An Investigation on the Ball Screw-Based Variable Displacement Mechanism for Axial Piston Pumps with Feedforward Differential Input Control
Abstract
1. Introduction
2. Structure and Analysis of the Ball Screw Variable Mechanism (BSVM) System
2.1. Analysis of the Valve-Controlled Cylinder Variable Mechanism (VCCVM)
2.2. Structure and Operating Principle of the Ball Screw Variable Mechanism (BSVM) System
2.3. Mechanical Dynamics Model
2.4. Analysis of Forces on the Swash Plate
2.5. Stiffness Analysis of the Variable Mechanism
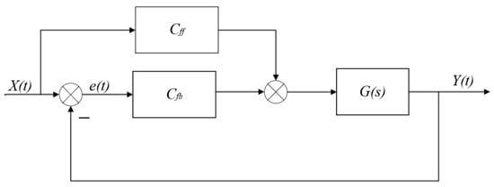
3. Controller Design
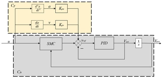
3.1. Design of Sliding Mode Control
3.2. Velocity and Acceleration Feedforward Compensation
4. Results of Experiments and Discussion
4.1. Experimental Setup
4.2. BSVM Simulation Verification
4.3. Comparative Experimental Study on the Performance of VCCVM and BSVM
4.4. Comparative Experimental Study on the Performance of PID and VFSMC
5. Conclusions
Author Contributions
Funding
Institutional Review Board Statement
Informed Consent Statement
Data Availability Statement
Acknowledgments
Conflicts of Interest
References
- Khan, H.A.; Bhatti, U.; Kamal, K.; Alkahtani, M.; Abidi, M.H.; Mathavan, S. Fault Classification for Cooling System of Hydraulic Machinery Using AI. Sensors 2023, 23, 7152. [Google Scholar] [CrossRef] [PubMed]
- Quan, Z.Y.; Quan, L.; Zhang, J.M. Review of energy efficient direct pump controlled cylinder electro-hydraulic technology. Renew. Sustain. Energy Rev. 2014, 35, 336–346. [Google Scholar] [CrossRef]
- Imam, A.; Rafiq, M.; Jalayeri, E.; Sepehri, N. Design, Implementation and Evaluation of a Pump-Controlled Circuit for Single Rod Actuators. Actuators 2017, 6, 10. [Google Scholar] [CrossRef]
- Yang, Y.F.; Ding, L.; Xiao, J.H.; Fang, G.A.; Li, J. Current Status and Applications for Hydraulic Pump Fault Diagnosis: A Review. Sensors 2022, 22, 9714. [Google Scholar] [CrossRef]
- Deng, W.X.; Yao, J.Y.; Ma, D.W. Robust adaptive precision motion control of hydraulic actuators with valve dead-zone compensation. Isa Trans. 2017, 70, 269–278. [Google Scholar] [CrossRef]
- Shen, W.; Zhao, H. Fault tolerant control of nonlinear hydraulic systems with prescribed performance constraint. ISA Trans 2022, 131, 1–14. [Google Scholar] [CrossRef]
- Yang, G.C.; Yao, J.Y. Nonlinear adaptive output feedback robust control of hydraulic actuators with largely unknown modeling uncertainties. Appl. Math. Model. 2020, 79, 824–842. [Google Scholar] [CrossRef]
- Guan, C.; Pan, S.X. Adaptive sliding mode control of electro-hydraulic system with nonlinear unknown parameters. Control Eng. Pract. 2008, 16, 1275–1284. [Google Scholar] [CrossRef]
- Ivantysynova, J.G.M. An Investigation of Swash Plate Control Concepts for Displacement Controlled Actuators. Int. J. Fluid Power 2005, 6, 19–36. [Google Scholar]
- He, W.; Huang, J.-H.; Hao, H.-M.; Quan, L.; Ji, S.-x.; Zhao, B. Design and Analysis of a Swashplate Control System for an Asymmetric Axial Piston Pump. J. Dyn. Syst. Meas. Control 2020, 142, 021005. [Google Scholar] [CrossRef]
- Helian, B.; Mustalahti, P.; Mattila, J.; Chen, Z.; Yao, B. Adaptive robust pressure control of variable displacement axial piston pumps with a modified reduced-order dynamic model. Mechatronics 2022, 87, 102879. [Google Scholar] [CrossRef]
- Song, Y.; Wang, D.; Ren, H.; Cai, J.; Jing, B. Research on hydraulic pump displacement control using PI and feed-forward compensation. Adv. Mech. Eng. 2017, 9, 1687814017744087. [Google Scholar] [CrossRef]
- Achten, P. Dynamic high-frequency behaviour of the swash plate in a variable displacement axial piston pump. Proc. Inst. Mech. Eng. Part I J. Syst. Control Eng. 2013, 227, 529–540. [Google Scholar] [CrossRef]
