A Discussion on Sensitivity Optimization in Reflective-Mode Phase-Variation Permittivity Sensors Based on Semi-Lumped Resonators
Abstract
1. Introduction
2. Analysis
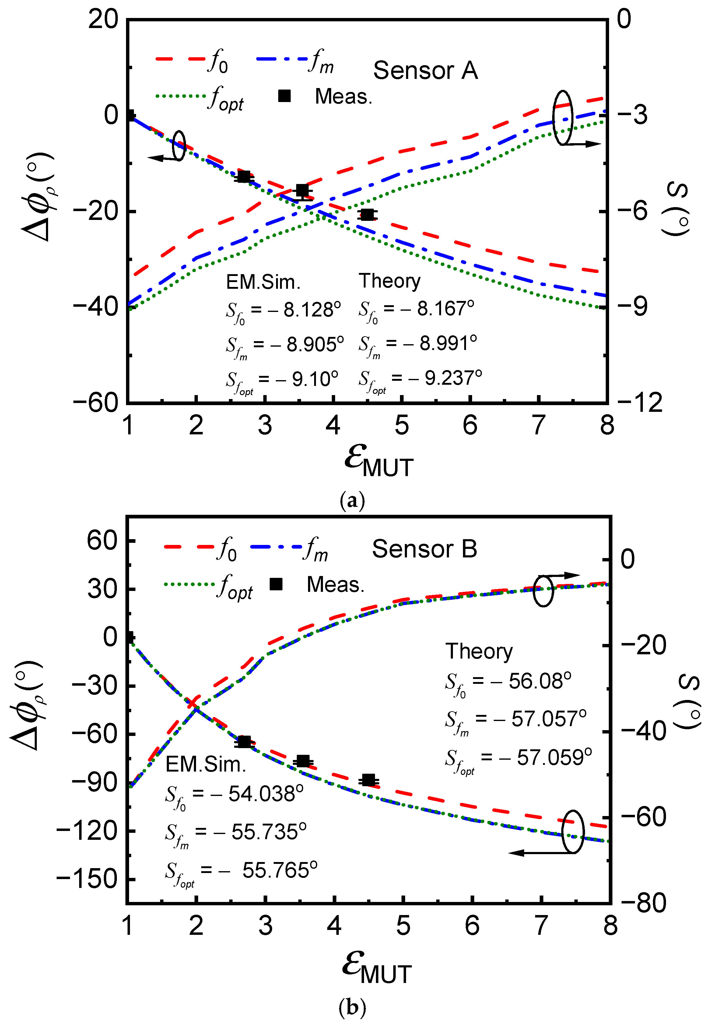
3. Validation
4. Conclusions
Author Contributions
Funding
Institutional Review Board Statement
Informed Consent Statement
Data Availability Statement
Conflicts of Interest
References
- Boybay, M.S.; Ramahi, O.M. Material characterization using complementary split-ring resonators. IEEE Trans. Instrum. Meas. 2012, 61, 3039–3046. [Google Scholar] [CrossRef]
- Lee, C.S.; Yang, C.L. Complementary split-ring resonators for measuring dielectric constants and loss tangents. IEEE Microw. Wirel. Compon. Lett. 2014, 24, 563–565. [Google Scholar] [CrossRef]
- Puentes, M.; Maasch, M.; Schubler, M.; Jakoby, R. Frequency multiplexed 2-dimensional sensor array based on split-ring resonators for organic tissue analysis. IEEE Trans. Microw. Theory Tech. 2012, 60, 1720–1727. [Google Scholar] [CrossRef]
- Puentes, M.; Maasch, M.; Schüssler, M.; Damm, C.; Jakoby, R. Analysis of resonant particles in a coplanar microwave sensor array for thermal ablation of organic tissue. In Proceedings of the 2014 IEEE MTT-S International Microwave Symposium (IMS2014), Tampa, FL, USA, 1–6 June 2014. [Google Scholar]
- Yang, C.L.; Lee, C.S.; Chen, K.W.; Chen, K.Z. Noncontact measurement of complex permittivity and thickness by using planar resonators. IEEE Trans. Microw. Theory Tech. 2016, 64, 247–257. [Google Scholar] [CrossRef]
- Puentes, M.; Weiß, C.; Schüßler, M.; Jakoby, R. Sensor array based on split ring resonators for analysis of organic tissues. In Proceedings of the 2011 IEEE MTT-S International Microwave Symposium, Baltimore, MD, USA, 5–10 June 2011. [Google Scholar]
- Ebrahimi, A.; Withayachumnankul, W.; Al-Sarawi, S.; Abbott, D. High-sensitivity metamaterial-inspired sensor for microfluidic dielectric characterization. IEEE Sens. J. 2014, 14, 1345–1351. [Google Scholar] [CrossRef]
- Schueler, M.; Mandel, C.; Puentes, M.; Jakoby, R. Metamaterial inspired microwave sensors. IEEE Microw. Mag. 2012, 13, 57–68. [Google Scholar] [CrossRef]
- Liu, C.; Liao, C.; Peng, Y.; Zhang, W.; Wu, B.; Yang, P. Microwave sensors and their applications in permittivity measurement. Sensors 2024, 24, 7696. [Google Scholar] [CrossRef]
- Su, L.; Mata-Contreras, J.; Vélez, P.; Fernández-Prieto, A.; Martín, F. Analytical method to estimate the complex permittivity of oil samples. Sensors 2018, 18, 984. [Google Scholar] [CrossRef]
- Jha, A.K.; Delmonte, N.; Lamecki, A.; Mrozowski, M.; Bozzi, M. Design of microwave-based angular displacement sensor. IEEE Microw. Wirel. Compon. Lett. 2019, 29, 306–308. [Google Scholar] [CrossRef]
- Haq, T.; Koziel, S. Inverse modeling and optimization of CSRR-based microwave sensors for industrial applications. IEEE Trans. Microw. Theory Tech. 2022, 70, 4796–4804. [Google Scholar] [CrossRef]
- Abdolrazzaghi, M.; Zarifi, M.H.; Pedrycz, W.; Daneshmand, M. Robust ultra-high resolution microwave planar sensor using fuzzy neural network approach. IEEE Sens. J. 2016, 17, 323–332. [Google Scholar] [CrossRef]
- Abdolrazzaghi, M.; Zarifi, M.H.; Daneshmand, M. Sensitivity enhancement of split ring resonator based liquid sensors. In Proceedings of the 2016 IEEE SENSORS, Orlando, FL, USA, 30 October–3 November 2016. [Google Scholar]
