Adaptive Virtual Impedance Droop Control of Parallel Inverters for Islanded Microgrids
Abstract
1. Introduction
- By examining the reactive power mismatch caused by conventional droop control in parallel inverter systems, this study paves the way for faster and more accurate reactive power balancing.
- An adaptive virtual impedance control method is introduced, in which an adaptive controller is derived by integrating the deviation between the ratio of reactive power to output voltage and its desired reference value for each measurement unit.
- To validate the effectiveness of the proposed control strategy, a prototype system was designed and constructed. Experimental results demonstrate that the output waveforms of the parallel inverters exhibit strong consistency and that circulating currents between inverter units are effectively suppressed.
2. Conventional Droop Control and Analysis of Power Sharing Errors
2.1. Conventional Droop Control Method
2.2. Reactive Power Analysis of Conventional Droop Control
3. Proposed AVIDC Method
3.1. Design of Equivalent Line Impedance
3.2. Adaptive Virtual Impedance Droop Control
4. Simulation and Experimental Analysis
4.1. Simulation Analysis
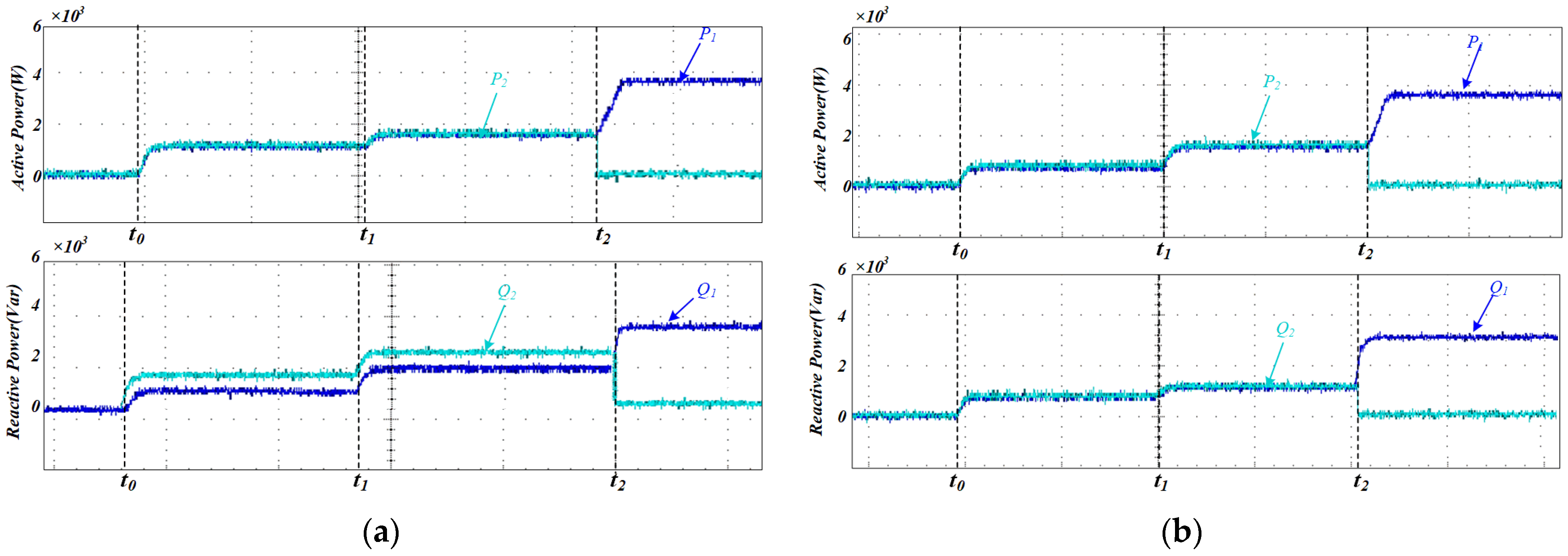
4.2. Experiments Demonstrate
5. Conclusions
Author Contributions
Funding
Data Availability Statement
Conflicts of Interest
References
- Bano, F.; Rizwan, A.; Serbaya, S.H.; Hasan, F.; Karavas, C.S.; Fotis, G. Integrating Microgrids into Engineering Education: Modeling and Analysis for Voltage Stability in Modern Power Systems. Energies 2024, 17, 4865. [Google Scholar] [CrossRef]
- Zhao, Z.L.; Guo, J.T.; Luo, X.; Lai, C.S.; Yang, P.; Lai, L.L.; Li, P.; Guerrero, J.M.; Shahidehpour, M. Distributed Robust Model Predictive Control-Based Energy Management Strategy for Islanded Multi-Microgrids Considering Uncertainty. IEEE Trans. Smart Grid 2022, 13, 2107–2120. [Google Scholar] [CrossRef]
- Wang, C.; Wang, Z.; Chu, S.H.; Ma, H.; Yang, N.; Zhao, Z.L.; Lai, C.S.; Lai, L.L. A two-stage underfrequency load shedding strategy for microgrid groups considering risk avoidance. Appl. Energy 2024, 367, 123343. [Google Scholar] [CrossRef]
- Rasoanarivo, I.; Tehrani, K.; Scalcon, F.P.; Nahid-Mobarakeh, B. A Dual Multilevel Adaptive Converter for Microgrid Applications. In Proceedings of the IECON 2022—48th Annual Conference of the IEEE Industrial Electronics Society, Brussels, Belgium, 17–20 October 2022; pp. 1–6. [Google Scholar]
- Yu, L.; Shi, D.; Xu, G.Y.; Guo, X.B.; Jiang, Z.; Jing, C.Y. Consensus Control of Distributed Energy Resources in a Multi-Bus Microgrid for Reactive Power Sharing and Voltage Control. Energies 2018, 11, 2710. [Google Scholar] [CrossRef]
- Jasim, A.M.; Jasim, B.H.; Bures, V.; Mikulecky, P. A New Decentralized Robust Secondary Control for Smart Islanded Microgrids. Sensors 2022, 22, 8709. [Google Scholar] [CrossRef]
- Ding, M.; Tao, Z.L.; Hu, B.; Tan, S.J.; Yokoyama, R. Parallel Operation Strategy of Inverters Based on an Improved Adaptive Droop Control and Equivalent Input Disturbance Approach. Electronics 2024, 13, 486. [Google Scholar] [CrossRef]
