Assessment of KN95 Mask Filtering Degradation and Breathing Detection: A Pilot Study
Abstract
1. Introduction
Related Work
2. Materials and Methods
2.1. Fabrication of Printed Humidity Sensors
2.2. Experimental Setup
2.3. Experimental Protocol
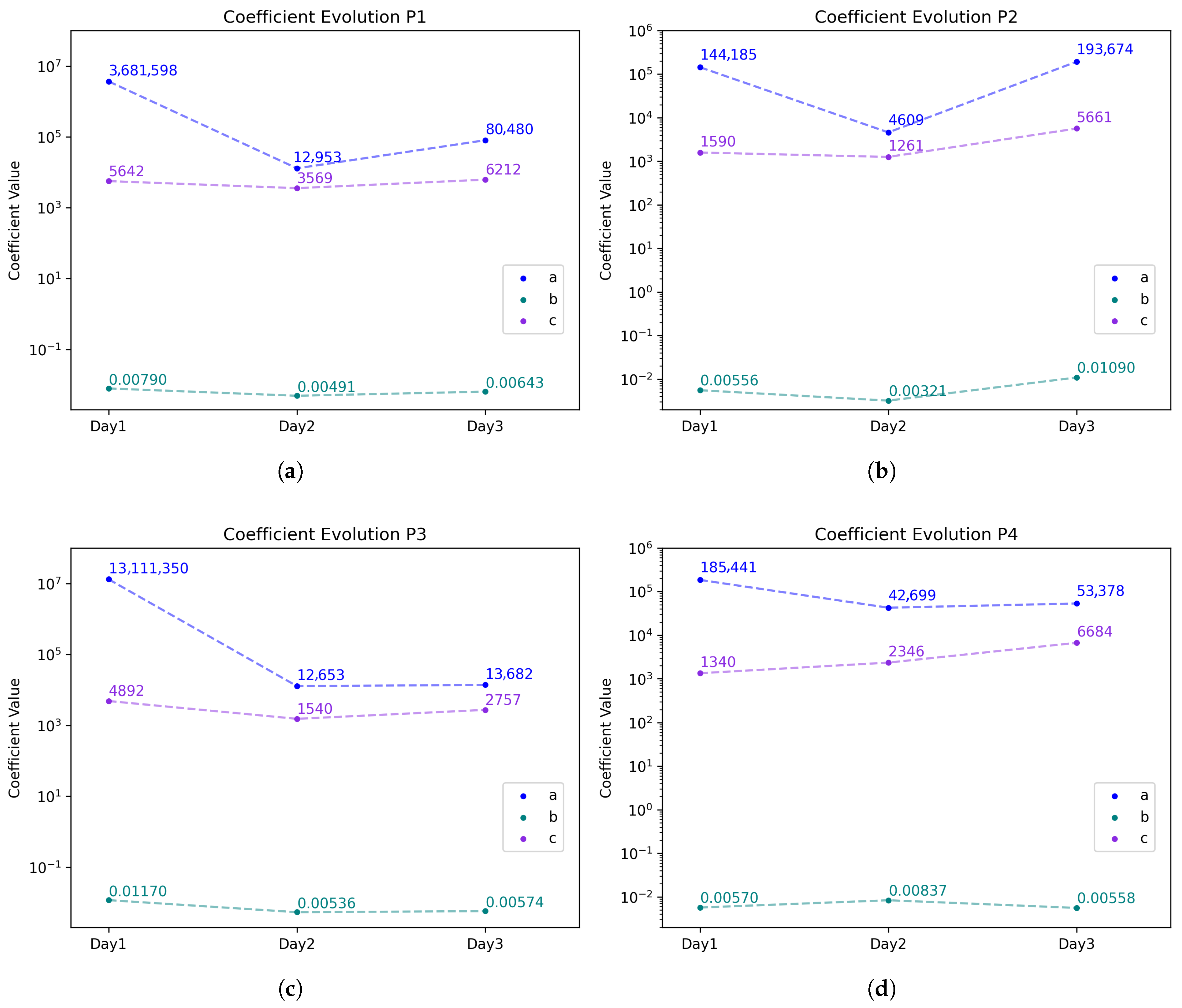
2.4. Kinetic Modeling
2.5. Data Processing and Analysis
3. Results and Discussion
3.1. Mask Filtering Assessment
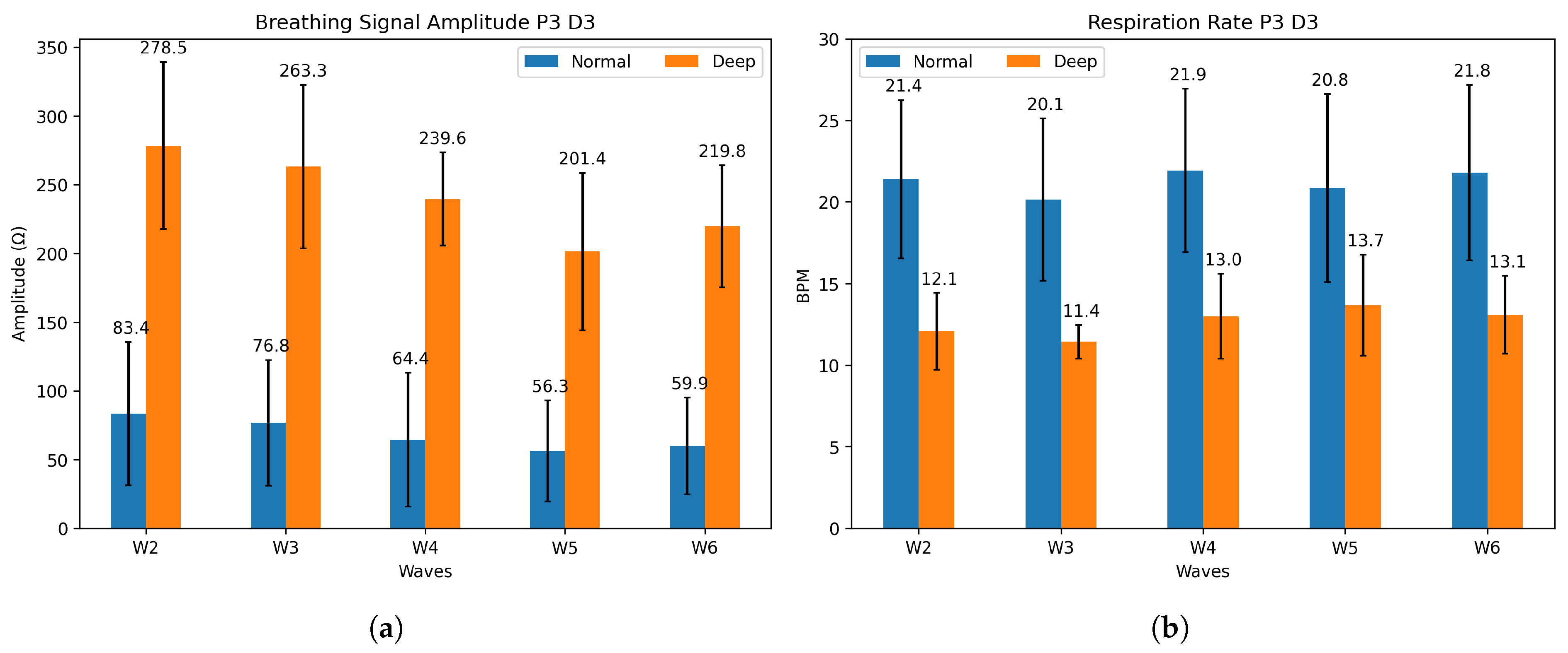
3.2. Breathing Detection
3.3. Limitations and Future Work
4. Conclusions
Supplementary Materials
Author Contributions
Funding
Institutional Review Board Statement
Informed Consent Statement
Data Availability Statement
Conflicts of Interest
References
- Soriano, J.B.; Kendrick, P.J.; Paulson, K.R.; Gupta, V.; Abrams, E.M.; Adedoyin, R.A.; Adhikari, T.B.; Advani, S.M.; Agrawal, A.; Ahmadian, E.; et al. Prevalence and attributable health burden of chronic respiratory diseases, 1990–2017: A systematic analysis for the Global Burden of Disease Study 2017. Lancet Respir. Med. 2020, 8, 585–596. [Google Scholar] [CrossRef]
- Watson, O.J.; Barnsley, G.; Toor, J.; Hogan, A.B.; Winskill, P.; Ghani, A.C. Global impact of the first year of COVID-19 vaccination: A mathematical modelling study. Lancet Infect. Dis. 2022, 22, 1293–1302. [Google Scholar] [CrossRef]
- Howard, J.; Huang, A.; Li, Z.; Tufekci, Z.; Zdimal, V.; Westhuizen, H.M.v.d.; Delft, A.v.; Price, A.; Fridman, L.; Tang, L.H.; et al. Face Masks Against COVID-19: An Evidence Review. Preprints 2020, 2020040203. [Google Scholar] [CrossRef] [PubMed]
- Wang, A.B.; Zhang, X.; Gao, L.J.; Zhang, T.; Xu, H.J.; Bi, Y.J. A Review of Filtration Performance of Protective Masks. Int. J. Environ. Res. Public Health 2023, 20, 2346. [Google Scholar] [CrossRef]
- Collins, A.P.; Service, B.C.; Gupta, S.; Mubarak, N.; Zeini, I.M.; Osbahr, D.C.; Romeo, A.A. N95 respirator and surgical mask effectiveness against respiratory viral illnesses in the healthcare setting: A systematic review and meta-analysis. J. Am. Coll. Emerg. Physicians Open 2021, 2, e12582. [Google Scholar] [CrossRef]
