A Numerical and Experimental Investigation of the Most Fundamental Time-Domain Input–Output System Identification Methods for the Normal Modal Analysis of Flexible Structures
Abstract
1. Introduction
1.1. Formulation of the Problem of Interest for This Study
1.2. Literature Review
1.3. Scope and Contributions of This Investigation
1.4. Organization of the Manuscript
2. Time-Domain System Identification Methods
2.1. Mathematical Background
2.2. ARX Method
2.3. SSEST Method
2.4. N4SID Method
2.5. ERA/OKID Method
2.6. TFEST Method
2.7. MSD Method
2.8. PDC Method
2.9. MOR/BTM Method
3. Case Study
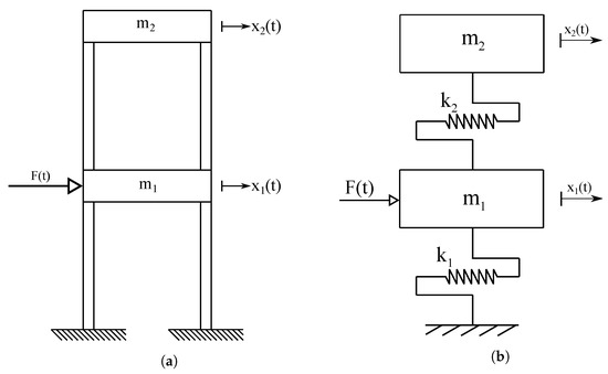
3.1. Experimental Test Rig
3.2. Experimental Modal Analysis
3.3. Lumped Parameter Model of the Case Study
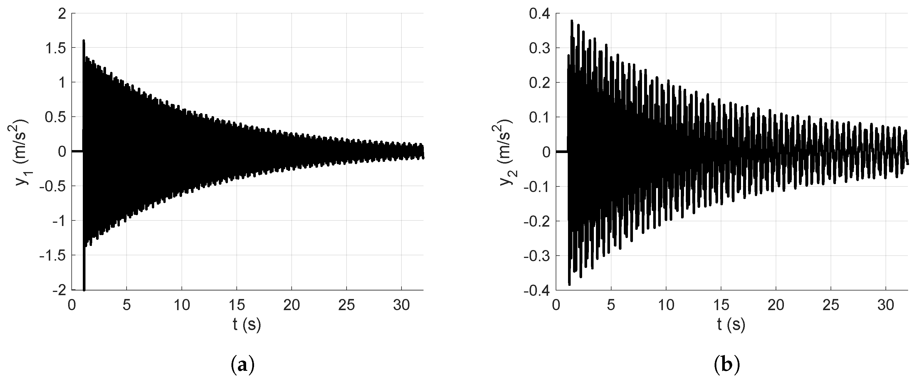
3.4. Lumped Parameter Model Numerical Results
4. Results and Discussion
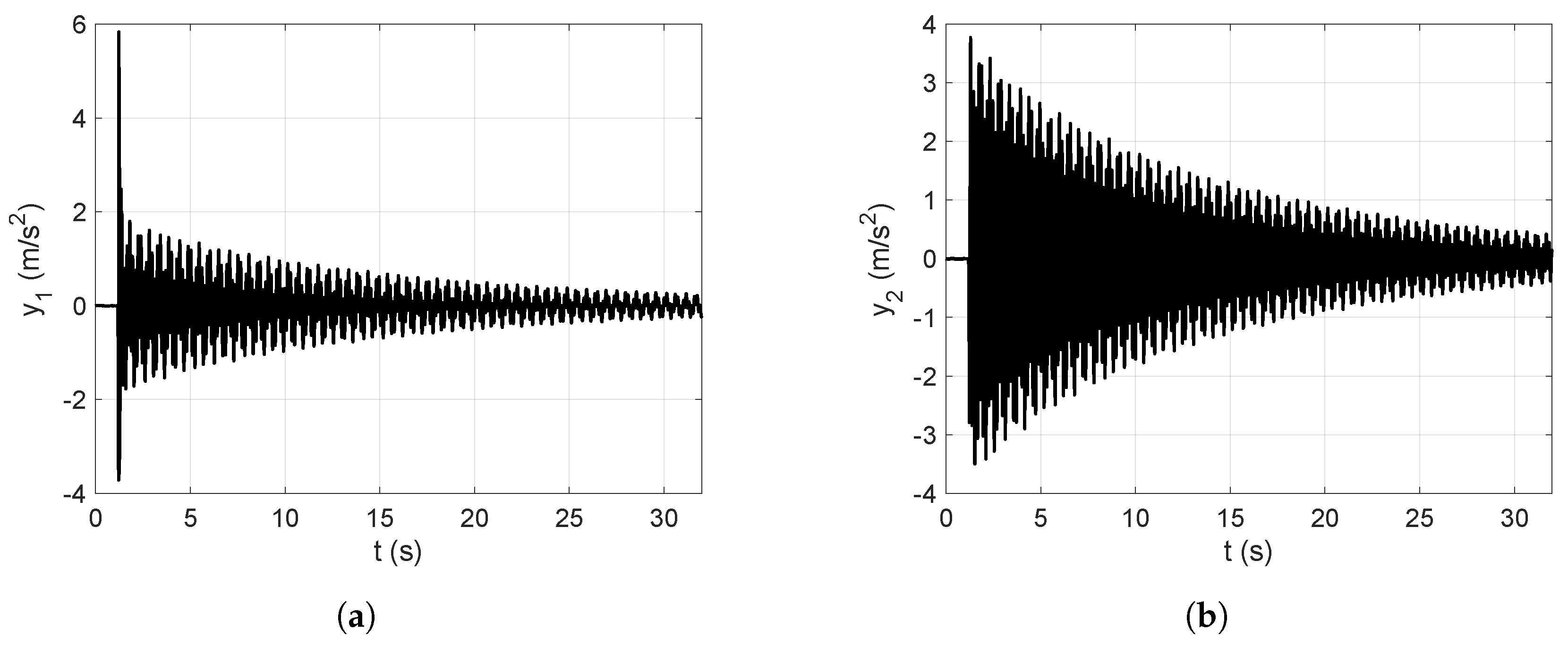
4.1. Test Rig Experimental Measurements


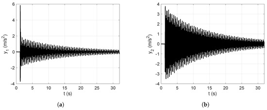
4.2. System Identification Experimental Results
4.3. Comparative Analysis and Final Remarks
5. Summary, Conclusions, and Future Work
Author Contributions
Funding
Institutional Review Board Statement
Informed Consent Statement
Data Availability Statement
Conflicts of Interest
Appendix A. Experimental Results of All the System Identification Methods Considered in the Paper
Appendix A.1. ARX Method Experimental Results
Appendix A.2. SSEST Method Experimental Results
Appendix A.3. N4SID Method Experimental Results
Appendix A.4. ERA/OKID Method Experimental Results
Appendix A.5. TFEST Method Experimental Results
References
- Juang, J.N. Applied System Identification; Prentice-Hall, Inc.: Hoboken, NJ, USA, 1995. [Google Scholar]
- Van Overschee, P.; Moor, D. Subspace Identification for Linear Systems: Theory Implementation Applications; Springer Science & Business Media: Berlin/Heidelberg, Germany, 2012. [Google Scholar]
- Shokravi, H.; Shokravi, H.; Bakhary, N.; Rahimian Koloor, S.S.; Petru, M. Health monitoring of civil infrastructures by subspace system identification method: An overview. Appl. Sci. 2020, 10, 2786. [Google Scholar] [CrossRef]
- Ljung, L. Perspectives on system identification. Annu. Rev. Control 2010, 34, 1–12. [Google Scholar] [CrossRef]
- Katayama, T. Subspace Methods for System Identification; Springer: Berlin/Heidelberg, Germany, 2005; Volume 1. [Google Scholar]
- Keesman, K.J.; Keesman, K.J. System Identification: An Introduction; Springer: Berlin/Heidelberg, Germany, 2011; Volume 2. [Google Scholar]
- Jiang, J.; Ding, M.; Li, J. A novel time-domain dynamic load identification numerical algorithm for continuous systems. Mech. Syst. Signal Process. 2021, 160, 107881. [Google Scholar] [CrossRef]
- Relan, R.; Tiels, K.; Marconato, A.; Dreesen, P.; Schoukens, J. Data driven discrete-time parsimonious identification of a nonlinear state-space model for a weakly nonlinear system with short data record. Mech. Syst. Signal Process. 2018, 104, 929–943. [Google Scholar] [CrossRef]
- De Simone, M.C.; Guida, D. Identification and control of a unmanned ground vehicle by using Arduino. UPB Sci. Bull. Ser. D 2018, 80, 141–154. [Google Scholar]
