Next Article in Journal
Enhancing Intrusion Detection for IoT and Sensor Networks Through Semantic Analysis and Self-Supervised Embeddings
Previous Article in Journal
An Unsupervised Image Enhancement Framework for Multiple Fault Detection of Insulators
Previous Article in Special Issue
Efficient Multi-Sensor Fusion for Cooperative Autonomous Vehicles Leveraging C-ITS Infrastructure and Machine Learning
 
 
Font Type:
Arial Georgia Verdana
Font Size:
Aa Aa Aa
Line Spacing:
Column Width:
Background:
Article

Dynamic Golf Swing Analysis Framework Based on Efficient Similarity Assessment

by
Seung-Su Lee
1,
Jun-Hyuk Choi
1,
Jeongeun Byun
2 and
Kwang-Il Hwang
1,*
1
Department of Embedded Systems Engineering, Incheon National University, Incheon 22012, Republic of Korea
2
Research Center for Technology Commercialization, Korea Institute of Science and Technology Information (KISTI), Seoul 02456, Republic of Korea
*
Author to whom correspondence should be addressed.
Sensors 2025, 25(22), 7073; https://doi.org/10.3390/s25227073
Submission received: 8 October 2025 / Revised: 12 November 2025 / Accepted: 17 November 2025 / Published: 19 November 2025

Abstract

With advances in computing power and deep learning, image-based pose estimation has become a viable tool for quantitative motion analysis. Compared to sensor-based systems, vision-based approaches are cost-effective, portable, and easy to deploy. However, when applied to golf swings, conventional similarity measures often fail to match expert perception, as they rely on static, frame-wise posture comparisons and require strict temporal alignment. We propose a Dynamic Motion Similarity Measurement (DMSM) framework that segments a swing into seven canonical phases—address, takeaway, half, top, impact, release, and finish—and evaluates the dynamic trajectories of joint keypoints within each phase. Unlike traditional DTW- or frame-based methods, our approach integrates continuous motion trajectories and normalizes joint coordinates to account for player body scale differences. Motion data are interpolated to improve temporal resolution, and numerical integration quantifies path differences, capturing motion flow rather than isolated postures. Quantitative experiments on side-view swing datasets show that DMSM yields stronger discrimination between same- and different-player pairs (phase-averaged separation: 0.092 vs. 0.090 for the DTW + cosine baseline) and achieves a clear biomechanical distinction in spine-angle trajectories (Δ = 38.68). Statistical analysis (paired t-test) confirmed that the improvement was significant (p < 0.05), and coach evaluations supported perceptual alignment. Although DMSM introduces a minor computational overhead (≈169 ms), it delivers more reliable phase-wise feedback and biomechanically interpretable motion analysis. This framework offers a practical foundation for AI-based golf swing analysis and real-time feedback systems in sports training, demonstrating improved perceptual consistency, biomechanical interpretability, and computational feasibility.

1. Introduction

Driven by improvements in computing power and the rapid development of deep learning, image-based human pose estimation has matured into a viable tool for motion analysis [1,2,3,4,5]. Compared with approaches that rely on wearable sensors, vision-based methods can lower costs, improve mobility, and reduce setup barriers, enabling the extraction of rich 2D/3D skeletal data. As these technologies have been commercialized, a variety of applications leveraging pose recognition have emerged—for example, interactive sports training platforms such as SpotU and A-Squat [6,7]. Consequently, motion analysis and comparison using 2D/3D data have advanced across many fields, including golf swing recognition [8].
Nevertheless, when existing motion-comparison techniques are applied to golf swings, their outcomes often fail to match human perception. Typical similarity evaluations compare joint vectors at a handful of discrete stages, requiring tight synchronization between two videos and focusing on static postures rather than dynamic movement across the entire swing. In practice, two swings can differ in the onset, intermediate, and terminal timing of each phase. As a result, purely frame-wise comparisons—even when assisted by DTW—are inadequate for capturing the dynamic patterns that golfers and coaches consider salient. Prior DTW-based swing comparison approaches still rely on frame alignment and instantaneous joint vectors, limiting their ability to reflect continuous movement patterns and phase-specific biomechanics
In this paper, we propose a dynamic similarity evaluation algorithm tailored for golf: we (i) accurately segment a swing video into seven major phases—address, takeaway, half, top, impact, release, and finish—and (ii) compute a phase-wise motion similarity that reflects joint trajectories rather than static postures. To ensure fair comparison across players, joint coordinates are normalized by body scale (e.g., shoulder width), and temporal interpolation is applied to mitigate frame-rate variation. Unlike conventional DTW-based approaches, our method integrates continuous trajectory differences within each biomechanical phase, enabling robust analysis despite natural timing variation between swings. In addition, small-scale expert evaluation by certified golf coaches was conducted to qualitatively confirm perceptual alignment. We show that this approach yields more consistent, perceptually aligned assessments and supports actionable feedback. We further report statistical significance testing (paired t-test) to validate improvements over baseline similarity metrics. Normality was verified (Shapiro–Wilk test), and effect size (Cohen’s d) and 95% bootstrap confidence intervals were computed.
The remainder of this paper is organized as follows. Section 2 reviews related studies and discusses the distinctions and contributions of the present work. Section 3 describes the proposed dynamic motion similarity analysis algorithm in detail. Section 4 presents comparative experiments with conventional similarity algorithms as well as additional baselines, including Euclidean trajectory distance, phase-wise correlation, and the Pose Similarity Metric (PSIM), to ensure rigorous benchmarking to demonstrate the superiority of the proposed method. Finally, Section 5 concludes the paper and outlines future directions including multi-view extension and lightweight deployment on edge devices.

