Adaptive Dataset Management Scheme for Lightweight Federated Learning in Mobile Edge Computing
Abstract
1. Introduction
- Considering the diminishing effect of dataset size over rounds, as validated by our empirical study, along with the distribution of classes, we design the proposed ADM scheme. This scheme incorporates both the data size adjustment algorithm and the class adjustment algorithm.
- To develop the proposed ADM scheme, we present rigorous analytical models to estimate accuracy and end-to-end service latency concerning the dataset size, taking into account the proposed discount factor. Subsequently, to balance between the estimated accuracy and end-to-end service latency, we formulate the objective function based on the ratio of these two factors.
- Regarding the dataset size adjustment problem, we determine the optimal dataset size adjustment across clients by solving an optimization problem, initially a non-convex problem due to the presence of a non-differentiable function. We employ several mathematical techniques to transform it into a convex optimization problem and provide the global optimum solution.
- In addressing the class adjustment problem, we establish the optimal dataset size adjustment across classes for each client, considering the class distribution over MDs in the non-IID case. Here, we propose a greedy-based heuristic algorithm to reduce the Kullback–Leibler Divergence (KLD) distance and derive a suboptimal solution with low complexity.
- As a practical consideration, we also provide a detailed discussion on the implementation of the proposed ADM on a virtualization platform, along with a prototype of the proposed framework. Finally, simulation results demonstrate the effectiveness of the proposed scheme in reducing the training burden on MDs while maintaining acceptable training accuracy.
2. Related Work
3. System Model
3.1. Motivating Example for Discounting Factor
3.2. Proposed System Model
- Step 1: In Step 1, the MEC server selects appropriate MDs as FL participants. Then, the MEC server requests and receives the class distribution of the dataset from each MD to conduct the ADM scheme, which will be explained in detail in Section IV. Using the information obtained from the selected MDs, the data adjustment message is calculated using the ADM scheme. Afterward, the MEC server initiates the task by providing an initial shared global model, denoted as , and the data adjustment message for local training to multiple MDs. The initial shared global model may include a TensorFlow graph, weights, and instructions.
- Step 2: Each MD n conducts local training on the adjusted dataset among entire local data using the shared global model (i.e., in the initial round or in round t). Specifically, by minimizing the loss function , the local model parameter at MD n is given byThen, the updates are transferred to the MEC server.
- Step 3: The MEC server combines the local model updates from the MDs and generates a global model by solving an optimization problem that minimizes the global loss function.Then, the MEC server sends the updated global model parameters back to the MDs.
3.3. Analytical Models
3.3.1. Accuracy Estimation Model
3.3.2. End-to-End Service Latency Model
4. Proposed ADM Scheme
4.1. Dataset Size Adjustment
| Algorithm 1 ADM scheme—data size adjustment |
| Input: Initialize: and t are randomly initialized within the constraints. Output: Optimal 1: while True do 2: solving Prob.3 via SA 3: 4: (12a) 5: if then 6: break 7: end if 8: i = i + 1 9: end while 10: 11: |
4.2. Class Adjustment
- Step 1: Each MD n calculate and send their class distribution vector to the MEC server, where is the number of the samples with label k of MD n.
- Step 2: The MEC server executes the proposed ADM scheme. As step 2-1, using Algorithm 1, dataset size adjustment including is determined. After that, to minimize the for making the class distribution of aggregated dataset close to the IID, as step 2-2, class adjustment is conducted. By aggregating such class distribution vector over MDs, the MEC server can calculate the adjustment of data for each class, which is given bywhere represents the reduction applied to each class dataset of MD n, and denotes the target dataset size to be retained across all classes. In this scenario, if (15) yields a value less than 0, it implies that the class size is already below the target dataset size, . Thus, should be set to 0. The process continues until the condition is satisfied. During this process, is gradually decreased by subtracting a constant Δ iteratively. Finally, the optimal class distribution vector is updated according to the equation:
- Step 3: Finally, as step 3, updated class distribution vector is delivered to the MDs.