- Tangirala, A.K. Principles of System Identification: Theory and Practice; CRC Press: Boca Raton, FL, USA, 2018. [Google Scholar]
- Pillonetto, G.; Chen, T.; Chiuso, A.; De Nicolao, G.; Ljung, L. Regularized System Identification: Learning Dynamic Models from Data; Springer Nature: Berlin/Heidelberg, Germany, 2022. [Google Scholar]
- Schoukens, J.; Ljung, L. Nonlinear system identification: A user-oriented road map. IEEE Control Syst. Mag. 2019, 39, 28–99. [Google Scholar] [CrossRef]
- Li, Y.; Luo, Z.; He, F.; Zhu, Y.; Ge, X. Modeling of rotating machinery: A novel frequency sweep system identification approach. J. Sound Vib. 2021, 494, 115882. [Google Scholar] [CrossRef]
- Impraimakis, M.; Smyth, A.W. Integration, identification, and assessment of generalized damped systems using an online algorithm. J. Sound Vib. 2022, 523, 116696. [Google Scholar] [CrossRef]
- Villecco, F. On the evaluation of errors in the virtual design of mechanical systems. Machines 2018, 6, 36. [Google Scholar] [CrossRef]
- Villecco, F.; Pellegrino, A. Entropic measure of epistemic uncertainties in multibody system models by axiomatic design. Entropy 2017, 19, 291. [Google Scholar] [CrossRef]
- Lin, M.; Cheng, C.; Peng, Z.; Dong, X.; Qu, Y.; Meng, G. Nonlinear dynamical system identification using the sparse regression and separable least squares methods. J. Sound Vib. 2021, 505, 116141. [Google Scholar] [CrossRef]
- Heaney, P.; Bilgen, O. System identification of lumped parameter models for weakly nonlinear systems. J. Sound Vib. 2019, 450, 78–95. [Google Scholar] [CrossRef]
- Nelles, O.; Nelles, O. Nonlinear Dynamic System Identification; Springer: Berlin/Heidelberg, Germany, 2020. [Google Scholar]
- Li, H.; Yang, Z.; Yan, W. An improved AIC onset-time picking method based on regression convolutional neural network. Mech. Syst. Signal Process. 2022, 171, 108867. [Google Scholar] [CrossRef]
- Wang, Z.C.; Ge, B.; Ren, W.X.; Hou, J.J.; Li, D.; He, W.Y.; Chen, T. Discrete analytical mode decomposition with automatic bisecting frequency selection for structural dynamic response analysis and modal identification. J. Sound Vib. 2020, 484, 115520. [Google Scholar] [CrossRef]
- Hansen, M.H.; Yu, B. Model selection and the principle of minimum description length. J. Am. Stat. Assoc. 2001, 96, 746–774. [Google Scholar] [CrossRef]
- Cammarata, A.; Maddio, P.D.; Sinatra, R.; Belfiore, N.P. Direct Kinetostatic analysis of a gripper with curved flexures. Micromachines 2022, 13, 2172. [Google Scholar] [CrossRef]
- Gordan, M.; Sabbagh-Yazdi, S.R.; Ismail, Z.; Ghaedi, K.; Carroll, P.; McCrum, D.; Samali, B. State-of-the-art review on advancements of data mining in structural health monitoring. Measurement 2022, 193, 110939. [Google Scholar] [CrossRef]
- Xu, X.; Zhang, X.; Zhu, W.; Gu, X. Modal parameter identification of a quayside container crane based on data-driven stochastic subspace identification. J. Vib. Eng. Technol. 2021, 9, 919–938. [Google Scholar] [CrossRef]