- Kamalzadeh, A.; Gordon, D.J.; Erkorkmaz, K. Robust compensation of elastic deformations in ball screw drives. Int. J. Mach. Tools Manuf. 2010, 50, 559–574. [Google Scholar] [CrossRef]
- Vicente, D.A.; Hecker, R.L.; Villegas, F.J.; Flores, G.M. Modeling and vibration mode analysis of a ball screw drive. Int. J. Adv. Manuf. Technol. 2012, 58, 257–265. [Google Scholar] [CrossRef]
- Verl, A.; Frey, S. Correlation between feed velocity and preloading in ball screw drives. Cirp Ann.-Manuf. Technol. 2010, 59, 429–432. [Google Scholar] [CrossRef]
- Liu, X.; Li, Y.G.; Cheng, Y.H.; Cai, Y. Sparse identification for ball-screw drives considering position-dependent dynamics and nonlinear friction. Robot. Comput.-Integr. Manuf. 2023, 81, 102486. [Google Scholar] [CrossRef]
- Yang, H.J.; Wang, Z.H.; Zhang, T.; Du, F.X. A review on vibration analysis and control of machine tool feed drive systems. Int. J. Adv. Manuf. Technol. 2020, 107, 503–525. [Google Scholar] [CrossRef]
- Feng, G.-H.; Pan, Y.-L. Investigation of ball screw preload variation based on dynamic modeling of a preload adjustable feed-drive system and spectrum analysis of ball-nuts sensed vibration signals. Int. J. Mach. Tools Manuf. 2012, 52, 85–96. [Google Scholar] [CrossRef]
- Kim, M.-S.; Chung, S.-C. Integrated design methodology of ball-screw driven servomechanisms with discrete controllers. Part I: Modelling and performance analysis. Mechatronics 2006, 16, 491–502. [Google Scholar] [CrossRef]
- Chou, C.H.; Duan, M.L.; Okwudire, C.E. A linear hybrid model for enhanced servo error pre-compensation of feed drives with unmodeled nonlinear dynamics. Cirp Ann.-Manuf. Technol. 2021, 70, 301–304. [Google Scholar] [CrossRef]
- Okwudire, C.E.; Altintas, Y. Hybrid Modeling of Ball Screw Drives With Coupled Axial, Torsional, and Lateral Dynamics. J. Mech. Des. 2009, 131, 071002. [Google Scholar] [CrossRef]
- Zhao, J.S.; Gong, X.X.; Zhao, C.Y.; Xu, M.T.; Liu, C.; Wen, B.C. Investigations on contact characteristics of ball screw considering flexible deformation of screw and nut. Nonlinear Dyn. 2024, 112, 17745–17779. [Google Scholar] [CrossRef]
- Tian, F.Q.; Zhu, J.M.; Li, X.R.; Huang, Z.W. Modeling and Dynamic Characteristic Analysis of a Ball Screw Feed Drive System Based on Receptance Coupling. Teh Vjesn 2021, 28, 1691–1700. [Google Scholar] [CrossRef]
- Erkorkmaz, K.; Altintas, Y. High speed CNC system design. Part III: High speed tracking and contouring control of feed drives. Int. J. Mach. Tools Manuf. 2001, 41, 1637–1658. [Google Scholar] [CrossRef]
- Gordon, D.J.; Erkorkmaz, K. Accurate control of ball screw drives using pole-placement vibration damping and a novel trajectory prefilter. Precis. Eng. 2013, 37, 308–322. [Google Scholar] [CrossRef]
- Hanifzadegan, M.; Nagamune, R. Tracking and Structural Vibration Control of Flexible Ball–Screw Drives With Dynamic Variations. IEEE/ASME Trans. Mechatron. 2015, 20, 133–142. [Google Scholar] [CrossRef]
- Hanifzadegan, M.; Nagamune, R. Smooth switching LPV controller design for LPV systems. Automatica 2014, 50, 1481–1488. [Google Scholar] [CrossRef]
- Dong, L.; Tang, W. Hybrid Modeling and Analysis of Structural Dynamic of a Ball Screw Feed Drive System. Mechanika 2013, 19, 316–323. [Google Scholar] [CrossRef]
- Munoa, J.; Beudaert, X.; Erkorkmaz, K.; Iglesias, A.; Barrios, A.; Zatarain, M. Active suppression of structural chatter vibrations using machine drives and accelerometers. CIRP Ann. 2015, 64, 385–388. [Google Scholar] [CrossRef]
- Kong, X.D.; Yu, B.; Quan, L.X.; Ba, K.X.; Wu, L.J. Nonlinear mathematical modeling and sensitivity analysis of hydraulic drive unit. Chin. J. Mech. Eng. 2015, 28, 999–1011. [Google Scholar] [CrossRef]
- Zhang, J.; Zhang, H.J.; Du, C.; Zhao, W.H. Research on the dynamics of ball screw feed system with high acceleration. Int. J. Mach. Tools Manuf. 2016, 111, 9–16. [Google Scholar] [CrossRef]