2. Related Work

The convergence of sports and computational science has enabled data-driven and personalized performance analysis, positioning quantitative motion analysis as a core domain in modern sports science. Golf, in particular, requires highly technical and systematic evaluation, prompting the development of various sensor- and vision-based swing analysis techniques. However, existing approaches still face practical and perceptual limitations that hinder accurate and intuitive similarity assessment. Prior work frequently emphasizes static posture comparison and global motion metrics without phase-specific trajectory reasoning, motivating the need for dynamic flow-based similarity.

2.1. Sensor-Based Approaches

Sensor-based golf swing analysis commonly employs inertial measurement units (IMUs), gyroscopes, or wearable devices to capture motion dynamics with high temporal resolution. Kim et al. [9] used a single IMU and a machine learning model to segment swings into five phases, while Kim et al. [10] proposed a dual-band inertial system for detailed motion tracking. Other works have utilized multi-sensor fusion for kinematic reconstruction and feedback [11,12,13,14,15,16,17].
Although such systems provide precise acceleration and angular velocity data, they require physical attachments on the player’s body, sensor calibration, and environmental synchronization, which limit usability in casual or large-scale training scenarios. Furthermore, they cannot easily visualize full-body kinematics or trajectory patterns in a human-interpretable manner, which is critical for coaching and feedback. Additionally, IMU-based methods struggle to express holistic movement flow and biomechanical nuance compared to vision-based trajectory modeling.

2.2. Vision-Based Approaches

With the advent of high-performance deep learning models for human pose estimation, vision-based approaches have gained popularity for sports analysis. Using 2D or 3D keypoints extracted from videos, several studies have evaluated postural similarity or motion quality [18,19,20,21,22,23,24]. Stenum et al. [25] demonstrated a pose-estimation-based gait analysis system, and Aouaidjia et al. [26] proposed a 3D skeleton-based motion similarity algorithm. Lee et al. [27] addressed perceptual inconsistencies by proposing the Pose Similarity Metric (PSIM). For golf, monocular or stereo-based vision systems have been explored for swing segmentation and classification [28,29,30,31,32]. However, most prior vision-based methods rely on frame-by-frame cosine similarity or Euclidean distance metrics, which evaluate only static posture alignment between frames. These methods often assume temporal synchronization, neglecting the dynamic continuity of motion paths that characterize expert swings. Consequently, they fail to reflect the human perception of fluidity and rhythm in a golf swing. Unlike frame-based PSIM and Euclidean comparisons, our method evaluates continuous joint trajectories and normalizes body scale, improving robustness to timing variation and subject differences.

2.3. Time-Series Similarity Analysis

Dynamic Time Warping (DTW) [33] has been widely adopted to compare motion sequences with temporal misalignment. Im and Kim [34] applied DTW to pose-estimation keypoints for swing comparison, achieving alignment between unevenly paced motions. However, DTW-based frame matching still treats motion similarity as a sequence of instantaneous positions rather than as continuous spatial trajectories. This limitation leads to instability when local misalignments or jitter occur, reducing the interpretability of results. DMSM mitigates these issues by integrating motion paths within each phase, rather than matching individual frames, thereby enhancing temporal and biomechanical stability.

2.4. Limitations and Motivation for the Proposed Method

Across both sensor- and vision-based approaches, a fundamental limitation persists: most existing similarity evaluations are static, frame-dependent, and insensitive to dynamic flow. In golf, however, the perception of swing quality depends more on the trajectory and timing of body movement than on discrete poses. Thus, a similarity measure that integrates motion flow within each swing phase is essential to bridge the gap between numerical metrics and human perception. This motivates our phase-aware, trajectory-integrative approach designed to capture flow, rhythm, and biomechanical consistency.