- Baneshi, E.; Kolahduzloo, H.; Ebrahimi, J.; Mahmoudian, M.; Pouresmaeil, E.; Rodrigues, E.M.G. Coordinated Power Sharing in Islanding Microgrids for Parallel Distributed Generations. Electronics 2020, 9, 1927. [Google Scholar] [CrossRef]
- Toub, M.; Bijaieh, M.M.; Weaver, W.W.; Robinett, R.D.; Maaroufi, M.; Aniba, G. Droop Control in DQ Coordinates for Fixed Frequency Inverter-Based AC Microgrids. Electronics 2019, 8, 1168. [Google Scholar] [CrossRef]
- Han, H.; Hou, X.C.; Yang, J.; Wu, J.F.; Su, M.; Guerrero, J.M. Review of Power Sharing Control Strategies for Islanding Operation of AC Microgrids. IEEE Trans. Smart Grid 2016, 7, 200–215. [Google Scholar] [CrossRef]
- Li, K.; Li, Y.D.; Fan, R.Q.; Liu, Z.H.; Lu, M.Z. A Review of Synchronous Fixed-Frequency Microgrid Droop Control Systems Based on Global Positioning System. Processes 2025, 13, 54. [Google Scholar] [CrossRef]
- Han, H.; Liu, Y.; Sun, Y.; Su, M.; Guerrero, J.M. An Improved Droop Control Strategy for Reactive Power Sharing in Islanded Microgrid. IEEE Trans. Power Electron. 2015, 30, 3133–3141. [Google Scholar] [CrossRef]
- Li, D.D.; Zhu, Q.W.; Lin, S.F.; Bian, X.Y. A Self-Adaptive Inertia and Damping Combination Control of VSG to Support Frequency Stability. IEEE Trans. Energy Convers. 2017, 32, 397–398. [Google Scholar] [CrossRef]
- Lu, L.Y.; Chu, C.C. Consensus-Based Secondary Frequency and Voltage Droop Control of Virtual Synchronous Generators for Isolated AC Micro-Grids. IEEE J. Emerg. Sel. Top. Circuits Syst. 2015, 5, 443–455. [Google Scholar] [CrossRef]
- Abo Gabl, O.M.; Shaaban, M.F.; Zeineldin, H.H.; Ammar, M.E. A Multiobjective Secondary Control Approach for Optimal Design of DG Droop Characteristic and Control Mode for Autonomous Microgrids. IEEE Syst. J. 2022, 16, 5445–5454. [Google Scholar] [CrossRef]
- Dadi, R.; Meenakshy, K.; Damodaran, S.K. A modified droop control method for dc microgrid with improved voltage regulation and current sharing. In Proceedings of the 2020 International Conference on Power, Instrumentation, Control and Computing (PICC), Thrissur, India, 17–19 December 2020; IEEE: New York, NY, USA, 2020; pp. 1–6. [Google Scholar]
- Verma, V.; Solanki, S.K.; Solanki, J. Improved Reactive Power Sharing Between Droop Controlled Inverters In Islanded Microgrid. In Proceedings of the IEEE-Power-and-Energy-Society General Meeting (PESGM), Montreal, QC, Canada, 3–6 August 2020. [Google Scholar]
- Fu, S.Q.; Sun, Y.; Li, L.; Liu, Z.J.; Han, H.; Su, M. Power Oscillation Suppression in Multi-VSG Grid by Adaptive Virtual Impedance Control. IEEE Syst. J. 2022, 16, 4744–4755. [Google Scholar] [CrossRef]
- Wang, F.; Zhang, L.J.; Feng, X.Y.; Guo, H. An Adaptive Control Strategy for Virtual Synchronous Generator. IEEE Trans. Ind. Appl. 2018, 54, 5124–5133. [Google Scholar] [CrossRef]
- Xiao, J.J.; Wang, L.; Bauer, P.; Qin, Z. Virtual Impedance Control for Load Sharing and Bus Voltage Quality Improvement in Low-Voltage AC Microgrid. IEEE Trans. Smart Grid 2024, 15, 2447–2458. [Google Scholar] [CrossRef]