| Algorithm 2 ADM scheme—class adjustment |
| Input: , Output: Optimal 1: for each MD do 2: 3: 4: while do 5: 6: 7: end while 8: for do 9: 10: end for 11: end for |
4.3. Discussion on Implementation of the Proposed ADM on Virtualization Platform: Kubernetes
5. Performance Evaluation
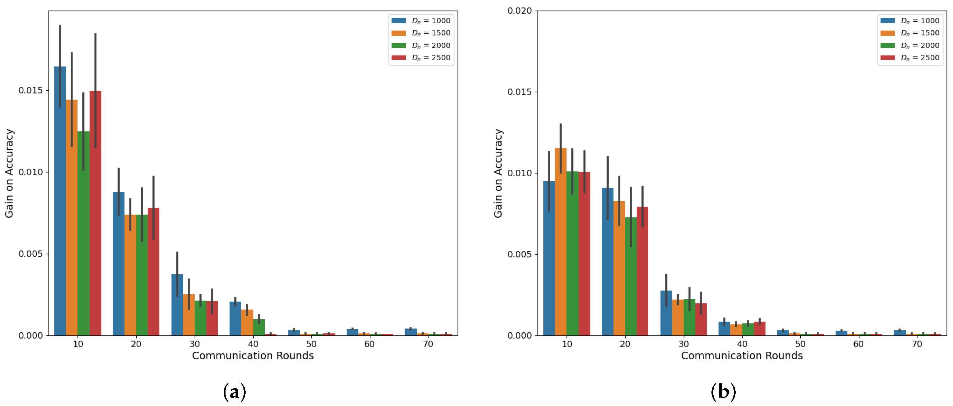
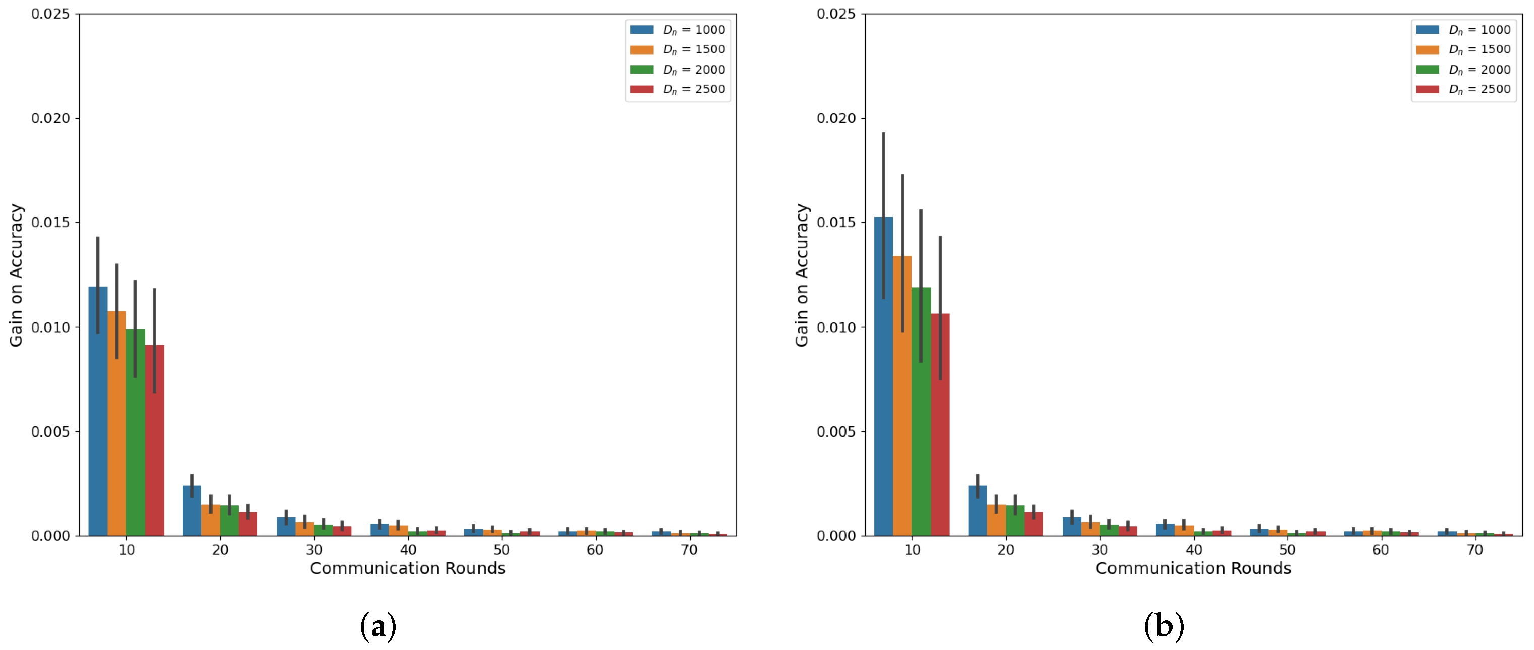
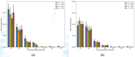
5.1. Numerical Analysis—Dataset Size Adjustment
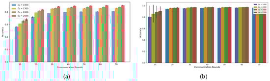
5.2. Simulation Analysis—Dataset Size Adjustment: IID Case
5.3. Simulation Analysis—Class Adjustment: Non-IID Case
6. Conclusions
Author Contributions
Funding
Institutional Review Board Statement
Informed Consent Statement
Data Availability Statement
Conflicts of Interest
References
- McMahan, B.; Moore, E.; Ramage, D.; Hampson, S.; Arcas, B.A.Y. Communication-efficient learning of deep networks from decentralized data. In Proceedings of the Artificial Intelligence and Statistics, PMLR, Fort Lauderdale, FL, USA, 20–22 April 2017; pp. 1273–1282. [Google Scholar]
- Bonawitz, K.; Eichner, H.; Grieskamp, W.; Huba, D.; Ingerman, A.; Ivanov, V.; Kiddon, C.; Konečnỳ, J.; Mazzocchi, S.; McMahan, B.; et al. Towards federated learning at scale: System design. Proc. Mach. Learn. Syst. 2019, 1, 374–388. [Google Scholar]
- Lee, J.; Kim, D.; Niyato, D. Market Analysis of Distributed Learning Resource Management for Internet of Things: A Game-Theoretic Approach. IEEE Internet Things J. 2020, 7, 8430–8439. [Google Scholar] [CrossRef]
- Li, H.; Ota, K.; Dong, M. Learning IoT in edge: Deep learning for the Internet of Things with edge computing. IEEE Netw. 2018, 32, 96–101. [Google Scholar] [CrossRef]
- Lee, J.; Kim, D.; Niyato, D. A Novel Joint Dataset and Incentive Management Mechanism for Federated Learning over MEC. IEEE Access 2022, 10, 30026–30038. [Google Scholar] [CrossRef]
- Kim, J.; Kim, D.; Lee, J.; Hwang, J. A Novel Joint Dataset and Computation Management Scheme for Energy-Efficient Federated Learning in Mobile Edge Computing. IEEE Wirel. Commun. Lett. 2022, 11, 898–902. [Google Scholar] [CrossRef]
