Fiber Bragg Grating Based Load Monitoring for Carrier-Based Aircraft Main Landing Gear
Abstract
1. Introduction
2. Principle of FBG Strain Sensing and Load Monitoring
2.1. Principle of FBG Strain Sensor
2.2. Monitoring Principle of Landing Gear Strain Load
3. Simulation Analysis of Static Load of Main Landing Gear
3.1. Load Analysis of Main Landing Gear
3.2. Simulation Analysis of Landing Gear Strain Response
4. Scheme Design of FBG Sensor Networking
5. Calibration and Regression Analysis of Ground Load of Main Landing Gear
5.1. Landing Gear Fixing and Loading Mode
5.2. Ground Calibration Load Loading Scheme
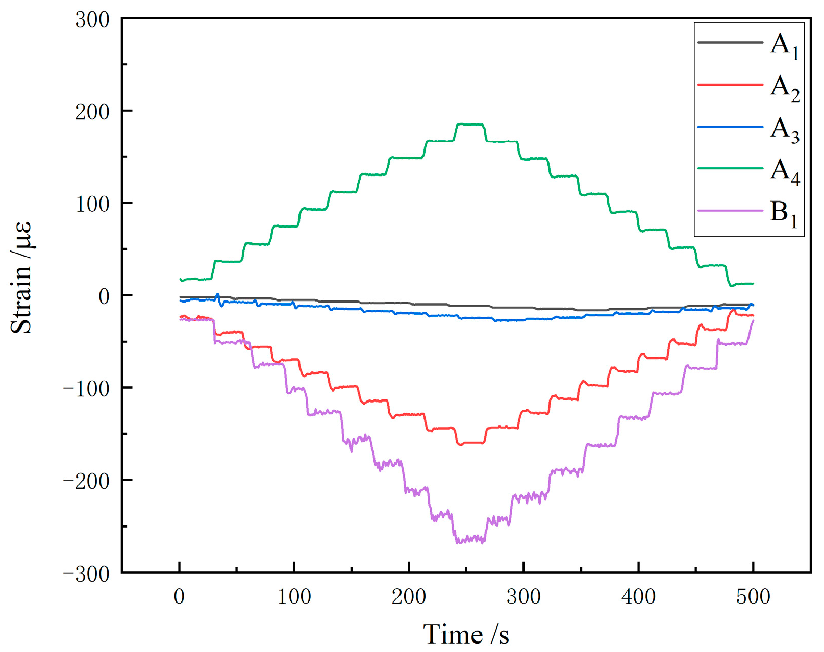
5.3. Establishment and Teste of Strain–Load Matrix Equation
6. Conclusions
Author Contributions
Funding
Institutional Review Board Statement
Data Availability Statement
Conflicts of Interest
References
- Zarchi, M.; Attaran, B. Improved design of an active landing gear for a passenger aircraft using multi-objective optimization technique. Struct. Multidiscip. Optim. 2018, 59, 1813–1833. [Google Scholar] [CrossRef]
- Chen, P.W.; Huang, W.T. A simulation of the fatigue life of light aircraft glass fibre-reinforced composites landing gear. Mater. Res. Innov. 2015, 19, S9-142–S9-147. [Google Scholar] [CrossRef]
- Brindisi, A.; Vendittozzi, C.; Travascio, L.; Di Palma, L.; Concilio, A. Landing gear hard impact: Preliminary study on optic monitoring system. Proc. Inst. Mech. Eng. Part C J. Mech. Eng. Sci. 2020, 237, 4151–4162. [Google Scholar] [CrossRef]
- Dziendzikowski, M.; Kurnyta, A.; Reymer, P.; Kurdelski, M.; Klysz, S.; Leski, A.; Dragan, K. Application of Operational Load Monitoring System for Fatigue Estimation of Main Landing Gear Attachment Frame of an Aircraft. Materials 2021, 14, 6564. [Google Scholar] [CrossRef] [PubMed]
- Wada, D.; Igawa, H.; Tamayama, M.; Kasai, T.; Arizono, H.; Murayama, H.; Shiotsubo, K. Development of the Fiber Optic Distributed Strain Sensing System and its On-Board Monitoring of Aircraft during Flight Tests. Struct. Health Monit. 2017. [Google Scholar] [CrossRef]
- Campanella, C.E.; Cuccovillo, A.; Campanella, C.; Yurt, A.; Passaro, V.M.N. Fibre Bragg Grating Based Strain Sensors: Review of Technology and Applications. Sensors 2018, 18, 3115. [Google Scholar] [CrossRef] [PubMed]
- Yu, J.; Li, C.; Qiu, X.; Chen, H. A full-optical strain FBG sensor for in-situ monitoring of fatigue stages via tunable DFB laser demodulation. Opt. Quantum Electron. 2021, 53, 1–12. [Google Scholar] [CrossRef]
- Liu, S.; Wei, Y.; Yin, Y.; Feng, T.; Lin, J. Structural Health Monitoring Method of Pantograph–Catenary System Based on Strain Response Inversion. Front. Phys. 2021, 9, 691510. [Google Scholar] [CrossRef]
- Santos, F.L.M.D.; Peeters, B. On the use of strain sensor technologies for strain modal analysis: Case studies in aeronautical applications. Rev. Sci. Instrum. 2016, 87, 102506. [Google Scholar] [CrossRef]
- Zhang, X.; Wang, J.; Chen, Z.; Quan, Y.; Zheng, Z.; Zhang, T.; Cao, J.; Xie, X.; Liu, X.; Xiang, P. A distributed fiber optic sensor-based approach for crack asphalt structure under freeze-thaw cycling tests. Constr. Build. Mater. 2025, 476, 141262. [Google Scholar] [CrossRef]
- Smailov, N.; Koshkinbayev, S.; Aidana, B.; Kuttybayeva, A.; Tashtay, Y.; Aziskhan, A.; Arseniev, D.; Kiesewetter, D.; Krivosheev, S.; Magazinov, S.; et al. Simulation and Measurement of Strain Waveform under Vibration Using Fiber Bragg Gratings. Sensors 2024, 24, 6194. [Google Scholar] [CrossRef]
