Next Article in Journal
Comparison of Techniques for Respiratory Rate Extraction from Electrocardiogram and Photoplethysmogram
Previous Article in Journal
The State of the Art and Potentialities of UAV-Based 3D Measurement Solutions in the Monitoring and Fault Diagnosis of Quasi-Brittle Structures
 
 
Font Type:
Arial Georgia Verdana
Font Size:
Aa Aa Aa
Line Spacing:
Column Width:
Background:
Article

Automatic Electric Tricycles Trajectory Tracking and Multi-Violation Detection

1
School of Qilu Transportation, Shandong University, Jinan 250062, China
2
Shandong Jinqu Design & Consulting Group Co., Ltd., Jianan 250014, China
*
Authors to whom correspondence should be addressed.
Sensors 2025, 25(16), 5135; https://doi.org/10.3390/s25165135
Submission received: 15 July 2025 / Revised: 5 August 2025 / Accepted: 14 August 2025 / Published: 19 August 2025
(This article belongs to the Section Vehicular Sensing)

Abstract

The escalating traffic violations associated with electric tricycles pose a critical challenge to urban traffic safety. It is important to automatically track the trajectories of electric tricycles and detect the multi-violations related to electric tricycles. This paper proposed an Electric Tricycle Object Detection (ETOD) model based on the custom-built dataset of electric tricycles. ETOD can successfully achieve real-time and accurate recognition and high-precision detection for electric tricycles. By integrating a multi-object tracking algorithm, an Electric Tricycle Violation Detection System (ETVDS) was developed. The ETVDS can detect and identify violations including speeding, passenger overloading, and illegal lane changes by plotting electric tricycle trajectories. The ETVDS can identify the conflicts related to electric tricycles in complex traffic scenarios. This work offers an effective technological solution for mitigating electric tricycle traffic violations in challenging urban environments.

1. Introduction

Electric tricycles are an important transportation method due to their intrinsic advantages: agility, convenience, affordability, energy efficiency, and environmental friendliness. Electric tricycles can effectively cater to the mobility requirements of vulnerable populations, including the elderly and disabled [1,2] and prove invaluable in sectors such as courier logistics [3], as shown in Figure 1a. Nevertheless, the proliferation of electric tricycles has caused critical traffic safety concerns, such as speeding and overloading, as shown in Figure 1b. Trajectory tracking and conflict detection are important for electric tricycle management [4].
Many studies have been conducted for object detection for common entities such as sedan [5,6], motorcycles [7], non-motorized vehicles [8], pedestrian [9,10], road feature [11,12,13], and traffic sign [14,15]. However, there is a notable void in studies related to electric tricycles. Unlike automobiles, electric tricycles come in a wide variety of types, including cargo, passenger, sanitation, and specialized vehicles. These different models vary in their structure, configuration, performance standards, and other aspects, which increases the difficulty of inspection.
The core objective of violation detection is to maintain traffic order and safety. Violation detection systems monitor traffic violations in real-time, deterring potential offenders, and ensuring road safety [16,17,18]. Simultaneously, they enhance law enforcement efficiency and promote compliant driving behavior. Furthermore, they facilitate the collection of crucial data [19,20,21], supporting the optimization of traffic management [22,23], and improving traffic flow, ultimately contributing to a safe and efficient road traffic environment. Despite these benefits, a significant gap persists in the application of violation detection to electric tricycles. Given the increasing importance of electric tricycles in the traffic environment, and the challenges posed by their diverse range of models, bridging this gap by developing violation detection technology specifically for electric tricycles has become a pressing and critical research area. This necessitates dedicated research efforts and specialized technical solutions.
This study presents an innovative intelligent supervision method for detecting electric tricycle traffic violations. Our primary contribution lies in the development of a two-fold approach: First, an electric tricycle object detection (ETOD) model was developed. For performance optimization, EfficientNet was used as the backbone network, achieving a balance between computational efficiency and accuracy. To improve small target detection, an extra detection head was added, significantly enhancing the recognition accuracy and robustness for electric tricycles and their occupants in complex environments. A sophisticated trajectory tracking algorithm was integrated with a multi-object association analysis model to form an advanced Electric Tricycle Violation Detection System (ETVDS). This integrated system directly empowers the accurate identification and monitoring of electric tricycle violations, offering a crucial tool for enhancing traffic order and safety.

2. Related Work

This section reviews related works from two perspectives: object detection and trajectory tracking.

2.1. Object Detection

Traditional object detection algorithms primarily rely on manually designed filter features. Those approaches typically involve extracting candidate boxes using a sliding window method, followed by feature extraction and classification. Non-maximum suppression (NMS) is employed to merge the candidate boxes, eliminating overlapping or redundant boxes to output the final results. Typical algorithms include V-J [24] (Viola-Jones), HOG + SVM [25], and DPM algorithms [26], among others.
The core concept of two-stage object detection algorithms is to divide the object detection task into two phases: first, generating region proposals (candidate regions), which can be produced through selective search or anchor-based methods, and then classifying these candidate regions and performing bounding box regression. Representative algorithms of this approach include the R-CNN series (R-CNN [27], Fast R-CNN [28], Faster R-CNN [29], and Mask R-CNN [30]).
In contrast, single-stage object detection algorithms integrate candidate region generation and object classification within a single network, offering higher detection speed. Single-stage detection algorithms can directly output detection classifications and box boundaries prediction successfully through a single processing pass. Therefore, these detection algorithms exhibit good detection speed and are suitable for mobile devices, while leaving sufficient structural space for adding algorithm modules to accommodate various application needs. Single-stage object detection algorithms can be categorized into four types: the entire YOLO (You Only Look Once) series [31], SSD [32], RetinaNet [33], and EfficientDet [34]. Since its inception, YOLO has developed to YOLOv11, with continuous improvements in its network structure and performance.

2.2. Trajectory Tracking

Trajectory tracking is mainly classified into two categories: single object tracking (SOT) and multi-object tracking (MOT) [35]. One of the main drawbacks of SOT algorithms is the ambiguity in associating detected objects with their corresponding trajectories. This ambiguity can lead to identity switches (incorrect tracking) due to multiple objects being physically close together temporarily, resulting in overlapping spatial measurements [36]. MOT algorithms address identity switching by employing data association to match detected objects with their respective trajectories, utilizing methods such as the Monte Carlo algorithm [37], multiple hypothesis tracking (MHT) [38], and joint probabilistic data association (JPDA) [39]. However, these algorithms are computationally complex and resource-intensive.
In 2016, A. Bewley et al. introduced the simple online and real-time tracker (SORT) algorithm, which uses a Kalman filter to track trajectories and a Hungarian algorithm for data association between frames [40]. This method matches targets in the current frame with tracked targets in previous frames by minimizing the association cost, thereby determining the identity and trajectory of the targets. The SORT algorithm offers accuracy and robustness comparable to other MOT algorithms while being computationally efficient and faster. SORT can effectively track targets with limited resources but faces challenges due to non-linear camera motion and re-identification. Wojke et al.’s DeepSORT [41] offers improvements by addressing these weaknesses. It introduces a deep learning model to extract appearance features of targets for nearest-neighbor matching during real-time object tracking, using recursive Kalman filtering and frame-by-frame Hungarian data association. This allows the tracker to maintain object tracking over longer occlusion periods while remaining lightweight and maintaining real-time capabilities [42].
To summarize, an intelligent traffic detection system effectively addresses the management challenges posed by electric tricycles through the strategic integration of object detection technologies for their precise identification and localization, complemented by multi-object tracking techniques that enable real-time monitoring of their dynamic behaviors and robust handling of occlusion challenges. This holistic approach presents an efficient and reliable solution. Consequently, the imperative to develop video-based recognition and tracking technologies specifically tailored for electric tricycles cannot be overstated; it is not merely of significant practical importance but a fundamental necessity for achieving enhanced traffic management efficiency and improved road safety.