- Duan, M.; Liu, D.; Chen, X.; Liu, R.; Tan, Y.; Liang, L. Self-balancing federated learning with global imbalanced data in mobile systems. IEEE Trans. Parallel Distrib. Syst. 2020, 32, 59–71. [Google Scholar] [CrossRef]
- Zhu, G.; Liu, D.; Du, Y.; You, C.; Zhang, J.; Huang, K. Toward an intelligent edge: Wireless communication meets machine learning. IEEE Commun. Mag. 2020, 58, 19–25. [Google Scholar] [CrossRef]
- Ren, J.; Yu, G.; Ding, G. Accelerating DNN training in wireless federated edge learning systems. IEEE J. Sel. Areas Commun. 2020, 39, 219–232. [Google Scholar] [CrossRef]
- Chen, M.; Yang, Z.; Saad, W.; Yin, C.; Poor, H.V.; Cui, S. A joint learning and communications framework for federated learning over wireless networks. IEEE Trans. Wirel. Commun. 2020, 20, 269–283. [Google Scholar] [CrossRef]
- Amiri, M.M.; Gündüz, D. Federated learning over wireless fading channels. IEEE Trans. Wirel. Commun. 2020, 19, 3546–3557. [Google Scholar] [CrossRef]
- Ko, H.; Lee, J.; Seo, S.; Pack, S.; Leung, V.C. Joint Client Selection and Bandwidth Allocation Algorithm for Federated Learning. IEEE Trans. Mob. Comput. 2021, 22, 3380–3390. [Google Scholar] [CrossRef]
- Li, T.; Sahu, A.K.; Zaheer, M.; Sanjabi, M.; Talwalkar, A.; Smith, V. Federated optimization in heterogeneous networks. Proc. Mach. Learn. Syst. 2020, 2, 429–450. [Google Scholar]
- Deng, Y.; Lyu, F.; Ren, J.; Zhang, Y.; Zhou, Y.; Zhang, Y.; Yang, Y. SHARE: Shaping data distribution at edge for communication-efficient hierarchical federated learning. In Proceedings of the 2021 IEEE 41st International Conference on Distributed Computing Systems (ICDCS), Washington, DC, USA, 7–10 July 2021; IEEE: Piscataway, NJ, USA, 2021; pp. 24–34. [Google Scholar]
- Wang, H.; Kaplan, Z.; Niu, D.; Li, B. Optimizing Federated Learning on Non-IID Data with Reinforcement Learning. In Proceedings of the IEEE INFOCOM 2020, Virtual, 6–9 July 2020. [Google Scholar]
