An Adaptive Spatio-Temporal Traffic Flow Prediction Using Self-Attention and Multi-Graph Networks
Abstract
1. Introduction
- : To what extent does the proposed ASTAM architecture enhance the accuracy of traffic flow prediction?
- : The proposed ASTAM architecture significantly enhances the accuracy of traffic flow prediction by effectively capturing complex spatio-temporal dependencies in traffic flow data.
- A novel spatio-temporal multi-model architecture is proposed. This architecture integrates temporal gated convolution, an adaptive graph, a dynamic attention graph, and self-attention mechanisms. This unified approach leverages the strengths of each model to capture the complex spatio-temporal dynamics of traffic flow effectively.
- Multi-temporal gated convolutions are used to capture various time periods simultaneously and to represent temporal dependencies effectively, thereby enhancing prediction performance.
- A parallel multi-graph fusion is proposed that integrates an adaptive graph and a dynamic attention graph to accurately represent both hidden static and dynamic spatial dependencies among different road segments.
- A spatio-temporal self-attention mechanism is incorporated to adaptively capture spatio-temporal variation in the traffic flow.
- Extensive comparative experiments were conducted using 13 baselines across four publicly available datasets. The results demonstrate that the proposed architecture outperforms all baseline approaches. Additionally, ablation studies were performed to evaluate the distinct contribution of each component within the architecture.