3. Methodology

The ETOD model, trained on a custom-built electric tricycle dataset, is employed in this study. Subsequently, a multi-object tracking algorithm was integrated to create the ETVDS, enabling functionalities including electric tricycle recognition, trajectory tracking, and detecting passengers. A detailed schematic of the ETVDS is presented in Figure 2.

3.1. Model Construction

Electric tricycles, valued for their compact dimensions and maneuverability, are nevertheless prone to occlusions in intricate urban traffic environments, thus requiring high-performance object detection. To meet these demands for electric tricycle detection in complex scenes, we optimized the model by integrating a dedicated small object detection head to improve detection accuracy. Moreover, the adoption of EfficientNet as the backbone further enhances the model’s detection efficiency and accuracy. A schematic representation of the model architecture is provided in Figure 3.
The primary improvements implemented in our model are as follows:
(1) Lightweight design: Achieving a lightweight object detection model is crucial for enhancing computational efficiency and optimizing resource utilization. This is accomplished by refining the network architecture and parameter configuration, which significantly reduces computational complexity while preserving detection performance, ultimately leading to faster inference speeds [43]. In this study, EfficientNet was selected as the backbone of our model. EfficientNet is renowned for its efficient network architecture, primarily due to its advanced design and training methodologies. By employing automatic network architecture search and compound scaling strategies, EfficientNet effectively minimizes computational load and parameter count while maintaining high accuracy, thereby facilitating high efficiency inference across diverse devices [44].
Our model incorporates EfficientNetV2 as its backbone. EfficientNetV2, the second generation in the EfficientNet series, was initially presented by Google researchers at the 2021 ICML conference. This advanced iteration significantly improves the trade-off inherent in computational efficiency and model accuracy by combining Fused-MBConv blocks, an optimized neural architecture search, and progressive learning strategies [45]. A notable improvement in EfficientNetV2 is the ingenious design of Fused-MBConv. This addresses the bottleneck caused by the slow execution of depth-wise convolution (DWConv) within the MBConv modules of deeper networks, primarily due to insufficient hardware acceleration support. Conceptually, Fused-MBConv merges the 1 × 1 point-wise and DWConv operations of the MBConv module into a single, efficient 3 × 3 standard convolution (as visually represented in Figure 3). Critically, this fusion strategy is most effective when applied predominantly in the initial stages of the network, rather than as a complete replacement throughout all layers. Based on thorough experimental comparisons, this paper ultimately adopts the ETOD version, with its precise structural configuration detailed in Figure 3.
(2) Addressing small object detection challenges: In road surveillance imagery, electric tricycles inherently present as small-scale objects relative to other common detection targets. Conventional multi-scale feature fusion strategies, commonly employed in most object detection architectures, often prove inadequate for the precise localization of such small objects [46]. Standard configurations typically incorporate three detection heads operating on feature maps of sizes 80 × 80, 40 × 40, and 20 × 20, designed to detect objects of approximate scales 8 × 8, 16 × 16, and 32 × 32 pixels or larger, respectively. Nevertheless, the intrinsic detection capability for truly tiny objects remains a significant challenge. To mitigate this, we augmented the model with an additional detection head by leveraging a new 160 × 160 feature map. This new head is specifically configured to identify targets as small as 4 × 4 pixels, thereby substantially bolstering the model’s performance on small object detection. The integration point of this novel detection head is visually represented as the red component in Figure 3.

3.2. Multi-Object Tracking

The core of multiple-object tracking (MOT) algorithms centers on the integration of target appearance features and motion cues, along with optimized target matching strategies. By combining detection outputs with techniques such as the Hungarian algorithm and Kalman filtering, the system enables continuous and robust tracking of multiple targets. Specifically, the MOT process involves three primary steps: (1) target detection and feature extraction; (2) data association, utilizing the Hungarian algorithm to establish optimal matches and maintain track trajectories; and (3) trajectory management. The overall workflow is summarized in Algorithm 1.
Algorithm 1: Multiple-Object Tracking Algorithm
Input:
      tracks: List of Track objects (initially empty)
      detection_list: List of Detection objects in the current frame
Initialization:
      for each detection in detection_list:
            track = Create_Track(detection.bounding_box)  // Create a new Track object
            track.state = ‘unconfirmed’
            Append track to tracks
Processing each frame:
      1. Prediction step:
            for each track in tracks:
                   track.predicted_state = Kalman_Predict(track.state)  // Kalman filter prediction
                   track.predicted_box = Project_to_Image(track.predicted_state)
      2. Cost matrix calculation:
            cost_matrix = Create_Cost_Matrix(tracks, detection_list)
            /*Cost_Matrix(i, j) = Cost of associating track i with detection j */
      3. Data association:
            (matched_tracks, unmatched_tracks, unmatched_detections) = Hungarian_Algorithm(cost_matrix, tracks, detection_list)
            /*
            matched_tracks: List of (track_index, detection_index) tuples
            unmatched_tracks: List of track indices
            unmatched_detections: List of detection indices
            */
      4. Update tracks:
            // Update matched tracks
            for (track_index, detection_index) in matched_tracks:
                   track = tracks[track_index]
                   detection = detection_list[detection_index]
                   Update_Track(track, detection)
            // Handle unmatched tracks
            for track_index in unmatched_tracks:
                   track = tracks[track_index]
                   if track.state == ‘unconfirmed’:
                         // Delete unconfirmed tracks
                         Remove track from tracks
                   else:
                         track.age += 1 // Increment age for potential deletion later
                         if track.age > max_age:        //max_age = 30 frames
                               Remove track from tracks
            // Handle unmatched detections
            for detection_index in unmatched_detections:
                   detection = detection_list[detection_index]
                   track = Create_Track(detection.bounding_box)
                   track.state = ‘unconfirmed’
                   Append track to tracks
      5. State update:
            for track in tracks:
                   if track.state == ‘confirmed’ or track.age < min_hits:   //min_hits = 3 frames
                         track.state = ‘confirmed’   // Tracks must be matched for min_hits before confirmation
                   else:
                         track.state = ‘tentative’      // Marks as temporary before removal
Output:
      Return tracks  // List of all Track objects (containing confirmed, tentative, and unconfirmed tracks)

3.3. Violation Detection Methods

This study develops an Electric Tricycle Vehicle Detection System (ETVDS) that combines an ETOD model with multi-object tracking to achieve high-accuracy, real-time detection and tracking of electric tricycles. The ETVDS, operating in complex traffic environments, enables the detection of traffic violations such as speeding and overloading via functionalities like passenger counting, trajectory plotting, and speed measurement.

