Zero-Trust Access Control Mechanism Based on Blockchain and Inner-Product Encryption in the Internet of Things in a 6G Environment
Abstract
1. Introduction
- (1)
- This paper introduces a zero-trust access control mechanism built upon blockchain and registered inner-product encryption, utilizing smart contracts to define software-based boundaries across various application domains. Through the Policy Decision Point (PDP), different Policy Enforcement Points (PEPs) are allocated, allowing only verified users to access their authorized resources, thereby significantly reducing the risk of network attacks.
- (2)
- A self-sovereign identity management system (SSIM) is proposed, utilizing node reputation values to build a consensus trust model. Combined with blockchain technology and Shamir’s secret sharing technique, it creates an innovative identity verification and management framework, specifically addressing identity security and data privacy protection in decentralized environments. The system achieves the secure uploading, storage, and verification of identity data through a dynamic consensus mechanism and distributed node storage. Through the use of reputation value consensus to construct a trust model for user identities, the approach guarantees the integrity and security of identity data without dependence on centralized certification authorities and while improving the system’s attack resilience and fault tolerance. Furthermore, the system incorporates fine-grained access control to regulate permissions for different data requesters, ensuring that sensitive information is accessible exclusively to authorized users. This not only enhances user autonomy over their identities and data but also contributes to a more efficient identity management system.
- (3)
- Data from different application domains are stored on blockchain auxiliary chains, with the main chain storing only identity information and access logs, optimizing blockchain storage efficiency to handle high-speed data interactions in a 6G environment. Storage areas are divided based on the confidentiality levels specified by the trust mechanism, facilitating micro-segmentation, minimizing exposure to potential threats, and restricting the range of malicious activities across the system.
2. Related Work
2.1. Traditional IoT Access Control
2.2. IoT Access Control in the 6G Environment
2.3. Zero-Trust-Based IoT Access Control
2.4. Decentralized Identity Management in the Internet of Things
2.5. Comparison and Contribution
3. Problem Discussion
4. Zero-Trust Access Control Mechanism Based on Blockchain and Inner-Product Encryption
4.1. Zero-Trust Security Model in the Context of 6G and IoT
4.2. The Zero-Trust Security Framework
4.3. Three Types of Smart Contracts in the Policy Decision Point
4.4. The Zero-Trust Security Framework
4.4.1. Definition of Identity-Based Inner-Product Encryption
- Setup: Given the security parameter , the vector length n, and the number of slots L, the setup procedure randomly generates a common reference string , which serves as a foundation for further cryptographic operations.
- KGen: Upon receiving the public reference string and the slot index , the key generation algorithm produces a public key and the corresponding private key .
- IsValid: Given the reference string , the slot index , and the public key , the verification algorithm checks the validity of the key, returning a binary result . If , the key is valid; otherwise, it is not.
- Aggr: The aggregation algorithm takes the common reference string and a set of L pairs of public keys and associated non-zero vectors . It deterministically computes and outputs the master public key and a set of auxiliary decryption keys .
- Enc: The encryption algorithm takes as input the master public key , a non-zero attribute vector , and a message . It produces the ciphertext c as the output.
- Dec: Given a private key , an auxiliary decryption key , and a ciphertext c, the decryption algorithm deterministically outputs the message , where ⊥ indicates a decryption failure.
4.4.2. Data Access Process
4.4.3. Proof of Security for Registered Inner-Product Encryption
- Key Generation Query: The adversary specifies a slot index . In response, the challenger increments , samples , updates the dictionary to , and provides the tuple to A.