- Zarifi, M.H.; Daneshmand, M. Monitoring solid particle deposition in lossy medium using planar resonator sensor. IEEE Sens. J. 2017, 17, 7981–7989. [Google Scholar] [CrossRef]
- Zarifi, M.H.; Deif, S.; Abdolrazzaghi, M.; Chen, B.; Ramsawak, D.; Amyotte, M.; Vahabisani, N.; Hashisho, Z.; Chen, W.; Daneshmand, M. A microwave ring resonator sensor for early detection of breaches in pipeline coatings. IEEE Trans. Ind. Electron. 2017, 65, 1626–1635. [Google Scholar] [CrossRef]
- Abdolrazzaghi, M.; Daneshmand, M.; Iyer, A.K. Strongly enhanced sensitivity in planar microwave sensors based on metamaterial coupling. IEEE Trans. Microw. Theory Tech. 2018, 66, 1843–1855. [Google Scholar] [CrossRef]
- Lobato-Morales, H.; Choi, J.H.; Lee, H.; Medina-Monroy, J.L. Compact dielectric-permittivity sensors of liquid samples based on substrate-integrated-waveguide with negative-order-resonance. IEEE Sens. J. 2019, 19, 8694–8699. [Google Scholar] [CrossRef]
- Saadat-Safa, M.; Nayyeri, V.; Khanjarian, M.; Soleimani, M.; Ramahi, O.M. A CSRR-based sensor for full characterization of magneto-dielectric materials. IEEE Trans. Microw. Theory Tech. 2019, 67, 806–814. [Google Scholar] [CrossRef]
- Ebrahimi, A.; Scott, J.; Ghorbani, K. Ultrahigh-sensitivity microwave sensor for microfluidic complex permittivity measurement. IEEE Trans. Microw. Theory Tech. 2019, 67, 4269–4277. [Google Scholar] [CrossRef]
- Saadat-Safa, M.; Nayyeri, V.; Ghadimi, A.; Soleimani, M.; Ramahi, O.M. A pixelated microwave near-field sensor for precise characterization of dielectric materials. Sci. Rep. 2019, 9, 13310. [Google Scholar] [CrossRef]
- Abdolrazzaghi, M.; Daneshmand, M. Exploiting sensitivity enhancement in micro-wave planar sensors using intermodulation products with phase noise analysis. IEEE Trans. Circuits Syst. I Regul. Pap. 2020, 67, 4382–4395. [Google Scholar] [CrossRef]
- Ebrahimi, A.; Scott, J.; Ghorbani, K. Microwave reflective biosensor for glucose level detection in aqueous solutions. Sens. Actuator A Phys. 2020, 301, 111662. [Google Scholar] [CrossRef]
- Ebrahimi, A.; Scott, J.; Ghorbani, K. Dual-mode resonator for simultaneous permittivity and thickness measurement of dielectrics. IEEE Sens. J. 2019, 20, 185–192. [Google Scholar] [CrossRef]
- Abdelwahab, H.; Ebrahimi, A.; Tovar-Lopez, F.J.; Beziuk, G.; Ghorbani, K. Extremely sensitive microwave microfluidic dielectric sensor using a transmission line loaded with shunt LC resonators. Sensors 2021, 21, 6811. [Google Scholar] [CrossRef] [PubMed]
- Kazemi, N.; Abdolrazzaghi, M.; Musilek, P. Comparative analysis of machine learning techniques for temperature compensation in microwave sensors. IEEE Trans. Microw. Theory Tech. 2021, 69, 4223–4236. [Google Scholar] [CrossRef]
- Mehrjoo, Z.; Ebrahimi, A.; Ghorbani, K. Microwave resonance-based reflective mode displacement sensor with wide dynamic range. IEEE Trans. Instrum. Meas. 2021, 71, 8000609. [Google Scholar] [CrossRef]
- Mohammadi, S.; Adhikari, K.K.; Jain, M.C.; Zarifi, M.H. High-resolution, sensitivity-enhanced active resonator sensor using substrate-embedded channel for characterizing low-concentration liquid mixtures. IEEE Trans. Microw. Theory Tech. 2021, 70, 576–586. [Google Scholar] [CrossRef]
