Research on the Directional Measurement Method of Three-Dimensional Electric Field Intensity Components of the Atmosphere Based on the Geographic Coordinate System in the Airborne Model
Abstract
Highlights
- Modified model for three-dimensional electric field orientation decomposition based on geographic coordinates.
- Nonlinear dynamic inertia weight adaptive particle swarm optimization algorithm based on the tansig function.
- The three-dimensional electric field directional decomposition model based on geographic coordinates has been optimized.
- The measurement accuracy of the atmospheric electric field intensity components based on the geographic coordinate system was improved.
- A three-dimensional electric field orientation measurement system for unmanned aerial vehicle (UAV) airborne mode was designed, and a more accurate mathematical model for achieving high-precision orientation measurement of three-dimensional electric field intensity in the air based on the geographic coordinate system is provided.
Abstract
1. Introduction
2. Model and System of Atmospheric 3D Electric Field Orientation Measurement
3. Improved PSO Algorithm
3.1. Inertia Weight Impact on PSO
3.2. Example Simulation Analysis
3.3. Parameter Identification Method of 3D Electric Field Directional Decomposition Modified Model Based on Tansig–NDIWAPSO Algorithm
- (1)
- The measurement system is fixed on the rotating experimental platform, and the experimental platform is placed in a pre-adjusted uniform electric field;
- (2)
- By adjusting the position of the rotating platform, the initial position of the electronic compass is ;
- (3)
- By adjusting the power supply, the uniform electric field intensity is a constant value ;
- (4)
- Make the platform rotate around the geographical east–west axis (rotated in the plane perpendicular to the geographical east–west); the rotation Angle is the Angle between the rotating platform and the horizontal plane, . The voltage obtained by the sensor’s three induction electrodes and the Angles were recorded, were obtained by matrix decoupling. The result is shown in Figure 5.
- (5)