- Li, L.; Zhang, Q.W.; Zhang, T.; Zou, Y.B. Vibration suppression of ball-screw drive system based on flexible dynamics model. Eng. Appl. Artif. Intell. 2023, 117, 105506. [Google Scholar] [CrossRef]
- Li, F.H.; Jiang, Y.; Li, T.M.; Du, Y.S. An improved dynamic model of preloaded ball screw drives considering torque transmission and its application to frequency analysis. Adv. Mech. Eng. 2017, 9, 1687814017710580. [Google Scholar] [CrossRef]
- Bertolino, A.C.; De Martin, A.; Mauro, S.; Sorli, M. Exact Formulation for the Curvature of Gothic Arch Ball Screw Profiles and New Approximated Solution Based on Simplified Groove Geometry. Machines 2023, 11, 261. [Google Scholar] [CrossRef]
- Zhang, G.; Jin, H.; Lin, Y.-J. Attaining Ultraprecision Machining by Feed Drive System Stability Control with Piezoelectric Preloading Actuators. Appl. Sci. 2021, 11, 8491. [Google Scholar] [CrossRef]
- Dumanli, A.; Sencer, B. Optimal high-bandwidth control of ball-screw drives with acceleration and jerk feedback. Precis. Eng. 2018, 54, 254–268. [Google Scholar] [CrossRef]

















| Symbols | Descriptions |
|---|---|
| Output flow rate | |
| Flow gain coefficient of the valve | |
| Electrical signals of electromagnetic proportional valves | |
| Supply pressure of the control oil source | |
| Pressure differential between two chambers | |
| Cross-sectional area of the cylinder | |
| Displacement of variable mechanism | |
| Total leakage coefficient | |
| Variable cylinder total volume | |
| Elastic modulus of the fluid | |
| Valve-controlled cylinder mass | |
| Viscous damping coefficient of the variable piston cylinder | |
| k | System spring stiffness |
| External disturbance | |
| External load pressure | |
| Tilt angle of the swash plate | |
| Distance from the point of action of the variable mechanism on the swash plate to the rotation axis of the swash plate | |
| Plunger distribution radius in cylinder bore | |
| Rotational angle of the cylinder corresponding to the plunger shoe assembly | |
| Number of plungers in the high-pressure discharge region | |
| Plunger mass | |
| Spindle speed | |
| Elastic modulus of the screw rod | |
| Total length of the ball screw | |
| Contact angle between the balls and the screw | |
| Helix angle of the screw |
Disclaimer/Publisher’s Note: The statements, opinions and data contained in all publications are solely those of the individual author(s) and contributor(s) and not of MDPI and/or the editor(s). MDPI and/or the editor(s) disclaim responsibility for any injury to people or property resulting from any ideas, methods, instructions or products referred to in the content. |
© 2025 by the authors. Licensee MDPI, Basel, Switzerland. This article is an open access article distributed under the terms and conditions of the Creative Commons Attribution (CC BY) license (https://creativecommons.org/licenses/by/4.0/).
Share and Cite
Zhang, G.; Wang, B.; Lin, Y.-J. An Investigation on the Ball Screw-Based Variable Displacement Mechanism for Axial Piston Pumps with Feedforward Differential Input Control. Sensors 2025, 25, 994. https://doi.org/10.3390/s25040994
Zhang G, Wang B, Lin Y-J. An Investigation on the Ball Screw-Based Variable Displacement Mechanism for Axial Piston Pumps with Feedforward Differential Input Control. Sensors. 2025; 25(4):994. https://doi.org/10.3390/s25040994
Chicago/Turabian StyleZhang, Guangcheng, Bokai Wang, and Yueh-Jaw Lin. 2025. "An Investigation on the Ball Screw-Based Variable Displacement Mechanism for Axial Piston Pumps with Feedforward Differential Input Control" Sensors 25, no. 4: 994. https://doi.org/10.3390/s25040994
APA StyleZhang, G., Wang, B., & Lin, Y.-J. (2025). An Investigation on the Ball Screw-Based Variable Displacement Mechanism for Axial Piston Pumps with Feedforward Differential Input Control. Sensors, 25(4), 994. https://doi.org/10.3390/s25040994