3.3.1. Passenger Counting Function

The passenger counting methodology primarily relies on the ETOD model’s real-time object detection capacity for electric tricycles and pedestrians. The initial step involves detecting all electric tricycles and rendering their respective bounding boxes. To accurately identify passengers, a hierarchical thresholding scheme based on intersection over union (IoU) is then applied:
(1)
Spatial overlap assessment (CIOU): A “co-occurrence IoU“ (CIOU) threshold is defined to quantify the degree of spatial overlap between the detection boxes of electric tricycles and pedestrians. This serves as a primary filter for potential passenger candidates.
(2)
Positional proximity tracking (WIOU): Following the CIOU filtering, a robust multi-object tracking algorithm is utilized to continuously monitor and compare the relative spatial positions of pedestrians and electric tricycles. A “wound IoU“ (WIOU) threshold is then established, which rigorously evaluates their sustained positional proximity, indicating a consistent physical relationship.
(3)
Temporal consistency verification (TIOU): The final criterion is a “temporal IoU“ (TIOU) threshold. This critical threshold is met only when the CIOU and WIOU conditions are continuously satisfied for a predefined duration, thereby confirming a stable and prolonged association between a pedestrian and an electric tricycle.
A pedestrian is registered as a passenger and their bounding box displayed for counting only if all three IoU thresholds—CIOU, WIOU, and TIOU—are concurrently fulfilled. The mathematical formulation governing this process is presented subsequently.
Based on the ETOD model for object detection, the positions and categories of targets are identified, with each target’s bounding box represented by the center coordinates (x, y), width w, and height h. The duplication rate of the detection boxes for electric tricycles and pedestrians is as follows:
C I O U = w p × h p w vt × h vt w p × h p
In the formula, CIOU is represented as the duplicate IOU; w p is the width of the pedestrian’s bounding box; h p is the height of the pedestrian’s bounding box; w vt is the width of the electric tricycle’s bounding box; and h vt is the height of the electric tricycle’s bounding box.
W I O U = x p t x d t 2 + y p t y d t 2
where WIOU is represented as position IOU; (x, y) are the center coordinates of the bounding box; p represents the pedestrian; and d represents the electric tricycle.

3.3.2. Trajectory Plotting Function

Based on multi-object tracking algorithms [47], the trajectory management function enables the retrieval and display of electric tricycle trajectory information.
Using the ETOD model, obtain the position information of each target, including the center coordinates (x, y). Apply the multi-object tracking algorithm to track the detected targets, with each detected target being assigned a unique ID, as shown in the following formula.
B o x 1 = ( x 1 , y 1 )
In the formula, Box represents a set; 1 is the unique ID information of the target; and (x1, y1) are the center coordinates of the target.
Additionally, the position information of each target is stored for subsequent tracking, as shown in the following formula:
T rack _ h i s t o r y 1 = B o x 1 , B o x 2 , B o x m T rack _ h i s t o r y n = B o x 1 , B o x 2 , B o x m
In the formula, m represents the number of targets, and n represents the different frames of the video.
The historical position information of each target is extracted, as shown in the following formula:
T rack _ h i s t o r y 1 = B o x 1 1 , B o x 1 2 , B o x 1 n T rack _ h i s t o r y m = B o x m 1 , B o x m 2 , B o x m n
Based on the historical position information of each target, the trajectory of the target is drawn.

3.3.3. Speed Calculation Function

Based on the target detection capability of the ETOD model, the length or width data of known targets is set [48], and a precise conversion between pixel coordinates and world coordinates is performed based on the pixel data of the detected targets in the video.
First, for each common vehicle ID, the pixel distance between two frames is calculated. This distance is obtained using the Euclidean distance formula, as shown in the following equation:
pixel _ distance = x 2 x 1 2 + y 2 y 1 2
Obtain the actual width of the current target and the detected width. Since the model is applicable to roadside monitoring systems, most cameras are fixed cameras. Therefore, the actual width (real_width) is set based on real-world conditions, while the detected width (line_width) is obtained from the current frame data. The speed is calculated using the following formula (in km/h).
speed _ kmh = pixel _ distance × real _ width line _ width × fps × 3 . 6
This model not only effectively identifies and addresses violations by electric tricycles but also provides valuable data support for future traffic management. As research continues to deepen, this model is expected to play an increasingly important role in future traffic management.

4. Data Collection and Processing

4.1. Data Collection

Effective model training critically depends on robust data collection, which directly determines the resultant model’s performance. In this study, we constructed a comprehensive and representative dataset through a tripartite collection strategy, meticulously designed to capture the unique traffic dynamics pertinent to our research. The three primary data sources include (1) web scraping, (2) real-time surveillance footage acquired from existing urban intersection cameras, and (3) bespoke on-site data captured by the research team. These sources are further detailed in Table 1.
This study’s data collection focused on Lixia District, Jinan City, which is geographically bounded by Jingshi Road to the north, Qingnian East Road and Luowen Road to the west, Shunhe Elevated Road to the east, and Luoyuan Street to the south. This specific area was prioritized for data acquisition due to its demographic characteristics, notably encompassing three schools and exhibiting a high population density. Such attributes contribute to a pronounced use of electric tricycles for child transport, rendering this region highly representative for our research objectives. A more comprehensive visualization of this critical data collection area is provided in Figure 4.
The first component of our multi-source strategy involved web-scraped data acquisition. Images specifically featuring electric tricycles were acquired via the Baidu search engine, leveraging keywords such as “electric tricycle,” “tricycle,” and “electric vehicle.” To broaden the contextual diversity of the dataset, images of cars and pedestrians from the COCO dataset were subsequently incorporated. This combination yielded a substantial number of high-resolution, diverse traffic scene images featuring electric tricycles alongside other relevant objects, including various vehicles, pedestrians, and traffic lights. These richly annotated scenes are inherently well-suited for deep learning model training. However, it is crucial to acknowledge the inherent limitations of web-scraped data, including potential copyright infringements and inconsistencies in data quality. Consequently, strict adherence to all applicable legal regulations and ethical guidelines was maintained throughout this data collection process.
As the second data source, real-time video streams from urban intersection cameras were accessed, specifically focusing on five designated intersections within the study area. Traffic events of interest were meticulously identified and manually segmented from these continuous video streams. Subsequently, individual frames were programmatically extracted using Python (v3.12), resulting in a static image dataset enriched with diverse traffic signs, vehicles, and pedestrian activity. Before further processing, all camera data underwent stringent standardization to enhance data integrity and protect sensitive information. This preprocessing included denoising techniques and brightness normalization, ensuring data consistency while mitigating potential privacy concerns.To ensure the privacy of all data, facial blurring has been applied to data containing individuals.
Finally, recognizing a potential data deficit and the need for scene specificity, supplemental on-site data were collected through dedicated filming by the project team directly within the defined area of interest. This independent capture of real-world traffic conditions aimed to provide data reflecting the unique characteristics of the target environment, thereby enriching the model with diverse and localized scene information. To maximize the model’s generalization capabilities, significant emphasis was placed on ensuring the representativeness of the filmed scenarios, carefully avoiding the introduction of artificial effects or biases in the spatiotemporal distribution of the collected data. This comprehensive on-site data collection process is also illustrated in Figure 4.