- Kim, M.S.; Seong, D.; Li, H.; Chung, S.K.; Park, Y.; Lee, M.; Lee, S.W.; Yon, D.K.; Kim, J.H.; Lee, K.H.; et al. Comparative effectiveness of N95, surgical or medical, and non-medical facemasks in protection against respiratory virus infection: A systematic review and network meta-analysis. Rev. Med. Virol. 2022, 32, e2336. [Google Scholar] [CrossRef] [PubMed]
- Chapman, D.; Strong, C.; Ullah, S.; Richards, L.; Ganesan, A.N. Personalized 3D-printed frames to reduce leak from N95 filtering facepiece respirators: A prospective crossover trial in health care workers. J. Occup. Environ. Hyg. 2023, 20, 304–314. [Google Scholar] [CrossRef]
- Regli, A.; Sommerfield, A.; von Ungern-Sternberg, B.S. The role of fit testing N95/FFP2/FFP3 masks: A narrative review. Anaesthesia 2021, 76, 91–100. [Google Scholar] [CrossRef] [PubMed]
- Radonovich, L.J., Jr.; Simberkoff, M.S.; Bessesen, M.T.; Brown, A.C.; Cummings, D.A.T.; Gaydos, C.A.; Los, J.G.; Krosche, A.E.; Gibert, C.L.; Gorse, G.J.; et al. N95 Respirators vs Medical Masks for Preventing Influenza Among Health Care Personnel: A Randomized Clinical Trial. JAMA 2019, 322, 824–833. [Google Scholar] [CrossRef]
- Fourmont, P.; Cloutier, S.G. Screen-printed p–n BiOCl/BiFeO3 heterojunctions for efficient photocatalytic degradation of Rhodamine B. RSC Adv. 2022, 12, 24868–24875. [Google Scholar] [CrossRef]
- Jia, Z.; Ai, Z.; Yang, X.; Mak, C.M.; Wong, H.M. Towards an accurate CFD prediction of airflow and dispersion through face mask. Build. Environ. 2023, 229, 109932. [Google Scholar] [CrossRef]
- Pinnelli, M.; Lo Presti, D.; Silvestri, S.; Setola, R.; Schena, E.; Massaroni, C. Towards the Instrumentation of Facemasks Used as Personal Protective Equipment for Unobtrusive Breathing Monitoring of Workers. Sensors 2024, 24, 5815. [Google Scholar] [CrossRef]
- Song, Y.; Wang, X.; Wang, L.; Qu, L.; Zhang, X. Functionalized Face Masks as Smart Wearable Sensors for Multiple Sensing. ACS Sens. 2024, 9, 4520–4535. [Google Scholar] [CrossRef]