- Cammarata, A.; Sinatra, R.; Rigano, A.; Lombardo, M.; Maddio, P.D. Design of a large deployable reflector opening system. Machines 2020, 8, 7. [Google Scholar] [CrossRef]
- De Simone, M.C.; Rivera, Z.B.; Guida, D. Obstacle avoidance system for unmanned ground vehicles by using ultrasonic sensors. Machines 2018, 6, 18. [Google Scholar] [CrossRef]
- Cammarata, A.; Sinatra, R.; Rigato, R.; Maddio, P.D. Tie-system calibration for the experimental setup of large deployable reflectors. Machines 2019, 7, 23. [Google Scholar] [CrossRef]
- Unger, J.F.; Teughels, A.; De Roeck, G. System identification and damage detection of a prestressed concrete beam. J. Struct. Eng. 2006, 132, 1691–1698. [Google Scholar] [CrossRef]
- Bu, X.; Ye, L.; Su, Z.; Wang, C. Active control of a flexible smart beam using a system identification technique based on ARMAX. Smart Mater. Struct. 2003, 12, 845–850. [Google Scholar] [CrossRef]
- Pan, H.; Li, Y.; Deng, T.; Fu, J. An improved stochastic subspace identification approach for automated operational modal analysis of high-rise buildings. J. Build. Eng. 2024, 89, 109267. [Google Scholar] [CrossRef]
- Chintha, H.P.; Chatterjee, A. Identification and Parameter Estimation of Nonlinear Damping Using Volterra Series and Multi-Tone Harmonic Excitation. J. Vib. Eng. Technol. 2022, 10, 2217–2239. [Google Scholar] [CrossRef]
- Lin, M.; Cheng, C.; Zhang, G.; Zhao, B.; Peng, Z.; Meng, G. Identification of Bouc-Wen hysteretic systems based on a joint optimization approach. Mech. Syst. Signal Process. 2022, 180, 109404. [Google Scholar] [CrossRef]
- Guo, W.; He, C.; Shao, P. A novel system identification method for servo-hydraulic shaking table using physics-guided long short-term memory network. Mech. Syst. Signal Process. 2022, 178, 109277. [Google Scholar] [CrossRef]
- Marano, D.; Cammarata, A.; Fichera, G.; Sinatra, R.; Prati, D. Modeling of a three-axes MEMS gyroscope with feedforward PI quadrature compensation. In Advances on Mechanics, Design Engineering and Manufacturing: Proceedings of the International Joint Conference on Mechanics, Design Engineering & Advanced Manufacturing (JCM 2016), Catania, Italy, 14–16 September 2016; Springer: Berlin/Heidelberg, Germany, 2017; pp. 71–80. [Google Scholar]
- Peeters, B.; Van der Auweraer, H.; Guillaume, P.; Leuridan, J. The PolyMAX frequency-domain method: A new standard for modal parameter estimation? Shock Vib. 2004, 11, 395–409. [Google Scholar] [CrossRef]
- Peeters, B.; Vecchio, A.; Van Der Auweraer, H. Poly-MAX modal parameter estimation from operational data. Shock Vib. Dig. 2006, 38, 264–265. [Google Scholar]
- Peeters, B.; Lowet, G.; Van der Auweraer, H.; Leuridan, J. A new procedure for modal parameter estimation. Sound Vib. 2004, 38, 24–29. [Google Scholar]
- Van Der Auweraer, H.; Guillaume, P.; Verboven, P.; Vanlanduit, S. Application of a fast-stabilizing frequency domain parameter estimation method. J. Dyn. Sys. Meas. Control 2001, 123, 651–658. [Google Scholar] [CrossRef]
- El-kafafy, M.; De Troyer, T.; Peeters, B.; Guillaume, P. Fast maximum-likelihood identification of modal parameters with uncertainty intervals: A modal model-based formulation. Mech. Syst. Signal Process. 2013, 37, 422–439. [Google Scholar] [CrossRef]