4.2. Data Processing

The initial phase of our methodology involved systematic data acquisition and comprehensive preprocessing. This crucial step aimed to significantly enhance both the quality and diversity of the collected data, a critical prerequisite for achieving effective model training and rigorous testing.
Data cleaning was the first priority, meticulously removing blurry, redundant, and irrelevant images to ensure the dataset’s fidelity in capturing the intricate nature of the research subjects. This was followed by essential data preprocessing and thorough quality assurance, which included standardized resizing, consistent format conversion, and the careful exclusion of any distorted images. Concurrently, a structured basic information database was developed to efficiently catalog and manage the dataset’s metadata.
The data annotation and segmentation phase commenced. Target objects within the images were meticulously labeled using LabelImg software(v1.3.1), precisely specifying their locations and categories. This detailed annotation was vital for ensuring the data’s usability and suitability for subsequent model training. The labeling task was executed by a dedicated four-member team, employing a rigorous two-step process: an initial annotation by one subgroup, followed by a thorough verification by another, thereby ensuring high data quality and consistency. Upon completion of annotation, the dataset was strategically partitioned into distinct training, validation, and testing sets to guarantee fairness and representativeness, and to facilitate unbiased model evaluation.
To further enrich the training dataset’s variability and representativeness, data augmentation techniques were extensively applied. This involved implementing various geometric transformations, such as random cropping, rotation, and flipping, alongside colorimetric variations, including brightness adjustments. As illustrated in Figure 5, these synthetic expansions of the training data are designed to bolster the model’s generalization capabilities.
This comprehensive suite of data processing and optimization methods not only ensures the dataset’s integrity and uniformity but also establishes a stable and robust platform for both model training and validation, ultimately contributing to the improved robustness and generalization ability of the resulting predictive model. The overall outcomes of this multi-faceted data processing pipeline are visually summarized in Figure 6.

5. Results

5.1. Model Training and Testing

We meticulously collected and organized a high-quality dataset comprising electric tricycles, pedestrians, and various vehicles. This comprehensive dataset was subsequently partitioned into a training set (70%) and a test set (30%).
For model training, we selected several representative object detection models known for their distinct strengths in optimizing detection performance from various perspectives. Specifically, chosen architectures included FCOS, EfficientDet, RT-DETR, YOLOv8,, and our improved ETOD model. FCOS and EfficientDet were chosen for their high detection accuracy in complex scenarios, while RT-DETR and YOLOv8 are recognized for their superior real-time detection capabilities. The ETOD model, a modified version tailored for electric tricycle detection, was specifically designed to further enhance detection efficacy for this task.
Each model underwent 100 epochs of training, with a batch size of 32 images. All image samples were uniformly resized to a resolution of 640 × 640 pixels. To mitigate overfitting and optimize model performance, a stringent early stopping strategy was implemented: training was terminated prematurely if validation metrics showed no improvement for 20 consecutive epochs. Upon the completion of training, the models were comprehensively evaluated using standard metrics such as precision, recall, and mean average precision (mAP) to thoroughly assess their performance.The specific parameters are as shown in Table 2.

5.2. Model Performance Verification

The models were trained using the curated dataset, and comparative performance is summarized in Figure 7. Notably, the modified ETOD model demonstrates superior accuracy, achieving this performance with a remarkably compact size of only 5.1 MB. This reduced model size offers substantial advantages in terms of resource efficiency.
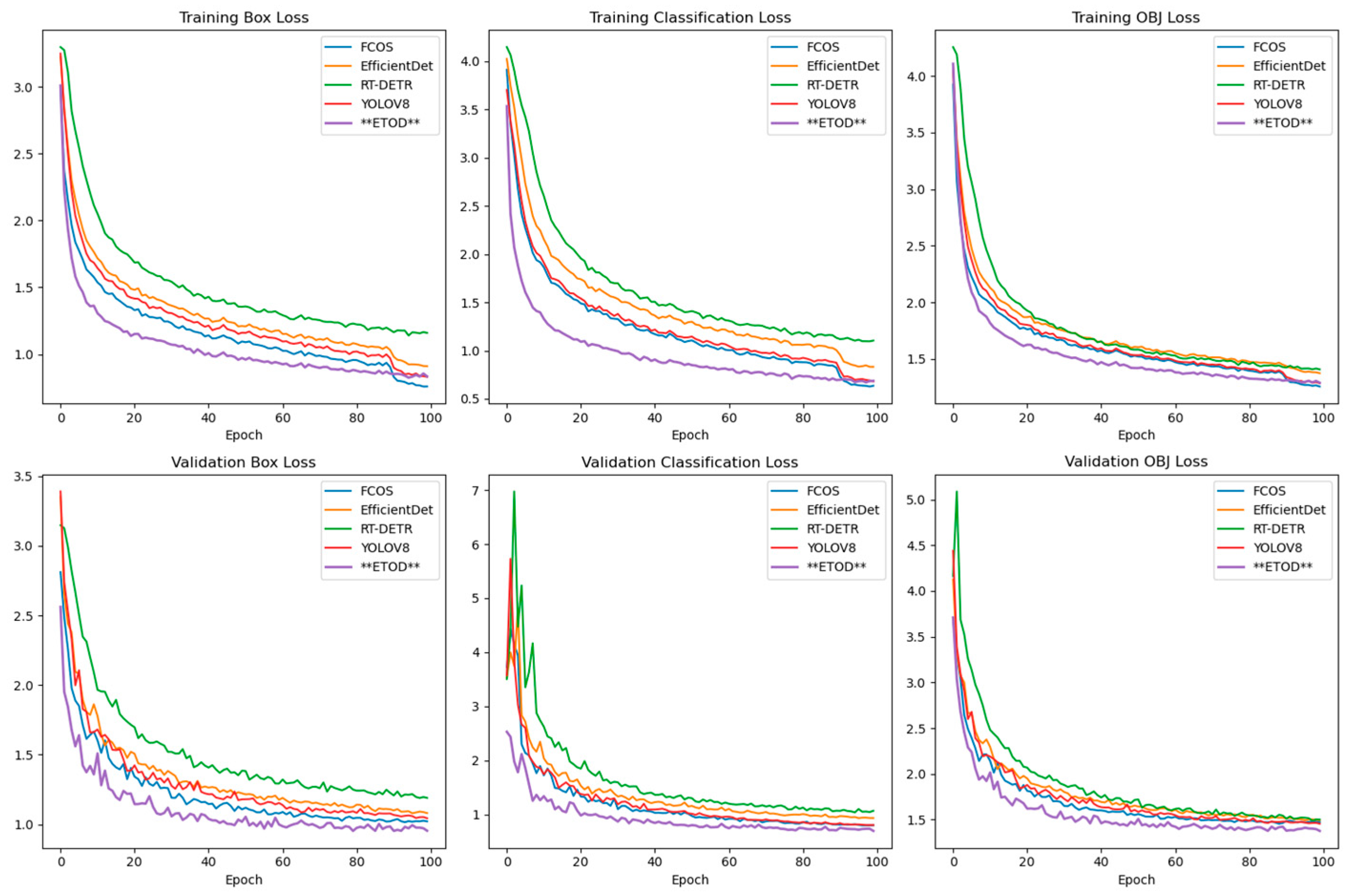
As evidenced by the linear trends in Figure 8, the box loss, classification loss, and distribution focal loss consistently decrease throughout both the training and validation phases. These reductions correlate with improved accuracy in bounding box prediction, object classification, and confidence score estimation. Notably, the ETOD model demonstrates a steeper decline, suggesting superior convergence and potentially higher performance compared to the other models.
Although the accuracy of individual models exhibits some fluctuation, the overall trend indicates a gradual improvement in the ability to recognize vehicles. The recall rate, while variable, also generally trends upward, suggesting an enhanced capability to consistently detect targets. Notably, the mean average precision (mAP) at IoU thresholds of 0.50 (mAP@50) and 0.50–0.95 (mAP@50–95) demonstrates significant improvement throughout the training duration, confirming a substantial increase in both the accuracy and reliability of the models. The ETOD model exhibits a greater initial rate of improvement compared to the other models, although its rate diminishes in later stages, converging towards the performance levels of the others. However, as evidenced by the metrics presented in Figure 9 the overall performance of the ETOD model remains significantly superior. This superior performance, combined with its faster initial training gains, justifies the selection of the ETOD model for electric tricycle object detection in this research.
Motivated by practical application needs, this paper conducts detection experiments in three representative scenarios, with results presented in Figure 10. The comparison of detection results between the ETOD model and other algorithms reveals that ETOD achieves more accurate object recognition of irregular electric tricycles. In complex occlusion scenarios, ETOD also exhibits higher detection accuracy. Notably, in load-carrying scenarios, the detection performance of ETOD significantly surpasses that of comparative methods such as FCOS, EfficientDet, and RT-DETR. These results demonstrate the superior performance of the proposed ETOD model for electric tricycle detection, particularly exhibiting increased robustness and reliability in challenging real-world conditions.
Comparing the base model and the ETOD model, in terms of model performance, the ETOD model significantly reduces the model size (only 5.1 MB) while maintaining high accuracy, and demonstrates faster convergence speed and more stable performance improvement during training. The ETOD model demonstrates exceptional performance in electric tricycle detection, boasting superior accuracy and a lower false negative rate. Even in complex occlusion scenarios, the ETOD model excels, effectively identifying partially obscured targets. These results indicate that the ETOD model possesses stronger robustness and reliability when handling complex scenarios commonly encountered in real-world applications, providing an efficient and reliable solution for intelligent electric tricycle detection.