2. Related Work
3. Preliminaries
- is the set of traffic sensor nodes with being the total sensor nodes in the graph G. They are installed at different intersections across the road traffic network to gather traffic data.
- E denotes set of edges connecting the node pairs in the graph G.
- is the weighted adjacency matrix of the traffic graph G, and is normalized using the following equation:
4. Methodology
4.1. The Architecture of the ASTAM
4.2. Multi-Scale Temporal Input Segments
4.3. Temporal Correlation Modeling (TCM)
Temporal Gated Convolution (TGC)
4.4. Multi-Graph Spatial Correlation Modeling (MGSCM)
4.4.1. Static Adaptive Graph Convolutional Network (SAGCN)
4.4.2. Dynamic Graph Attention Network (DGAT)
4.4.3. Fusion Gate
4.5. Spatio-Temporal Self-Attention Modeling (STSAM)
4.5.1. Temporal Self-Attention Layer (TSAL)
4.5.2. Spatial Self-Attention Layer (SSAL)
4.5.3. Spatio-Temporal Self-Attention Concatenation
4.6. Skipping Layer
4.7. Output Layer
5. Experiments and Discussion
5.1. Datasets
5.2. Settings
5.3. Evaluation Metrics
5.4. Baselines
5.5. Experimental Results and Analysis
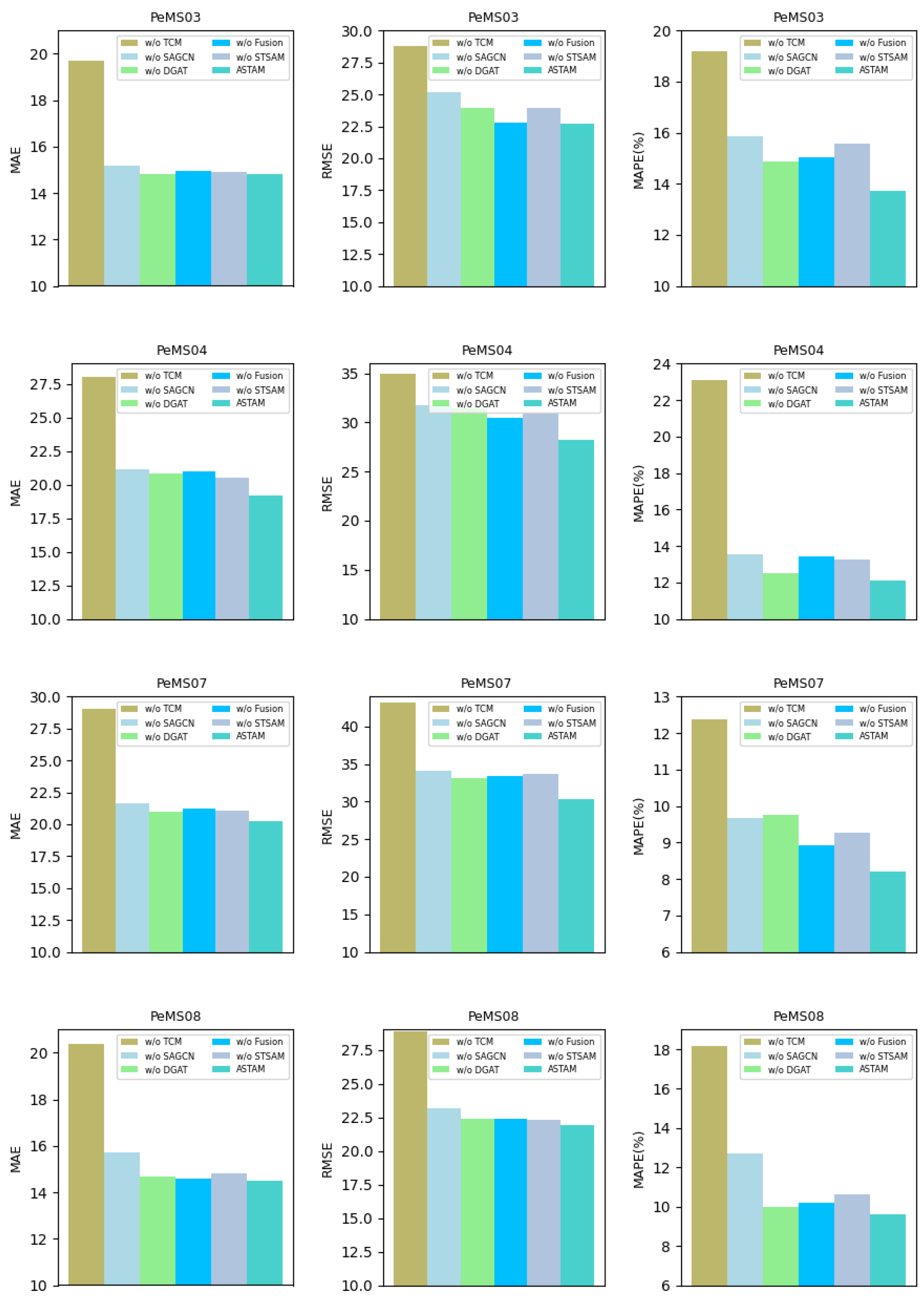
5.6. Ablation Study
- w/o TCM: TCM is removed from the ASTAM.
- w/o SAGCN: SAGCN is excluded from ASTAM.
- w/o DGAT: DGAT is eliminated from ASTAM.
- w/o Fusion: Fusion gate is omitted from ASTAM.
- w/o STSAM: STSAM is canceled from ASTAM.