- O’Higgins, C.; Hester, D.; McGetrick, P.; Cross, E.J.; Ao, W.K.; Brownjohn, J. Minimal information data-modelling (mid) and an easily implementable low-cost shm system for use on a short-span bridge. Sensors 2023, 23, 6328. [Google Scholar] [CrossRef] [PubMed]
- O’Higgins, C.; Hester, D.; Ao, W.K.; McGetrick, P. A method to maximise the information obtained from low signal-to-noise acceleration data by optimising SSI-COV input parameters. J. Sound Vib. 2024, 571, 118101. [Google Scholar] [CrossRef]
- Yuan, Z.Q.; Wang, Z.C.; Xin, Y.; Kuang, X.C.; Wang, Z. Synchronous identification of nonlinear structural parameters and unknown external excitation based on improved UKF. Eng. Struct. 2024, 298, 117094. [Google Scholar] [CrossRef]
- Dong, A.; Starr, A.; Zhao, Y. Neural network-based parametric system identification: A review. Int. J. Syst. Sci. 2023, 54, 2676–2688. [Google Scholar] [CrossRef]
- Subramanian, S.; Chidhambaram, G.B.; Dhandapani, S. Modeling and validation of a four-tank system for level control process using black box and white box model approaches. IEEJ Trans. Electr. Electron. Eng. 2021, 16, 282–294. [Google Scholar] [CrossRef]
- Borjas, S.; Garcia, C. Subspace identification for industrial processes. TEMA (São Carlos) 2011, 12, 183–194. [Google Scholar] [CrossRef]
- Juricek, B.C.; Seborg, D.E.; Larimore, W.E. Identification of the tennessee eastman challenge process with subspace methods. Control Eng. Pract. 2001, 9, 1337–1351. [Google Scholar] [CrossRef]
- Mola, M.; Khanesar, M.A.; Teshnehlab, M. Subspace identification of dynamical neurofuzzy system using LOLIMOT. In Proceedings of the 2010 IEEE International Conference on Systems, Man and Cybernetics, Istanbul, Turkey, 10–13 October 2010; pp. 366–372. [Google Scholar] [CrossRef]
- Tronci, E.; Pietrosanti, D.; Cordisco, G.; De Angelis, M. Vibration analysis of the civic tower in Rieti. Procedia Eng. 2017, 199, 2268–2273. [Google Scholar] [CrossRef]
- Favoreel, W.; Van Huffel, S.; De Moor, B.; Sima, V.; Verhaegen, M. Comparative study between three subspace identification algorithms. In Proceedings of the 1999 European Control Conference (ECC), Karlsruhe, Germany, 31 August–3 September 1999; pp. 821–826. [Google Scholar] [CrossRef]
- Heredia, G.; Ollero, A. Sensor fault detection in small autonomous helicopters using observer/Kalman filter identification. In Proceedings of the 2009 IEEE International Conference on Mechatronics, Malaga, Spain, 14–17 April 2009; pp. 1–6. [Google Scholar] [CrossRef]
- Guida, D.; Nilvetti, F.; Pappalardo, C.M. Parameter identification of a two degrees of freedom mechanical system. Int. J. Mech. 2009, 3, 23–30. [Google Scholar]
- Jirasek, R.; Schauer, T.; Su, D.; Nagayama, T.; Bleicher, A. Experimental linear parameter-varying model identification of an elastic kinetic roof structure. Eng. Struct. 2023, 297, 116986. [Google Scholar] [CrossRef]
- Chang, M.; Pakzad, S.N. Observer Kalman filter identification for output-only systems using interactive structural modal identification toolsuite. J. Bridge Eng. 2014, 19, 04014002. [Google Scholar] [CrossRef]