- The experimental measurement data were taken as a group , and each of the three groups of measurement data were substituted into the 3D electric field directional decomposition modified model, the equations were solved with SSA, ICSA, LDDIWPSO, EDDIWPSO and tansig–NDIWAPSO, respectively. In SSA, the parameter Settings should be made in accordance with [28]; in ICSA, the parameter Settings should be made in accordance with [29], in LDDIWPSO, EDDIWPSO and tansig–NDIWAPSO, the initial inertia weight of the three improved PSO algorithms are , , population size is 100, , , in EDDIWPSO, , in tansig–NDIWAPSO, , . The iterative optimization curves of the fitness function values of the SSA, ICSA, LDDIWPSO, EDDIWPSO and tansig–NDIWAPSO are shown in Figure 6. Five algorithms were independently run 50 times, and the results of the six methods are shown in Table 3.
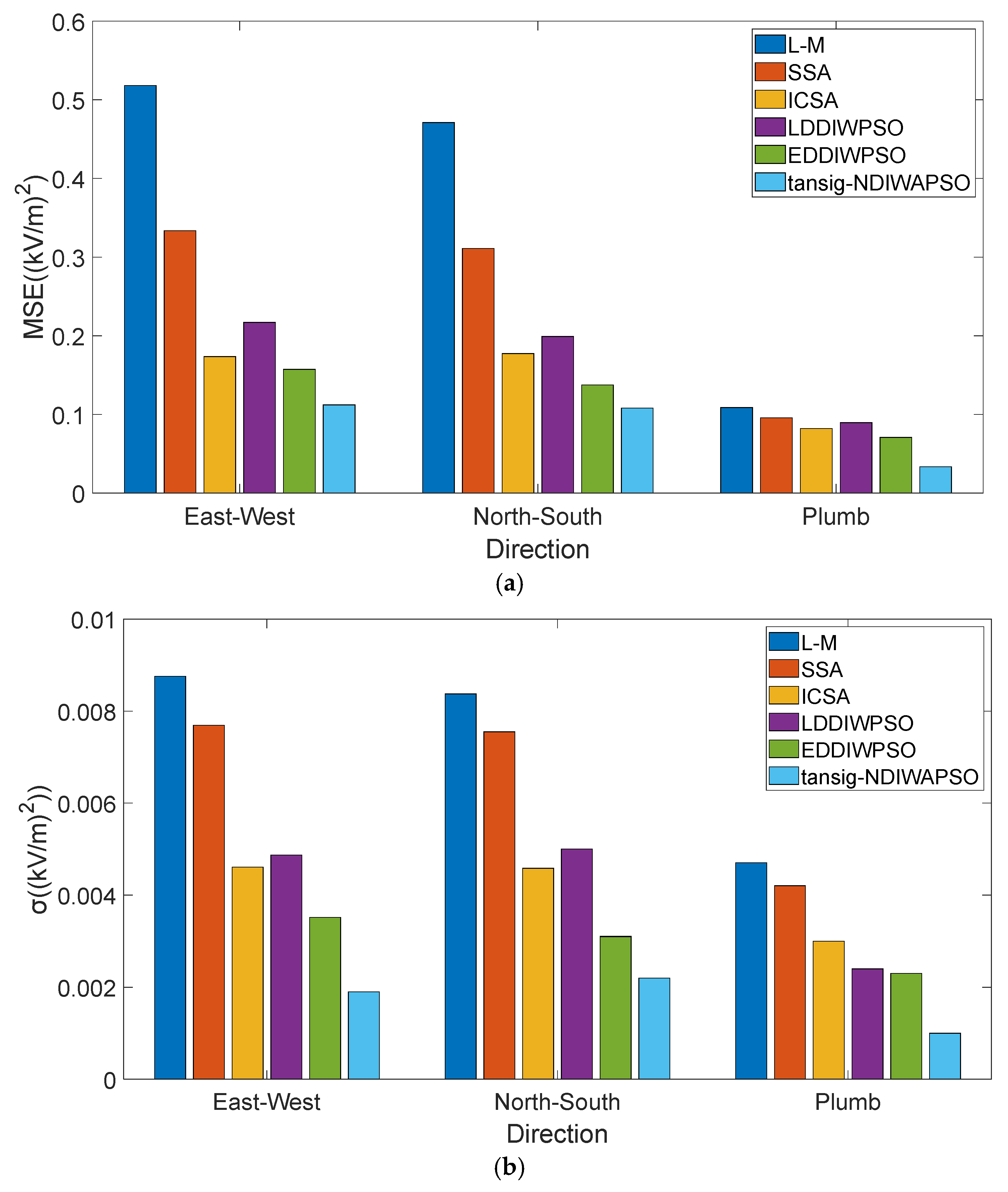
4. Accuracy Verification Experiment and Result Analysis of the Modified Model
- (1)
- The effect of models obtained by different algorithms on measurement errors.
- (2)
- For the same model, the measurement errors in different directions are quite different.
- (3)
- For the same model, the measurement errors in different directions have different laws as changes.
- (4)
- The influence of the algorithm on the model accuracy.
5. Conclusions
- (1)
- By adopting the tansig–NDIWAPSO to solve the modified 3D electric field directional decomposition, the obtained is closer to the true angle. The obtained by the modified model are closer to the actual loading , and the measured results are more accurate.
- (2)
- The coupling effect exerts varying influences on measurement error in different directions. In the direction orthogonal to the electric field, the coupling effect has a more significant impact on the measurement error, while in the direction of the electric field, the coupling effect has a relatively minor influence.
- (3)
- When the modified model of directional decomposition was determined, by analyzing the theoretical model of intensity in loading direction, two methods, the electrostatic field simulation based on Ansoft Maxwell and the rotated calibrating experiment, were adopted respectively, and the electric field distortion caused by the planar induction electrode is greater than that of the cylindrical surface is effectively verified.
- (4)
- By analyzing the MSE and variance of obtained from the six models, it is verified that the model obtained by using the tansig–NDIWAPSO has higher accuracy, and the stability and convergence of the tansig–NDIWAPSO are superior, which can further enhance the measurement accuracy of the 3D electric field decomposition in the geographic coordinates, a more accurate theoretical model for realizing the orientation of thunderstorm cloud in the mode of sensor mounted by UAV.
