Validation of Aerobic Capacity (VO2max) and Pulse Oximetry in Wearable Technology
Abstract
1. Introduction
2. Materials and Methods
2.1. VO2max Testing
2.2. Pulse Oximetry Testing
2.3. Data Analysis
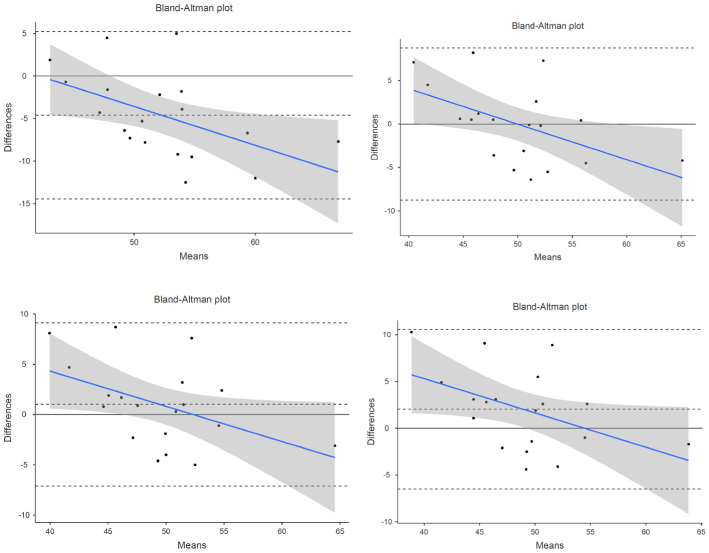
3. Results
3.1. VO2max
3.2. Pulse Oximetry
4. Discussion
Limitations
5. Conclusions
Supplementary Materials
Author Contributions
Funding
Institutional Review Board Statement
Informed Consent Statement
Data Availability Statement
Conflicts of Interest
References
- Newsome, A.; Reed, R.; Sansone, J.; Batrakoulis, A.; McAvoy, C.; Parrott, M.W. 2024 ACSM Worldwide Fitness Trends: Future Directions of the Health and Fitness Industry. ACSM’s Health Fit. J. 2024, 28, 14–26. [Google Scholar] [CrossRef]
- Thompson, W.R. Worldwide Survey of Fitness Trends for 2023. ACSM’s Health Fit. J. 2023, 27, 9–18. [Google Scholar] [CrossRef]
- Thompson, W.R. Worldwide survey of fitness trends for 2022. ACSM’s Health Fit. J. 2022, 26, 11–20. [Google Scholar] [CrossRef]
- Thompson, W.R. Worldwide Survey of Fitness Trends for 2021. ACSM’s Health Fit. J. 2021, 25, 10–19. [Google Scholar] [CrossRef]
- Thompson, W.R. Worldwide survey of fitness trends for 2020. ACSM’s Health Fit. J. 2019, 23, 10–18. [Google Scholar] [CrossRef]
- Thompson, W.R. Worldwide survey of fitness trends for 2019. ACSM’s Health Fit. J. 2018, 22, 10–17. [Google Scholar] [CrossRef]
- Thompson, W.R. Worldwide survey of fitness trends for 2018: The CREP Edition. ACSM’s Health Fit. J. 2017, 21, 10–19. [Google Scholar] [CrossRef]
- Thompson, W.R. Worldwide survey of fitness trends for 2017. ACSM’s Health Fit. J. 2016, 20, 8–17. [Google Scholar] [CrossRef]
- Thompson, W.R. Worldwide survey of fitness trends for 2016. ACSM’s Health Fit. J. 2015, 19, 9–18. [Google Scholar] [CrossRef]
- Clark, E. Is Your Fitness Tracker Helping or Hurting Your Health? Available online: https://themanifest.com/app-development/fitness-tracker-helping-hurting-health (accessed on 3 August 2024).