- Qin, S.J. An overview of subspace identification. Comput. Chem. Eng. 2006, 30, 1502–1513. [Google Scholar] [CrossRef]
- Wang, J.S.; Hsu, Y.L. Dynamic nonlinear system identification using a wiener-type recurrent network with OKID algorithm. J. Inf. Sci. Eng. 2008, 24, 891–905. [Google Scholar]
- Skolnik, D.; Lei, Y.; Yu, E.; Wallace, J.W. Identification, model updating, and response prediction of an instrumented 15-story steel-frame building. Earthq. Spectra 2006, 22, 781–802. [Google Scholar] [CrossRef]
- Qidwai, U.; Bettayeb, M. Deconvolution of ultrasonic NDT signals using n4sid algorithm for defect identification. In Proceedings of the 10th IEEE International Conference on Electronics, Circuits and Systems, ICECS 2003, Sharjah, United Arab Emirates, 14–17 December 2003; Volume 1, pp. 60–63. [Google Scholar]
- Bathelt, A.; Jelali, M. Comparative study of subspace identification methods on the Tennessee Eastman Process under disturbance effects. Idea 2014, 100, 31–36. [Google Scholar]
- Tuhta, S.; Günday, F.; Aydin, H.; Alalou, M. MIMO System identification of machine foundation using N4SID. Int. J. Interdiscip. Innov. Res. Dev. 2019, 4, 27–36. [Google Scholar]
- Tuhta, S.; Günday, F. System identification of RC building using N4SID. Int. J. Res. Sci. Innov. 2019, 6, 100–106. [Google Scholar]
- Gautier, G.; Serra, R.; Mencik, J.M. Vibratory diagnosis by finite element model updating and operational modal analysis. Mech. Ind. 2013, 14, 145–149. [Google Scholar] [CrossRef][Green Version]
- Mazzeo, M.; De Domenico, D.; Quaranta, G.; Santoro, R. An efficient automatic modal identification method based on free vibration response and enhanced Empirical Fourier Decomposition technique. Eng. Struct. 2024, 298, 117046. [Google Scholar] [CrossRef]
- De Angelis, M.; Lus, H.; Betti, R.; Longman, R.W. Extracting physical parameters of mechanical models from identified state-space representations. J. Appl. Mech. 2002, 69, 617–625. [Google Scholar] [CrossRef][Green Version]
- Luş, H.; Betti, R.; Yu, J.; De Angelis, M. Investigation of a system identification methodology in the context of the ASCE benchmark problem. J. Eng. Mech. 2004, 130, 71–84. [Google Scholar] [CrossRef]
- Luş, H.; De Angelis, M.; Betti, R.; Longman, R.W. Constructing second-order models of mechanical systems from identified state space realizations. Part II: Numerical investigations. J. Eng. Mech. 2003, 129, 489–501. [Google Scholar] [CrossRef]
- Gawronski, W.K. Advanced Structural Dynamics and Active Control of Structures; Springer: New York, NY, USA, 2004. [Google Scholar]
- Luş, H.; De Angelis, M.; Betti, R.; Longman, R.W. Constructing second-order models of mechanical systems from identified state space realizations. Part I: Theoretical discussions. J. Eng. Mech. 2003, 129, 477–488. [Google Scholar] [CrossRef]
- Pappalardo, C.M.; Guida, D. System identification algorithm for computing the modal parameters of linear mechanical systems. Machines 2018, 6, 12. [Google Scholar] [CrossRef]