- Ahmed, M.; Meegahapola, L.; Vahidnia, A.; Datta, M. Adaptive Virtual Impedance Controller for Parallel and Radial Microgrids With Varying X/R Ratios. IEEE Trans. Sustain. Energy 2022, 13, 830–843. [Google Scholar] [CrossRef]
- Vijay, A.S.; Parth, N.; Doolla, S.; Chandorkar, M.C. An Adaptive Virtual Impedance Control for Improving Power Sharing Among Inverters in Islanded AC Microgrids. IEEE Trans. Smart Grid 2021, 12, 2991–3003. [Google Scholar] [CrossRef]
- An, R.H.; Liu, Z.; Liu, J.J. Successive-Approximation-Based Virtual Impedance Tuning Method for Accurate Reactive Power Sharing in Islanded Microgrids. IEEE Trans. Power Electron. 2021, 36, 87–102. [Google Scholar] [CrossRef]
- Chang, G.W.; Nguyen, K.T. A New Adaptive Inertia-Based Virtual Synchronous Generator with Even Inverter Output Power Sharing in Islanded Microgrid. IEEE Trans. Ind. Electron. 2024, 71, 10693–10703. [Google Scholar] [CrossRef]
- Wei, B.Z.; Marzàbal, A.; Ruiz, R.; Guerrero, J.M.; Vasquez, J.C. DAVIC: A New Distributed Adaptive Virtual Impedance Control for Parallel-Connected Voltage Source Inverters in Modular UPS System. IEEE Trans. Power Electron. 2019, 34, 5953–5968. [Google Scholar] [CrossRef]
- Adib, A.; Fateh, F.; Mirafzal, B. Smart Inverter Stability Enhancement in Weak Grids Using Adaptive Virtual-Inductance. IEEE Trans. Ind. Appl. 2021, 57, 814–823. [Google Scholar] [CrossRef]
- Wang, J.Z.; Liu, Z.; Feng, K.W.; Liu, J.J. An Adaptive Droop and Feedforward Control Based Transient Power Sharing and Decoupling Method for Grid-Forming Inverters in Islanded Microgrids. IEEE Trans. Ind. Electron. 2025, 72, 4800–4810. [Google Scholar] [CrossRef]
- Zhu, M.M.; Zhou, G.X.; Guo, L.; Song, N.R.; Wang, Y.P.; Lv, H.Z.; Chu, S. Energy Storage Converter Off-Grid Parallel Cooperative Control Based on CAN Bus. Electronics 2025, 14, 2010. [Google Scholar] [CrossRef]
- Wu, M.; Wu, C.; Wang, L.; Yuan, Y. Reactive Power Equalization Strategy for Islanded Microgrids Based on Improved Adaptive Droop Factor. Electronics 2025, 14, 1981. [Google Scholar] [CrossRef]
- Zhang, Z.; Gao, S.; Zhong, C.M.; Zhang, Z.Y. Accurate Active and Reactive Power Sharing Based on a Modified Droop Control Method for Islanded Microgrids. Sensors 2023, 23, 6269. [Google Scholar] [CrossRef]
- Peng, J.C.H.; Raman, G.; Soon, J.L.; Hatziargyriou, N.D. Droop-Controlled Inverters as Educational Control Design Project. IEEE Trans. Power Syst. 2022, 37, 1623–1633. [Google Scholar] [CrossRef]
- Tehrani, K.A. Conception, Synthèse et Application d’une Nouvelle Commande Robuste par PID Fractionnaire pour Les Onduleurs Multiniveaux; Institut National Polytechnique de Lorraine: Nancy, France, 2010. [Google Scholar]
- Tu, B.E.; Xu, X.L.; Gu, Y.F.; Deng, K.T.; Xu, Y.L.; Zhang, T.Y.; Gao, X.R.; Wang, K.N.; Wei, Q.J. Improved Droop Control Strategy for Islanded Microgrids Based on the Adaptive Weight Particle Swarm Optimization Algorithm. Electronics 2025, 14, 893. [Google Scholar] [CrossRef]


















| System Parameter | Values | 
|---|---|
| Microcontroller | DSPTMS320F28379D | 