- Breaking Query: The adversary specifies an index . In response, the challenger retrieves the tuple and …
5. Zero-Trust Self-Sovereign Identity Management Mechanism in 6G Network Environment
5.1. Initialize Parameters
5.2. Identity Upload
5.3. Identity Storage
5.4. Identity Verification
5.5. Security Analysis of Self-Sovereign Identity Management Mechanisms
5.5.1. Reputation-Based Trust Model
5.5.2. Secret Sharing-Based Identity Management
5.5.3. Defense Against DDoS and Replay Attacks
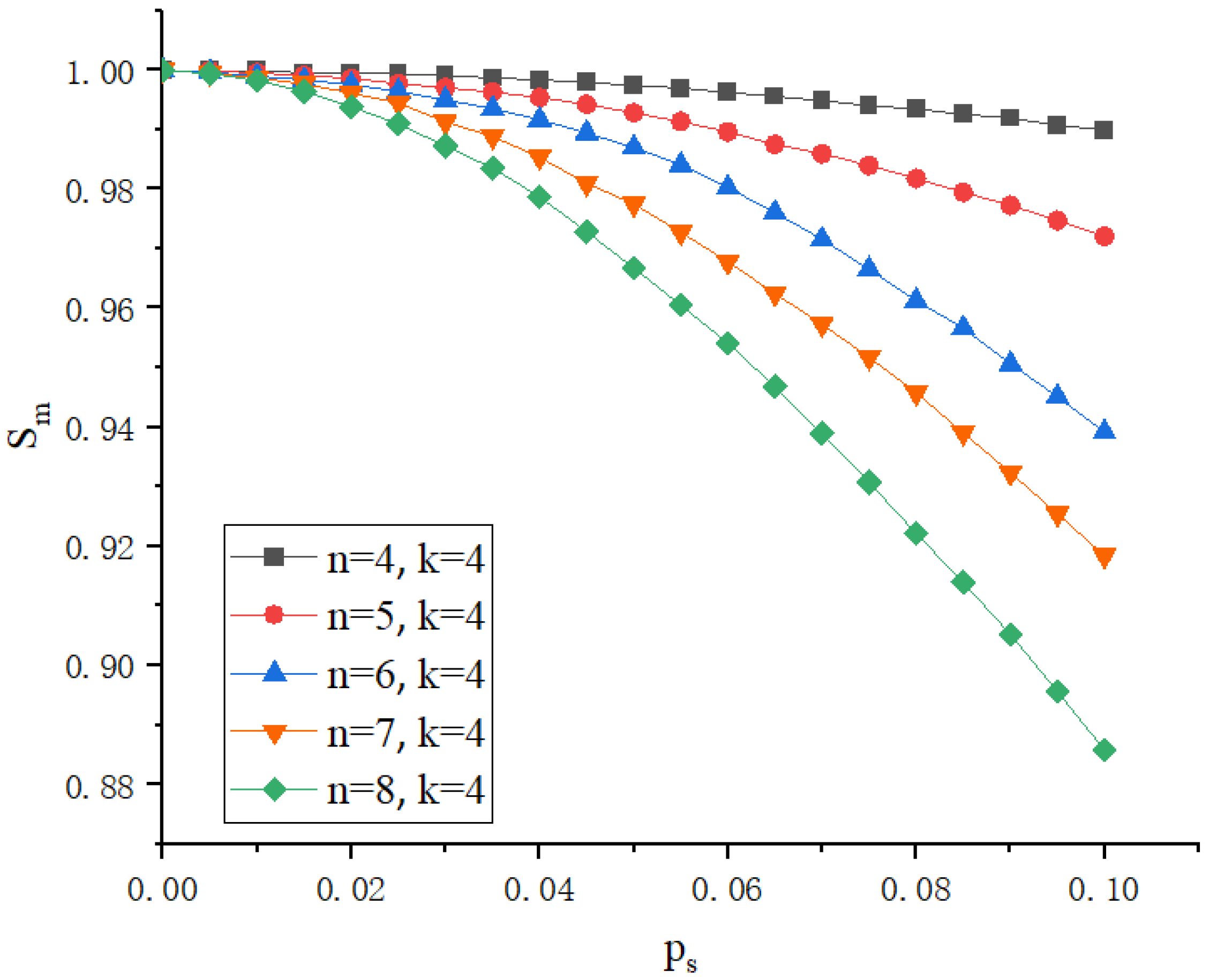
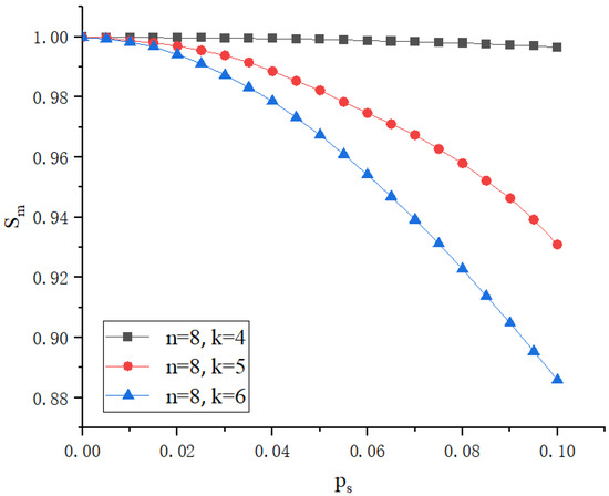
6. Experiment and Performance Analysis
7. Conclusions
Author Contributions
Funding
Data Availability Statement
Conflicts of Interest
References
- Nguyen, H.; Lim, Y.; Seo, M.; Jung, Y.; Kim, M.; Park, W. Strengthening information security through zero trust architecture: A case study in South Korea. In Proceedings of the International Conference on Intelligent Systems and Data Science, Can Tho, Vietnam, 11–12 November 2023; Springer: Berlin/Heidelberg, Germany, 2023; pp. 63–77. [Google Scholar]
- Mohseni Ejiyeh, A. Real-Time Lightweight Cloud-Based Access Control for Wearable IoT Devices: A Zero Trust Protocol. In Proceedings of the First International Workshop on Security and Privacy of Sensing Systems, Istanbul, Turkiye, 12–17 November 2023; pp. 22–29. [Google Scholar]
- Ren, Y.; Huang, D.; Wang, W.; Yu, X. BSMD: A blockchain-based secure storage mechanism for big spatio-temporal data. Future Gener. Comput. Syst. 2023, 138, 328–338. [Google Scholar] [CrossRef]
- Hasan, K.M.B.; Sajid, M.; Lapina, M.A.; Shahid, M.; Kotecha, K. Blockchain technology meets 6 G wireless networks: A systematic survey. Alex. Eng. J. 2024, 92, 199–220. [Google Scholar] [CrossRef]
- Ren, Y.; Leng, Y.; Cheng, Y.; Wang, J. Secure data storage based on blockchain and coding in edge computing. Math. Biosci. Eng. 2019, 16, 1874–1892. [Google Scholar] [CrossRef] [PubMed]
- Jahid, A.; Alsharif, M.H.; Hall, T.J. The convergence of blockchain, IoT and 6G: Potential, opportunities, challenges and research roadmap. J. Netw. Comput. Appl. 2023, 217, 103677. [Google Scholar] [CrossRef]
- Nguyen, D.C.; Ding, M.; Pathirana, P.N.; Seneviratne, A.; Li, J.; Niyato, D.; Dobre, O.; Poor, H.V. 6G Internet of Things: A comprehensive survey. IEEE Internet Things J. 2021, 9, 359–383. [Google Scholar] [CrossRef]
- Wu, Q.; Han, Z.; Mohiuddin, G.; Ren, Y. Distributed Timestamp Mechanism Based on Verifiable Delay Functions. Comput. Syst. Sci. Eng. 2023, 44, 1633–1646. [Google Scholar] [CrossRef]
- Qadir, Z.; Le, K.N.; Saeed, N.; Munawar, H.S. Towards 6G Internet of Things: Recent advances, use cases, and open challenges. ICT Express 2023, 9, 296–312. [Google Scholar] [CrossRef]
- Ravidas, S.; Lekidis, A.; Paci, F.; Zannone, N. Access control in Internet-of-Things: A survey. J. Netw. Comput. Appl. 2019, 144, 79–101. [Google Scholar] [CrossRef]