5.3. Model Detection Results Validation

The model’s precision was assessed through a confusion matrix. The precision for electric tricycles reaches 0.94, indicating that 94% of instances in this category are accurately identified, with only 6% being false positives classified as background. In contrast, the precision for pedestrians and cars is only 53% and 66%, respectively. This is primarily due to the lower accuracy of the COCO dataset for these other models [49]. Overall, the model demonstrates good precision.As shown in Figure 11.
Figure 12 effectively illustrates the intricate relationship between precision, recall, and the specified confidence thresholds. A particularly salient finding is the attainment of a perfect precision score (1.00) when the confidence threshold surpasses 0.934. This signifies that, at such a stringent threshold, all positive predictions made by the model are unequivocally accurate, indicating the complete absence of false positives.
Conversely, recall performance exhibits substantial variability with the manipulation of the confidence threshold. Intriguingly, recall is observed to be 0.000 when the confidence threshold is less than 0.87. However, precisely at a threshold of 0.87, the model achieves a perfect recall score of 1.00. This remarkable performance at this specific point underscores the model’s capability to correctly identify and retrieve all actual target instances.
The precision–recall (PR) curve (implicitly, if displayed as in Figure 12) is instrumental in elucidating the inherent trade-off between precision and recall: typically, a pursuit of higher recall may lead to a decrease in precision, and vice versa. A PR curve that closely approaches the upper-right corner of the plot is indicative of superior model performance, demonstrating its capacity to achieve simultaneously high levels of both precision and recall. In this context, the presented PR curve affirms the model’s robust prediction capabilities, achieving an impressive mean average precision (mAP@0.5) of 0.759 across all object categories. This metric further accentuates the model’s excellent overall object detection efficacy.
Furthermore, the F1 curve serves as a comprehensive metric for evaluating the combined performance of precision and recall. The F1 score, calculated as the harmonic mean of these two metrics, ranges from zero to one. Notably, at a confidence threshold of 0.402, the model yields an F1 score of 0.74, which provides a holistic assessment of its detection accuracy and recall ability.
In conclusion, the model demonstrates exceptional proficiency in electric tricycle detection. The combined high precision of 94%, a respectable mAP@0.5 of 0.759, and a solid F1 score of 0.74 collectively affirm its outstanding object detection capabilities.

5.4. Multi-Target Tracking Verification

Based on the constructed ETOD model, we implemented multi-object tracking by integrating it with a multi-object tracking algorithm. It was evaluated using three traffic intersection detection videos, all filmed by researchers on traffic roads in Jinan, Shandong. The video information is shown in Table 3 below.
To validate the multi-object tracking performance of the model, team members manually collected the actual data of electric tricycles and other detected targets from the test videos. These data were then cross-verified with the number of detected targets and trajectories obtained from the code output. Vehicle detection performance and validation were further assessed using recall rate and precision metrics. The results are shown in Table 4.
The results show that the trajectory construction accuracy of electric tricycles reached over 90% in all three test videos. The accuracy for pedestrians and cars was relatively lower, which may be related to the relatively lower object recognition accuracy of the preceding ETOD model. The ETOD model demonstrates strong performance in multi-object tracking tasks, particularly excelling in the trajectory tracking of electric tricycles.

5.5. Violation Detection

Leveraging a target detection model trained within the ETOD framework, in conjunction with multi-object tracking algorithms, we developed the Electric Tricycle Violation Detection System (ETVDS). The system encompasses methodologies for passenger counting, trajectory plotting, and speed determination. The results are shown in Figure 13.
Heatmaps offer an intuitive means of understanding the regions of an image most salient to the model’s decision-making process. By examining the heatmap, one can identify regions in the feature map exhibiting elevated activation values, thus gaining insight into the features to which the model directs its attention. As illustrated in Figure 13, for electric tricycle detection, the area surrounding the front wheel exhibits a high activation value, suggesting this region is a critical feature for accurate object identification.
The electric tricycle violation detection method demonstrates proficiency in basic object tracking and trajectory analysis. However, the accuracy of passenger counting is notably reduced. This is primarily due to limitations imposed by data acquisition during winter. The implementation of cold-weather protective measures, such as coverings, on electric tricycles significantly occludes the view of passengers. Furthermore, certain electric tricycle models exhibit structural elements that contribute to visual obstruction, thereby hindering the accuracy of the passenger counting method and leading to suboptimal passenger recognition.

6. Conclusions

This paper introduces ETOD (Enhanced Tracking and Detection for Electric Tricycles), a lightweight (5.1 MB) model designed for improved object detection and multi-object tracking, specifically targeting electric tricycle-related violations. ETOD demonstrates exceptional performance in electric tricycle detection, achieving a 94% accuracy rate, even in complex occlusion scenarios. By integrating a multi-object tracking algorithm, ETOD achieves over 90% accuracy in tracking electric tricycle trajectories, although tracking precision for pedestrians and other vehicles is comparatively lower. Building upon these advancements, this study successfully develops a violation detection system for electric tricycles, capable of tasks such as passenger counting (with minimal impact from occlusions), trajectory visualization, and speed measurement. This system offers an efficient solution for electric tricycle management and contributes to the development of smart cities and advanced transportation infrastructure.
While promising, the current research presents several limitations that future work will address. First, the current dataset is relatively small, representing specific environmental conditions with limited seasonal sample data, potentially impacting the model’s generalization capabilities. Future efforts will focus on expanding the dataset to encompass a wider range of "scenarios," further optimizing model performance under diverse conditions. Second, the current speed detection method relies on a known target length and operates effectively only at fixed angles. Future research will explore improved methodologies, incorporating techniques like depth estimation, to enhance accuracy and broaden the applicability of speed detection in more dynamic and variable environments. Finally, the model’s passenger counting functionality is relatively weak. Through the incorporation of algorithms such as pose estimation, continuous optimization of the ETOD model’s underlying structure and algorithms will be pursued to further enhance its detection accuracy and efficiency. These advancements will significantly contribute to the effective management of electric tricycles and the broader advancement of intelligent transportation systems.