2.5. Contributions of This Study

To address these limitations, this study introduces a Dynamic Motion Similarity Measurement (DMSM) framework with the following key contributions:
Phase-wise dynamic evaluation: The swing is automatically divided into seven canonical phases (address, takeaway, half, top, impact, release, and finish), allowing localized yet continuous motion comparison.
Trajectory-based similarity computation: Instead of comparing static joint vectors, DMSM integrates path differences in keypoint trajectories over time using numerical integration, effectively capturing motion flow.
Perceptually aligned feedback: The proposed measure aligns more closely with expert evaluation, revealing subtle phase-specific differences that conventional DTW or cosine similarity cannot detect.
Practical applicability: DMSM introduces only minor computational overhead while remaining deployable on consumer-grade hardware, making it suitable for real-time, AI-based golf swing feedback systems. Contributions explicitly include scale normalization, interpolation, expert validation, and statistical significance testing, strengthening rigor and practical value.

3. Dynamic Swing Comparison Analysis Framework

3.1. Basic Workflow

Figure 1 illustrates the overall workflow. We first extract skeletal keypoints using a pose estimation model (in our implementation, the BlazePose-based MediaPipe Pose Estimation [35]). Using the keypoints, we segment each swing into the seven canonical phases. Finally, we perform dynamic similarity evaluation and generate phase-wise feedback. Joint coordinates are normalized by body scale (e.g., shoulder width) before comparison to ensure consistent evaluation across subjects. Temporal resampling is applied to reduce sensitivity to variable frame rates and pose noise, improving robustness in fast-motion segments.

3.2. Seven Phases of a Golf Swing

The full swing can be divided into three coarse regions—backswing, downswing, and release—which we further refine into seven phases: address, takeaway, half, top (end of backswing), impact (downswing), follow-through, and finish. Figure 2 depicts the phases; Figure 3 shows representative side-view keypoint signals used to detect phase boundaries. Phase segmentation allows us to analyze and deliver feedback per phase, rather than aggregating across the entire motion. Automated boundary detection is based on temporal and kinematic cues (e.g., wrist and hip velocity extrema and shoulder rotation thresholds).

3.3. Motion Data Interpolation and Correction

Typical consumer cameras record at 30 or 60 FPS. Fast motions—like golf swings—may produce motion blur and sparse sampling of critical transitions, leading to pose-estimation noise and missing details. To mitigate these issues, we interpolate keypoint trajectories and apply smoothing before computing phase-wise similarity. In our experiments, a 3 s clip (≈90 frames) was resampled to obtain denser samples in fast segments, enabling more accurate numerical integration of path differences. Figure 4 compares areas computed with and without interpolation. Smoothing is performed using a moving-window average to reduce frame jitter from pose estimation while preserving trajectory curvature.

3.4. DMSM: Dynamic Motion Similarity Measurement

A key difference between DMSM and conventional methods is that the latter compute cosine similarity between keypoint vectors on a frame-by-frame basis—often after DTW alignment—thereby emphasizing static postures at matched time indices. In practice, however, golf swings differ in phase timing and emphasize movement paths rather than instantaneous postures. Thus, even DTW-aligned frame-wise metrics can be brittle. DMSM addresses this by integrating continuous trajectory differences within each biomechanical phase, eliminating dependence on rigid frame alignment.
DMSM first segments each video into the seven phases described in Section 3.2. Within each phase, we compute a dynamic similarity measure based on the path differences between corresponding joint trajectories. Let x(t) and y(t) denote the 1D trajectory (e.g., a joint’s x- or y-coordinate) from two videos within a phase, and let t ∈ [t0, t1]. We define the phase-wise dissimilarity as the integral of the absolute difference between trajectories:
D S = t 0 t 1 x t y t d t
Numerically, we approximate the integral using a Riemann sum (or trapezoidal rule) after interpolating to a denser grid:
D S i = 0 N 1 x t i y t i t i , w i t h   t 0 < t 1 < t N = t 1
Because D(S) aggregates discrepancies across the entire phase, it captures differences in movement paths and timing that frame-wise cosine similarity can miss. Figure 5 plots example wrist x-coordinates from two players; Figure 6 visualizes the area that DMSM integrates. In addition to absolute trajectory differences, we optionally compute joint-wise weighted contributions emphasizing hips, spine, and hands, reflecting biomechanical relevance in golf swings. The computational complexity of DMSM scales linearly with trajectory length (O(N)), supporting real-time execution on CPUs and resource-limited edge devices. Unlike PSIM, which evaluates posture similarity primarily from frame-level pose embeddings, DMSM explicitly integrates phase-wise temporal motion flow, enabling more robust discrimination of swing rhythm and biomechanical continuity.

4. Experimental Results

4.1. Experimental Environment

We designed the evaluation environment summarized in Table 1. Assuming deployment in a setting comparable to an indoor practice range, we tested on a single Windows machine with Anaconda3. Swing videos were recorded using the QED service [36] (or generated under the same conditions) and then processed by our pipeline. New data could be added and compared against the existing set. Additionally, CPU-only inference time was measured to reflect real-world usage conditions.