- Moradpour, M.; Zarifi, M.H. High-resolution PEDOT: PSS-based planar microwave resonator sensor. IEEE Sens. J. 2023, 23, 21216–21225. [Google Scholar] [CrossRef]
- Rafi, M.A.; Niknahad, F.; Wiltshire, B.D.; Salim, A.; Zarifi, M.H. Dynamically tunable planar microwave resonator sensor using liquid metal alloy. IEEE Trans. Microw. Theory Tech. 2023, 72, 4103–4113. [Google Scholar] [CrossRef]
- Kazemi, N.; Musilek, P. Enhancing microwave sensor performance with ultrahigh Q features using CycleGAN. IEEE Trans. Microw. Theory Tech. 2022, 70, 5369–5382. [Google Scholar] [CrossRef]
- Mohammadi, P.; Mohammadi, A.; Demir, S.; Kara, A. Compact size, and highly sensitive, microwave sensor for non-invasive measurement of blood glucose level. IEEE Sens. J. 2021, 21, 16033–16042. [Google Scholar] [CrossRef]
- Harnsoongnoen, S.; Wanthong, A.; Charoen-In, U.; Siritaratiwat, A. Microwave sensor for nitrate and phosphate concentration sensing. IEEE Sens. J. 2019, 19, 2950–2955. [Google Scholar] [CrossRef]
- Pourafzal, A.; Roi-Taravella, T.; Cheffena, M.; Yayilgan, S.Y. A low-cost and accurate microwave sensor system for permittivity characterization. IEEE Sens. J. 2022, 23, 1234–1248. [Google Scholar] [CrossRef]
- Kiani, S.; Rezaei, P.; Navaei, M.; Abrishamian, M.S. Microwave sensor for detection of solid material permittivity in single/multilayer samples with high quality factor. IEEE Sens. J. 2018, 18, 9971–9977. [Google Scholar] [CrossRef]
- Kálovics, M.; Szolgay, P.; Iván, K.; Szabó, Z. Microwave resonance based lab-on-a-chip local pressure sensing. IEEE Sens. J. 2024, 24, 12085–12093. [Google Scholar] [CrossRef]
- Keshavarz, R.; Lipman, J.; Schreurs, D.M.P.; Shariati, N. Highly sensitive differential microwave sensor for soil moisture measurement. IEEE Sens. J. 2021, 21, 27458–27464. [Google Scholar] [CrossRef]
- Ebrahimi, A.; Scott, J.; Ghorbani, K. Differential sensors using microstrip lines loaded with two split-ring resonators. IEEE Sens. J. 2018, 18, 5786–5793. [Google Scholar] [CrossRef]
- Ebrahimi, A.; Beziuk, G.; Scott, J.; Ghorbani, K. Microwave differential frequency splitting sensor using magnetic-LC resonators. Sensors 2020, 20, 1066. [Google Scholar] [CrossRef] [PubMed]
- Horestani, A.K.; Naqui, J.; Shaterian, Z.; Abbott, D.; Fumeaux, C.; Martín, F. Two-dimensional alignment and displacement sensor based on movable broadside-coupled split ring resonators. Sens. Actuators A Phys. 2014, 210, 18–24. [Google Scholar] [CrossRef]
- Zarifi, M.H.; Farsinezhad, S.; Wiltshire, B.D.; Abdorrazaghi, M.; Mahdi, N.; Kar, P.; Daneshmand, M.; Shankar, K. Effect of phosphonate monolayer adsorbate on the microwave photoresponse of TiO2 nanotube membranes mounted on a planar double ring resonator. Nanotechnology 2016, 27, 375201. [Google Scholar] [CrossRef] [PubMed]
- Ebrahimi, A.; Scott, J.; Ghorbani, K. Transmission lines terminated with LC resonators for differential permittivity sensing. IEEE Microw. Wirel. Compon. Lett. 2018, 28, 1149–1151. [Google Scholar] [CrossRef]
- Liu, W.; Zhang, J.; Huang, K. Dual-band microwave sensor based on planar rectangular cavity loaded with pairs of improved resonator for differential sensing applications. IEEE Trans. Instrum. Meas. 2021, 70, 8005808. [Google Scholar] [CrossRef]