5.7. Parameter Sensitivity Study
5.8. Effectiveness of Self-Adaptive Matrix
5.9. Visualization Analysis
6. ASTAM’s Potential Real-World Applications
7. Conclusions
Author Contributions
Funding
Institutional Review Board Statement
Informed Consent Statement
Data Availability Statement
Conflicts of Interest
References
- Bharadiya, J. Artificial intelligence in transportation systems a critical review. Am. J. Comput. Eng. 2023, 6, 34–45. [Google Scholar] [CrossRef]
- Goldbeck, N.; Angeloudis, P.; Ochieng, W.Y. Resilience assessment for interdependent urban infrastructure systems using dynamic network flow models. Reliab. Eng. Syst. Saf. 2019, 188, 62–79. [Google Scholar] [CrossRef]
- Jilani, U.; Asif, M.; Zia, M.Y.I.; Rashid, M.; Shams, S.; Otero, P. A systematic review on urban road traffic congestion. Wirel. Pers. Commun. 2023, 1–29. [Google Scholar] [CrossRef]
- Zang, Z.; Xu, X.; Qu, K.; Chen, R.; Chen, A. Travel time reliability in transportation networks: A review of methodological developments. Transp. Res. Part C Emerg. Technol. 2022, 143, 103866. [Google Scholar] [CrossRef]
- You, L.; Guan, Z.; Li, N.; Zhang, J.; Cui, H.; Claramunt, C.; Cao, R. A spatio-temporal schedule-based neural network for urban taxi waiting time prediction. ISPRS Int. J. Geo-Inf. 2021, 10, 703. [Google Scholar] [CrossRef]
- Galanis, A.; Botzoris, G.; Eliou, N. Pedestrian road safety in relation to urban road type and traffic flow. Transp. Res. Procedia 2017, 24, 220–227. [Google Scholar] [CrossRef]
- Bast, H.; Delling, D.; Goldberg, A.; Müller-Hannemann, M.; Pajor, T.; Sanders, P.; Wagner, D.; Werneck, R.F. Route planning in transportation networks. In Algorithm Engineering: Selected Results and Surveys; Springer: Cham, Switzerland, 2016; pp. 19–80. [Google Scholar]
- Feng, J.; Li, Y.; Lin, Z.; Rong, C.; Sun, F.; Guo, D.; Jin, D. Context-aware spatial-temporal neural network for citywide crowd flow prediction via modeling long-range spatial dependency. ACM Trans. Knowl. Discov. Data (TKDD) 2021, 16, 1–21. [Google Scholar] [CrossRef]
- Li, Y.; Yu, R.; Shahabi, C.; Liu, Y. Diffusion convolutional recurrent neural network: Data-driven traffic forecasting. arXiv 2017, arXiv:1707.01926. [Google Scholar]
- Yu, B.; Yin, H.; Zhu, Z. Spatio-temporal graph convolutional networks: A deep learning framework for traffic forecasting. arXiv 2017, arXiv:1709.04875. [Google Scholar]
- Bai, L.; Yao, L.; Li, C.; Wang, X.; Wang, C. Adaptive graph convolutional recurrent network for traffic forecasting. Adv. Neural Inf. Process. Syst. 2020, 33, 17804–17815. [Google Scholar]
- Chen, Y.; Segovia, I.; Gel, Y.R. Z-GCNETs: Time zigzags at graph convolutional networks for time series forecasting. In Proceedings of the International Conference on Machine Learning, Virtual, 18–24 July 2021; pp. 1684–1694. [Google Scholar]
- Scarselli, F.; Gori, M.; Tsoi, A.C.; Hagenbuchner, M.; Monfardini, G. The graph neural network model. IEEE Trans. Neural Netw. 2008, 20, 61–80. [Google Scholar] [CrossRef] [PubMed]
- Jiang, W.; Luo, J. Graph neural network for traffic forecasting: A survey. Expert Syst. Appl. 2022, 207, 117921. [Google Scholar] [CrossRef]