| IGBT Module | STGW30V60DF | 
| Rated line to line RMS voltage level, U0 | 155 V | 
| Nominal frequency, f0 | 50 Hz | 
| LC filter, Rf, Lf, Cf | 0.1 Ω, 3 mH, 30 μF | 
| DC link voltage, Udc | 400 V | 
| Low-pass filter, ωr | 50 rad/s | 
| Switching frequency, fs | 10 kHz | 
| Line 1 impedance, R1, L1 | 0.05 Ω, 0.05 mH | 
| Line 2 impedance, R2, L2 | 0.1 Ω, 0.1 mH | 
| GP | 5 × 10−6 | 
| GQ | 4 × 10−5 | 
| Kpv, Kiv, Gi | 0.02, 30, 20 | 
| Lv | 5 mH | 
| kQ | 0.00027 | 
| Load1 R1, L1 | 10 Ω, 10 mH | 
| Load2 R2, L2 | 20 Ω, 15 mH | 
| System Operating Mode | Error/% | DG Parallel Operation | Change the Load | Change DG Unit | 
|---|---|---|---|---|
| Traditional control methods | Qerr_1 | 40.5% | 38.9% | 22.4% | 
| Qerr_2 | 30.8% | 27.6% | - | |
| The proposed method | Qerr_1 | 8.5% | 2.1% | 1.1% | 
| Qerr_2 | 6.9% | 2.6% | - | 
| System Operating Mode | Communication Mode | Scalability | Error/% | DG Parallel Operation | Change The Load | Change DG Unit | 
|---|---|---|---|---|---|---|
| Distributed adaptive virtual impedance control [25] | CAN Communication | Yes | Qerr_1 | 17.4% | 13.4% | 9.6% | 
| Qerr_2 | 16.5% | 11.7% | - | |||
| Weight particle swarm optimization algorithm [33] | No | No | Qerr_1 | 13.5% | 8.4% | 5.9% | 
| Qerr_2 | 11.4% | 6.8% | - | |||
| Equivalent input disturbance [7] | No | No | Qerr_1 | 18.6% | 15.4% | 12.1% | 
| Qerr_2 | 17.7% | 13.5% | - | |||
| AVIDC | No | Yes | Qerr_1 | 9.1% | 2.3% | 1.4% | 
| Qerr_2 | 7.6% | 3.1% | - | 
| Disclaimer/Publisher’s Note: The statements, opinions and data contained in all publications are solely those of the individual author(s) and contributor(s) and not of MDPI and/or the editor(s). MDPI and/or the editor(s) disclaim responsibility for any injury to people or property resulting from any ideas, methods, instructions or products referred to in the content. | 
© 2025 by the authors. Licensee MDPI, Basel, Switzerland. This article is an open access article distributed under the terms and conditions of the Creative Commons Attribution (CC BY) license (https://creativecommons.org/licenses/by/4.0/).
Share and Cite
Yang, H.; Sun, Z.; Wang, H.; Wang, Y.; Zhu, M.; Guo, L.; Zhou, G.; Lyu, H. Adaptive Virtual Impedance Droop Control of Parallel Inverters for Islanded Microgrids. Sensors 2025, 25, 5166. https://doi.org/10.3390/s25165166
Yang H, Sun Z, Wang H, Wang Y, Zhu M, Guo L, Zhou G, Lyu H. Adaptive Virtual Impedance Droop Control of Parallel Inverters for Islanded Microgrids. Sensors. 2025; 25(16):5166. https://doi.org/10.3390/s25165166
Chicago/Turabian StyleYang, Hongzhi, Zibo Sun, Haoran Wang, Yipei Wang, Mengmei Zhu, Lei Guo, Guangxu Zhou, and Hongzhang Lyu. 2025. "Adaptive Virtual Impedance Droop Control of Parallel Inverters for Islanded Microgrids" Sensors 25, no. 16: 5166. https://doi.org/10.3390/s25165166
APA StyleYang, H., Sun, Z., Wang, H., Wang, Y., Zhu, M., Guo, L., Zhou, G., & Lyu, H. (2025). Adaptive Virtual Impedance Droop Control of Parallel Inverters for Islanded Microgrids. Sensors, 25(16), 5166. https://doi.org/10.3390/s25165166
 
        



 
       