- Curtiss, A.; Rothrock, B.; Bakar, A.; Arora, N.; Huang, J.; Englhardt, Z.; Empedrado, A.P.; Wang, C.; Ahmed, S.; Zhang, Y.; et al. FaceBit: Smart Face Masks Platform. In Proceedings of the ACM on Interactive, Mobile, Wearable and Ubiquitous Technologies; Association for Computing Machinery: New York, NY, USA, 2022; Volume 5, pp. 151:1–151:44. [Google Scholar] [CrossRef]
- Ding, C.; Liu, Y.; Xie, P.; Lan, J.; Yu, Y.; Fu, X.; Yang, X.; Zhong, W.H. A novel carbon aerogel enabling respiratory monitoring for bio-facial masks. J. Mater. Chem. A 2021, 9, 13143–13150. [Google Scholar] [CrossRef]
- Li, X.; Pan, J.; Wu, Y.; Xing, H.; An, Z.; Shi, Z.; Lv, J.; Zhang, F.; Jiang, J.; Wang, D.; et al. MXene-based wireless facemask enabled wearable breath acetone detection for lipid metabolic monitoring. Biosens. Bioelectron. 2023, 222, 114945. [Google Scholar] [CrossRef]
- Hwang, C.S.H.; Lee, S.; Lee, S.; Kim, H.; Kang, T.; Lee, D.; Jeong, K.H. Highly Adsorptive Au-TiO2 Nanocomposites for the SERS Face Mask Allow the Machine-Learning-Based Quantitative Assay of SARS-CoV-2 in Artificial Breath Aerosols. ACS Appl. Mater. Interfaces 2022, 14, 54550–54557. [Google Scholar] [CrossRef]
- Zhong, J.; Li, Z.; Takakuwa, M.; Inoue, D.; Hashizume, D.; Jiang, Z.; Shi, Y.; Ou, L.; Nayeem, M.O.G.; Umezu, S.; et al. Smart Face Mask Based on an Ultrathin Pressure Sensor for Wireless Monitoring of Breath Conditions. Adv. Mater. 2022, 34, 2107758. [Google Scholar] [CrossRef]
- Ye, L.; Wu, F.; Xu, R.; Zhang, D.; Lu, J.; Wang, C.; Dong, A.; Xu, S.; Xue, L.; Fan, Z.; et al. Face mask integrated with flexible and wearable manganite oxide respiration sensor. Nano Energy 2023, 112, 108460. [Google Scholar] [CrossRef]
- Yang, L.; Wang, H.; Yuan, W.; Li, Y.; Gao, P.; Tiwari, N.; Chen, X.; Wang, Z.; Niu, G.; Cheng, H. Wearable Pressure Sensors Based on MXene/Tissue Papers for Wireless Human Health Monitoring. Acs Appl. Mater. Interfaces 2021, 13, 60531–60543. [Google Scholar] [CrossRef] [PubMed]
- Cheraghi Bidsorkhi, H.; Faramarzi, N.; Ali, B.; Ballam, L.R.; D’Aloia, A.G.; Tamburrano, A.; Sarto, M.S. Wearable Graphene-based smart face mask for Real-Time human respiration monitoring. Mater. Des. 2023, 230, 111970. [Google Scholar] [CrossRef] [PubMed]