- Rahmani, S.; Baghbani, A.; Bouguila, N.; Patterson, Z. Graph neural networks for intelligent transportation systems: A survey. IEEE Trans. Intell. Transp. Syst. 2023, 24, 8846–8885. [Google Scholar] [CrossRef]
- Wu, Z.; Pan, S.; Long, G.; Jiang, J.; Zhang, C. Graph wavenet for deep spatial-temporal graph modeling. arXiv 2019, arXiv:1906.00121. [Google Scholar]
- Chen, C.; Li, K.; Teo, S.G.; Zou, X.; Wang, K.; Wang, J.; Zeng, Z. Gated residual recurrent graph neural networks for traffic prediction. In Proceedings of the AAAI Conference on Artificial Intelligence, Honolulu, HI, USA, 27 January–1 February 2019; Volume 33, pp. 485–492. [Google Scholar]
- Zhao, L.; Song, Y.; Zhang, C.; Liu, Y.; Wang, P.; Lin, T.; Deng, M.; Li, H. T-GCN: A temporal graph convolutional network for traffic prediction. IEEE Trans. Intell. Transp. Syst. 2019, 21, 3848–3858. [Google Scholar] [CrossRef]
- He, Y.; Huang, P.; Hong, W.; Luo, Q.; Li, L.; Tsui, K.L. In-Depth Insights into the Application of Recurrent Neural Networks (RNNs) in Traffic Prediction: A Comprehensive Review. Algorithms 2024, 17, 398. [Google Scholar] [CrossRef]
- Jang, H.C.; Chen, C.A. Urban Traffic Flow Prediction Using LSTM and GRU. Eng. Proc. 2024, 55, 86. [Google Scholar] [CrossRef]
- Shang, Q.; Tang, Y.; Yin, L. A hybrid model for missing traffic flow data imputation based on clustering and attention mechanism optimizing LSTM and AdaBoost. Sci. Rep. 2024, 14, 26473. [Google Scholar] [CrossRef]
- Chauhan, N.S.; Kumar, N. Novel Confined Attention-Enabled Hierarchical Bi-LSTM and Bi-GRU Fusion: A Multiscale Traffic Flow Prediction Application. IEEE Trans. Comput. Soc. Syst. 2024, 11, 7541–7554. [Google Scholar] [CrossRef]
- Naheliya, B.; Redhu, P.; Kumar, K. MFOA-Bi-LSTM: An optimized bidirectional long short-term memory model for short-term traffic flow prediction. Phys. A Stat. Mech. Its Appl. 2024, 634, 129448. [Google Scholar] [CrossRef]
- Lu, Z.; Zhou, C.; Wu, J.; Jiang, H.; Cui, S. Integrating granger causality and vector auto-regression for traffic prediction of large-scale WLANs. Ksii Trans. Internet Inf. Syst. (TIIS) 2016, 10, 136–151. [Google Scholar]
- Yang, H.; Li, X.; Qiang, W.; Zhao, Y.; Zhang, W.; Tang, C. A network traffic forecasting method based on SA optimized ARIMA–BP neural network. Comput. Netw. 2021, 193, 108102. [Google Scholar] [CrossRef]
- Barbour, W.; Mori, J.C.M.; Kuppa, S.; Work, D.B. Prediction of arrival times of freight traffic on US railroads using support vector regression. Transp. Res. Part C Emerg. Technol. 2018, 93, 211–227. [Google Scholar] [CrossRef]
- Jeong, Y.S.; Byon, Y.J.; Castro-Neto, M.M.; Easa, S.M. Supervised weighting-online learning algorithm for short-term traffic flow prediction. IEEE Trans. Intell. Transp. Syst. 2013, 14, 1700–1707. [Google Scholar] [CrossRef]
- Yin, X.; Wu, G.; Wei, J.; Shen, Y.; Qi, H.; Yin, B. Deep learning on traffic prediction: Methods, analysis, and future directions. IEEE Trans. Intell. Transp. Syst. 2022, 23, 4927–4943. [Google Scholar] [CrossRef]
