A Compact and Wideband Active Asymmetric Transmit Array Unit Cell for Millimeter-Wave Applications
Abstract
1. Introduction
2. Unit Cell Design and Geometric Configurations
2.1. Unit Cell Design
2.2. Diode Characterization and Circuit Model
2.3. Fabrication Prototype and Measurement Enviroment
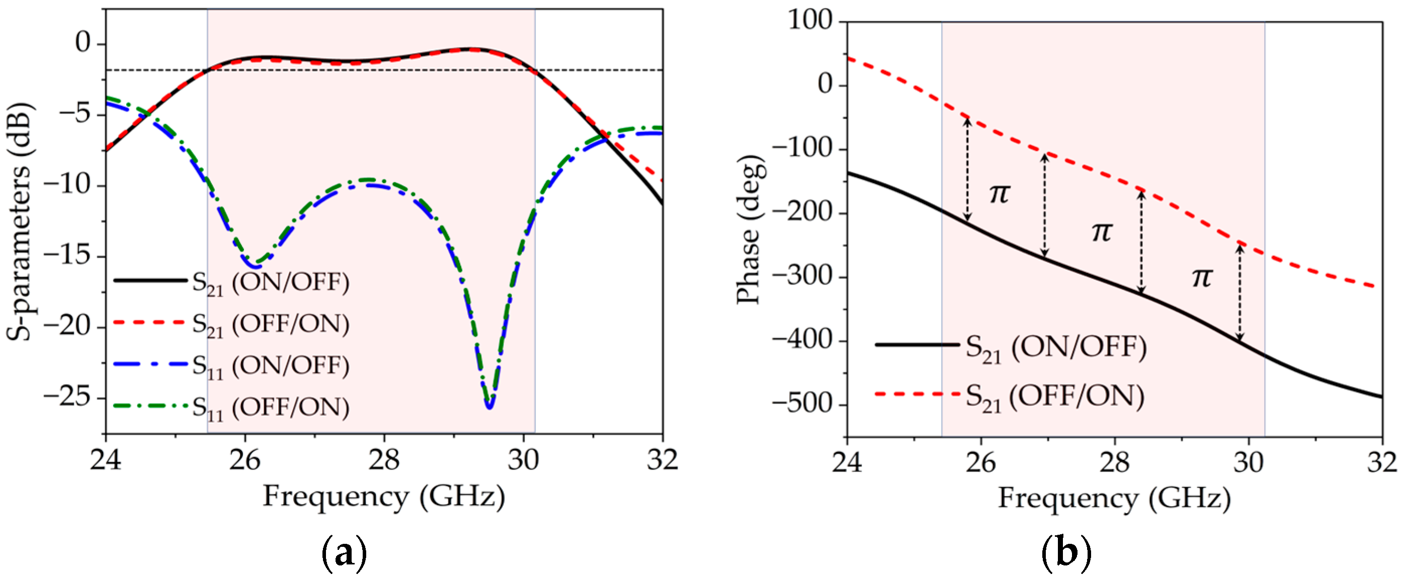
3. Results and Discussions
3.1. Unit Cell Results
3.2. Phase Gradient Surface
4. Conclusions
Author Contributions
Funding
Institutional Review Board Statement
Informed Consent Statement
Data Availability Statement
Conflicts of Interest
References
- Li, W.; Zhao, Y.; Ding, X.; Wu, L.; Nie, Z. A wideband pattern-reconfigurable loop antenna designed by using characteristic mode analysis. IEEE Antennas Wirel. Propag. Lett. 2021, 21, 396–400. [Google Scholar] [CrossRef]
- Wang, Z.; Liu, S.; Dong, Y. Compact wideband pattern reconfigurable antennas inspired by end-fire structure for 5G vehicular communication. IEEE Trans. Veh. Technol. 2022, 71, 4655–4664. [Google Scholar] [CrossRef]
- Liu, X.; Leung, K.W.; Yang, N. A pattern-reconfigurable cylindrical dielectric resonator antenna with three switchable radiation patterns. IEEE Trans. Antennas Propag. 2023, 71, 3997–4006. [Google Scholar] [CrossRef]
- Miao, S.Y.; Lin, F.H. Light-controlled large-scale wirelessly reconfigurable microstrip reflectarrays. IEEE Trans. Antennas Propag. 2022, 71, 1613–1622. [Google Scholar] [CrossRef]
- Ahmed, F.; Faisal, F.; Melouki, N.; Ahmed, A.; Naseri, H.; PourMohammadi, P.; Denidni, T.A. A Multi-Functional Reflective Polarization Transforming Surface with In-Band and Out-Band Transmission Characteristics. IEEE Antennas Wirel. Propag. Lett. 2024, 23, 4119–4123. [Google Scholar] [CrossRef]
- Hu, J.; Chi, P.L.; Yang, T. Novel 1-bit beam-scanning reflectarray with switchable linear, left-handed, or right-handed circular polarization. IEEE Trans. Antennas Propag. 2022, 71, 1548–1556. [Google Scholar] [CrossRef]
- Zhang, Q.; Zhang, M.; Shi, X.; Gao, S.; Luo, Q.; Chen, L.; Wan, J.; Wang, X. A low-profile beam-steering reflectarray with integrated leaky-wave feed and 2-bit phase resolution for Ka-band SatCom. IEEE Trans. Antennas Propag. 2021, 70, 1884–1894. [Google Scholar] [CrossRef]
- Wang, M.; Xu, S.; Hu, N.; Xie, W.; Yang, F.; Chen, Z. A low-profile wide-angle reconfigurable transmitarray antenna using phase transforming lens with virtual focal source. IEEE Trans. Antennas Propag. 2022, 70, 8626–8631. [Google Scholar] [CrossRef]
- Uddin, M.N.; Tarek, M.N.A.; Islam, M.K.; Alwan, E.A. A reconfigurable beamsteering antenna array at 28 GHz using a corporate-fed 3-bit phase shifter. IEEE Open J. Antennas Propag. 2023, 4, 126–140. [Google Scholar] [CrossRef]
