Dual-Band Antenna Array Fed by Ridge Gap Waveguide with Dual-Periodic Interdigital-Pin Bed of Nails
Abstract
1. Introduction
2. Dual-Periodic Interdigital-Pin Ridge Gap Waveguide
3. 2 × 2-Element Subarray Design
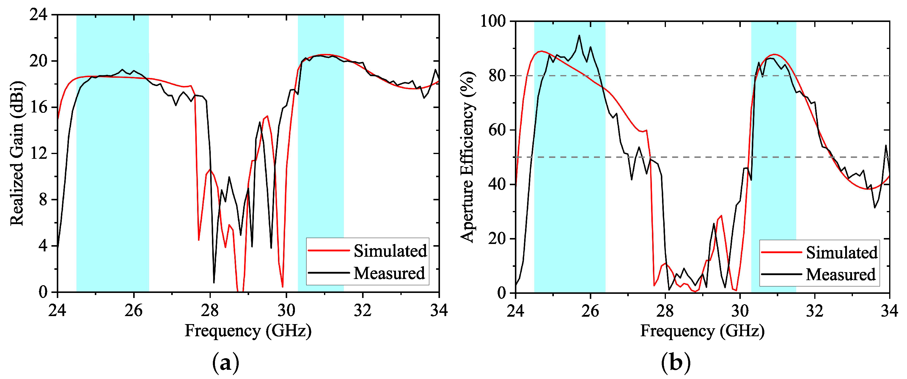
4. 4 × 4 Array Design and Measurement
5. Conclusions
Author Contributions
Funding
Institutional Review Board Statement
Informed Consent Statement
Data Availability Statement
Conflicts of Interest
References
- Ran, J.; Wu, Y.; Jin, C.; Zhang, P.; Wang, W. Dual-Band Multipolarized Aperture-Shared Antenna Array for Ku-/Ka-Band Satellite Communication. IEEE Trans. Antennas Propag. 2023, 71, 3882–3893. [Google Scholar] [CrossRef]
- Mao, C.X.; Gao, S.; Wang, Y.; Chu, Q.X.; Yang, X.X. Dual-Band Circularly Polarized Shared-Aperture Array for C-/X-Band Satellite Communications. IEEE Trans. Antennas Propag. 2017, 65, 5171–5178. [Google Scholar] [CrossRef]
- Yang, G.; Zhang, S. Dual-Band Shared-Aperture Multiple Antenna System with Beam Steering for 5G Applications. IEEE Trans. Circuits Syst. II Exp. Briefs 2022, 69, 4804–4808. [Google Scholar] [CrossRef]
- Ren, J.; Wang, Z.; Sun, Y.X.; Huang, R.; Yin, Y. Ku/Ka-Band Dual-Frequency Shared-Aperture Antenna Array with High Isolation Using Frequency Selective Surface. IEEE Antennas Wirel. Propag. Lett. 2023, 22, 1736–1740. [Google Scholar] [CrossRef]
- Zhou, E.; Cheng, Y.; Chen, F.; Luo, H.; Li, X. Low-Profile High-Gain Wideband Multi-Resonance Microstrip-Fed Slot Antenna with Anisotropic Metasurface. Prog. Electromagn. Res. 2022, 175, 91–104. [Google Scholar] [CrossRef]
- Li, H.; Kang, L.; Chen, R. Design of a Shared-Aperture Co-Polarized Antenna with Minimal Mutual Coupling for Practical Integration in a Dual-Mode OAM Array. IEEE Trans. Circuits Syst. II Express Briefs, 2024; early access. [Google Scholar] [CrossRef]
- Li, Y.; Wang, L.; Ge, L.; Wang, J. A Dual-Band Magnetoelectric Monopole Antenna Array Using Mode-Composite Waveguides. IEEE Trans. Antennas Propag. 2023, 71, 6208–6213. [Google Scholar] [CrossRef]
- Wang, Y.X.; Chen, Z.; Yuan, T. Design of a Dual-Band Dielectric Resonator Antenna Array for Millimeter-Wave Communication. IEEE Antennas Wirel. Propag. Lett. 2023, 22, 2190–2194. [Google Scholar] [CrossRef]
- Bhadrvathi Ghouse, P.S.; Mane, P.R.; Thankappan Sumangala, S.; Kumar Puttur, V.; Pathan, S.; Jhunjhunwala, V.K.; Ali, T. A Compact Dual-Band Millimeter Wave Antenna for Smartwatch and IoT Applications with Link Budget Estimation. Sensors 2024, 24, 103. [Google Scholar] [CrossRef]
- Kildal, P.S.; Rajo-Iglesias, E.; Alfonso Alos, E.; Valero-Nogueira, A.; Zaman, A. Wideband, lowloss, low-cost, quasi-TEM metamaterial-based local waveguides in air gaps between parallel metal plates. In Proceedings of the 2009 International Conference on Electromagnetics in Advanced Applications, Torino, Italy, 14–18 September 2009. [Google Scholar]