- Zhang, J.; Xiao, T.; Huang, D.; Liu, S.M.; Fang, J. Eutrophication and hypoxia and their impacts on the ecosystem of the Changjiang Estuary and adjacent coastal environment. J. Mar. Syst. 2016, 154, 1–4. [Google Scholar] [CrossRef]
- Zhang, J.; Zheng, Y.; Qi, D. Deep spatio-temporal residual networks for citywide crowd flows prediction. In Proceedings of the AAAI Conference on Artificial Intelligence, San Francisco, CA, USA, 4–9 February 2017; Volume 31. [Google Scholar]
- Wang, J.D.; Susanto, C.O.N. Traffic Flow Prediction with Heterogenous Data Using a Hybrid CNN-LSTM Model. Comput. Mater. Contin. 2023, 76, 3097–3112. [Google Scholar] [CrossRef]
- Narmadha, S.; Vijayakumar, V. Spatio-Temporal vehicle traffic flow prediction using multivariate CNN and LSTM model. Mater. Today Proc. 2023, 81, 826–833. [Google Scholar] [CrossRef]
- Kipf, T.N.; Welling, M. Semi-supervised classification with graph convolutional networks. arXiv 2016, arXiv:1609.02907. [Google Scholar]
- Veličković, P.; Cucurull, G.; Casanova, A.; Romero, A.; Lio, P.; Bengio, Y. Graph attention networks. arXiv 2017, arXiv:1710.10903. [Google Scholar]
- Ma, C.; Yan, L.; Xu, G. Spatio-temporal graph attention networks for traffic prediction. Transp. Lett. 2024, 16, 978–988. [Google Scholar] [CrossRef]
- Zheng, C.; Fan, X.; Pan, S.; Jin, H.; Peng, Z.; Wu, Z.; Wang, C.; Philip, S.Y. Spatio-temporal joint graph convolutional networks for traffic forecasting. IEEE Trans. Knowl. Data Eng. 2023, 36, 372–385. [Google Scholar] [CrossRef]
- Zuo, J.; Zeitouni, K.; Taher, Y.; Garcia-Rodriguez, S. Graph convolutional networks for traffic forecasting with missing values. Data Min. Knowl. Discov. 2023, 37, 913–947. [Google Scholar] [CrossRef]
- Shin, Y.; Yoon, Y. PGCN: Progressive graph convolutional networks for spatial–temporal traffic forecasting. IEEE Trans. Intell. Transp. Syst. 2024, 25, 7633–7644. [Google Scholar] [CrossRef]
- Guo, S.; Lin, Y.; Feng, N.; Song, C.; Wan, H. Attention based spatial-temporal graph convolutional networks for traffic flow forecasting. In Proceedings of the AAAI Conference on Artificial Intelligence, Honolulu, HI, USA, 27 January–1 February 2019; Volume 33, pp. 922–929. [Google Scholar]
- Lan, S.; Ma, Y.; Huang, W.; Wang, W.; Yang, H.; Li, P. Dstagnn: Dynamic spatial-temporal aware graph neural network for traffic flow forecasting. In Proceedings of the International Conference on Machine Learning, Guangzhou, China, 18–21 February 2022; pp. 11906–11917. [Google Scholar]
- Wang, X.; Zhao, J.; Zhu, L.; Zhou, X.; Li, Z.; Feng, J.; Deng, C.; Zhang, Y. Adaptive multi-receptive field spatial-temporal graph convolutional network for traffic forecasting. In Proceedings of the 2021 IEEE Global Communications Conference (GLOBECOM), Madrid, Spain, 7–11 December 2021; pp. 1–7. [Google Scholar]
- Wang, X.; Yang, K.; Wang, Z.; Feng, J.; Zhu, L.; Zhao, J.; Deng, C. Adaptive Hybrid Spatial-Temporal Graph Neural Network for Cellular Traffic Prediction. In Proceedings of the ICC 2023—IEEE International Conference on Communications, Rome, Italy, 28 May–1 June 2023; pp. 4026–4032. [Google Scholar]
