoception during Interpersonal Synchronization Tasks. Front. Hum. Neurosci. 2023, 17, 1200750. [Google Scholar] [CrossRef]
- Babiloni, F.; Astolfi, L. Social Neuroscience and Hyperscanning Techniques: Past, Present and Future. Neurosci. Biobehav. Rev. 2014, 44, 76–93. [Google Scholar] [CrossRef]
- Hirsch, J.; Tiede, M.; Zhang, X.; Noah, J.A.; Salama-Manteau, A.; Biriotti, M. Interpersonal Agreement and Disagreement During Face-to-Face Dialogue: An FNIRS Investigation. Front. Hum. Neurosci. 2021, 14, 606397. [Google Scholar] [CrossRef]
- Angioletti, L.; Acconito, C.; Saquella, F.; Balconi, M. Central (Hemodynamic) and Peripheral (Autonomic) Synergy During Persuasion Within a Shared Decision-Making Process. Appl. Sci. 2025, 15, 1361. [Google Scholar] [CrossRef]
- Killgore, W.D.S.; Yurgelun-Todd, D.A. The Right-Hemisphere and Valence Hypotheses: Could They Both Be Right (and Sometimes Left)? Soc. Cogn. Affect. Neurosci. 2007, 2, 240–250. [Google Scholar] [CrossRef]
- Cacioppo, J.T.; Petty, R.E. The Need for Cognition. J. Pers. Soc. Psychol. 1982, 42, 116–131. [Google Scholar] [CrossRef]
- Mayer, N.D.; Tormala, Z.L. “Think” Versus “Feel” Framing Effects in Persuasion. Pers. Soc. Psychol. Bull. 2010, 36, 443–454. [Google Scholar] [CrossRef] [PubMed]
- Guido, G.; Peluso, A.M.; Capestro, M.; Miglietta, M. An Italian Version of the 10-Item Big Five Inventory: An Application to Hedonic and Utilitarian Shopping Values. Pers. Individ. Dif. 2015, 76, 135–140. [Google Scholar] [CrossRef]
- Wall, H.J.; Campbell, C.C.; Kaye, L.K.; Levy, A.; Bhullar, N. Personality Profiles and Persuasion: An Exploratory Study Investigating the Role of the Big-5, Type D Personality and the Dark Triad on Susceptibility to Persuasion. Pers. Individ. Dif. 2019, 139, 69–76. [Google Scholar] [CrossRef]
- Oreg, S.; Sverdlik, N. Source Personality and Persuasiveness: Big Five Predispositions to Being Persuasive and the Role of Message Involvement. J. Pers. 2014, 82, 250–264. [Google Scholar] [CrossRef]
- Alkiş, N.; Taşkaya Temizel, T. The Impact of Individual Differences on Influence Strategies. Pers. Individ. Dif. 2015, 87, 147–152. [Google Scholar] [CrossRef]
- Gambetti, E.; Fabbri, M.; Bensi, L.; Tonetti, L. A Contribution to the Italian Validation of the General Decision-Making Style Inventory. Pers. Individ. Dif. 2008, 44, 842–852. [Google Scholar] [CrossRef]
- Scott, S.G.; Bruce, R.A. Decision-Making Style: The Development and Assessment of a New Measure. Educ. Psychol. Meas. 1995, 55, 818–831. [Google Scholar] [CrossRef]
- Schwartz, B. Self-Determination: The Tyranny of Freedom. Am. Psychol. 2000, 55, 79. [Google Scholar] [CrossRef]
- Nenkov, G.Y.; Morrin, M.; Ward, A.; Schwartz, B.; Hulland, J. A Short Form of the Maximization Scale: Factor Structure, Reliability and Validity Studies. Judgm. Decis. Mak. 2008, 3, 371–388. [Google Scholar] [CrossRef]
- Schwartz, B.; Ward, A.; Lyubomirsky, S.; Monterosso, J.; White, K.; Lehman, D.R. Maximizing versus Satisficing: Happiness Is a Matter of Choice. J. Pers. Soc. Psychol. 2002, 83, 1178–1197. [Google Scholar] [CrossRef]
- Turner, B.M.; Bin Rim, H.; Betz, N.E.; Nygren, T.E. The Maximization Inventory. Judgm. Decis. Mak. 2012, 7, 48–60. [Google Scholar] [CrossRef]
- Kayi, S.A.; Kofi Tetteh, J.; Serwaa Ofosu, V.; Kumudayiri Kantorgorje, C. Language of Persuasion and Negotiation in Ghanaian Market. Univers. J. Lit. Linguist. 2022, 2, 10–21. [Google Scholar] [CrossRef]
- Tero International, Inc. Negotiations Self-Assessment Inventory (NSAI). 2014. Available online: https://www.tero.com/pdfs/negassessment.pdf (accessed on 13 November 2024).