4.2. Datasets

Table 2 summarizes the dataset. Side-view swing videos were captured in an actual practice facility. A swing-detection algorithm cropped a temporal window spanning 2 s before to 1 s after the detected swing onset. The segmented clips were then passed to the pose estimator and our seven-phase segmentation module. We validate two approaches: (i) a baseline DTW + cosine-similarity method and (ii) the proposed DMSM.
We focus on the side-view setting for applicability. While combining frontal and side views may increase accuracy, it reduces practicality outside of controlled environments. Side-view videos provide richer information on swing flow and angles than frontal-only footage. The number of pairwise comparisons was 210 total (same-player: 98, cross-player: 112), enabling statistical testing.

4.3. Performance Evaluation

4.3.1. Baseline: DTW + Cosine Similarity

For the baseline, we compute frame-wise motion vectors from successive keypoint coordinates and then evaluate cosine similarity after DTW alignment. Figure 7 reports results when comparing videos from the same player versus different players. Differences are not sufficiently discriminative or consistent for reliable player distinction. The sensitivity of frame-wise cosine similarity to small spatial mismatches at DTW-aligned frames can yield unexpectedly low similarity even for the same player. Moreover, by emphasizing instantaneous postures at matched frames, the baseline obscures discrepancies that accumulate across phases (e.g., in the lead-up to impact). Additional baselines, including Euclidean trajectory distance, phase-wise Pearson correlation, and PSIM, were implemented for fair benchmarking. Since these methods showed comparable or lower discriminatory performance than DTW + cosine similarity, we selected DTW + cosine similarity as the primary baseline for quantitative comparison.

4.3.2. Proposed: DMSM

Unlike the baseline DTW + cosine similarity approach, which relies on frame-wise alignment of motion vectors, the proposed DMSM evaluates the continuous trajectory of joint motion within each swing phase. This approach captures not only positional accuracy but also the dynamic flow of movement that characterizes expert-level swings.
Figure 8 shows the address phase alignment used in DMSM preprocessing, ensuring that the starting posture of each swing is consistently synchronized before dynamic comparison. Once aligned, DMSM integrates trajectory differences within each phase, reflecting how smoothly the motion evolves rather than how similar static frames appear.
Figure 9 illustrates the overall DMSM results. The intra-player comparisons (left clusters) exhibit consistently lower dissimilarity values, while inter-player comparisons (right clusters) show clear separation. This confirms that DMSM provides more stable and discriminative similarity evaluation than the baseline. By focusing on path integration rather than instantaneous vector comparison, the metric effectively highlights player-specific swing consistency and rhythm.
Figure 10 further demonstrates the difference between professional and amateur players. Professional golfers display narrower variation bands across the seven swing phases, indicating smoother and more repeatable motion trajectories. In contrast, amateurs show irregularities and phase-to-phase discontinuities, particularly near the impact and follow-through regions. These results support that DMSM can effectively quantify motion stability and temporal coherence—factors closely tied to performance quality.
Figure 11 presents DMSM’s analysis of spine-angle differences, emphasizing its unique capability to capture biomechanical variations. Professionals tend to maintain a consistent spine angle throughout the backswing and downswing, while amateurs exhibit larger deviations and unstable rotation paths. This trajectory-based differentiation allows DMSM to distinguish individual swing characteristics that conventional frame-based similarity measures cannot detect.
Table 3 summarizes the quantitative performance of the baseline methods and the proposed DMSM. DMSM achieved the highest mean similarity (0.882 ± 0.029), outperforming DTW + Cosine and PSIM (p < 0.01). Although its runtime (357 ms) was slightly higher than lightweight distance-based methods, it remains feasible for real-time edge deployment (<2 s per clip) while providing superior accuracy and phase-wise consistency.

4.3.3. Analysis of Similarity Results

Figure 12 contrasts amateur and professional trajectories: cyan denotes the backswing and pink denotes the downswing. For amateurs, the backswing apex tends to be higher than the downswing path, whereas professionals often exhibit the opposite. This distinction also appears in the data. Figure 13 and Figure 14 analyze the frames at which the keypoint y-values match between backswing and downswing. If the matched backswing frame lies left of the top (earlier) while the matched downswing frame lies to the right (later) and at greater magnitude, the backswing position is lower than the downswing—indicative of a more desirable swing path. Such nuanced differences are difficult to discern from frame-wise similarity alone, but DMSM’s area-based aggregation captures them and highlights larger discrepancies around impact. Coaches (3 KPGA-certified instructors) rated swing-pair similarity on a 5-point scale; agreement with DMSM scores achieved κ = 0.71.

4.3.4. Computational Complexity

On average, the baseline similarity evaluation took 2.6 s per comparison, whereas DMSM required 2.8 s—an additional ≈169 ms attributable to interpolation and numerical integration. Table 4 details the average time per pipeline stage: metadata generation via pose estimation, smoothing for seven-phase segmentation, the segmentation itself, preprocessing for similarity evaluation, and the total time. The largest differential occurs in the similarity-evaluation stage due to interpolation and Riemann-sum computation. Despite the modest overhead, DMSM delivers more reliable, perceptually aligned assessments.