Author Contributions
Funding
Institutional Review Board Statement
Informed Consent Statement
Data Availability Statement
Conflicts of Interest
Abbreviations
| 3D | Three-dimensional |
| UAV | Unmanned aerial vehicle |
| PSO | Particle swarm optimization |
| L-M | Levenberg–Marquardt |
| ICSA | Improved cuckoo search algorithm |
| SSA | Sparrow search algorithm |
| NDIWAPSO | Nonlinear dynamic inertia weight adaptive particle swarm optimization |
| MEMS | Micro-electromechanical systems |
| GPS | Global position system |
| EDDIWPSO | Exponentially decreasing dynamic inertia weight particle swarm optimization |
| LDDIWPSO | Linear decreasing dynamic inertia weight particle swarm optimization |
| MSE | Mean square error |
| AHRS | Attitude reference system |
References
- Thomas, M.; Noble, S. A physics-based ensemble machine-learning approach to identifying a relationship between lightning indices and binary lightning hazard. Front. Earth Sci. 2024, 12, 1376605. [Google Scholar] [CrossRef]
- Han, Y.; He, B.; Shu, H. Signal Positioning of Lightning Detection and Warning System Combining Direction of Arrival Algorithm and Capon Algorithm. Processes 2025, 13, 398. [Google Scholar] [CrossRef]
- Zhou, W.; Wang, W.; Wang, X. Research on Lightning Prediction Based on GCN-LSTM Model Integrating Spatiotemporal Features. Atmosphere 2025, 16, 447. [Google Scholar] [CrossRef]
- Alves, A.; Oliveira, S.; Ferreira, S. An Octant-Based Multi-Objective Optimization Approach for Lightning Warning in High-Risk Industrial Areas. Atmosphere 2025, 16, 798. [Google Scholar] [CrossRef]
- Zhang, H.; Deng, Y.; Wang, Y. Extraction of Factors Strongly Correlated with Lightning Activity Based on Remote Sensing Information. Remote Sens. 2024, 16, 1921. [Google Scholar] [CrossRef]
- Shi, T.; Hu, D.; Ren, X. Investigation on the lightning location and warning system using artificial intelligence. J. Sens. 2021, 2021, 6108223. [Google Scholar] [CrossRef]
- Meng, Q.; Yao, W.; Xu, L. Development of lightning nowcasting and warning technique and its application. Adv. Meteorol. 2019, 2019, 2405936. [Google Scholar] [CrossRef]
- Yang, X.; Xing, H.; Ji, X. Multi time scale thunderstorm monitoring system with real-time warning and imaging. IEEE Trans. Fuzzy Syst. 2024, 32, 1821–1835. [Google Scholar] [CrossRef]
- Zhang, Y.; Li, H.; Wang, Z. A preliminary study on time series forecast of fair-weather atmospheric electric field with WT-LSSVM method. J. Electrost. 2015, 75, 85–89. [Google Scholar] [CrossRef]
- Lou, H.; Xing, H.; Wang, S. A field grinding three-dimensional atmospheric electric field sensor. Electron. Meas. Technol. 2024, 47, 32–37. [Google Scholar]
- Cui, Y.; Qi, X.; Wu, G. Research on Measuring Space DC Synthetic Electric Field with Ungrounded Rotating Field-mill. Proc. CSEE 2024, 40, 343–352. [Google Scholar]
- Wen, X.; Yang, P. Toward atmospheric electricity research: A low-cost, highly sensitive and robust balloon-borne electric field sounding sensor. IEEE Sens. J. 2021, 21, 13405–13414. [Google Scholar] [CrossRef]
- Andreas, K.; Harald, S. Distortion-free measurement of electric field strength with a MEMS sensor. Nat. Electron. 2018, 1, 68–79. [Google Scholar] [CrossRef]
- Zhao, W.; Li, Z.; Zhang, H. Research on the Optimization of the Electrode Structure and Signal Processing Method of the Field Mill Type Electric Field Sensor. Sensors 2025, 25, 4186. [Google Scholar] [CrossRef] [PubMed]