- Farahbakhsh, A.; Zarifi, D.; Zaman, A.U. A mmWave Wideband Slot Array Antenna Based on Ridge Gap Waveguide with 30% Bandwidth. IEEE Trans. Antennas Propag. 2018, 66, 1008–1013. [Google Scholar] [CrossRef]
- Wu, Y.; Hirokawa, J.; Tomura, T. A Perpendicular-Corporate-Feed Parallel-Plate Slot Array Antenna Based on H-Plane Groove Gap Waveguides with Interlaced Triangular Pins. IEEE Trans. Antennas Propag. 2024, 72, 1033–1038. [Google Scholar] [CrossRef]
- Talepour, Z.; Khaleghi, A. Groove Gap Cavity Slot Array Antenna for Millimeter Wave Applications. IEEE Trans. Antennas Propag. 2019, 67, 659–664. [Google Scholar] [CrossRef]
- Zhang, T.; Tang, R.; Chen, L.; Yang, S.; Liu, X.; Yang, J. Ultra-Wideband Full-Metal Planar Array Antenna with a Combination of Ridge Gap Waveguide and E-Plane Groove Gap Waveguide. IEEE Trans. Antennas Propag. 2022, 70, 8051–8058. [Google Scholar] [CrossRef]
- Li, L.; Chen, J.; Kong, L.; Zhang, P.; Lv, Q.; Zhang, B.; Tian, B.; Jin, C. W-band ridge gap waveguide slot array antenna with low sidelobe and high-gain characteristics. Microw. Opt. Technol. Lett. 2021, 64, 565–570. [Google Scholar] [CrossRef]
- Benavides-Vazquez, J.; Vazquez-Roy, J.L.; Rajo-Iglesias, E. On the Use of Ridge Gap Waveguide Technology for the Design of Transverse Stub Resonant Antenna Arrays. Sensors 2021, 21, 6590. [Google Scholar] [CrossRef] [PubMed]
- Ferrando-Rocher, M.; Herranz-Herruzo, J.I.; Valero-Nogueira, A.; Bernardo-Clemente, B. Full-Metal K-Ka Dual-Band Shared-Aperture Array Antenna Fed by Combined Ridge-Groove Gap Waveguide. IEEE Antennas Wirel. Propag. Lett. 2019, 18, 1463–1467. [Google Scholar] [CrossRef]
- Vosoogh, A.; Sorkherizi, M.S.; Zaman, A.U.; Yang, J.; Kishk, A.A. An Integrated Ka-Band Diplexer-Antenna Array Module Based on Gap Waveguide Technology with Simple Mechanical Assembly and No Electrical Contact Requirements. IEEE Trans. Microw. Theory Tech. 2018, 66, 962–972. [Google Scholar] [CrossRef]
- Sun, D.; Chen, X.; Deng, J.Y.; Guo, L.X.; Cui, W.; Yin, K.; Chen, Z.; Yao, C.; Huang, F. Gap Waveguide with Interdigital-Pin Bed of Nails for High-Frequency Applications. IEEE Trans. Microw. Theory Tech. 2019, 67, 2640–2648. [Google Scholar] [CrossRef]
- Liu, X.; Shu, M.; Zhang, A.; Chen, X. Dual-Period Impedance Loaded Transmission Line Model for Dispersion Relationship of Parallel Plates with Interdigital-Pin Bed of Nails. IEEE Trans. Antennas Propag. 2024, 72, 1429–1438. [Google Scholar] [CrossRef]
- Zaman, A.U.; Kildal, P.S.; Kishk, A.A. Narrow-Band Microwave Filter Using High-Q Groove Gap Waveguide Resonators with Manufacturing Flexibility and No Sidewalls. IEEE Trans. Compon. Packag. Manuf. Technol. 2012, 2, 1882–1889. [Google Scholar] [CrossRef]