- Malgaca, L.; Uyar, M. Hybrid vibration control of a flexible composite box cross-sectional manipulator with piezoelectric actuators. Compos. Part Eng. 2019, 176, 107278. [Google Scholar] [CrossRef]
- Malgaca, L.; Lok, S.I.; Uyar, M. Modeling and Vibration Reduction of a Flexible Planar Manipulator with Experimental System Identification. Int. J. Model. Optim. 2020, 10, 121–125. [Google Scholar] [CrossRef]
- Koç, H.; Genel, Ö.E.; Tüfekci, M.; Tüfekci, E. Analysis of the dynamical behaviour of spinning annular disks with various boundary conditions. Mech. Based Des. Struct. Mach. 2021, 51, 5427–5451. [Google Scholar] [CrossRef]
- Tufekci, M.; Genel, O.E.; Hilal, K.; Oldac, O.; Tufekci, E. Vibrations of a rotating disk under perpendicular spacefixed forces. Gazi Univ. J. Sci. 2019, 32, 273–284. [Google Scholar]
- Li, L.; Luo, Z.; He, F.; Sun, K.; Yan, X. Experimental and numerical investigations on an unbalance identification method for full-size rotor system based on scaled model. J. Sound Vib. 2022, 527, 116868. [Google Scholar] [CrossRef]
- Peng, Z.; Li, J.; Hao, H.; Yang, N. Mobile crowdsensing framework for drive-by-based dense spatial-resolution bridge mode shape identification. Eng. Struct. 2023, 292, 116515. [Google Scholar] [CrossRef]
- Tajiri, D.; Tanaka, T.; Matsubara, M.; Kawamura, S.; Goto, T. Experimental modal analysis using undamped control for high damping system. Arch. Appl. Mech. 2023, 93, 2947–2964. [Google Scholar] [CrossRef]
- Yokoyama, T. Experimental identification of high damping ratios in single-degree-of-freedom systems. Arch. Appl. Mech. 2023, 93, 2667–2680. [Google Scholar] [CrossRef]
- Pirrotta, A.; Russotto, S. A new OMA method to perform structural dynamic identification: Numerical and experimental investigation. Acta Mech. 2023, 234, 3737–3749. [Google Scholar] [CrossRef]
- Malgaca, L.; Uyar, M.; Lök, Ş.İ.; Can, S.V. Experimental Active Vibration Control of a Highly Flexible Composite Manipulator with Acceleration Feedback. In Acoustics and Vibration of Mechanical Structures—AVMS-2021, Proceedings of the 16th AVMS, Timişoara, Romania, 28–29 May 2021; Springer International Publishing: Cham, Switzerland, 2022; pp. 225–233. [Google Scholar]
- Malgaca, L.; Lök, Ş.İ. Measurement and modeling of a flexible manipulator for vibration control using five-segment S-curve motion. Trans. Inst. Meas. Control 2022, 44, 1545–1556. [Google Scholar] [CrossRef]
- Sands, T. Nonlinear-adaptive mathematical system identification. Computation 2017, 5, 47. [Google Scholar] [CrossRef]
- Pei, T.; Yu, C.; Zhong, Y.; Lian, L. Adaptive event-triggered mechanism-based online system identification framework for marine craft. Ocean Eng. 2023, 278, 114572. [Google Scholar] [CrossRef]
- Feng, W.H.; Wu, C.Y.; Fu, J.Y.; Ng, C.T.; He, Y.C. Automatic modal identification via eigensystem realization algorithm with improved stabilization diagram technique. Eng. Struct. 2023, 291, 116449. [Google Scholar] [CrossRef]
- Pappalardo, C.M.; Lök, Ş.İ.; Malgaca, L.; Guida, D. Experimental modal analysis of a single-link flexible robotic manipulator with curved geometry using applied system identification methods. Mech. Syst. Signal Process. 2023, 200, 110629. [Google Scholar] [CrossRef]