- Gong, Y.; Yao, H.; Liu, X.; Bennis, M.; Nallanathan, A.; Han, Z. Computation and Privacy Protection for Satellite-Ground Digital Twin Networks. IEEE Trans. Commun. 2024, 72, 5532–5546. [Google Scholar] [CrossRef]
- Gong, Y.; Yao, H.; Xiong, Z.; Chen, C.P.; Niyato, D. Blockchain-aided digital twin offloading mechanism in space-air-ground networks. IEEE Trans. Mob. Comput. 2024, 8, 183–197. [Google Scholar] [CrossRef]
- Jiang, H.; Ji, P.; Zhang, T.; Cao, H.; Liu, D. Two-Factor Authentication for Keyless Entry System via Finger-Induced Vibrations. IEEE Trans. Mob. Comput. 2024, 23, 9708–9720. [Google Scholar] [CrossRef]
- Guo, F.; Yu, F.R.; Zhang, H.; Li, X.; Ji, H.; Leung, V.C. Enabling massive IoT toward 6G: A comprehensive survey. IEEE Internet Things J. 2021, 8, 11891–11915. [Google Scholar] [CrossRef]
- Luo, H.; Zhang, Q.; Sun, G.; Yu, H.; Niyato, D. Symbiotic blockchain consensus: Cognitive backscatter communications-enabled wireless blockchain consensus. IEEE/ACM Trans. Netw. 2024, 32, 5372–5387. [Google Scholar] [CrossRef]
- Wang, J.; Chen, J.; Ren, Y.; Sharma, P.K.; Alfarraj, O.; Tolba, A. Data security storage mechanism based on blockchain industrial Internet of Things. Comput. Ind. Eng. 2022, 164, 107903. [Google Scholar] [CrossRef]
- Ren, Y.; Leng, Y.; Qi, J.; Sharma, P.K.; Wang, J.; Almakhadmeh, Z.; Tolba, A. Multiple cloud storage mechanism based on blockchain in smart homes. Future Gener. Comput. Syst. 2021, 115, 304–313. [Google Scholar] [CrossRef]
- Sun, L.; Wang, Y.; Ren, Y.; Xia, F. Path signature-based xai-enabled network time series classification. Sci. China Inf. Sci. 2024, 67, 170305. [Google Scholar] [CrossRef]
- Behrad, S.; Bertin, E.; Tuffin, S.; Crespi, N. A new scalable authentication and access control mechanism for 5G-based IoT. Future Gener. Comput. Syst. 2020, 108, 46–61. [Google Scholar] [CrossRef]
- Shin, S.; Kwon, T. A privacy-preserving authentication, authorization, and key agreement scheme for wireless sensor networks in 5G-integrated Internet of Things. IEEE Access 2020, 8, 67555–67571. [Google Scholar] [CrossRef]
- Wang, Q.; Chen, D.; Zhang, N.; Qin, Z.; Qin, Z. LACS: A lightweight label-based access control scheme in IoT-based 5G caching context. IEEE Access 2017, 5, 4018–4027. [Google Scholar] [CrossRef]
- Li, Q.; Xia, B.; Huang, H.; Zhang, Y.; Zhang, T. TRAC: Traceable and revocable access control scheme for mHealth in 5G-enabled IIoT. IEEE Trans. Ind. Inform. 2021, 18, 3437–3448. [Google Scholar] [CrossRef]
- Zhou, Z.; Gaurav, A.; Gupta, B.B.; Lytras, M.D.; Razzak, I. A fine-grained access control and security approach for intelligent vehicular transport in 6g communication system. IEEE Trans. Intell. Transp. Syst. 2021, 23, 9726–9735. [Google Scholar] [CrossRef]