- Harasim, D. Temperature-insensitive bending measurement method using optical fiber sensors. Sens. Actuators A Phys. 2021, 332, 113207. [Google Scholar] [CrossRef]
- Kisała, P. Physical foundations determining spectral characteristics measured in Bragg gratings subjected to bending. Metrol. Meas. Syst. 2022, 29, 573–584. [Google Scholar] [CrossRef]
- Kim, J.-H.; Shrestha, P.; Park, Y.; Kim, C.-G.; López-Higuera, J.M.; Jones, J.D.C.; López-Amo, M.; Santos, J.L. Application of fiber Bragg grating sensors in light aircraft: Ground and flight test. In Proceedings of the OFS2014 23rd International Conference on Optical Fiber Sensors, Santander, Spain, 2–6 June 2014; pp. 91578V–91578V-4. [Google Scholar]
- Kim, J.H.; Lee, Y.G.; Park, Y.; Kim, C.G.; Lynch, J.P.; Yun, C.-B.; Wang, K.-W. Temperature-compensated strain measurement of full-scale small aircraft wing structure using low-cost FBG interrogator. In Proceedings of the SPIE Smart Structures and Materials + Nondestructive Evaluation and Health Monitoring, San Diego, CA, USA, 10–14 March 2013; p. 86922. [Google Scholar]
- Perone, G.; Bruno, M.; Bocchetto, F.; Breglio, G.; Pugliese, M.; Calandra, A.; Nocella, A.; Cavallari, A.; Schiano Lo Moriello, S.; Capuano, G.; et al. An Innovative Health Monitoring System for Aircraft Landing Gears. In Proceedings of the European Workshop On Structural Health Monitoring, Bilbao, Spain, 5–8 July 2016. [Google Scholar]
- Iele, A.; Leone, M.; Consales, M.; Persiano, G.; Brindisi, A.; Ameduri, S.; Concilio, A.; Ciminello, M.; Apicella, A.; Bocchetto, F.; et al. Load monitoring of aircraft landing gears using fiber optic sensors. Sensors Actuators A Phys. 2018, 281, 31–41. [Google Scholar] [CrossRef]
- Brindisi, A.; Vendittozzi, C.; Travascio, L.; Di Palma, L.; Ignarra, M.; Fiorillo, V.; Concilio, A. A Preliminary Assessment of an FBG-Based Hard Landing Monitoring System. Photonics 2021, 8, 450. [Google Scholar] [CrossRef]
- Brindisi, A.; Vendittozzi, C.; Travascio, L.; Belardo, M.; Ignarra, M.; Fiorillo, V.; Concilio, A. An FBG-Based Hard Landing Monitoring System: Assessment for Drops on Different Soils. Photonics 2025, 12, 197. [Google Scholar] [CrossRef]
- Viscardi, M.; Arena, M.; Ciminello, M.; Guida, M.; Meola, C.; Cerreta, P.; Shull, P.J. Experimental technologies comparison for strain measurement of a composite main landing gear bay specimen. In Proceedings of the Nondestructive Characterization and Monitoring of Advanced Materials, Aerospace, Civil Infrastructure, and Transportation XII, Denver, CO, USA, 4–8 March 2018; p. 23. [Google Scholar]
- Goossens, S.; De Pauw, B.; Geernaert, T.; Salmanpour, M.S.; Khodaei, Z.S.; Karachalios, E.; Saenz-Castillo, D.; Thienpont, H.; Berghmans, F. Aerospace-grade surface mounted optical fibre strain sensor for structural health monitoring on composite structures evaluated against in-flight conditions. Smart Mater. Struct. 2019, 28, 065008. [Google Scholar] [CrossRef]
- Zhan, Y.; Yu, M.; Pei, J.; Yang, X.; Xiang, S. A linearity interrogation technique with enlarged dynamic range for fiber Bragg grating sensing. Opt. Commun. 2010, 283, 3428–3433. [Google Scholar] [CrossRef]
- Skopinski, T.H.; Aiken, W.S.J.; Huston, W.B. Calibration of Strain-Gage Installations in Aircraft Structures for the Measurement of Flight Loads. Technical Report Archive & Image Library. 1952. Available online: https://ntrs.nasa.gov/citations/19930090978 (accessed on 1 September 2025).