- Lök, Ş.İ.; Malgaca, L.; Uyar, M. Analysis of an actively controlled composite box manipulator without external actuator. Proc. Inst. Mech. Eng. Part I J. Syst. Control. Eng. 2024, 238, 504–520. [Google Scholar] [CrossRef]
- Jansson, M. Subspace identification and ARX modeling. IFAC Proc. Vol. 2003, 36, 1585–1590. [Google Scholar] [CrossRef]
- Ljung, L.; Singh, R.; Chen, T. Regularization features in the system identification toolbox. IFAC-PapersOnLine 2015, 48, 745–750. [Google Scholar] [CrossRef]
- Favoreel, W.; De Moor, B.; Van Overschee, P. Subspace state space system identification for industrial processes. J. Process Control 2000, 10, 149–155. [Google Scholar] [CrossRef]
- Juang, J.N.; Phan, M.Q. Identification and Control of Mechanical Systems; Cambridge University Press: Cambridge, UK, 2001. [Google Scholar]
- Ozdemir, A.A.; Gumussoy, S. Transfer function estimation in system identification toolbox via vector fitting. IFAC-PapersOnLine 2017, 50, 6232–6237. [Google Scholar] [CrossRef]
- Ljung, L. Theory for the User; Prentice-Hall, Inc.: Hoboken, NJ, USA, 1987. [Google Scholar]
- Banazadeh, A.; Nobahari, H.; Seifouripour, Y. Identification Of State Space Dynamics Of A Fixed-Wing Aerial Vehicle With Neural Networks Using Flight Test Data. Sharif J. Mech. Eng. 2019, 35, 13–22. [Google Scholar]
- Drmac, Z.; Gugercin, S.; Beattie, C. Quadrature-based vector fitting for discretized h_2 approximation. SIAM J. Sci. Comput. 2015, 37, A625–A652. [Google Scholar] [CrossRef]
- Pappalardo, C.M.; Lettieri, A.; Guida, D. Identification of a dynamical model of the latching mechanism of an aircraft hatch door using the numerical algorithms for subspace state-space system identification. IAENG Int. J. Appl. Math. 2021, 51, 1–14. [Google Scholar]
- Garnier, H.; Liuping, W. Identification of Continuous-Time Models from Sampled Data; Springer: London, UK, 2008. [Google Scholar]
- Garnier, H.; Mensler, M.; Richard, A. Continuous-time model identification from sampled data: Implementation issues and performance evaluation. Int. J. Control 2003, 76, 1337–1357. [Google Scholar] [CrossRef]
- Pappalardo, C.M.; Guida, D. System Identification and Experimental Modal Analysis of a Frame Structure. Eng. Lett. 2018, 26, 56–68. [Google Scholar]
- Pappalardo, C.M.; Guida, D. Development of a New Inertial-based Vibration Absorber for the Active Vibration Control of Flexible Structures. Eng. Lett. 2018, 26, 372–385. [Google Scholar]
- Varga, A. Balancing free square-root algorithm for computing singular perturbation approximations. In Proceedings of the 30th IEEE Conference on Decision and Control, Brighton, UK, 11–13 December 1991; pp. 1062–1065. [Google Scholar]
- Green, M. A relative error bound for balanced stochastic truncation. IEEE Trans. Autom. Control 1988, 33, 961–965. [Google Scholar] [CrossRef]












| Symbol (Units) | Value |
|---|---|
| (Hz) | 1.9053 |
| (Hz) | 6.8478 |
| (-) | 0.0082 |
| (-) | 0.0022 |
| Definition | Symbol (Units) | Value |
|---|---|---|
| First Floor Mass | (kg) | 0.65 |