- Wang, M.; Xu, S.; Hu, N.; Xie, W.; Yang, F.; Chen, Z.; Li, M. Design and measurement of a Ku-band pattern-reconfigurable array antenna using 16 O-slot patch elements with pin diodes. IEEE Antennas Wirel. Propag. Lett. 2020, 19, 2373–2377. [Google Scholar] [CrossRef]
- Zhang, X.G.; Jiang, W.X.; Tian, H.W.; Wang, Z.X.; Wang, Q.; Cui, T.J. Pattern-reconfigurable planar array antenna characterized by digital coding method. IEEE Trans. Antennas Propag. 2019, 68, 1170–1175. [Google Scholar] [CrossRef]
- Di Palma, L.; Clemente, A.; Dussopt, L.; Sauleau, R.; Potier, P.; Pouliguen, P. Design and experimental characterization of a reconfigurable transmitarray with reduced focal distance. Int. J. Microw. Wirel. Technol. 2016, 8, 447–454. [Google Scholar] [CrossRef]
- Hu, J.; Yang, X.; Ge, L.; Guo, Z.; Hao, Z.-C.; Wong, H. A reconfigurable 1 × 4 circularly polarized patch array antenna with frequency, radiation pattern, and polarization agility. IEEE Trans. Antennas Propag. 2021, 69, 5124–5129. [Google Scholar] [CrossRef]
- Wang, Y.; Xu, F.; Jin, Y.-Q.; Du, Z. Low-cost reconfigurable 1 bit millimeter-wave array antenna for mobile terminals. IEEE Trans. Antennas Propag. 2022, 70, 4507–4517. [Google Scholar] [CrossRef]
- Wang, Z.; Dong, Y. Phase and polarization digitally modulated array using reconfigurable DR element: Proposal, design, and verification. IEEE Trans. Antennas Propag. 2023, 71, 4102–4114. [Google Scholar] [CrossRef]
- Xi, B.; Xiao, Y.; Tan, S.; Yang, F.; Chen, Z. 2-bit wideband electronically controlled reconfigurable phased array with wide-angle beam-scanning capacity. IEEE Trans. Antennas Propag. 2023, 71, 4128–4137. [Google Scholar] [CrossRef]
- Liu, P.; Li, Y.; Zhang, Z. Circularly polarized 2 bit reconfigurable beam-steering antenna array. IEEE Trans. Antennas Propag. 2020, 68, 2416–2421. [Google Scholar] [CrossRef]
- Fang, Z.; Yang, H.; Gao, Y.; Zhai, F.; Wu, J.W.; Cheng, Q.; Cui, T.J. Design of a 2-bit reconfigurable UWB planar antenna array for beam scanning application. IEEE Open J. Antennas Propag. 2023, 4, 91–96. [Google Scholar] [CrossRef]
- Yin, L.; Yang, P.; Dong, T.; Hu, J.; Nie, Z. Low-cost, series–parallel-fed 2-bit phased array antenna in Ku-band. IEEE Antennas Wirel. Propag. Lett. 2023, 22, 1084–1088. [Google Scholar] [CrossRef]
- Ahmed, F.; Hassan, T.; Melouki, N.; Naseri, H.; PourMohammadi, P.; Iqbal, A.; Denidni, T.A. A multibit and frequency-reconfigurable reflecting surface for RIS applications. IEEE Antennas Wirel. Propag. Lett. 2023, 23, 653–657. [Google Scholar] [CrossRef]
- Nguyen, M.T.; Nguyen, T.T.; Nguyen, B.D. Wideband transmitarray unit-cell design with 1-bit phase control and twistable polarization. IEEE Microw. Wirel. Compon. Lett. 2022, 32, 627–630. [Google Scholar] [CrossRef]
- Wang, M.; Hu, N.; Li, X.; Mo, Y.; Xie, W.; Chen, Z.; Tian, Z. A 2-bit electronically planar reconfigurable array antenna with 2-D beam-scanning capacity using hybrid phase control method. IEEE Antennas Wirel. Propag. Lett. 2024, 23, 1966–1970. [Google Scholar] [CrossRef]