- Berlotti, M.; Di Grande, S.; Cavalieri, S. Proposal of a machine learning approach for traffic flow prediction. Sensors 2024, 24, 2348. [Google Scholar] [CrossRef]
- Miao, Y.; Tang, X.; Wang, Q.; Yu, L. GDENet: Graph differential equation network for traffic flow prediction. Int. J. Intell. Syst. 2023, 2023, 7099652. [Google Scholar] [CrossRef]
- Wang, P.; Zhang, T.; Zhang, H.; Cheng, S.; Wang, W. Adding attention to the neural ordinary differential equation for spatio-temporal prediction. Int. J. Geogr. Inf. Sci. 2024, 38, 156–181. [Google Scholar] [CrossRef]
- Bai, L.; Huang, Z.; Wang, S.; Dai, H. Adaptive Correlation Graph Neural Ordinary Differential Equation for Traffic Flow Forecasting. Eng. Lett. 2024, 32, 1770–1782. [Google Scholar]
- Liu, Y.; Rasouli, S.; Wong, M.; Feng, T.; Huang, T. RT-GCN: Gaussian-based spatiotemporal graph convolutional network for robust traffic prediction. Inf. Fusion 2024, 102, 102078. [Google Scholar] [CrossRef]
- Dauphin, Y.N.; Fan, A.; Auli, M.; Grangier, D. Language modeling with gated convolutional networks. In Proceedings of the International Conference on Machine Learning, Sydney, Australia, 6–11 August 2017; pp. 933–941. [Google Scholar]
- Song, C.; Lin, Y.; Guo, S.; Wan, H. Spatial-temporal synchronous graph convolutional networks: A new framework for spatial-temporal network data forecasting. In Proceedings of the AAAI Conference on Artificial Intelligence, New York, NY, USA, 7–12 February 2020; Volume 34, pp. 914–921. [Google Scholar]
- Zivot, E.; Wang, J. Modeling Financial Time Series with S-PLUS; Springer: Berlin/Heidelberg, Germany, 2006; Volume 2. [Google Scholar]
- Kumar, S.V.; Vanajakshi, L. Short-term traffic flow prediction using seasonal ARIMA model with limited input data. Eur. Transp. Res. Rev. 2015, 7, 21. [Google Scholar] [CrossRef]
- Sutskever, I.; Vinyals, O.; Le, Q.V. Sequence to sequence learning with neural networks. Adv. Neural Inf. Process. Syst. 2014, 27, 3104–3112. [Google Scholar]
- Lea, C.; Flynn, M.D.; Vidal, R.; Reiter, A.; Hager, G.D. Temporal convolutional networks for action segmentation and detection. In Proceedings of the IEEE Conference on Computer Vision and Pattern Recognition, Honolulu, HI, USA, 21–26 July 2017; pp. 156–165. [Google Scholar]













| Dataset | Sensors | Edges | Time Interval | Time Steps | Time Span |
|---|---|---|---|---|---|
| PeMS03 | 358 | 547 | 26,208 | 5 min | 3 months |
| PeMS04 | 307 | 340 | 16,992 | 5 min | 2 months |
| PeMS07 | 883 | 866 | 28,224 | 5 min | 3 months |
| PeMS08 | 170 | 295 | 17,856 | 5 min | 2 months |
| Dataset | Total Samples | Training Samples | Test Samples |
|---|---|---|---|
| PeMS03 | 26,208 | 15,726 | 5241 |
| PeMS04 | 16,992 | 10,196 | 3398 |
| PeMS07 | 28,224 | 16,936 | 5644 |
| PeMS08 | 17,856 | 10,714 | 3571 |
| Approach | Key Characteristics |
|---|---|
| Vector Auto-Regression (VAR) [50] | A statistical technique that models variables using previous values and relationships linearly. |