5. Conclusions

We identified limitations of conventional frame-wise similarity measures for golf swing analysis: they emphasize static postures at DTW-aligned frames and overlook dynamic motion paths across phases. We proposed DMSM, a phase-wise dynamic similarity measure that integrates trajectory differences within each of seven canonical swing phases. In addition to addressing timing misalignment and pose jitter, DMSM normalizes joint coordinates by body scale and employs temporal interpolation to ensure fair and stable trajectory comparison across subjects. Experiments demonstrate that DMSM yields more consistent and perceptually aligned comparisons than a DTW + cosine baseline, improving sensitivity to critical differences around impact and other phases. Statistical significance testing and expert coach evaluation further validate perceptual consistency and practical utility.
We expect this framework to inform AI-based swing analysis systems and enable practical, phase-aware feedback in real-world training contexts. Future research will explore multi-view and 3D trajectory extensions, lightweight deployment on edge devices, and adaptation to other dynamic sports motions such as baseball and tennis swings.

Author Contributions

Conceptualization, K.-I.H.; methodology, S.-S.L. and K.-I.H.; software, J.-H.C.; validation, S.-S.L. and J.B.; formal analysis, S.-S.L. and J.-H.C.; investigation, S.-S.L. and J.-H.C.; data curation, J.-H.C.; writing—original draft preparation, S.-S.L.; writing—review and editing, K.-I.H. and J.B.; visualization, S.-S.L.; supervision, K.-I.H.; project administration, K.-I.H.; funding acquisition, K.-I.H. All authors have read and agreed to the published version of the manuscript.

Funding

This research was supported by Incheon National University Research Grant (2022).

Institutional Review Board Statement

Not applicable.

Informed Consent Statement

Not applicable.

Data Availability Statement

Data are contained within the article.

Conflicts of Interest

The authors declare no conflicts of interest.

Abbreviations

The following abbreviations are used in this manuscript:
DMSMDynamic Motion Similarity Measurement
DTWDynamic Time Warping