- Wei, Y.; Gai, K.; Yu, J.; Zhu, L.; Choo, K.K.R. Trustworthy Access Control for Multiaccess Edge Computing in Blockchain-Assisted 6G Systems. IEEE Trans. Ind. Inform. 2024, 23, 7732–7743. [Google Scholar] [CrossRef]
- Saha, S.; Das, A.K.; Wazid, M.; Park, Y.; Garg, S.; Alrashoud, M. Smart Contract-Based Access Control Scheme for Blockchain Assisted 6G-Enabled IoT-Based Big Data Driven Healthcare Cyber Physical Systems. IEEE Trans. Consum. Electron. 2024, 70, 6975–6986. [Google Scholar] [CrossRef]
- Ma, Y.; Yuan, Z.; Li, W.; Li, Z. Novel solutions to NOMA-based modern random access for 6G-enabled IoT. IEEE Internet Things J. 2021, 8, 15382–15395. [Google Scholar] [CrossRef]
- Wu, K.; Shi, J.; Guo, Z.; Zhang, Z.; Cai, J. Research on security strategy of power internet of things devices based on zero-trust. In Proceedings of the 2021 International Conference on Computer Engineering and Application (ICCEA), Kunming, China, 25–27 June 2021; IEEE: Beijing, China, 2021; pp. 79–83. [Google Scholar]
- Liu, Y.; Hao, X.; Ren, W.; Xiong, R.; Zhu, T.; Choo, K.K.R.; Min, G. A blockchain-based decentralized, fair and authenticated information sharing scheme in zero trust internet-of-things. IEEE Trans. Comput. 2022, 72, 501–512. [Google Scholar] [CrossRef]
- Fang, L.; Wu, C.; Kang, Y.; Ou, W.; Zhou, D.; Ye, J. Zero-Trust-Based Protection Scheme for Users in Internet of Vehicles. Secur. Commun. Netw. 2022, 2022, 9896689. [Google Scholar] [CrossRef]
- Dhar, S.; Bose, I. Securing IoT devices using zero trust and blockchain. J. Organ. Comput. Electron. Commer. 2021, 31, 18–34. [Google Scholar] [CrossRef]
- Awan, S.M.; Azad, M.A.; Arshad, J.; Waheed, U.; Sharif, T. A blockchain-inspired attribute-based zero-trust access control model for IoT. Information 2023, 14, 129. [Google Scholar] [CrossRef]
- Wang, J.; Chen, J.; Xiong, N.; Alfarraj, O.; Tolba, A.; Ren, Y. S-BDS: An effective blockchain-based data storage scheme in zero-trust IoT. ACM Trans. Internet Technol. 2023, 23, 1–23. [Google Scholar] [CrossRef]
- Garzon, S.R.; Yildiz, H.; Küpper, A. Towards decentralized identity management in multi-stakeholder 6G networks. In Proceedings of the 2022 1st International Conference on 6G Networking (6GNet), Paris, France, 6–8 July 2022; IEEE: Paris, France, 2022; pp. 1–8. [Google Scholar]
- Xu, J.; Xue, K.; Tian, H.; Hong, J.; Wei, D.S.; Hong, P. An identity management and authentication scheme based on redactable blockchain for mobile networks. IEEE Trans. Veh. Technol. 2020, 69, 6688–6698. [Google Scholar] [CrossRef]
- Shi, N.; Tan, L.; Li, W.; Qi, X.; Yu, K. A blockchain-empowered AAA scheme in the large-scale HetNet. Digit. Commun. Netw. 2021, 7, 308–316. [Google Scholar] [CrossRef]
- Xiong, R.; Ren, W.; Hao, X.; He, J.; Choo, K.K.R. BDIM: A Blockchain-Based Decentralized Identity Management Scheme for Large Scale Internet of Things. IEEE Internet Things J. 2023, 10, 22581–22590. [Google Scholar] [CrossRef]