- Dhingra, L.S.; Aminorroaya, A.; Oikonomou, E.K.; Nargesi, A.A.; Wilson, F.P.; Krumholz, H.M.; Khera, R. Use of Wearable Devices in Individuals with or at Risk for Cardiovascular Disease in the US, 2019 to 2020. JAMA Netw. Open 2023, 6, e2316634. [Google Scholar] [CrossRef]
- Wright, S.; Brown, T.; Collier, S.; Sandberg, K. How consumer physical activity monitors could transform human physiology research. Am. J. Physiol. Regul. Integr. Comp. Physi 2017, 312, R358–R367. [Google Scholar] [CrossRef] [PubMed]
- Carrier, B.; Barrios, B.; Jolley, B.D.; Navalta, J.W. Validity and Reliability of Physiological Data in Applied Settings Measured by Wearable Technology: A Rapid Systematic Review. Technologies 2020, 8, 70. [Google Scholar] [CrossRef]
- Qiu, S.; Cai, X.; Sun, Z.; Wu, T.; Schumann, U. Is estimated cardiorespiratory fitness an effective predictor for cardiovascular and all-cause mortality? A meta-analysis. Atherosclerosis 2021, 330, 22–28. [Google Scholar] [CrossRef] [PubMed]
- Lee, D.; Sui, X.; Artero, E.G.; Lee, I.; Church, T.S.; McAuley, P.A.; Stanford, F.C.; Kohl III, H.W.; Blair, S.N. Long-term effects of changes in cardiorespiratory fitness and body mass index on all-cause and cardiovascular disease mortality in men: The Aerobics Center Longitudinal Study. Circulation 2011, 124, 2483–2490. [Google Scholar] [CrossRef]
- Harber, M.P.; Kaminsky, L.A.; Arena, R.; Blair, S.N.; Franklin, B.A.; Myers, J.; Ross, R. Impact of cardiorespiratory fitness on all-cause and disease-specific mortality: Advances since 2009. Prog. Cardiovasc. Dis. 2017, 60, 11–20. [Google Scholar] [CrossRef]
- Joyner, M.J.; Coyle, E.F. Endurance exercise performance: The physiology of champions. J. Physiol. 2008, 586, 35–44. [Google Scholar] [CrossRef]
- Bassett, D.R.; Howley, E.T. Limiting factors for maximum oxygen uptake and determinants of endurance performance. Med. Sci. Sports Exerc. 2000, 32, 70–84. [Google Scholar] [CrossRef]
- Kenney, W.L.; Wilmore, J.H.; Costill, D.L. Physiology of Sport and Exercise; Human Kinetics: Champaign, IL, USA, 2021. [Google Scholar]
- Dünnwald, T.; Kienast, R.; Niederseer, D.; Burtscher, M. The use of pulse oximetry in the assessment of acclimatization to high altitude. Sensors 2021, 21, 1263. [Google Scholar] [CrossRef]
- Sinex, J.A.; Chapman, R.F. Hypoxic training methods for improving endurance exercise performance. J. Sport Health Sci. 2015, 4, 325–332. [Google Scholar] [CrossRef]
- Anonymous. Aerobic Fitness Level (VO2max) Estimation—Firstbeat White Paper. Available online: https://www.firstbeat.com/en/aerobic-fitness-level-vo%e2%82%82max-estimation-firstbeat-white-paper-2/ (accessed on 14 July 2022).