- Kim, J.; Roh, H.; Moon, S.; Jeon, C.; Baek, S.; Cho, W.; Sim, J.Y.; Jeong, U. Wireless breathable face mask sensor for spatiotemporal 2D respiration profiling and respiratory diagnosis. Biomaterials 2024, 309, 122579. [Google Scholar] [CrossRef]
- Douani, R.; Lamrani, N.; Oughanem, M.; Saidi, M.; Guhel, Y.; Chaouchi, A.; Boudart, B. Improvement of humidity sensing performance of BiFeO3 nanoparticles-based sensor by the addition of carbon fibers. Sens. Actuators A Phys. 2020, 307, 111981. [Google Scholar] [CrossRef]
- Chen, X.; Liu, C.; Hua, Z.; Ma, N. Ferroelectric Polarization and Oxygen Vacancy Synergistically Induced an Ultrasensitive and Fast Humidity Sensor for Multifunctional Applications. ACS Appl. Mater. Interfaces 2022, 14, 49965–49974. [Google Scholar] [CrossRef]
- Fourmont, P.; Nechache, R.; Cloutier, S.G. Reusable BiFeO3 Nanofiber-Based Membranes for Photo-activated Organic Pollutant Removal with Negligible Colloidal Release. ACS Appl. Nano Mater. 2021, 4, 12261–12269. [Google Scholar] [CrossRef]
- Fourmont, P.; Vaussenat, F.; Gratuze, M.; Ross, C.A.; Cloutier, S.G. Highly-Sensitive and High Operating Range Fully-Printed Humidity Sensors Based on BiFeO3/BiOCl Heterojunctions. Adv. Electron. Mater. 2024, 10, 2400156. [Google Scholar] [CrossRef]
- Li, Y.; Tokura, H.; Guo, Y.; Wong, A.; Wong, T.; Chung, J.; Newton, E. Effects of wearing N95 and surgical facemasks on heart rate, thermal stress and subjective sensations. Int. Arch. Occup. Environ. Health 2005, 78, 501–509. [Google Scholar] [CrossRef]
- Roberge, R.J.; Kim, J.H.; Powell, J.B.; Shaffer, R.E.; Ylitalo, C.M.; Sebastian, J.M. Impact of Low Filter Resistances on Subjective and Physiological Responses to Filtering Facepiece Respirators. PLoS ONE 2013, 8, e84901. [Google Scholar] [CrossRef]
- Fourmont, P.; Bai, Y.; Fortier, F.X.; Cloutier, S.G. Graphene-Enhanced Screen-Printed BiFeO3-Based Thermistors. ACS Appl. Electron. Mater. 2022, 4, 5905–5913. [Google Scholar] [CrossRef]
- Henkel. LOCTITE® EDAG 725A(6S54) E&C; Technical Report; Henkeldruck: Stuttgart, Germany, 2014. [Google Scholar]