- Li, J.; Lv, S.; Wu, S.; Li, Q.; Xu, K.D. Millimeter-Wave Dual-Wideband Filtering Power Divider Using Groove Gap Waveguide and Spoof Surface Plasmon Polariton. IEEE Trans. Compon. Packag. Manuf. Technol. 2024, 14, 1089–1097. [Google Scholar] [CrossRef]
- Jiang, X.; Jia, F.; Shi, Y.; Feng, W.; Cao, Y.; Huang, P.; Yu, J.; Wang, X. Ridge Gap Waveguide Layer Transition for Compact 3-D Waveguide Packaging Application. IEEE Trans. Compon. Packag. Manuf. Technol. 2019, 9, 2136–2139. [Google Scholar] [CrossRef]
- Ferrando-Rocher, M.; Herranz-Herruzo, J.I.; Valero-Nogueira, A.; Baquero-Escudero, M. Dual-Band Single-Layer Slot Array Antenna Fed by K/Ka-Band Dual-Mode Resonators in Gap Waveguide Technology. IEEE Antennas Wirel. Propag. Lett. 2021, 20, 416–420. [Google Scholar] [CrossRef]














| Freq. (GHz) | Sim. Gain (dBi) | Mea. Gain (dBi) | Rad. Eff. (%) | Ape. Eff. (%) |
|---|---|---|---|---|
| 25 | 18.65 | 18.54 | 99.32 | 84.91 |
| 26 | 18.54 | 19.16 | 97.98 | 90.58 |
| 28 | 10.63 | 12.02 | 67.75 | 15.07 |
| 29 | 9.42 | 8.99 | 60.13 | 6.99 |
| 30.5 | 20.13 | 20.27 | 94.95 | 84.83 |
| 31 | 20.55 | 20.48 | 98.97 | 86.38 |
Disclaimer/Publisher’s Note: The statements, opinions and data contained in all publications are solely those of the individual author(s) and contributor(s) and not of MDPI and/or the editor(s). MDPI and/or the editor(s) disclaim responsibility for any injury to people or property resulting from any ideas, methods, instructions or products referred to in the content. |
© 2024 by the authors. Licensee MDPI, Basel, Switzerland. This article is an open access article distributed under the terms and conditions of the Creative Commons Attribution (CC BY) license (https://creativecommons.org/licenses/by/4.0/).
Share and Cite
Chen, B.; Chen, X.; Cheng, X.; Da, Y.; Liu, X.; Gao, S.; Kishk, A.A. Dual-Band Antenna Array Fed by Ridge Gap Waveguide with Dual-Periodic Interdigital-Pin Bed of Nails. Sensors 2024, 24, 5117. https://doi.org/10.3390/s24165117
Chen B, Chen X, Cheng X, Da Y, Liu X, Gao S, Kishk AA. Dual-Band Antenna Array Fed by Ridge Gap Waveguide with Dual-Periodic Interdigital-Pin Bed of Nails. Sensors. 2024; 24(16):5117. https://doi.org/10.3390/s24165117
Chicago/Turabian StyleChen, Boju, Xiaoming Chen, Xin Cheng, Yiran Da, Xiaobo Liu, Steven Gao, and Ahmed A. Kishk. 2024. "Dual-Band Antenna Array Fed by Ridge Gap Waveguide with Dual-Periodic Interdigital-Pin Bed of Nails" Sensors 24, no. 16: 5117. https://doi.org/10.3390/s24165117
APA StyleChen, B., Chen, X., Cheng, X., Da, Y., Liu, X., Gao, S., & Kishk, A. A. (2024). Dual-Band Antenna Array Fed by Ridge Gap Waveguide with Dual-Periodic Interdigital-Pin Bed of Nails. Sensors, 24(16), 5117. https://doi.org/10.3390/s24165117