- Lu, Y.; Zheng, X. 6G: A survey on technologies, scenarios, challenges, and the related issues. J. Ind. Inf. Integr. 2020, 19, 100158. [Google Scholar] [CrossRef]
- Ren, Y.; Zhu, F.; Wang, J.; Sharma, P.K.; Ghosh, U. Novel vote scheme for decision-making feedback based on blockchain in internet of vehicles. IEEE Trans. Intell. Transp. Syst. 2021, 23, 1639–1648. [Google Scholar] [CrossRef]
- Vaezi, M.; Azari, A.; Khosravirad, S.R.; Shirvanimoghaddam, M.; Azari, M.M.; Chasaki, D.; Popovski, P. Cellular, wide-area, and non-terrestrial IoT: A survey on 5G advances and the road toward 6G. IEEE Commun. Surv. Tutor. 2022, 24, 1117–1174. [Google Scholar] [CrossRef]
- Fang, G.; Sun, Y.; Almutiq, M.; Zhou, W.; Zhao, Y.; Ren, Y. Distributed medical data storage mechanism based on proof of retrievability and vector commitment for metaverse services. IEEE J. Biomed. Health Inform. 2023, 28, 6298–6307. [Google Scholar] [CrossRef] [PubMed]
- Ren, Y.; Lv, Z.; Xiong, N.N.; Wang, J. HCNCT: A cross-chain interaction scheme for the blockchain-based metaverse. ACM Trans. Multimed. Comput. Commun. Appl. 2024, 20, 1–23. [Google Scholar] [CrossRef]
- Ren, Y.; Zhu, F.; Sharma, P.K.; Wang, T.; Wang, J.; Alfarraj, O.; Tolba, A. Data query mechanism based on hash computing power of blockchain in internet of things. Sensors 2019, 20, 207. [Google Scholar] [CrossRef]
- Liu, C.; Tan, R.; Wu, Y.; Feng, Y.; Jin, Z.; Zhang, F.; Liu, Y.; Liu, Q. Dissecting zero trust: Research landscape and its implementation in IoT. Cybersecurity 2024, 7, 20. [Google Scholar] [CrossRef]
- He, Y.; Huang, D.; Chen, L.; Ni, Y.; Ma, X. A survey on zero trust architecture: Challenges and future trends. Wirel. Commun. Mob. Comput. 2022, 2022, 6476274. [Google Scholar] [CrossRef]
- Syed, N.F.; Shah, S.W.; Shaghaghi, A.; Anwar, A.; Baig, Z.; Doss, R. Zero trust architecture (zta): A comprehensive survey. IEEE Access 2022, 10, 57143–57179. [Google Scholar] [CrossRef]
- Yang, Y.; Bai, F.; Yu, Z.; Shen, T.; Liu, Y.; Gong, B. An Anonymous and Supervisory Cross-Chain Privacy Protection Protocol for Zero-Trust IoT Application. ACM Trans. Sens. Netw. 2024, 20, 1–20. [Google Scholar] [CrossRef]
- Buck, C.; Olenberger, C.; Schweizer, A.; Völter, F.; Eymann, T. Never trust, always verify: A multivocal literature review on current knowledge and research gaps of zero-trust. Comput. Secur. 2021, 110, 102436. [Google Scholar] [CrossRef]
- Itodo, C.; Ozer, M. Multivocal Literature Review on Zero-Trust Security Implementation. Comput. Secur. 2024, 141, 103827. [Google Scholar] [CrossRef]