- Cui, Y.; Yuan, H.; Zhao, L. Optimum design of calibration device for field mill type electric field sensor based on finite element method. J. Beijing Univ. Aeronaut. Astronaut. 2015, 41, 1807–2012. [Google Scholar]
- Huang, W.; Chen, X. Error analysis of the impact on the detection of atmospheric electric field around the meteorological balloon. Chin. J. Radio Sci. 2017, 32, 665–673. [Google Scholar]
- Lin, C.; Chen, X.N.; Zhang, H.T.; Gu, C.C.; Wang, S.M. Design of the air three dimensional atmospheric electric field directional detection system. In Journal of PLA University of Science and Technology (Natural Science Edition); Jie Fang Jun Li Gong Da Xue Xue Bao Bian Ji Bu: Nanjing, China, 2017. [Google Scholar]
- Zhao, W.; Li, Z. Exploring a Directional Measurement Method of Three-Dimensional Electric Field Intensity in the Atmosphere. Electronics 2022, 11, 2688. [Google Scholar] [CrossRef]
- Wang, K.; Gong, W. Solving nonlinear equations system with an improved differential evolution. Control Des. 2020, 35, 2120–2129. [Google Scholar]
- Zhao, W.; Zhou, Y. Using the improved of artificial glowworm swarm optimization algorithm to solve nonlinear equations. Math. Pract. Theory 2016, 46, 176–186. [Google Scholar]
- Li, X.; Zhong, M.; Zheng, H. Hybrid cuckoo search algorithm for solving nonlinear equations. Math. Pract. Theory 2019, 49, 197–205. [Google Scholar]
- Zhang, X.; Wan, Q.; Fan, Y. Applying modified cuckoo search algorithm for solving systems of nonlinear equations. Neural Comput. Appl. 2019, 31, 553–576. [Google Scholar] [CrossRef]
- Oyinlola, S.; Adeniyi, I. Optimal fog node selection based on hybrid particle swarm optimization and firefly algorithm in dynamic fog computing services. Eng. Appl. Artif. Intell. 2023, 121, 105998. [Google Scholar] [CrossRef]
- Jiang, J.; Tian, W.; Wang, X. Adaptive particle swarm optimization via disturbing acceleration coefficents. J. Xidian Univ. 2012, 39, 74–80. [Google Scholar]
- Dong, H.; Li, D.; Zhang, X. Particle Swarm Optimization Algorithm with Dynamically Adjusting Inertia Weight. Comput. Sci. 2018, 45, 98–102. [Google Scholar]
- Ren, Z.; Wang, J. New Adaptive Particle Swarm Optimization Algorithm with Dynamically Changing Inertia Weight. Comput. Sci. 2009, 36, 227–229. [Google Scholar]
- Yu, S.; Fang, Y.; Gao, L. SHEPWM Control Method of Controllable Emission on Current Frequency Based on Improved Particle Swarm Optimization Algorithm. J. Jilin Univ. 2020, 58, 1208–1216. [Google Scholar]
- Hao, Z.; Yu, C.; Zhang, J. Nonlinear decoupling of parallel six-dimensional acceleration sensor based on grey box extreme learning machine optimized by sparrow search algorithm. J. Electron. Meas. Instrum. 2023, 37, 106–114. [Google Scholar]
- Mohamed, A.; Reda, M.; Nazeeruddin, M. An Adaptive Cuckoo Search-Based Optimization Model for Addressing Cyber-Physical Security Problems. Mathematics 2021, 9, 1140. [Google Scholar]











| Function | Function Expression | Search Space | Global Minimum | |
|---|---|---|---|---|
| F1 | [−5, 5]3 | 10 | / | |
| F2 | [−5, 5]3 | 10 | / | |
| Sphere | [−100, 100]10 | 100 | 0 | |
| Rosenbrock | [−100, 100]10 | 100 | 0 | |
| Griewank | [−600, 600]10 | 600 | 0 | |