- Rana, B.; Lee, I.G.; Hong, I.P. Experimental characterization of 2 × 2 electronically reconfigurable 1 bit unit cells for a beamforming transmitarray at X band. J. Electromagn. Eng. Sci. 2021, 21, 153–160. [Google Scholar] [CrossRef]
- Qu, Z.; Zhou, Y.; Kelly, J.R.; Wang, Z.; Lee Ford, K.; Gao, Y. A reconfigurable transmitarray unit cell employing liquid metal. IET Microw. Antennas Propag. 2024, 18, 985–991. [Google Scholar] [CrossRef]
- Hong, W.; Jiang, Z.H.; Yu, C.; Hou, D.; Wang, H.; Guo, C.; Hu, Y.; Kuai, L.; Yu, Y.; Jiang, Z.Y.; et al. The role of millimeter-wave technologies in 5G/6G wireless communications. IEEE J. Microw. 2021, 1, 101–122. [Google Scholar] [CrossRef]
- Soumya, A.; Krishna Mohan, C.; Cenkeramaddi, L.R. Recent Advances in mmWave-Radar-Based Sensing, Its Applications, and Machine Learning Techniques: A Review. Sensors 2023, 23, 8901. [Google Scholar] [CrossRef] [PubMed]
- Di Palma, L.; Clemente, A.; Dussopt, L.; Sauleau, R.; Potier, P.; Pouliguen, P. 1-bit reconfigurable unit cell for Ka-band transmitarrays. IEEE Antennas Wirel. Propag. Lett. 2015, 15, 560–563. [Google Scholar] [CrossRef]
- Di Palma, L.; Clemente, A.; Dussopt, L.; Sauleau, R.; Potier, P.; Pouliguen, P. Experimental characterization of a circularly polarized 1 bit unit cell for beam steerable transmitarrays at Ka-band. IEEE Trans. Antennas Propag. 2018, 67, 1300–1305. [Google Scholar] [CrossRef]
- Diaby, F.; Clemente, A.; Sauleau, R.; Pham, K.T.; Dussopt, L. 2 bit reconfigurable unit-cell and electronically steerable transmitarray at Ka -band. IEEE Trans. Antennas Propag. 2019, 68, 5003–5008. [Google Scholar] [CrossRef]
- Clemente, A.; Diaby, F.; Di Palma, L.; Dussopt, L.; Sauleau, R. Experimental validation of a 2-bit reconfigurable unit-cell for transmitarrays at Ka-band. IEEE Access 2020, 8, 114991–114997. [Google Scholar] [CrossRef]
- Huang, T.; Fu, W.; Lu, D.; Pan, Y.; Wang, M.; Yan, Y. Wideband 1-bit reconfigurable transmission metasurface unit cell design in Ka-band with polarization hold and conversion. Sci. Rep. 2023, 13, 20076. [Google Scholar] [CrossRef]
- Reis, J.R.; Vala, M.; Caldeirinha, R.F. Review paper on transmitarray antennas. IEEE Access 2019, 7, 94171–94188. [Google Scholar] [CrossRef]
- Chen, H.T.; Taylor, A.J.; Yu, N. A review of metasurfaces: Physics and applications. Rep. Prog. Phys. 2016, 79, 076401. [Google Scholar] [CrossRef] [PubMed]
- Clemente, A.; Dussopt, L.; Sauleau, R.; Potier, P.; Pouliguen, P. Wideband 400-element electronically reconfigurable transmitarray in X band. IEEE Trans. Antennas Propag. 2013, 61, 5017–5027. [Google Scholar] [CrossRef]
- AlGaAS PIN Diode. Available online: https://www.macom.com/products/product-detail/MA4AGFCP910 (accessed on 31 January 2025).