- Iqbal, M.H.; Aydin, A.; Brunckhorst, O.; Dasgupta, P.; Ahmed, K. A review of wearable technology in medicine. J. R. Soc. Med. 2016, 109, 372–380. [Google Scholar] [CrossRef]
- Park, S.; Jayaraman, S. Enhancing the quality of life through wearable technology. IEEE Eng. Med. Biol. Mag. 2003, 22, 41–48. [Google Scholar] [CrossRef] [PubMed]
- Greiwe, J.; Nyenhuis, S.M. Wearable technology and how this can be implemented into clinical practice. Curr. Allergy Asthma Rep. 2020, 20, 1–10. [Google Scholar] [CrossRef] [PubMed]
- Burnham, J.P.; Lu, C.; Yaeger, L.H.; Bailey, T.C.; Kollef, M.H. Using wearable technology to predict health outcomes: A literature review. J. Am. Med. Inform. Assoc. 2018, 25, 1221–1227. [Google Scholar] [CrossRef] [PubMed]
- Qaddoori, S.L.; Fathi, I.; Hammoudy, M.A.; Ali, Q.I. Advancing Public Health Monitoring through Secure and Efficient Wearable Technology. Int. J. Saf. Secur. Eng. 2023, 13, 1001–1014. [Google Scholar] [CrossRef]
- Phillips, S.M.; Cadmus-Bertram, L.; Rosenberg, D.; Buman, M.P.; Lynch, B.M. Wearable technology and physical activity in chronic disease: Opportunities and challenges. Am. J. Prev. Med. 2018, 54, 144–150. [Google Scholar] [CrossRef]
- Ming, D.K.; Sangkaew, S.; Chanh, H.Q.; Nhat, P.T.; Yacoub, S.; Georgiou, P.; Holmes, A.H. Continuous physiological monitoring using wearable technology to inform individual management of infectious diseases, public health and outbreak responses. Int. J. Infect. Dis. 2020, 96, 648–654. [Google Scholar] [CrossRef]
- Estepp, J.R.; Blackford, E.B.; Meier, C.M. Recovering pulse rate during motion artifact with a multi-imager array for non-contact imaging photoplethysmography. In Proceedings of the 2014 IEEE International Conference on Systems, Man, and Cybernetics (SMC), San Diego, CA, USA, 5–8 October 2014; IEEE: Piscataway, NJ, USA, 2014; pp. 1462–1469. [Google Scholar]
- Lu, G.; Yang, F. Limitations of oximetry to measure heart rate variability measures. Cardiovasc. Eng. 2009, 9, 119–125. [Google Scholar] [CrossRef]
- Carrier, B.; Salatto, R.W.; Davis, D.W.; Sertic, J.V.L.; Barrios, B.; Cater, P.; Navalta, J.W. Assessing the Validity of Several Heart Rate Monitors in Wearable Technology While Mountain Biking. Int. J. Exerc. Sci. Conf. Proc. 2021, 14, 18. [Google Scholar] [CrossRef]
- Chow, H.; Yang, C. Accuracy of Optical Heart Rate Sensing Technology in Wearable Fitness Trackers for Young and Older Adults: Validation and Comparison Study. JMIR mHealth uHealth 2020, 8, e14707. [Google Scholar] [CrossRef]
- Terbizan, D.J.; Dolezal, B.A.; Albano, C. Validity of seven commercially available heart rate monitors. Meas. Phys. Educ. Exerc. Sci. 2002, 6, 243–247. [Google Scholar] [CrossRef]
- Zwiren, L.D.; Freedson, P.S.; Ward, A.; Wilke, S.; Rippe, J.M. Estimation of VO2max: A comparative analysis of five exercise tests. Res. Q. Exerc. Sport 1991, 62, 73–78. [Google Scholar] [CrossRef] [PubMed]
- Evans, H.J.; Ferrar, K.E.; Smith, A.E.; Parfitt, G.; Eston, R.G. A systematic review of methods to predict maximal oxygen uptake from submaximal, open circuit spirometry in healthy adults. J. Sci. Med. Sport 2015, 18, 183–188. [Google Scholar] [CrossRef] [PubMed]
- Carrier, B.; Creer, A.; Williams, L.R.; Holmes, T.M.; Jolley, B.D.; Dahl, S.; Weber, E.; Standifird, T. Validation of garmin fenix 3 HR fitness tracker biomechanics and metabolics (VO2max). J. Meas. Phys. Behav. 2020, 3, 331–337. [Google Scholar] [CrossRef]