- Tektronix. DAQ6510 Data Acquisition and Logging, Multimeter System; Technical report; Tektronix: Beaverton, OR, USA, 2019. [Google Scholar]
- MacIntyre, C.R.; Chughtai, A.A. A rapid systematic review of the efficacy of face masks and respirators against coronaviruses and other respiratory transmissible viruses for the community, healthcare workers and sick patients. Int. J. Nurs. Stud. 2020, 108, 103629. [Google Scholar] [CrossRef]
- Roberge, R.J.; Bayer, E.; Powell, J.B.; Coca, A.; Roberge, M.R.; Benson, S.M. Effect of Exhaled Moisture on Breathing Resistance of N95 Filtering Facepiece Respirators. Ann. Occup. Hyg. 2010, 54, 671–677. [Google Scholar] [CrossRef]
- West, J.B.; Luks, A.M. West’s Respiratory Physiology; Google-Books-ID: szgDEAAAQBAJ; Lippincott Williams & Wilkins: London, UK, 2020. [Google Scholar]
- Crank, J. The Mathematics of Diffusion, 2nd ed.; Clarendon Press: Oxford, UK, 1975. [Google Scholar]
- Roberge, R.J.; Kim, J.; Coca, A. Protective Facemask Impact on Human Thermoregulation: An Overview. Ann. Occup. Hyg. 2011, 56, 102–112. [Google Scholar] [CrossRef]
- Rosati Rowe, J.A.; Burton, R.; McGregor, G.; McCauley, R.; Tang, W.; Spencer, R. Development of a three-dimensional model of the human respiratory system for dosimetric use. Theor. Biol. Med. Model. 2013, 10, 28. [Google Scholar] [CrossRef]
- Smith, J.D.; MacDougall, C.C.; Johnstone, J.; Copes, R.A.; Schwartz, B.; Garber, G.E. Effectiveness of N95 respirators versus surgical masks in protecting health care workers from acute respiratory infection: A systematic review and meta-analysis. CMAJ 2016, 188, 567–574. [Google Scholar] [CrossRef]
- Ganong, W.F.; Barrett, K.E.; Barman, S.M.; Boitano, S.; Brooks, H.L. La physiologie respiratoire. In Physiologie Médicale, 3rd ed.; De Boeck: Paris, France, 2012; pp. 587–625. [Google Scholar]
- Vaussenat, F.; Bhattacharya, A.; Payette, J.; Benavides-Guerrero, J.A.; Perrotton, A.; Gerlein, L.F.; Cloutier, S.G. Continuous Critical Respiratory Parameter Measurements Using a Single Low-Cost Relative Humidity Sensor: Evaluation Study. JMIR Biomed. Eng. 2023, 8, e47146. [Google Scholar] [CrossRef] [PubMed]