- Horestani, A.K.; Fumeaux, C.; Al-Sarawi, S.F.; Abbott, D. Displacement sensor based on diamond-shaped tapered split ring resonator. IEEE Sens. J. 2012, 13, 1153–1160. [Google Scholar] [CrossRef]
- Horestani, A.K.; Abbott, D.; Fumeaux, C. Rotation sensor based on horn-shaped split ring resonator. IEEE Sens. J. 2013, 13, 3014–3015. [Google Scholar] [CrossRef]
- Ebrahimi, A.; Withayachumnankul, W.; Al-Sarawi, S.F.; Abbott, D. Metamaterial-inspired rotation sensor with wide dynamic range. IEEE Sens. J. 2014, 14, 2609–2614. [Google Scholar] [CrossRef]
- Grzegorzewski, L.; Zierold, R.; Blick, R.H. Coupling-based sensing with a microwave resonator for single nanoscale particles detection. IEEE Sens. J. 2023, 23, 24452–24464. [Google Scholar] [CrossRef]
- Juan, C.G.; Bronchalo, E.; Potelon, B.; Quendo, C.; Ávila-Navarro, E.; Sabater-Navarro, J.M. Concentration measurement of microliter-volume water–glucose solutions using Q factor of microwave sensors. IEEE Trans. Instrum. Meas. 2018, 68, 2621–2634. [Google Scholar] [CrossRef]
- Ebrahimi, A.; Beziuk, G.; Ghorbani, K. Amplitude variation microwave sensors for high-sensitivity detection of solid and microfluidic dielectrics. IEEE Trans. Microw. Theory Tech. 2024, 72, 6460–6472. [Google Scholar] [CrossRef]
- Omer, A.E.; Shaker, G.; Safavi-Naeini, S.; Kokabi, H.; Alquié, G.; Deshours, F.; Shubair, R.M. Low-cost portable microwave sensor for non-invasive monitoring of blood glucose level: Novel design utilizing a four-cell CSRR hexagonal configuration. Sci. Rep. 2020, 10, 15200. [Google Scholar] [CrossRef] [PubMed]
- Omam, Z.R.; Nayyeri, V.; Javid-Hosseini, S.H.; Ramahi, O.M. Simple and high-sensitivity dielectric constant measurement using a high-directivity microstrip coupled-line directional coupler. IEEE Trans. Microw. Theory Tech. 2022, 70, 3933–3942. [Google Scholar] [CrossRef]
- Ebrahimi, A.; Ghorbani, K. High-sensitivity detection of solid and liquid dielectrics using a branch line coupler sensor. IEEE Trans. Microw. Theory Tech. 2023, 71, 5233–5245. [Google Scholar] [CrossRef]
- Damm, C.; Schüßler, M.; Puentes, M.; Maune, H.; Maasch, M.; Jakoby, R. Artificial transmission lines for high sensitive microwave sensors. In Proceedings of the 2009 IEEE SENSORS, Christchurch, New Zealand, 25–28 October 2009. [Google Scholar]
- Ferrández-Pastor, F.J.; García-Chamizo, J.M.; Nieto-Hidalgo, M. Electromagnetic differential measuring method: Application in microstrip sensors developing. Sensors 2017, 17, 1650. [Google Scholar] [CrossRef] [PubMed]
- Muñoz-Enano, J.; Vélez, P.; Su, L.; Gil, M.; Casacuberta, P.; Martín, F. On the sensitivity of reflective-mode phase-variation sensors based on open-ended stepped-impedance transmission lines: Theoretical analysis and experimental validation. IEEE Trans. Microw. Theory Tech. 2021, 69, 308–324. [Google Scholar] [CrossRef]
- Wu, W.J.; Zhao, W.S.; Wang, W. A novel differential microwave sensor based on reflective-mode phase-variation of stepped-impedance transmission lines for extracting permittivity of dielectric materials. IEEE Sens. J. 2023, 24, 2746–2757. [Google Scholar] [CrossRef]