| Autoregressive Integrated Moving Average Model (ARIMA) [51] | A statistical technique that analyzes autocorrelation and uses differencing to predict time series patterns. |
| Support Vector Regression (SVR) [26] | An SVM-based approach that fits a hyperplane with a maximum margin and uses kernels for non-linear relationships. |
| Fully Connected Long Short-Term Memory Model (FC-LSTM) [52] | A neural network architecture that integrates dense layers and LSTM to capture temporal correlations. |
| Temporal Convolutional Network (TCN) [53] | A neural network architecture that uses causal convolutions with dilation for long-term temporal modeling. |
| Diffusion Convolutional Recurrent Neural Network (DCRNN) [9] | A spatio-temporal model that combines random walks for spatial graphs with GRUs for temporal extraction. |
| Spatial–Temporal Graph Convolutional Network (STGCN) [10] | A spatio-temporal model that incorporates the GCN for spatial and 1D convolution for temporal correlations. |
| Graph WaveNet (GWN) [16] | A spatio-temporal model that integrates diffusion convolutions and the GCN hierarchically for spatio-temporal data. |
| Attention-Based Spatial–Temporal Graph Convolutional Network (ASTGCN) [39] | A spatio-temporal model that integrates GCN, CNN, and attention mechanisms for dynamic spatio-temporal data. |
| Spatio-temporal Synchronous Graph Convolutional Network (STSGCN) [49] | A spatio-temporal model that combines GCN and synchronization mechanisms for local spatio-temporal patterns. |
| Adaptive Graph Convolutional Recurrent Networks (AGCRNs) [11] | A spatio-temporal model enhances the GCN by incorporating node-adaptive learning and data-adaptive graph construction, combined with GRUs for dependencies. |
| Time-Aware Zigzags at Graph Convolutional Network (Z-GCNET) [12] | A spatio-temporal model that uses a zigzag layer for time-aware GCNs and GRUs for temporal modeling. |
| Dynamic Spatial–Temporal-Aware Graph Neural Networks (DSTAGNNs) [40] | A spatio-temporal model that designs spatio-temporal attention and gated convolutions for dynamic extraction. |
| Model | PeMS03 | PeMS04 | PeMS07 | PeMS08 | ||||||||||||
|---|---|---|---|---|---|---|---|---|---|---|---|---|---|---|---|---|
| MAE | RMSE | MAPE% | MAE | RMSE | MAPE% | MAE | RMSE | MAPE% | MAE | RMSE | MAPE% | |||||
| VAR | 23.65 | 38.26 | 24.51 | 24.54 | 38.61 | 17.24 | 50.22 | 75.63 | 32.22 | 19.19 | 29.81 | 13.1 | ||||
| ARIMA | 35.41 | 47.59 | 33.78 | 33.73 | 48.8 | 24.18 | 38.17 | 59.27 | 19.46 | 31.09 | 44.32 | 22.73 | ||||
| SVR | 21.97 | 35.29 | 21.51 | 28.7 | 44.56 | 19.2 | 32.49 | 50.22 | 14.26 | 23.25 | 36.16 | 14.64 | ||||
| FC-LSTM | 21.33 | 35.11 | 23.33 | 27.14 | 41.59 | 18.20 | 29.98 | 45.94 | 13.2 | 22.2 | 34.06 | 14.2 | ||||
| TCN | 19.32 | 33.55 | 19.93 | 23.22 | 37.26 | 15.59 | 32.72 | 42.23 | 14.26 | 22.72 | 35.79 | 14.03 | ||||
| DCRNN | 18.18 | 30.31 | 18.91 | 24.7 | 38.12 | 17.12 | 25.3 | 38.58 | 11.66 | 17.86 | 27.83 | 11.45 | ||||
| STGCN | 17.55 | 30.42 | 17.34 | 22.7 | 35.55 | 14.56 | 25.38 | 39.34 | 11.21 | 18.02 | 27.83 | 11.4 | ||||