- Zhang, M.; Jia, H.; Zheng, M.; Liu, T. Group Decision-Making Behavior in Social Dilemmas: Inter-Brain Synchrony and the Predictive Role of Personality Traits. Pers. Individ. Dif. 2021, 168, 110315. [Google Scholar] [CrossRef]
- LePine, J.A.; Van Dyne, L. Voice and Cooperative Behavior as Contrasting Forms of Contextual Performance: Evidence of Differential Relationships with Big Five Personality Characteristics and Cognitive Ability. J. Appl. Psychol. 2001, 86, 326. [Google Scholar] [CrossRef]
- Krogel, J.; Burlingame, G.; Chapman, C.; Renshaw, T.; Gleave, R.; Beecher, M.; MacNair-Semands, R. The Group Questionnaire: A Clinical and Empirically Derived Measure of Group Relationship. Psychother. Res. 2013, 23, 344–354. [Google Scholar] [CrossRef]
- Oostenveld, R.; Praamstra, P. The Five Percent Electrode System for High-Resolution EEG and ERP Measurements. Clin. Neurophysiol. 2001, 112, 713–719. [Google Scholar] [CrossRef]
- Zimeo Morais, G.A.; Balardin, J.B.; Sato, J.R. FNIRS Optodes’ Location Decider (FOLD): A Toolbox for Probe Arrangement Guided by Brain Regions-of-Interest. Sci. Rep. 2018, 8, 3341. [Google Scholar] [CrossRef]
- Koessler, L.; Maillard, L.; Benhadid, A.; Vignal, J.P.; Felblinger, J.; Vespignani, H.; Braun, M. Automated Cortical Projection of EEG Sensors: Anatomical Correlation via the International 10–10 System. Neuroimage 2009, 46, 64–72. [Google Scholar] [CrossRef]
- Giacometti, P.; Perdue, K.L.; Diamond, S.G. Algorithm to Find High Density EEG Scalp Coordinates and Analysis of Their Correspondence to Structural and Functional Regions of the Brain. J. Neurosci. Methods 2014, 229, 84–96. [Google Scholar] [CrossRef]
- Balconi, M.; Fronda, G.; Vanutelli, M.E. Donate or Receive? Social Hyperscanning Application with FNIRS. Curr. Psychol. 2019, 38, 991–1002. [Google Scholar] [CrossRef]
- Balconi, M.; Vanutelli, M.E. Interbrains Cooperation: Hyperscanning and Self-Perception in Joint Actions. J. Clin. Exp. Neuropsychol. 2017, 39, 607–620. [Google Scholar] [CrossRef] [PubMed]
- Pinti, P.; Aichelburg, C.; Lind, F.; Power, S.; Swingler, E.; Merla, A.; Hamilton, A.; Gilber, S.; Burgess, P.; Tachtsidis, I. Using Fiberless, Wearable FNIRS to Monitor Brain Activity in Real-World Cognitive Tasks. J. Vis. Exp. 2015, 2015, 53336. [Google Scholar] [CrossRef]
- Naseer, N.; Hong, K.S. Classification of Functional Near-Infrared Spectroscopy Signals Corresponding to the Right- and Left-Wrist Motor Imagery for Development of a Brain–Computer Interface. Neurosci. Lett. 2013, 553, 84–89. [Google Scholar] [CrossRef] [PubMed]
- Naseer, N.; Hong, M.J.; Hong, K.S. Online Binary Decision Decoding Using Functional Near-Infrared Spectroscopy for the Development of Brain-Computer Interface. Exp. Brain Res. 2014, 232, 555–564. [Google Scholar] [CrossRef]
- Dietvorst, R.C.; Verbeke, W.J.M.I.; Bagozzi, R.P.; Yoon, C.; Smits, M.; Van Der, L. A Sales Force-Specific Theory-of-Mind Scale: Tests of Its Validity by Classical Methods and Functional Magnetic Resonance Imaging. J. Mark. Res. 2009, 46, 653–668. [Google Scholar] [CrossRef]
- Loewenstein, G. Risk as Feelings. Psychol. Bull. 2001, 127, 267–286. [Google Scholar] [CrossRef]
- Beattie, J.; Barlas, S. Predicting Perceived Differences in Tradeoff Difficulty. In Conflict and Tradeoffs in Decision Making; Weber, J., Baron, J., Loomes, G., Eds.; Cambridge University Press: New York, NY, USA, 2001; pp. 25–64. [Google Scholar]
- Luce, M.F. Choosing to Avoid: Coping with Negatively Emotion-Laden Consumer Decisions. J. Consum. Res. 1998, 24, 409–433. [Google Scholar] [CrossRef]
- Luce, M.F.; Bettman, J.R.; Payne, J.W. Choice Processing in Emotionally Difficult Decisions. J. Exp. Psychol. Learn. Mem. Cogn. 1997, 23, 384. [Google Scholar] [CrossRef]