- Gardner, J.W.; Vincent, T.A. Electronic Noses for Well-Being: Breath Analysis and Energy Expenditure. Sensors 2016, 16, 947. [Google Scholar] [CrossRef] [PubMed]
- Abdullah, A.Z.; Haider, A.J.; Jabbar, A.A. Pure TiO2/PSi and TiO2@Ag/PSi structures as controllable sensor for toxic gases. AIMS Mater. Sci. 2022, 9, 522–533. [Google Scholar] [CrossRef]
- Sysoev, V.V.; Strelcov, E.; Kolmakov, A. Multisensor Micro-Arrays Based on Metal Oxide Nanowires for Electronic Nose Applications. In Metal Oxide Nanomaterials for Chemical Sensors; Carpenter, M.A., Mathur, S., Kolmakov, A., Eds.; Springer: New York, NY, USA, 2013; pp. 465–502. [Google Scholar] [CrossRef]









| Participant | Day 1 | Day 2 | Day 3 | |||
|---|---|---|---|---|---|---|
| Temp (°C) | R.H (%) | Temp (°C) | R.H (%) | Temp (°C) | R.H (%) | |
| P1 | 23.7 | 21.4 | 22.9 | 51.3 | 22.7 | 51.3 |
| P2 | 22.2 | 31.8 | 22.9 | 54.5 | 22.7 | 51.1 |
| P3 | 23.9 | 21.2 | 22.3 | 55.4 | 23.0 | 50.2 |
| P4 | 23.0 | 30.8 | 22.9 | 50.9 | 22.7 | 51.5 |
| Mean | 23.2 | 26.5 | 22.8 | 53.0 | 22.8 | 51.0 |
| D1 | D2 | D3 | |
|---|---|---|---|
| P1 | 0.988 | 0.938 | 0.987 |
| P2 | 0.984 | 0.976 | 0.902 |
| P3 | 0.958 | 0.973 | 0.967 |
| P4 | 0.988 | 0.982 | 0.907 |
| Participant | W2 | W3 | W4 | W5 | W6 | (BPM) | |||||||
|---|---|---|---|---|---|---|---|---|---|---|---|---|---|
| N | D | N | D | N | D | N | D | N | D | ||||
| P1 | D1 | 20.1 | 7.6 | 21.2 | 7.5 | 21.7 | 7.0 | 20.5 | 6.9 | 20.8 | 8.0 | 13.4 | - |
| D2 | 18.6 | 7.5 | 18.4 | 8.8 | 19.1 | 8.7 | 18.6 | 7.9 | 18.1 | 7.9 | 10.4 | 238.4 | |
| D3 | 17.9 | 7.6 | 17.9 | 8.2 | 18.7 | 9.6 | 18.1 | 8.3 | 18.2 | 10.5 | 9.34 | 409.5 | |
| P2 | D1 | 19.5 | 5.2 | 18.7 | 4.9 | 17.5 | 5.2 | 18.7 | 4.8 | 19.2 | 5.4 | 13.6 | 308.5 |
| D2 | 17.1 | 8.0 | 18.8 | 8.6 | 17.9 | 7.6 | - | - | 19.0 | 5.6 | 10.7 | 86.5 | |
| D3 | 18.8 | 4.8 | 18.8 | 5.2 | 18.9 | 4.9 | 19.7 | 10.2 | 20.5 | 6.9 | 12.9 | 921.3 | |
| P3 | D1 | 20.2 | 11.0 | 20.9 | 13.0 | 21.5 | 14.0 | 21.6 | 13.5 | 21.6 | 19.6 | 6.93 | 518.2 |
| D2 | 19.5 | 10.6 | 21.7 | 13.9 | 21.9 | 15.8 | 21.6 | 12.5 | 19.6 | 12.4 | 7.81 | 193.5 | |