| Second Floor Mass | (kg) | 1.55 |
| Flexible Beam Thickness | h (m) | |
| Flexible Beam Width | b (m) | |
| Flexible Beam Length | L (m) | |
| Flexible Beam Elastic Modulus | E (N/m2) | |
| First Proportional Damping Coefficient | (1/s) | |
| Second Proportional Damping Coefficient | (s) |
| Symbol (Units) | Value |
|---|---|
| (Hz) | 1.9487 |
| (Hz) | 6.7149 |
| (-) | 0.0010 |
| (-) | 0.0022 |
| Symbol (Units) | EXP | ARX | SSEST | N4SID | ERA/OKID | TFEST |
|---|---|---|---|---|---|---|
| Order (-) | - | [4, 4, 1] | 6 | 6 | 6 | [6, 6] |
| Fit (%) | - | 82.4488 | 90.4325 | 88.4624 | 69.2184 | 86.311 |
| Fit (%) | - | 77.6219 | 93.9063 | 86.2348 | 83.1157 | 84.8073 |
| (Hz) | 1.9053 | 1.9089 | 1.9060 | 1.9049 | 1.9130 | 1.90555 |
| (Hz) | 6.8478 | 6.8498 | 6.8492 | 6.8504 | 6.8484 | 6.84988 |
| (-) | 0.0082 | 0.0024 | 0.0037 | 0.0039 | 0.0049 | 0.0037 |
| (-) | 0.0022 | 0.0017 | 0.0016 | 0.0016 | 0.0017 | 0.00165 |
| RMS (m/s2) | 0.2379 | 0.2356 | 0.2438 | 0.2378 | 0.2452 | 0.23894 |
| RMS (m/s2) | 0.4919 | 0.4812 | 0.5091 | 0.4998 | 0.4986 | 0.49305 |
| Error (-) | - | |||||
| Error (-) | - | |||||
| Error (-) | - | |||||
| Error (-) | - | |||||
| Error RMS (-) | - | |||||
| Error RMS (-) | - | |||||
| (1/s) | - | |||||
| (s) | - |
Disclaimer/Publisher’s Note: The statements, opinions and data contained in all publications are solely those of the individual author(s) and contributor(s) and not of MDPI and/or the editor(s). MDPI and/or the editor(s) disclaim responsibility for any injury to people or property resulting from any ideas, methods, instructions or products referred to in the content. |
© 2025 by the authors. Licensee MDPI, Basel, Switzerland. This article is an open access article distributed under the terms and conditions of the Creative Commons Attribution (CC BY) license (https://creativecommons.org/licenses/by/4.0/).
Share and Cite
Lök, Ş.İ.; Pappalardo, C.M.; La Regina, R.; Guida, D. A Numerical and Experimental Investigation of the Most Fundamental Time-Domain Input–Output System Identification Methods for the Normal Modal Analysis of Flexible Structures. Sensors 2025, 25, 1259. https://doi.org/10.3390/s25041259
Lök Şİ, Pappalardo CM, La Regina R, Guida D. A Numerical and Experimental Investigation of the Most Fundamental Time-Domain Input–Output System Identification Methods for the Normal Modal Analysis of Flexible Structures. Sensors. 2025; 25(4):1259. https://doi.org/10.3390/s25041259
Chicago/Turabian StyleLök, Şefika İpek, Carmine Maria Pappalardo, Rosario La Regina, and Domenico Guida. 2025. "A Numerical and Experimental Investigation of the Most Fundamental Time-Domain Input–Output System Identification Methods for the Normal Modal Analysis of Flexible Structures" Sensors 25, no. 4: 1259. https://doi.org/10.3390/s25041259
APA StyleLök, Ş. İ., Pappalardo, C. M., La Regina, R., & Guida, D. (2025). A Numerical and Experimental Investigation of the Most Fundamental Time-Domain Input–Output System Identification Methods for the Normal Modal Analysis of Flexible Structures. Sensors, 25(4), 1259. https://doi.org/10.3390/s25041259