| GWN | 19.85 | 32.94 | 19.31 | 25.45 | 39.7 | 17.29 | 26.85 | 42.78 | 12.12 | 19.13 | 31.05 | 12.68 | ||||
| ASTGCN | 17.34 | 29.66 | 17.24 | 22.93 | 35.22 | 16.56 | 24.05 | 37.97 | 10.92 | 18.25 | 28.06 | 11.64 | ||||
| STSGCN | 17.48 | 29.21 | 16.78 | 21.19 | 33.65 | 13.9 | 24.26 | 39.03 | 10.2 | 17.13 | 26.80 | 10.96 | ||||
| AGCRN | 15.98 | 28.25 | 15.23 | 19.88 | 32.27 | 13.03 | 22.26 | 36.47 | 9.16 | 15.97 | 25.25 | 10.13 | ||||
| Z-GCNET | 16.64 | 28.15 | 16.39 | 19.67 | 31.86 | 12.9 | 21.79 | 35.15 | 9.27 | 16.03 | 25.28 | 10.39 | ||||
| DSTAGNN | 15.57 | 27.21 | 14.68 | 19.44 | 31.83 | 12.82 | 21.46 | 34.82 | 9.12 | 15.81 | 25.08 | 9.98 | ||||
| ASTAM | 14.8 | 22.7 | 13.71 | 19.2 | 28.27 | 12.12 | 20.2 | 30.4 | 8.21 | 14.5 | 21.9 | 9.6 | ||||
| Model | PeMS03 | PeMS04 | PeMS07 | PeMS08 | ||||||||||||
|---|---|---|---|---|---|---|---|---|---|---|---|---|---|---|---|---|
| MAE | RMSE | MAPE% | MAE | RMSE | MAPE% | MAE | RMSE | MAPE% | MAE | RMSE | MAPE% | |||||
| w/o TCM | 19.7 | 28.8 | 19.21 | 28 | 35 | 23.1 | 29 | 43.2 | 12.37 | 20.4 | 29.9 | 18.17 | ||||
| w/o SAGCN | 15.2 | 25.2 | 15.84 | 21.1 | 31.8 | 13.56 | 21.6 | 34.1 | 9.68 | 15.7 | 23.2 | 12.73 | ||||
| w/o DGAT | 14.82 | 23.9 | 14.87 | 20.8 | 31.4 | 12.5 | 21.02 | 33.1 | 9.76 | 14.7 | 22.4 | 9.96 | ||||
| w/o Fusion | 14.97 | 22.8 | 15.03 | 21 | 30.5 | 13.43 | 21.2 | 33.4 | 8.93 | 14.6 | 22.4 | 10.2 | ||||
| w/o STSAM | 14.9 | 23.8 | 15.56 | 20.5 | 30.9 | 13.26 | 21.1 | 33.7 | 9.27 | 14.8 | 22.3 | 10.65 | ||||
| ASTAM | 14.8 | 22.7 | 13.71 | 19.2 | 28.27 | 12.12 | 20.2 | 30.4 | 8.21 | 14.5 | 21.9 | 9.6 | ||||
Disclaimer/Publisher’s Note: The statements, opinions and data contained in all publications are solely those of the individual author(s) and contributor(s) and not of MDPI and/or the editor(s). MDPI and/or the editor(s) disclaim responsibility for any injury to people or property resulting from any ideas, methods, instructions or products referred to in the content. |
© 2025 by the authors. Licensee MDPI, Basel, Switzerland. This article is an open access article distributed under the terms and conditions of the Creative Commons Attribution (CC BY) license (https://creativecommons.org/licenses/by/4.0/).
Share and Cite
Alsehaimi, B.; Alzamzami, O.; Alowidi, N.; Ali, M. An Adaptive Spatio-Temporal Traffic Flow Prediction Using Self-Attention and Multi-Graph Networks. Sensors 2025, 25, 282. https://doi.org/10.3390/s25010282
Alsehaimi B, Alzamzami O, Alowidi N, Ali M. An Adaptive Spatio-Temporal Traffic Flow Prediction Using Self-Attention and Multi-Graph Networks. Sensors. 2025; 25(1):282. https://doi.org/10.3390/s25010282
Chicago/Turabian StyleAlsehaimi, Basma, Ohoud Alzamzami, Nahed Alowidi, and Manar Ali. 2025. "An Adaptive Spatio-Temporal Traffic Flow Prediction Using Self-Attention and Multi-Graph Networks" Sensors 25, no. 1: 282. https://doi.org/10.3390/s25010282
APA StyleAlsehaimi, B., Alzamzami, O., Alowidi, N., & Ali, M. (2025). An Adaptive Spatio-Temporal Traffic Flow Prediction Using Self-Attention and Multi-Graph Networks. Sensors, 25(1), 282. https://doi.org/10.3390/s25010282