| D3 | 21.4 | 12.1 | 20.1 | 11.4 | 21.9 | 13.0 | 20.8 | 13.7 | 21.8 | 13.1 | 8.57 | 166.7 | |
| P4 | D1 | 20.7 | 10.2 | 21.3 | 11.4 | 20.2 | 10.7 | 20.0 | 11.2 | 20.6 | 12.6 | 9.33 | 175.5 |
| D2 | 15.7 | 9.3 | 19.0 | 9.4 | 17.3 | 9.2 | 18.7 | 8.7 | 18.1 | 8.6 | 8.71 | 346.4 | |
| D3 | 22.2 | 12.8 | 21.6 | 11.0 | 21.0 | 9.7 | 20.7 | 8.4 | 20.8 | 8.9 | 11.07 | 2805.8 | |
Disclaimer/Publisher’s Note: The statements, opinions and data contained in all publications are solely those of the individual author(s) and contributor(s) and not of MDPI and/or the editor(s). MDPI and/or the editor(s) disclaim responsibility for any injury to people or property resulting from any ideas, methods, instructions or products referred to in the content. |
© 2025 by the authors. Licensee MDPI, Basel, Switzerland. This article is an open access article distributed under the terms and conditions of the Creative Commons Attribution (CC BY) license (https://creativecommons.org/licenses/by/4.0/).
Share and Cite
Payette, J.; Perrotton, A.; Fourmont, P.; Vaussenat, F.; Benavides, J.A.; Gerlein, L.F.; Cloutier, S.G. Assessment of KN95 Mask Filtering Degradation and Breathing Detection: A Pilot Study. Sensors 2025, 25, 7623. https://doi.org/10.3390/s25247623
Payette J, Perrotton A, Fourmont P, Vaussenat F, Benavides JA, Gerlein LF, Cloutier SG. Assessment of KN95 Mask Filtering Degradation and Breathing Detection: A Pilot Study. Sensors. 2025; 25(24):7623. https://doi.org/10.3390/s25247623
Chicago/Turabian StylePayette, Julie, Alexandre Perrotton, Paul Fourmont, Fabrice Vaussenat, Jaime A. Benavides, Luis Felipe Gerlein, and Sylvain G. Cloutier. 2025. "Assessment of KN95 Mask Filtering Degradation and Breathing Detection: A Pilot Study" Sensors 25, no. 24: 7623. https://doi.org/10.3390/s25247623
APA StylePayette, J., Perrotton, A., Fourmont, P., Vaussenat, F., Benavides, J. A., Gerlein, L. F., & Cloutier, S. G. (2025). Assessment of KN95 Mask Filtering Degradation and Breathing Detection: A Pilot Study. Sensors, 25(24), 7623. https://doi.org/10.3390/s25247623