Author Contributions

Conceptualization, L.G. and J.W.; methodology, L.G.; software, L.G.; validation, Y.T., B.X. and B.Y.; formal analysis, L.G.; investigation, B.Y. and G.Z.; resources, J.W. and Y.T.; data curation, L.G. and B.X.; writing—original draft preparation, L.G.; writing—review and editing, L.G. and J.W.; visualization, L.G.; supervision, Y.T.; project administration, Y.T.; funding acquisition, J.W. and Y.T. All authors have read and agreed to the published version of the manuscript.

Funding

This work was supported in part by the City-University Integration Development Strategy Project of Jinan under grant JNSX2024008, and in part by the Taishan Scholars Project.

Informed Consent Statement

Not applicable.

Data Availability Statement

The data for this study come from two main sources: 1. Due to the confidentiality agreement, the first dataset, of electric tricycles, is not available. This dataset consists of actual traffic images from the project team and cannot be shared. 2. The second source contains publicly available data in public repositories: COCO2017.

Conflicts of Interest

The author Bo Yu was employed by the Shandong Jinqu Design & Consulting Group Co., Ltd. The author Geng Zhao was employed by the Shandong Jinqu Design & Consulting Group Co., Ltd. All authors declare that the research was conducted in the absence of any commercial or financial re-lationships that could be construed as a potential conflict of interest.