- Pourmohammadi, P.; Naseri, H.; Melouki, N.; Ahmed, F.; Zheng, Q.; Iqbal, A.; Denidni, T.A. A wideband beam steering transmitarray antenna for Ka-band applications. AEU Int. J. Electron. Commun. 2025, 193, 155720. [Google Scholar] [CrossRef]
- Meng, C.; Fang, C.; Li, Y.; Feng, G.; Liu, B.; Wong, S.W.; Chen, H. A 1-Bit Reconfigurable Transmitarray with Enhanced Cross-Polarization Discrimination. IEEE Antennas Wirel. Propag. Lett. 2025, 24, 1517–1521. [Google Scholar] [CrossRef]















| Reference | No of Diodes | Max Gain (dB) | AE | BS Range | 1 dB BW | 2 dB BW | 3 dB BW | Element Thickness | Element Size | 
|---|---|---|---|---|---|---|---|---|---|
| [21] | 2 | N/A | N/A | N/A | 5% | <14% | 26% | 0.16 λ | 0.65 λ × 0.65 λ | 
| [22] | 4 | 20 | 36% | ±45 | 2% | <9% | 13% | 0.21 λ | 0.533 λ × 0.533 λ | 
| [23] | 2 | N/A | N/A | N/A | 1.25% | <5% | 7% | 0.124 λ | 0.52 λ × 0.52 λ | 
| [27] | 2 | N/A | N/A | N/A | 1% | <7% | 11% | 0.15 λ | 0.527 λ × 0.527 λ | 
| [28] | 2 | N/A | N/A | N/A | 6.5% | <8.5% | 13.8% | 0.151 λ | 0.51 λ × 0.51 λ | 
| [29] | 4 | 19.8 | 15.9% | ±60 | 3% | <8.9% | 16.2% | 0.21 λ | 0.51 λ × 0.51 λ | 
| [30] | 4 | N/A | N/A | N/A | 0% | <4% | 10.1% | 0.21 λ | 0.52 λ × 0.52 λ | 
| [31] | 4 | N/A | N/A | N/A | 0% | <17% | 30% | 0.249 λ | 0.37 λ × 0.37 λ | 
| [37] | 2 | 18 | 12.7% | ±60 | 5% | <9% | 15.22% | 0.06 λ | 0.247 λ × 0.247 λ | 
| This work | 2 | 23 | 40.2% | ±45 | 7% | 18.24% | 21.43% | 0.19 λ | 0.37 λ × 0.47 λ | 
| Disclaimer/Publisher’s Note: The statements, opinions and data contained in all publications are solely those of the individual author(s) and contributor(s) and not of MDPI and/or the editor(s). MDPI and/or the editor(s) disclaim responsibility for any injury to people or property resulting from any ideas, methods, instructions or products referred to in the content. | 
© 2025 by the authors. Licensee MDPI, Basel, Switzerland. This article is an open access article distributed under the terms and conditions of the Creative Commons Attribution (CC BY) license (https://creativecommons.org/licenses/by/4.0/).
Share and Cite
Ahmed, F.; Melouki, N.; PourMohammadi, P.; Naseri, H.; Denidni, T.A. A Compact and Wideband Active Asymmetric Transmit Array Unit Cell for Millimeter-Wave Applications. Sensors 2025, 25, 5168. https://doi.org/10.3390/s25165168
Ahmed F, Melouki N, PourMohammadi P, Naseri H, Denidni TA. A Compact and Wideband Active Asymmetric Transmit Array Unit Cell for Millimeter-Wave Applications. Sensors. 2025; 25(16):5168. https://doi.org/10.3390/s25165168
Chicago/Turabian StyleAhmed, Fahad, Noureddine Melouki, Peyman PourMohammadi, Hassan Naseri, and Tayeb A. Denidni. 2025. "A Compact and Wideband Active Asymmetric Transmit Array Unit Cell for Millimeter-Wave Applications" Sensors 25, no. 16: 5168. https://doi.org/10.3390/s25165168
APA StyleAhmed, F., Melouki, N., PourMohammadi, P., Naseri, H., & Denidni, T. A. (2025). A Compact and Wideband Active Asymmetric Transmit Array Unit Cell for Millimeter-Wave Applications. Sensors, 25(16), 5168. https://doi.org/10.3390/s25165168
 
        

 
       