- Jha, A.K.; Lamecki, A.; Mrozowski, M.; Bozzi, M. A highly sensitive planar microwave sensor for detecting direction and angle of rotation. IEEE Trans. Microw. Theory Tech. 2020, 68, 1598–1609. [Google Scholar] [CrossRef]
- Su, L.; Muñoz-Enano, J.; Vélez, P.; Casacuberta, P.; Gil, M.; Martín, F. Highly sensitive phase variation sensors based on step-impedance coplanar waveguide (CPW) transmission lines. IEEE Sens. J. 2021, 21, 2864–2872. [Google Scholar] [CrossRef]
- Chen, S.; Zhou, F.; Xu, K.; Zhao, P.; Yang, Y.; Zhu, X.; Wang, G. A portable microwave interferometry sensor for permittivity detection based on CCMRC. IEEE Access 2020, 8, 140323–140332. [Google Scholar] [CrossRef]
- Su, L.; Muñoz-Enano, J.; Vélez, P.; Gil-Barba, M.; Casacuberta, P.; Martín, F. Highly sensitive reflective-mode phase-variation permittivity sensor based on a coplanar waveguide terminated with an open complementary split ring resonator (OCSRR). IEEE Access 2021, 9, 27928–27944. [Google Scholar] [CrossRef]
- Casacuberta, P.; Vélez, P.; Muñoz-Enano, J.; Su, L.; Gil-Barba, M.; Ebrahimi, A.; Martín, F. Circuit analysis of a coplanar waveguide (CPW) terminated with a step-impedance resonator (SIR) for highly sensitive one-port permittivity sensing. IEEE Access 2022, 10, 62597–62612. [Google Scholar] [CrossRef]
- Casacuberta, P.; Vélez, P.; Muñoz-Enano, J.; Su, L.; Gil, M.; Martín, F. Reflective-mode phase-variation permittivity sensors based on coupled resonators. In Proceedings of the 2022 IEEE Sensors, Dallas, TX, USA, 30 October–2 November 2022. [Google Scholar]
- Vélez, P.; Paredes, F.; Casacuberta, P.; Elgeziry, M.; Su, L.; Muñoz-Enano, J.; Costa, F.; Genovesi, S.; Martín, F. Portable reflective-mode phase-variation microwave sensor based on a rat-race coupler pair and gain/phase detector for dielectric characterization. IEEE Sens. J. 2023, 23, 5745–5756. [Google Scholar] [CrossRef]
- Casacuberta, P.; Vélez, P.; Muñoz-Enano, J.; Su, L.; Martín, F. Highly sensitive coplanar waveguide (CPW) reflective-mode phase-variation permittivity sensors based on weakly coupled step-impedance resonators (SIRs). IEEE Trans. Microw. Theory Tech. 2024, 72, 1739–1753. [Google Scholar] [CrossRef]
- Casacuberta, P.; Vélez, P.; Muñoz-Enano, J.; Su, L.; Martín, F. Losses-assisted sensitivity enhancement in reflective mode-phase-variation permittivity sensors based on weakly coupled distributed resonators. IEEE Sens. Lett. 2023, 7, 1500704. [Google Scholar] [CrossRef]
- Vélez, P.; Canalias, X.; Muñoz-Enano, J.; Casacuberta, P.; Su, L.; Martín, F. Effects of losses on the sensitivity of reflective-mode phase-variation liquid sensors. IEEE Trans. Microw. Theory Tech. 2024, 72, 903–918. [Google Scholar] [CrossRef]
- Mehrjoo, Z.; Ebrahimi, A.; Ghorbani, K. Phase variation reflective-mode displacement sensor using a CPW loaded with dumbbell-shaped resonator. In Proceedings of the 2021 IEEE Asia-Pacific Microwave Conference (APMC), Brisbane, Australia, 28 November–1 December 2021. [Google Scholar]
- Canalias, X.; Vélez, P.; Casacuberta, P.; Su, L.; Martín, F. Transmission-mode phase-variation planar microwave sensor based on a step-impedance shunt stub for high sensitivity defect detection, dielectric constant, and proximity measurements. IEEE Trans. Microw. Theory Tech. 2024. [Google Scholar] [CrossRef]