- Francati, D.; Friolo, D.; Maitra, M.; Malavolta, G.; Rahimi, A.; Venturi, D. Registered (inner-product) functional encryption. In Proceedings of the International Conference on the Theory and Application of Cryptology and Information Security, Guangzhou, China, 4–8 December 2023; Springer: Berlin/Heidelberg, Germany, 2023; pp. 98–133. [Google Scholar]
- Hohenberger, S.; Lu, G.; Waters, B.; Wu, D.J. Registered attribute-based encryption. In Proceedings of the Annual International Conference on the Theory and Applications of Cryptographic Techniques, Lyon, France, 23–27 April 2023; Springer: Berlin/Heidelberg, Germany, 2023; pp. 511–542. [Google Scholar]









| Features/Schemes | Traditional Centralized Schemes | Awan et al. [31] | Our Scheme |
|---|---|---|---|
| Fine-Grained Access Control | Coarse-grained, role-based | Role-based, partial fine-grained support | Fine-grained, attribute-based control |
| Cross-Domain Support | Weak | Strong, blockchain-dependent | Strong, with blockchain and auxiliary chains |
| Data Storage and Transmission Efficiency | Medium, centralized storage | High, limited by main chain performance | High, with auxiliary chains offloading main chain |
| Flexibility of Dynamic Identity Management | Weak | Moderate, supports partial dynamics | High, supports real-time trust value adjustment |
Disclaimer/Publisher’s Note: The statements, opinions and data contained in all publications are solely those of the individual author(s) and contributor(s) and not of MDPI and/or the editor(s). MDPI and/or the editor(s) disclaim responsibility for any injury to people or property resulting from any ideas, methods, instructions or products referred to in the content. |
© 2025 by the authors. Licensee MDPI, Basel, Switzerland. This article is an open access article distributed under the terms and conditions of the Creative Commons Attribution (CC BY) license (https://creativecommons.org/licenses/by/4.0/).
Share and Cite
Nie, S.; Ren, J.; Wu, R.; Han, P.; Han, Z.; Wan, W. Zero-Trust Access Control Mechanism Based on Blockchain and Inner-Product Encryption in the Internet of Things in a 6G Environment. Sensors 2025, 25, 550. https://doi.org/10.3390/s25020550
Nie S, Ren J, Wu R, Han P, Han Z, Wan W. Zero-Trust Access Control Mechanism Based on Blockchain and Inner-Product Encryption in the Internet of Things in a 6G Environment. Sensors. 2025; 25(2):550. https://doi.org/10.3390/s25020550
Chicago/Turabian StyleNie, Shoubai, Jingjing Ren, Rui Wu, Pengchong Han, Zhaoyang Han, and Wei Wan. 2025. "Zero-Trust Access Control Mechanism Based on Blockchain and Inner-Product Encryption in the Internet of Things in a 6G Environment" Sensors 25, no. 2: 550. https://doi.org/10.3390/s25020550
APA StyleNie, S., Ren, J., Wu, R., Han, P., Han, Z., & Wan, W. (2025). Zero-Trust Access Control Mechanism Based on Blockchain and Inner-Product Encryption in the Internet of Things in a 6G Environment. Sensors, 25(2), 550. https://doi.org/10.3390/s25020550