- Reymer, P.; Leski, A.; Dziendzikowski, M. Fatigue Crack Propagation Estimation Based on Direct Strain Measurement during a Full-Scale Fatigue Test. Sensors 2022, 22, 2019. [Google Scholar] [CrossRef] [PubMed]
- Yoo, C.S.; Cho, A.; Park, B.J.; Kang, Y.S. Trade-Off Study of Shipboard Landing of Vertical Take-off and Landing Aircraft. Aerosp. Eng. Technol. 2013, 12, 10–21. [Google Scholar]
- Bodson, M.; Athans, M. Multivariable control of VTOL aircraft for shipboard landing. In Proceedings of the 7th Computational Fluid Dynamics Conference, Cincinnati, OH, USA, 15–17 July 1985. [Google Scholar]











| Serial Number | Structure Name | Serial Number | Structure Name |
|---|---|---|---|
| 1 | triangle support | 6 | ) |
| 2 | ) | 7 | pulley |
| 3 | cable wire | 8 | ) |
| 4 | ) | 9 | ) |
| 5 | Undercarriage wheel | 10 | ) |
| Test Conditions | Heading Load/KN | Vertical Load/KN | Lateral Load/KN |
|---|---|---|---|
| 1 | 24 | 0 | 0 |
| 2 | 0 | 69 | 0 |
| 3 | 0 | 0 | 8 |
| 4 | 10 | 42 | 0 |
| 5 | 0 | 50 | 8 |
| 6 | 10 | 0 | 8 |
| 7 | 15 | 49 | 6 |
| Measuring Point | |||
|---|---|---|---|
| 3.5746 | −27.2328 | −1.0280 | |
| −5.0412 | 25.4346 | −21.9562 | |
| 3.9870 | 29.5193 | −1.02830 | |
| 11.0506 | 26.1761 | 20.558 | |
| −12.5477 | −0.9178 | −26.5656 |
| Verification Conditions | Actual Load/KN | Predicted Load/KN | Relative Error/% | |
|---|---|---|---|---|
| Condition 4 | 10 | 9.61 | 3.90 | |
| 42 | 41.63 | 0.88 | ||
| 0 | 0.87 | / | ||
| Condition 5 | 0 | -0.31 | / | |
| 50 | 50.54 | 1.08 | ||
| 8 | 8.27 | 3.38 | ||
| Condition 6 | 10 | 9.6 | 4.00 | |
| 0 | 0.03 | / | ||
| 8 | 7.75 | 3.13 | ||
| Condition 7 | 15 | 14.88 | 0.80 | |
| 49 | 47.85 | 2.35 | ||
| 6 | 6.11 | 1.83 | ||
Disclaimer/Publisher’s Note: The statements, opinions and data contained in all publications are solely those of the individual author(s) and contributor(s) and not of MDPI and/or the editor(s). MDPI and/or the editor(s) disclaim responsibility for any injury to people or property resulting from any ideas, methods, instructions or products referred to in the content. |
© 2025 by the authors. Licensee MDPI, Basel, Switzerland. This article is an open access article distributed under the terms and conditions of the Creative Commons Attribution (CC BY) license (https://creativecommons.org/licenses/by/4.0/).
Share and Cite
Xue, W.; Huang, H.; Pang, X.; Yan, G. Fiber Bragg Grating Based Load Monitoring for Carrier-Based Aircraft Main Landing Gear. Sensors 2025, 25, 5559. https://doi.org/10.3390/s25175559
Xue W, Huang H, Pang X, Yan G. Fiber Bragg Grating Based Load Monitoring for Carrier-Based Aircraft Main Landing Gear. Sensors. 2025; 25(17):5559. https://doi.org/10.3390/s25175559
Chicago/Turabian StyleXue, Weijun, Heng Huang, Xiwen Pang, and Guang Yan. 2025. "Fiber Bragg Grating Based Load Monitoring for Carrier-Based Aircraft Main Landing Gear" Sensors 25, no. 17: 5559. https://doi.org/10.3390/s25175559
APA StyleXue, W., Huang, H., Pang, X., & Yan, G. (2025). Fiber Bragg Grating Based Load Monitoring for Carrier-Based Aircraft Main Landing Gear. Sensors, 25(17), 5559. https://doi.org/10.3390/s25175559