- Ross, R.; Blair, S.N.; Arena, R.; Church, T.S.; Després, J.; Franklin, B.A.; Haskell, W.L.; Kaminsky, L.A.; Levine, B.D.; Lavie, C.J. Importance of assessing cardiorespiratory fitness in clinical practice: A case for fitness as a clinical vital sign: A scientific statement from the American Heart Association. Circulation 2016, 134, e653–e699. [Google Scholar] [CrossRef]
- Luks, A.M.; Swenson, E.R. Pulse oximetry at high altitude. High Alt. Med. Biol. 2011, 12, 109–119. [Google Scholar] [CrossRef]
- Chan, E.D.; Chan, M.M.; Chan, M.M. Pulse oximetry: Understanding its basic principles facilitates appreciation of its limitations. Respir. Med. 2013, 107, 789–799. [Google Scholar] [CrossRef]
- Welk, G.J.; Bai, Y.; Lee, J.; Godino, J.; Saint-Maurice, P.F.; Carr, L. Standardizing analytic methods and reporting in activity monitor validation studies. Med. Sci. Sports Exerc. 2019, 51, 1767. [Google Scholar] [CrossRef]
- van Lier, H.G.; Pieterse, M.E.; Garde, A.; Postel, M.G.; de Haan, H.A.; Vollenbroek-Hutten, M.; Schraagen, J.M.; Noordzij, M.L. A standardized validity assessment protocol for physiological signals from wearable technology: Methodological underpinnings and an application to the E4 biosensor. Behav. Res. Methods 2020, 52, 607–629. [Google Scholar] [CrossRef]


| Fēnix 6 VO2max Estimate | Lab VO2max—4 Breath Avg | Lab VO2max—15 s Avg | Lab VO2max—30 s Avg | Lab VO2max—1 min Avg | |
|---|---|---|---|---|---|
| Mean (mL/kg/min) | 49.68 | 54.54 | 49.95 | 48.94 | 47.91 |
| Standard Deviation | 4.61 | 7.28 | 7.04 | 6.67 | 6.76 |
| MAPE | 10.70% | 7.23% | 7.05% | 8.53% | |
| Pearson Correlation | 0.73 | 0.78 | 0.78 | 0.76 | |
| Lin’s Concordance | 0.49 | 0.71 | 0.73 | 0.68 | |
| Bland–Altman Bias | −4.87 (−7.30, −2.44) | −0.26 (−2.45, 1.92) | 0.75 (−1.28, 2.78) | 1.77 (−0.35, 3.89) | |
| TOST Test (Upper) | <0.001 | 0.80 | 0.45 | 0.10 | |
| TOST Test (Lower) | <0.972 | 0.01 | 0.09 | 0.34 |
| Fēnix 6 Blood Oxygen Saturation Measurement (%) | Criterion: Blood Oxygen Saturation Measurement (%) | |
|---|---|---|
| Mean | 95.44% | 92.06% |
| Standard Deviation | 1.60% | 8.17% |
| MAPE | 4.29% | |
| Pearson Correlation | 0.18 | |
| Lin’s Concordance | 0.10 | |
| Bland–Altman Bias | 1.12 (−0.34, 2.57) | |
| TOST Test (Upper) | 0.13 | |
| TOST Test (Lower) | 0.02 |
Disclaimer/Publisher’s Note: The statements, opinions and data contained in all publications are solely those of the individual author(s) and contributor(s) and not of MDPI and/or the editor(s). MDPI and/or the editor(s) disclaim responsibility for any injury to people or property resulting from any ideas, methods, instructions or products referred to in the content. |
© 2025 by the authors. Licensee MDPI, Basel, Switzerland. This article is an open access article distributed under the terms and conditions of the Creative Commons Attribution (CC BY) license (https://creativecommons.org/licenses/by/4.0/).
Share and Cite
Carrier, B.; Marten Chaves, S.; Navalta, J.W. Validation of Aerobic Capacity (VO2max) and Pulse Oximetry in Wearable Technology. Sensors 2025, 25, 275. https://doi.org/10.3390/s25010275
Carrier B, Marten Chaves S, Navalta JW. Validation of Aerobic Capacity (VO2max) and Pulse Oximetry in Wearable Technology. Sensors. 2025; 25(1):275. https://doi.org/10.3390/s25010275
Chicago/Turabian StyleCarrier, Bryson, Sofia Marten Chaves, and James W. Navalta. 2025. "Validation of Aerobic Capacity (VO2max) and Pulse Oximetry in Wearable Technology" Sensors 25, no. 1: 275. https://doi.org/10.3390/s25010275
APA StyleCarrier, B., Marten Chaves, S., & Navalta, J. W. (2025). Validation of Aerobic Capacity (VO2max) and Pulse Oximetry in Wearable Technology. Sensors, 25(1), 275. https://doi.org/10.3390/s25010275