References

  1. Swapna, S.; Naidu, K.S. Design of Hybrid Electrical Tricycle for Physically Challenged Person. Intell. Comput. Eng. 2020, 1125, 789–801. [Google Scholar]
  2. Febritasari, R.; Batan, I.M.L. Tricycle with an Electric Drive Mechanism for Post-stroke Rehabilitation. Recent Adv. Mech. Eng. 2022, 121–139. [Google Scholar] [CrossRef]
  3. Zhang, Y.; Chen, J.; Li, X.; Zhong, M. Exploring logistics dispatcher’s preference in electric tricycle related policies: The case of China. J. Clean. Prod. 2019, 230, 835–843. [Google Scholar] [CrossRef]
  4. Dogra, A.K.; Sharma, V.; Sohal, H. A survey of deep learning techniques for detecting and recognizing objects in complex environments. Comput. Sci. Rev. 2024, 54, 100686. [Google Scholar] [CrossRef]
  5. Nguyen, P.; Quach, K.G.; Duong, C.N.; Phung, S.L.; Le, N.; Luu, K. Multi-camera multi-object tracking on the move via single-stage global association approach. Pattern Recognit. 2024, 152, 110457. [Google Scholar] [CrossRef]
  6. Tiwari, A.K.; Sharma, G.K. FS-3DSSN: An efficient few-shot learning for single-stage 3D object detection on point clouds. Vis. Comput. 2024, 40, 8125–8139. [Google Scholar] [CrossRef]
  7. Dequito, C.J.M.; Dichaves, I.J.L.; Juan, R.J.G.; Minaga, M.Y.K.T.; Ilao, J.P.; Cordel, M.O.; Del Gallego, N.P.A. Vision-based bicycle and motorcycle detection using a YOLO-based Network. J. Phys. Conf. Ser. 2021, 1922, 012003. [Google Scholar] [CrossRef]
  8. Wang, W.; Zhou, H.; Lo, J.T.Y.; Lo, S.M.; Wang, Y. A modified social force model for pedestrian-bicycle mixed flows and its application on evaluating the conflict risk in shared roads. Phys. A Stat. Mech. Its Appl. 2024, 643, 129788. [Google Scholar]
  9. Yao, B.; Liu, S.; Wang, L. Using machine learning approach to construct the people flow tracking system for smart cities. Comput. Sci. Inf. Syst. 2023, 20, 679–700. [Google Scholar] [CrossRef]
  10. Esmaeil Abbasi, A.; Mangini, A.M.; Fanti, M.P. Object and Pedestrian Detection on Road in Foggy Weather Conditions by Hyperparameterized YOLOv8 Model. Electronics 2024, 13, 3661. [Google Scholar] [CrossRef]
  11. Hoanh, N.; Vu Pham, T. A Multi-Task Framework for Car Detection From High-Resolution UAV Imagery Focusing on Road Regions. IEEE Trans. Intell. Transp. Syst. 2024, 25, 17160–17173. [Google Scholar] [CrossRef]
  12. Gao, C.; Zhao, F.; Zhang, Y.; Wan, M. Research on multitask model of object detection and road segmentation in unstructured road scenes. Meas. Sci. Technol. 2024, 35, 065113. [Google Scholar] [CrossRef]
  13. Wiseman, Y. Real-Time Monitoring of Traffic Congestions. In Proceedings of the IEEE International Conference on Electro Information Technology, Lincoln, NE, USA, 14–17 May 2017; pp. 501–505. [Google Scholar]
  14. Zhang, J.; Yi, Y.; Wang, Z.; Zhang, J.; Alqahtani, F.; Wang, J. Learning multi-layer interactive residual feature fusion network for real-time traffic sign detection with stage routing attention. J. Real-Time Image Process. 2024, 21, 176. [Google Scholar] [CrossRef]
  15. Wang, Y.; Chen, X.; Ji, Z.; Dong, M.; Gao, M.; Lai, C.S. Vehicle-Mounted Adaptive Traffic Sign Detector for Small-Sized Signs in Multiple Working Conditions. IEEE Trans. Intell. Transp. Syst. 2024, 25, 710–724. [Google Scholar] [CrossRef]
  16. Bei, R.; Du, Z.; Lyu, N.; Yu, L.; Yang, Y. Exploring the Mechanism for Increased Risk in Freeway Tunnel Approach Zones: A Perspective on Temporal-spatial Evolution of Driving Predictions, Tasks, and Behaviors. Accid. Anal. Prev. 2025, 211, 107914. [Google Scholar] [CrossRef]
  17. Wen, J.; Lyu, N.; Zheng, L. Exploring safety effects on urban expressway diverging areas: Crash risk estimation considering extreme conflict types. Int. J. Inj. Control. Saf. Promot. 2024, 32, 25–39. [Google Scholar] [CrossRef] [PubMed]
  18. Wang, Y.; Lyu, N.; Wen, J. Modeling Risk Potential Fields for Mandatory Lane Changes in Intelligent Connected Vehicle Environment. Expert Syst. Appl. 2024, 255, 124814. [Google Scholar] [CrossRef]
  19. Xu, S.; Cui, K. YOLO-EFM: Efficient traffic flow monitoring algorithm with enhanced multi-level information fusion. Results Eng. 2025, 26, 105545. [Google Scholar] [CrossRef]
  20. Azimjonov, J.; Özmen, A.; Kim, T. A nighttime highway traffic flow monitoring system using vision-based vehicle detection and tracking. Soft Comput. 2023, 27, 13843–13859. [Google Scholar] [CrossRef]
  21. Shirpour, M.; Khairdoost, N.; Bauer, M.A.; Beauchemin, S.S. Traffic Object Detection and Recognition Based on the Attentional Visual Field of Drivers. IEEE Trans. Intell. Veh. 2023, 8, 594–604. [Google Scholar] [CrossRef]
  22. Zhang, Z.; Zhang, Q.; Liu, H.; Gao, Y.; Wang, L. Artificial intelligence-based model for efficient object detection in autonomous vehicles. J. Intell. Transp. Syst. 2025, 1–12. [Google Scholar] [CrossRef]
  23. Xie, C.; Lin, C.; Zheng, X.; Gong, B.; Liu, H. Dense Sequential Fusion: Point Cloud Enhancement Using Foreground Mask Guidance for Multimodal 3-D Object Detection. IEEE Trans. Instrum. Meas. 2024, 73, 9501015. [Google Scholar] [CrossRef]
  24. Viola, P.; Jones, M. Rapid object detection using a boosted cascade of simple features. In Proceedings of the 2001 IEEE Computer Society Conference on Computer Vision and Pattern Recognition (CVPR), Kauai, Hawaii, 8–14 December 2001. [Google Scholar]
  25. Dalal, N.; Triggs, B. Histograms of oriented gradients for human detection. In Proceedings of the 2005 IEEE Computer Society Conference on Computer Vision and Pattern Recognition (CVPR), San Diego, CA, USA, 20–26 June 2005; Volume 1, pp. 886–893. [Google Scholar]
  26. Felzenszwalb, P.F.; McAllester, D.; Ramanan, D.; Girshick, R.B. Object Detection with Discriminatively Trained Part-Based Models. IEEE Trans. Pattern Anal. Mach. Intell. 2010, 32, 1627–1645. [Google Scholar] [CrossRef]
  27. Girshick, R.; Donahue, J.; Darrell, T.; Malik, J. Rich Feature Hierarchies for Accurate Object Detection and Semantic Segmentation. In Proceedings of the 2014 IEEE Conference on Computer Vision and Pattern Recognition (CVPR), Columbus, OH, USA, 23–28 June 2014; pp. 580–587. [Google Scholar]
  28. Girshick, R. Fast R-CNN. In Proceedings of the 2015 IEEE International Conference on Computer Vision (ICCV), Lisbon, Portugal, 13 December 2015; pp. 1440–1448. [Google Scholar]
  29. Ren, S.; He, K.; Girshick, R.; Sun, J. Faster R-CNN: Towards Real-Time Object Detection with Region Proposal Networks. IEEE Trans. Pattern Anal. Mach. Intell. 2017, 39, 1137–1149. [Google Scholar] [CrossRef] [PubMed]
  30. He, K.; Gkioxari, G.; Dollár, P.; Girshick, R. Mask R-CNN. IEEE Trans. Pattern Anal. Mach. Intell. 2020, 42, 386–397. [Google Scholar] [CrossRef]
  31. Redmon, J.; Divvala, S.; Girshick, R.; Farhadi, A. You Only Look Once: Unified, Real-Time Object Detection. In Proceedings of the 2016 IEEE Conference on Computer Vision and Pattern Recognition (CVPR), Las Vegas, NV, USA, 27–30 June 2016; pp. 779–788. [Google Scholar]
  32. Liu, W.; Anguelov, D.; Erhan, D.; Szegedy, C.; Reed, S.; Fu, C.Y.; Welling, M. SSD: Single Shot MultiBox Detector, Computer Vision—ECCV 2016, (ECCV2016). Lect. Notes Comput. Sci. 2016, 9905, 21–37. [Google Scholar]
  33. Lin, T.; Goyal, P.; Girshick, R.; He, K.; Dollar, P. Focal Loss for Dense Object Detection. IEEE Trans. Pattern Anal. Mach. Intell. 2020, 42, 318–327. [Google Scholar] [CrossRef]
  34. Tan, M.; Pang, R.; Le, Q.V. EfficientDet: Scalable and Efficient Object Detection. In Proceedings of the 2020 IEEE/CVF Conference on Computer Vision and Pattern Recognition (CVPR), Seattle, WA, USA, 14–19 June 2020; pp. 10778–10787. [Google Scholar]
  35. Rakotoniaina, Z.A.T.; Chelbi, N.E.; Gingras, D.; Faulconnier, F. LIV-DeepSORT: Optimized DeepSORT for Multiple Object Tracking in Autonomous Vehicles Using Camera and LiDAR Data Fusion. In Proceedings of the 2023 IEEE Intelligent Vehicles Symposium (IV), Anchorage, AK, USA, 4–7 June 2023; pp. 1–7. [Google Scholar]
  36. Fan, H.; Lin, L.; Yang, F.; Chu, P.; Deng, G.; Yu, S.; Bai, H.; Xu, Y.; Liao, C.; Ling, H. LaSOT: A High-Quality Benchmark for Large-Scale Single Object Tracking. In Proceedings of the 2019 IEEE/CVF Conference on Computer Vision and Pattern Recognition (CVPR), Long Beach, CA, USA, 16–20 June 2019; pp. 5369–5378. [Google Scholar]
  37. Scheel, A.; Knill, C.; Reuter, S.; Dietmayer, K. Multi-sensor multi-object tracking of vehicles using high-resolution radars. In Proceedings of the 2016 IEEE Intelligent Vehicles Symposium (IV), Gothenburg, Sweden, 19–22 June 2016; pp. 558–565. [Google Scholar]
  38. Thomaidis, G.; Spinoulas, L.; Lytrivis, P.; Ahrholdt, M.; Grubb, G.; Amditis, A. Multiple hypothesis tracking for automated vehicle perception. In Proceedings of the 2010 IEEE Intelligent Vehicles Symposium, La Jolla, CA, USA, 21–24 June 2010; pp. 1122–1127. [Google Scholar]
  39. Habtemariam, B.; Tharmarasa, R.; Thayaparan, T.; Mallick, M.; Kirubarajan, T. A Multiple-Detection Joint Probabilistic Data Association Filter. IEEE J. Sel. Top. Signal Process. 2013, 7, 461–471. [Google Scholar] [CrossRef]
  40. Bewley, A.; Ge, Z.; Ott, L.; Ramos, F.; Upcroft, B. Simple online and realtime tracking. In Proceedings of the 2016 IEEE International Conference on Image Processing (ICIP), Phoenix, AZ, USA, 25–28 September 2016; pp. 3464–3468. [Google Scholar]
  41. Wojke, N.; Bewley, A.; Paulus, D. Simple online and realtime tracking with a deep association metric. In Proceedings of the 2017 IEEE International Conference on Image Processing (ICIP), Beijing, China, 17–20 September 2017; pp. 3645–3649. [Google Scholar]
  42. Yang, D.; Miao, C.; Liu, Y.; Wang, Y.; Zheng, Y. Improved foreign object tracking algorithm in coal for belt conveyor gangue selection robot with YOLOv7 and DeepSORT. Measurement 2024, 228, 114180. [Google Scholar] [CrossRef]
  43. Yang, D.; Solihin, M.I.; Ardiyanto, I.; Zhao, Y.; Li, W.; Cai, B.; Chen, C. Author Correction: A streamlined approach for intelligent ship object detection using EL-YOLO algorithm. Sci. Rep. 2024, 14, 19408. [Google Scholar] [CrossRef] [PubMed]
  44. Tan, M.; Le, Q.V. EfficientNet: Rethinking Model Scaling for Convolutional Neural Networks. In Proceedings of the 36th International Conference on Machine Learning, Long Beach, CA, USA, 9–15 June 2019; Volume 97, pp. 6105–6114. [Google Scholar]
  45. Tan, M.; Le, Q.V. EfficientNetV2: Smaller Models and Faster Training. In Proceedings of the International Conference on Machine Learning (PMLR), Vancouver, BC, Canada, 18–24 July 2021; Volume 139, pp. 10096–10106. [Google Scholar]
  46. Feng, F.; Hu, Y.; Li, W.; Yang, F. Improved YOLOv8 algorithms for small object detection in aerial imagery. J. King Saud Univ.-Comput. Inf. Sci. 2024, 36, 102113. [Google Scholar] [CrossRef]
  47. Huang, Y.; Du, J.; Yang, Z.; Zhou, Z.; Zhang, L.; Chen, H. A survey on trajectory-prediction methods for autonomous driving. IEEE Trans. Intell. Veh. 2022, 7, 652–674. [Google Scholar] [CrossRef]
  48. Do, T.-H.; Tran, D.-K.; Hoang, D.-Q.; Vuong, D.; Hoang, T.-M.; Dao, N.-N.; Lee, C.; Cho, S. A Novel Algorithm for Estimating Fast-Moving Vehicle Speed in Intelligent Transport Systems. In Proceedings of the 2021 International Conference on Information Networking (ICOIN), Jeju Island, Republic of Korea, 13–16 January 2021; pp. 499–503. [Google Scholar]
  49. Wang, A.; Chen, H.; Liu, L.; Chen, K.; Lin, Z.; Han, J. YOLOv10: Real-Time End-to-End Object Detection. Adv. Neural Inf. Process. Syst. 2024, 37, 107984–108011. [Google Scholar]
Figure 1. The widespread use of electric tricycles and associated violations. (a) Application of electric tricycles. (b) traffic accident.
Figure 1. The widespread use of electric tricycles and associated violations. (a) Application of electric tricycles. (b) traffic accident.
Sensors 25 05135 g001
Figure 2. Structural framework diagram.
Figure 2. Structural framework diagram.
Sensors 25 05135 g002
Figure 3. ETOD structural diagram.
Figure 3. ETOD structural diagram.
Sensors 25 05135 g003
Figure 4. Data collection distribution map.
Figure 4. Data collection distribution map.
Sensors 25 05135 g004
Figure 5. Data collection and processing.
Figure 5. Data collection and processing.
Sensors 25 05135 g005
Figure 6. A visualization of the dataset before and after data augmentation.
Figure 6. A visualization of the dataset before and after data augmentation.
Sensors 25 05135 g006
Figure 7. Comparison of Results for Each Model.
Figure 7. Comparison of Results for Each Model.
Sensors 25 05135 g007
Figure 8. Comparison of Loss Results for Each Model During Training and Validation Phases.
Figure 8. Comparison of Loss Results for Each Model During Training and Validation Phases.
Sensors 25 05135 g008
Figure 9. Comparison of results of various model indicators.
Figure 9. Comparison of results of various model indicators.
Sensors 25 05135 g009
Figure 10. Detection effect of algorithm model in different scenarios. (a) irregular electric tricycle detection, (b) detection in complex occlusions, and (c) detection in load-carrying scenarios.
Figure 10. Detection effect of algorithm model in different scenarios. (a) irregular electric tricycle detection, (b) detection in complex occlusions, and (c) detection in load-carrying scenarios.
Sensors 25 05135 g010
Figure 11. Confusion Matrix Results of Model Training.
Figure 11. Confusion Matrix Results of Model Training.
Sensors 25 05135 g011
Figure 12. Results of model training for precision, recall, and average precision.
Figure 12. Results of model training for precision, recall, and average precision.
Sensors 25 05135 g012
Figure 13. Model training and validation metrics results.
Figure 13. Model training and validation metrics results.
Sensors 25 05135 g013
Table 1. Dataset source statistics table.
Table 1. Dataset source statistics table.
MethodTypeCategoryQuantitySource
WebImageElectric Tricycles1600Web
WebImagePedestrians, Cars2000COCO Dataset
Traffic Surveillance CameraVideoElectric Tricycles, Pedestrians, Cars1.2 GBTraffic Management Authorities
On-site CollectionImageElectric Tricycles, Pedestrians680Data Collection Area
Table 2. Comparison of Results for Each Model.
Table 2. Comparison of Results for Each Model.
Parameter NameParameter Value
Training Epochs100
Batch Size32
Image Resolution640 × 640 pixels
Learning RateInitial learning rate: 0.001, with learning rate decay (e.g., decay by 0.1 every 10 epochs)
Early StoppingTraining terminates if validation metrics show no improvement for 20 consecutive epochs
Training DeviceNVIDIA RTX4050
CUDA version12.6
Data Loading Threads8 threads
Model Saving FrequencySave model weights every 5 epochs
Logging FrequencyRecord training and validation metrics every epoch
Table 3. Test video information.
Table 3. Test video information.
InformationTest Video #1Test Video #2Test Video #3
Road geometryWith intersectionWithout intersectionWithout intersection
Traffic conditionFree-flowCongestedFree-flow
Frame rate24 fps24 fps24 fps
Resolution1920 × 10801920 × 10801920 × 1080
Table 4. Model trajectory construction performance.
Table 4. Model trajectory construction performance.
Title 1Test Video #1Test Video #2Test Video #3
ETPTCARETPTCARETPTCAR
Ground truth35102422566184216805214272043
True positive3174316545364313204510231542
False negative428160281993607404501
False positive311224661241894137198
Recall88.57%72.56%73.32%86.89%76.37%78.57%86.54%71.69%75.48%
Precision91.18%86.90%87.05%89.83%83.83%87.48%91.84%88.19%88.62%
Disclaimer/Publisher’s Note: The statements, opinions and data contained in all publications are solely those of the individual author(s) and contributor(s) and not of MDPI and/or the editor(s). MDPI and/or the editor(s) disclaim responsibility for any injury to people or property resulting from any ideas, methods, instructions or products referred to in the content.