- Riis, J.; Schwarz, N. Status Quo Selection Increases with Consecutive Emotionally Difficult Decisions. In Proceedings of the Poster Presented at the Meeting of the Society for Judgment and Decision Making, New Orleans, LA, USA, 18–20 November 2000. [Google Scholar]
- Witteman, C.; Van Den Bercken, J.; Claes, L.; Godoy, A. Assessing Rational and Intuitive Thinking Styles. Eur. J. Psychol. Assess. 2009, 25, 39–47. [Google Scholar] [CrossRef]
- Pacini, R.; Epstein, S. The Relation of Rational and Experiential Information Processing Styles to Personality, Basic Beliefs, and the Ratio-Bias Phenomenon. J. Pers. Soc. Psychol. 1999, 76, 972. [Google Scholar] [CrossRef]
- Reyna, C.; Ortiz, M.V. Psychometric Study of the Rational Experiential Inventory among Undergraduate Argentinean Students. Rev. Psicol. 2016, 34, 337–355. [Google Scholar] [CrossRef][Green Version]
- Adorni, R.; Gatti, A.; Brugnera, A.; Sakatani, K.; Compare, A. Could FNIRS Promote Neuroscience Approach in Clinical Psychology? Front. Psychol. 2016, 7, 456. [Google Scholar] [CrossRef] [PubMed]
- Rimal, R.N.; Lapinski, M.K. A Re-Explication of Social Norms, Ten Years Later. Commun. Theory 2015, 25, 393–409. [Google Scholar] [CrossRef]
- Balconi, M.; Grippa, E.; Vanutelli, M.E. What Hemodynamic (FNIRS), Electrophysiological (EEG) and Autonomic Integrated Measures Can Tell Us about Emotional Processing. Brain Cogn. 2015, 95, 67–76. [Google Scholar] [CrossRef]
- Fronda, G.; Balconi, M. What Hyperscanning and Brain Connectivity for Hemodynamic (FNIRS), Electrophysiological (EEG) and Behavioral Measures Can Tell Us about Prosocial Behavior. Psychol. Neurosci. 2022, 15, 147. [Google Scholar] [CrossRef]
- Balconi, M.; Angioletti, L. Dyadic Inter-Brain EEG Coherence Induced by Interoceptive Hyperscanning. Sci. Rep. 2023, 13, 4344. [Google Scholar] [CrossRef]






| N | Mean Age | ||
|---|---|---|---|
| Dyad gender | Male–Male | 4 | 26.25 |
| Female–Female | 10 | 25.15 | |
| Total subjects | Male | 8 | 26.25 |
| Female | 20 | 25.15 | |
| Persuader | Male | 4 | 29.25 |
| Female | 10 | 26.21 | |
| Persuaded | Male | 4 | 23.25 |
| Female | 10 | 24.20 |
Disclaimer/Publisher’s Note: The statements, opinions and data contained in all publications are solely those of the individual author(s) and contributor(s) and not of MDPI and/or the editor(s). MDPI and/or the editor(s) disclaim responsibility for any injury to people or property resulting from any ideas, methods, instructions or products referred to in the content. |
© 2025 by the authors. Licensee MDPI, Basel, Switzerland. This article is an open access article distributed under the terms and conditions of the Creative Commons Attribution (CC BY) license (https://creativecommons.org/licenses/by/4.0/).
Share and Cite
Balconi, M.; Allegretta, R.A.; Acconito, C.; Saquella, F.; Angioletti, L. The Functional Signature of Decision Making Across Dyads During a Persuasive Scenario: Hemodynamic fNIRS Coherence Measure. Sensors 2025, 25, 1880. https://doi.org/10.3390/s25061880
Balconi M, Allegretta RA, Acconito C, Saquella F, Angioletti L. The Functional Signature of Decision Making Across Dyads During a Persuasive Scenario: Hemodynamic fNIRS Coherence Measure. Sensors. 2025; 25(6):1880. https://doi.org/10.3390/s25061880
Chicago/Turabian StyleBalconi, Michela, Roberta A. Allegretta, Carlotta Acconito, Federica Saquella, and Laura Angioletti. 2025. "The Functional Signature of Decision Making Across Dyads During a Persuasive Scenario: Hemodynamic fNIRS Coherence Measure" Sensors 25, no. 6: 1880. https://doi.org/10.3390/s25061880
APA StyleBalconi, M., Allegretta, R. A., Acconito, C., Saquella, F., & Angioletti, L. (2025). The Functional Signature of Decision Making Across Dyads During a Persuasive Scenario: Hemodynamic fNIRS Coherence Measure. Sensors, 25(6), 1880. https://doi.org/10.3390/s25061880