| Rastrigrin | [−10, 10]10 | 10 | 0 |
| Function | Optimization Method | Average of Optimal Values | Variance of the Optimal Value | Average Number of Iterations |
|---|---|---|---|---|
| F1 | SSA | >300 | ||
| ICSA | 0 | 0 | 74 | |
| LDDIWPSO | 0 | 0 | 102 | |
| EDDIWPSO | 0 | 0 | 58 | |
| tansig–NDIWAPSO | 0 | 0 | 45 | |
| F2 | SSA | >300 | ||
| ICSA | 0 | 55 | ||
| LDDIWPSO | 0 | 0 | 172 | |
| EDDIWPSO | 0 | 0 | 65 | |
| tansig–NDIWAPSO | 0 | 0 | 38 | |
| Sphere | SSA | >800 | ||
| ICSA | >500 | |||
| LDDIWPSO | >500 | |||
| EDDIWPSO | >300 | |||
| tansig–NDIWAPSO | 0 | 0 | 73 | |
| Rosenbrock | SSA | 3.383 | 0.832 | >500 |
| ICSA | 1.556 | 0.531 | >300 | |
| LDDIWPSO | 2.531 | 0.649 | >300 | |
| EDDIWPSO | 1.324 | 0.436 | >300 | |
| tansig–NDIWAPSO | 0.132 | 0.024 | 58 | |
| Griewank | SSA | 0.0613 | 0.00319 | >500 |
| ICSA | 0.0383 | 0.00218 | >300 | |
| LDDIWPSO | 0.0465 | 0.00247 | >800 | |
| EDDIWPSO | 0 | 0 | 70 | |
| tansig–NDIWAPSO | 0 | 0 | 55 | |
| Rastrigrin | SSA | 1.574 | 0.282 | >600 |
| ICSA | 1.398 | 0.185 | >500 | |
| LDDIWPSO | 1.536 | 0.216 | >600 | |
| EDDIWPSO | 1.127 | 0.112 | 236 | |
| tansig–NDIWAPSO | 0 | 0 | 62 |
| Algorithms | Solution of Equations | Average of Optimal Fitness Values | Average Number of Iterations | ||
|---|---|---|---|---|---|
| SSA | −0.01871 | 0.02454 | 0.01365 | 186 | |
| ICSA | −0.02134 | 0.02773 | 0.01231 | 123 | |
| LDDIWPSO | −0.01856 | 0.02851 | 0.01402 | 129 | |
| EDDIWPSO | −0.01647 | 0.03145 | 0.01375 | 108 | |
| tansig–NDIWAPSO | −0.01368 | 0.03318 | 0.01176 | 61 | |
Disclaimer/Publisher’s Note: The statements, opinions and data contained in all publications are solely those of the individual author(s) and contributor(s) and not of MDPI and/or the editor(s). MDPI and/or the editor(s) disclaim responsibility for any injury to people or property resulting from any ideas, methods, instructions or products referred to in the content. |
© 2025 by the authors. Licensee MDPI, Basel, Switzerland. This article is an open access article distributed under the terms and conditions of the Creative Commons Attribution (CC BY) license (https://creativecommons.org/licenses/by/4.0/).
Share and Cite
Zhao, W.; Li, Z.; Zhang, H. Research on the Directional Measurement Method of Three-Dimensional Electric Field Intensity Components of the Atmosphere Based on the Geographic Coordinate System in the Airborne Model. Sensors 2025, 25, 5595. https://doi.org/10.3390/s25175595
Zhao W, Li Z, Zhang H. Research on the Directional Measurement Method of Three-Dimensional Electric Field Intensity Components of the Atmosphere Based on the Geographic Coordinate System in the Airborne Model. Sensors. 2025; 25(17):5595. https://doi.org/10.3390/s25175595
Chicago/Turabian StyleZhao, Wei, Zhizhong Li, and Haitao Zhang. 2025. "Research on the Directional Measurement Method of Three-Dimensional Electric Field Intensity Components of the Atmosphere Based on the Geographic Coordinate System in the Airborne Model" Sensors 25, no. 17: 5595. https://doi.org/10.3390/s25175595
APA StyleZhao, W., Li, Z., & Zhang, H. (2025). Research on the Directional Measurement Method of Three-Dimensional Electric Field Intensity Components of the Atmosphere Based on the Geographic Coordinate System in the Airborne Model. Sensors, 25(17), 5595. https://doi.org/10.3390/s25175595