Share and Cite

MDPI and ACS Style

Guo, L.; Yu, B.; Xie, B.; Zhao, G.; Tian, Y.; Wu, J. Automatic Electric Tricycles Trajectory Tracking and Multi-Violation Detection. Sensors 2025, 25, 5135. https://doi.org/10.3390/s25165135

AMA Style

Guo L, Yu B, Xie B, Zhao G, Tian Y, Wu J. Automatic Electric Tricycles Trajectory Tracking and Multi-Violation Detection. Sensors. 2025; 25(16):5135. https://doi.org/10.3390/s25165135

Chicago/Turabian Style

Guo, Leishan, Bo Yu, Benhao Xie, Geng Zhao, Yuan Tian, and Jianqing Wu. 2025. "Automatic Electric Tricycles Trajectory Tracking and Multi-Violation Detection" Sensors 25, no. 16: 5135. https://doi.org/10.3390/s25165135

APA Style

Guo, L., Yu, B., Xie, B., Zhao, G., Tian, Y., & Wu, J. (2025). Automatic Electric Tricycles Trajectory Tracking and Multi-Violation Detection. Sensors, 25(16), 5135. https://doi.org/10.3390/s25165135

Note that from the first issue of 2016, this journal uses article numbers instead of page numbers. See further details here.

Article Metrics

Back to TopTop