- Casacuberta, P.; Vélez, P.; Su, L.; Canalias, X.; Martín, F. Sensitive microfluidic sensor with weakly coupled dumbbell defect-ground-structure resonators for volume fraction determination in liquid mixtures. IEEE Microw. Wirel. Technol. Lett. 2024, 34, 1411–1414. [Google Scholar] [CrossRef]
- Canalias, X.; Casacuberta, P.; Vélez, P.; Su, L.; Martín, F. Highly sensitive transmission-mode phase-variation permittivity sensor based on resonance and antiresonance. IEEE Trans. Microw. Theory Tech. 2024. [Google Scholar] [CrossRef]
- Kurniawati, N.; Vélez, P.; Casacuberta, P.; Su, L.; Canalias, X.; Martín, F. Highly sensitive phase-variation microwave sensor operating in transmission based on an open split ring resonator (OSRR). IEEE Sens. J. 2024, 24, 40749–40763. [Google Scholar] [CrossRef]
- Shah, S.R.M.; Asan, N.B.; Velander, J.; Ebrahimizadeh, J.; Perez, M.D.; Mattsson, V.; Blokhuis, T.; Augustine, R. Analysis of thickness variation in biological tissues using microwave sensors for health monitoring applications. IEEE Access 2019, 7, 156033–156043. [Google Scholar] [CrossRef]
- Horestani, A.K.; Shaterian, Z.; Martín, F. Rotation sensor based on the cross-polarized excitation of split ring resonators (SRRs). IEEE Sens. J. 2020, 20, 9706–9714. [Google Scholar] [CrossRef]
- Muñoz-Enano, J.; Martel, J.; Vélez, P.; Medina, F.; Su, L.; Martín, F. Parametric analysis of the edge capacitance of uniform slots and application to frequency-variation permittivity sensors. App. Sci. 2021, 11, 7000. [Google Scholar] [CrossRef]







Disclaimer/Publisher’s Note: The statements, opinions and data contained in all publications are solely those of the individual author(s) and contributor(s) and not of MDPI and/or the editor(s). MDPI and/or the editor(s) disclaim responsibility for any injury to people or property resulting from any ideas, methods, instructions or products referred to in the content. |
© 2025 by the authors. Licensee MDPI, Basel, Switzerland. This article is an open access article distributed under the terms and conditions of the Creative Commons Attribution (CC BY) license (https://creativecommons.org/licenses/by/4.0/).
Share and Cite
Su, L.; Vélez, P.; Casacuberta, P.; Canalias, X.; Kurniawati, N.; Martín, F. A Discussion on Sensitivity Optimization in Reflective-Mode Phase-Variation Permittivity Sensors Based on Semi-Lumped Resonators. Sensors 2025, 25, 735. https://doi.org/10.3390/s25030735
Su L, Vélez P, Casacuberta P, Canalias X, Kurniawati N, Martín F. A Discussion on Sensitivity Optimization in Reflective-Mode Phase-Variation Permittivity Sensors Based on Semi-Lumped Resonators. Sensors. 2025; 25(3):735. https://doi.org/10.3390/s25030735
Chicago/Turabian StyleSu, Lijuan, Paris Vélez, Pau Casacuberta, Xavier Canalias, Nazmia Kurniawati, and Ferran Martín. 2025. "A Discussion on Sensitivity Optimization in Reflective-Mode Phase-Variation Permittivity Sensors Based on Semi-Lumped Resonators" Sensors 25, no. 3: 735. https://doi.org/10.3390/s25030735
APA StyleSu, L., Vélez, P., Casacuberta, P., Canalias, X., Kurniawati, N., & Martín, F. (2025). A Discussion on Sensitivity Optimization in Reflective-Mode Phase-Variation Permittivity Sensors Based on Semi-Lumped Resonators. Sensors, 25(3), 735. https://doi.org/10.3390/s25030735