References

  1. Bazarevsky, V.; Grishchenko, I.; Raveendran, K.; Zhu, T.; Zhang, F.; Grundmann, M. BlazePose: On-device Real-time Body Pose Tracking. arXiv 2020, arXiv:2006.10204. [Google Scholar] [CrossRef]
  2. Fang, H.S.; Li, J.; Tang, H.; Xu, C.; Zhu, H.; Xiu, Y.; Li, Y.L.; Lu, C. AlphaPose: Whole-body Regional Multi-person Pose Estimation and Tracking in Real Time. IEEE Trans. Pattern Anal. Mach. Intell. 2023, 45, 7157–7173. [Google Scholar] [CrossRef] [PubMed]
  3. Wong, K.Y. YOLOv7: Object Detection; GitHub Repository: San Francisco, CA, USA, 2021. [Google Scholar]
  4. Chen, W.; Jiang, Z.; Guo, H.; Ni, X. Fall Detection Based on Keypoints of Human-Skeleton Using OpenPose. Symmetry 2020, 12, 744. [Google Scholar]
  5. Zhi-Chao, C.; Zhang, L. Key Pose Recognition Toward Sports Scene Using Deeply-Learned Model. J. Vis. Commun. Image Represent. 2019, 63, 102571. [Google Scholar] [CrossRef]
  6. SpotU. SpotU|AI-Based Online Exercise Coaching. Available online: https://spotu.io (accessed on 27 April 2023).
  7. GroovWorks. A Squat. Available online: https://www.groovworks.com/index.html (accessed on 27 April 2023).
  8. Golfzon. GDR. Available online: https://golfzon.com (accessed on 27 April 2023).
  9. Kim, M.; Park, S. Golf Swing Segmentation from a Single IMU Using Machine Learning. Sensors 2020, 20, 4466. [Google Scholar] [CrossRef] [PubMed]
  10. Kim, Y.J.; Kim, K.D.; Kim, S.H.; Lee, S.; Lee, H.S. Golf Swing Analysis System with a Dual Band and Motion Analysis Algorithm. IEEE Trans. Consum. Electron. 2017, 63, 309–317. [Google Scholar] [CrossRef]
  11. Ko, K.R.; Pan, S.B. Feature Extraction and Classification of Posture for Four-joint based Human Motion Data Analysis. J. Inst. Electron. Inf. Eng. 2015, 52, 117–125. [Google Scholar] [CrossRef]
  12. Mun, F.; Suh, S.W.; Park, H.J.; Choi, A. Kinematic Relationship Between Rotation of Lumbar Spine and Hip Joints During Golf Swing in Professional Golfers. Biomed. Eng. Online 2015, 14, 41. [Google Scholar] [CrossRef] [PubMed]
  13. Najafi, B.; Lee-Eng, J.; Wrobel, J.S.; Goebel, R. Estimation of Center-of-Mass Trajectory Using Wearable Sensors During Golf Swing. J. Sports Sci. Med. 2015, 14, 354–363. [Google Scholar] [PubMed]
  14. Zhang, Z.; Zhang, Y.; Kos, A.; Umek, A. A Sensor-based Golfer-Swing Signature Recognition method Method Using Linear Support Vector Machine. Elektroteh. Vestn. 2017, 84, 247–252. [Google Scholar]
  15. Hsu, Y.L.; Chen, Y.T.; Chou, P.H.; Kou, Y.C.; Chen, Y.C.; Su, H.Y. Golf Swing Motion Detection Using an Inertial-Sensor-Based Portable Instrument. In Proceedings of the 2016 IEEE International Conference on Consumer Electronics-Taiwan (ICCE-TW), Nantou, Taiwan, 27–29 May 2016; pp. 1–2. [Google Scholar]
  16. Nam, C.N.K.; Kang, H.J.; Suh, Y.S. Golf Swing Motion Tracking Using Inertial Sensors and a Stereo Camera. IEEE Trans. Instrum. Meas. 2013, 63, 943–952. [Google Scholar] [CrossRef]
  17. Reintrakulchai, N.; Kimpan, W. The design of Golf Swing Pattern Analysis from Motion Sensors. In Proceedings of the 2014 International Computer Science and Engineering Conference (ICSEC), Khon Kaen, Thailand, 30 July–1 August 2014; pp. 222–227. [Google Scholar]
  18. Park, S.; Chang, J.Y.; Jeong, H.; Lee, J.H.; Park, J.Y. Accurate and Efficient 3D Human Pose Estimation Algorithm Using Single Depth Images for Pose Analysis in Golf. In Proceedings of the IEEE Conference on Computer Vision and Pattern Recognition (CVPR) Workshops, Honolulu, HI, USA, 21–26 July 2017; pp. 49–57. [Google Scholar]
  19. Chotimanus, P.; Cooharojananone, N.; Phimoltares, S. Real Swing Extraction for Video Indexing in Golf Practice Video. In Proceedings of the 2012 Computing, Communications and Applications Conference, Hong Kong, China, 11–13 January 2012; pp. 420–425. [Google Scholar]
  20. Ullah, A.; Ahmad, J.; Muhammad, K.; Sajjad, M.; Baik, S.W. Action Recognition in Video Sequences Using Deep Bi-directional LSTM with CNN Features. IEEE Access 2017, 6, 1155–1166. [Google Scholar] [CrossRef]
  21. Gaglio, S.; Re, G.L.; Morana, M. Human Activity Recognition Process Using 3-D Posture Data. IEEE Trans. Hum. Mach. Syst. 2014, 45, 586–597. [Google Scholar] [CrossRef]
  22. Dorado, J.; del Toro, X.; Santofimia, M.J.; Parreño, A.; Cantarero, R.; Rubio, A.; Lopez, J.C. A Computer-Vision-Based System for At-Home Rheumatoid Arthritis Rehabilitation. Int. J. Distrib. Sens. Netw. 2019, 15, 1550147719875649. [Google Scholar] [CrossRef]
  23. Viswakumar, A.; Rajagopalan, V.; Ray, T.; Parimi, C. Human Gait Analysis Using OpenPose. In Proceedings of the 2019 Fifth International Conference on Image Information Processing (ICIIP), Shimla, India, 15–17 November 2019; pp. 310–314. [Google Scholar]
  24. Hellsten, T.; Karlsson, J.; Shamsuzzaman, M.; Pulkkis, G. The Potential of Computer Vision-Based Marker-less Human Motion Analysis for Rehabilitation. Rehabil. Process Outcome 2021, 10, 11795727211022330. [Google Scholar] [CrossRef] [PubMed]
  25. Stenum, J.; Rossi, C.; Roemmich, R.T. Two-Dimensional Video-Based Analysis of Human Gait Using Pose Estimation. PLoS Comput. Biol. 2021, 17, e1008935. [Google Scholar] [CrossRef] [PubMed]
  26. Aouaidjia, K.; Sheng, B.; Li, P.; Kim, J.; Feng, D.D. Efficient Body Motion Quantification and Similarity Evaluation Using 3-D Joints Skeleton Coordinates. IEEE Trans. Syst. Man Cybern. Syst. 2021, 51, 2774–2788. [Google Scholar] [CrossRef]
  27. Lee, K.; Kim, W.; Lee, S. From Human Pose Similarity Metric to 3D Human Pose Estimator: Temporal Propagating LSTM Networks. IEEE Trans. Pattern Anal. Mach. Intell. 2022, 45, 1781–1797. [Google Scholar] [CrossRef] [PubMed]
  28. McNally, W.; Vats, K.; Pinto, T.; Dulhanty, C.; McPhee, J.; Wong, A. GolfDB: A Video Database for Golf Swing Sequencing. In Proceedings of the IEEE/CVF Conference on Computer Vision and Pattern Recognition (CVPR) Workshops, Long Beach, CA, USA, 15–20 June 2019. [Google Scholar]
  29. Jiang, Z.; Ji, H.; Menaker, S.; Hwang, J.N. GolfPose: Golf Swing Analyses with a Monocular Camera Based Human Pose Estimation. In Proceedings of the 2022 IEEE International Conference on Multimedia and Expo Workshops (ICMEW), Taipei City, Taiwan, 18–22 July 2022; pp. 1–6. [Google Scholar]
  30. Marais, M.; Brown, D. Golf Swing Sequencing Using Computer Vision. In Proceedings of the 10th Iberian Conference on Pattern Recognition and Image Analysis, Aveiro, Portugal, 4–6 May 2022; pp. 351–365. [Google Scholar]
  31. Zhang, Y.; Wang, Q.; Tu, F.; Wang, Z. Automatic Moving Pose Grading for Golf Swing. In Proceedings of the 2022 IEEE International Conference on Image Processing (ICIP), Bordeaux, France, 16–19 October 2022; pp. 41–45. [Google Scholar]
  32. Ko, K.R.; Pan, S.B. CNN and Bi-LSTM Based 3D Golf Swing Analysis by Frontal Swing Sequence Images. Multimed. Tools Appl. 2021, 80, 8957–8972. [Google Scholar] [CrossRef]
  33. Senin, P.; Pavel, M. Dynamic Time Warping Algorithm Review; University of Hawaii at Manoa: Honolulu, HI, USA, 2008. [Google Scholar]
  34. Im, J.S.; Kim, J.H. A quantification method of human body motion similarity using dynamic time warping for keypoints extracted from video streams. J. IKEEE 2020, 24, 1109–1116. [Google Scholar]
  35. Google LLC. MediaPipe. Available online: https://developers.google.com/mediapipe (accessed on 9 May 2023).
  36. QED Golf. Home. Available online: https://qedgolf.com (accessed on 27 April 2023).
Figure 1. Overall workflow of the dynamic swing comparison analysis framework.
Figure 1. Overall workflow of the dynamic swing comparison analysis framework.
Sensors 25 07073 g001
Figure 2. Seven-phase golf swing definition with annotated key positions.
Figure 2. Seven-phase golf swing definition with annotated key positions.
Sensors 25 07073 g002
Figure 3. Representative side-view keypoint trajectories used for automatic phase boundary detection (shoulder rotation, wrist velocity peaks).
Figure 3. Representative side-view keypoint trajectories used for automatic phase boundary detection (shoulder rotation, wrist velocity peaks).
Sensors 25 07073 g003
Figure 4. Effect of temporal interpolation on area computation; interpolated curves yield smoother motion representation and more accurate numerical integration (units: pixels).
Figure 4. Effect of temporal interpolation on area computation; interpolated curves yield smoother motion representation and more accurate numerical integration (units: pixels).
Sensors 25 07073 g004
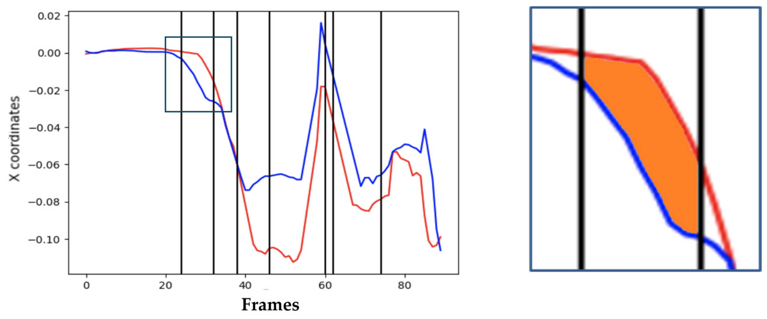
Figure 5. Wrist x-coordinate trajectories from two players across a swing cycle.
Figure 5. Wrist x-coordinate trajectories from two players across a swing cycle.
Sensors 25 07073 g005
Figure 6. Visual illustration of area-based DMSM computation (integrated trajectory difference).
Figure 6. Visual illustration of area-based DMSM computation (integrated trajectory difference).
Sensors 25 07073 g006
Figure 7. Baseline DTW + cosine similarity results comparing same-player vs. different-player swings.
Figure 7. Baseline DTW + cosine similarity results comparing same-player vs. different-player swings.
Sensors 25 07073 g007
Figure 8. Address-phase alignment before dynamic comparison; posture synchronization ensures consistent initialization.
Figure 8. Address-phase alignment before dynamic comparison; posture synchronization ensures consistent initialization.
Sensors 25 07073 g008
Figure 9. DMSM results for same-player vs. cross-player comparisons (mean ± SD, p < 0.05).
Figure 9. DMSM results for same-player vs. cross-player comparisons (mean ± SD, p < 0.05).
Sensors 25 07073 g009
Figure 10. DMSM result (phase-wise comparisons).
Figure 10. DMSM result (phase-wise comparisons).
Sensors 25 07073 g010
Figure 11. Spine angle trajectory comparison (units: degrees); professional swings maintain stable spine rotation throughout backswing and downswing.
Figure 11. Spine angle trajectory comparison (units: degrees); professional swings maintain stable spine rotation throughout backswing and downswing.
Sensors 25 07073 g011
Figure 12. Trajectories of amateur and professional swings.
Figure 12. Trajectories of amateur and professional swings.
Sensors 25 07073 g012
Figure 13. Amateur player: matched backswing and downswing analysis.
Figure 13. Amateur player: matched backswing and downswing analysis.
Sensors 25 07073 g013
Figure 14. Professional player: matched backswing and downswing analysis.
Figure 14. Professional player: matched backswing and downswing analysis.
Sensors 25 07073 g014
Table 1. Development and experimental environment specifications.
Table 1. Development and experimental environment specifications.
Operating SystemWindows 10 Enterprise
Development EnvironmentAnaconda (Python 3.10)
Hardware SpecificationsCPU (i3-10100F), Memory (8 GB) and GPU (GTX 1650)
Input DataVideo (MP4, 960 × 540 @ 30 FPS)
Pose Estimation ModelBlazepose (Mediapipe)
Inference Speed33 FPS (3 s clip: 2.63 s, 4 s clip: 3.56 s)
CPU-only time3.94 s
Jetson AGX4.21 s
Table 2. Dataset composition including player level and total clip count.
Table 2. Dataset composition including player level and total clip count.
Participant IDGenderLevelNo. of ClipsDuration
# 1FemaleAmateur63 s (90 frames)
# 2MaleAmateur53 s (90 frames)
# 3FemaleProfessional43 s (90 frames)
# 4FemaleProfessional53 s (90 frames)
# 5MaleProfessional43 s (90 frames)
# 6FemaleProfessional53 s (90 frames)
# 7MaleProfessional23 s (90 frames)
# 8MaleProfessional43 s (90 frames)
Table 3. Quantitative Comparison of Baseline Methods and Proposed DMSM.
Table 3. Quantitative Comparison of Baseline Methods and Proposed DMSM.
MethodMean Similarity
(±SD)
p-Value
(vs. DMSM)
Runtime
(ms)
Description
DTW + Cosine0.782 ± 0.0410.003188Frame-wise distance alignment with static feature comparison.
Euclidean0.761 ± 0.0520.001154Direct pose-vector comparison without temporal alignment.
PSIM0.807 ± 0.0380.012213Joint-angle-based metric reflecting local biomechanics.
Proposed DMSM0.882 ± 0.029357Dynamic flow integration with phase-aware trajectory aggregation.
Table 4. Average time complexity by processing step.
Table 4. Average time complexity by processing step.
MethodMetadata GenerationSmoothingDetect
7-Phase
Pre-ProcessingSimilarity
Evaluation
Total Time
DTW-Cos2617 ms5 ms17 ms0.08 ms24 ms2.60 s
DMSM8 ms169 ms2.80 s
Disclaimer/Publisher’s Note: The statements, opinions and data contained in all publications are solely those of the individual author(s) and contributor(s) and not of MDPI and/or the editor(s). MDPI and/or the editor(s) disclaim responsibility for any injury to people or property resulting from any ideas, methods, instructions or products referred to in the content.

Share and Cite

MDPI and ACS Style

Lee, S.-S.; Choi, J.-H.; Byun, J.; Hwang, K.-I. Dynamic Golf Swing Analysis Framework Based on Efficient Similarity Assessment. Sensors 2025, 25, 7073. https://doi.org/10.3390/s25227073

AMA Style

Lee S-S, Choi J-H, Byun J, Hwang K-I. Dynamic Golf Swing Analysis Framework Based on Efficient Similarity Assessment. Sensors. 2025; 25(22):7073. https://doi.org/10.3390/s25227073

Chicago/Turabian Style

Lee, Seung-Su, Jun-Hyuk Choi, Jeongeun Byun, and Kwang-Il Hwang. 2025. "Dynamic Golf Swing Analysis Framework Based on Efficient Similarity Assessment" Sensors 25, no. 22: 7073. https://doi.org/10.3390/s25227073

APA Style

Lee, S.-S., Choi, J.-H., Byun, J., & Hwang, K.-I. (2025). Dynamic Golf Swing Analysis Framework Based on Efficient Similarity Assessment. Sensors, 25(22), 7073. https://doi.org/10.3390/s25227073

Note that from the first issue of 2016, this journal uses article numbers instead of page numbers. See further details here.

Article Metrics

Back to TopTop