- Yang, K.; Jiang, T.; Shi, Y.; Ding, Z. Federated Learning via Over-the-Air Computation. IEEE Trans. Wirel. Commun. 2020, 19, 2022–2035. [Google Scholar] [CrossRef]
- Zeng, Q.; Du, Y.; Huang, K.; Leung, K.K. Energy-efficient radio resource allocation for federated edge learning. In Proceedings of the 2020 IEEE International Conference on Communications Workshops (ICC Workshops), Dublin, Ireland, 7–11 June 2020; IEEE: Piscataway, NJ, USA, 2020; pp. 1–6. [Google Scholar]
- Luo, S.; Chen, X.; Wu, Q.; Zhou, Z.; Yu, S. HFEL: Joint edge association and resource allocation for cost-efficient hierarchical federated edge learning. IEEE Trans. Wirel. Commun. 2020, 19, 6535–6548. [Google Scholar] [CrossRef]
- Khan, L.U.; Alsenwi, M.; Yaqoob, I.; Imran, M.; Han, Z.; Hong, C.S. Resource optimized federated learning-enabled cognitive internet of things for smart industries. IEEE Access 2020, 8, 168854–168864. [Google Scholar] [CrossRef]
- Kang, J.; Xiong, Z.; Niyato, D.; Xie, S.; Zhang, J. Incentive mechanism for reliable federated learning: A joint optimization approach to combining reputation and contract theory. IEEE Internet Things J. 2019, 6, 10700–10714. [Google Scholar] [CrossRef]
- Ye, D.; Yu, R.; Pan, M.; Han, Z. Federated learning in vehicular edge computing: A selective model aggregation approach. IEEE Access 2020, 8, 23920–23935. [Google Scholar] [CrossRef]
- Lim, W.Y.B.; Xiong, Z.; Miao, C.; Niyato, D.; Yang, Q.; Leung, C.; Poor, H.V. Hierarchical incentive mechanism design for federated machine learning in mobile networks. IEEE Internet Things J. 2020, 7, 9575–9588. [Google Scholar] [CrossRef]
- Zhao, Y.; Li, M.; Lai, L.; Suda, N.; Civin, D.; Chandra, V. Federated learning with non-iid data. arXiv 2018, arXiv:1806.00582. [Google Scholar] [CrossRef]
- Yeganeh, Y.; Farshad, A.; Navab, N.; Albarqouni, S. Inverse distance aggregation for federated learning with non-iid data. In Domain Adaptation and Representation Transfer, and Distributed and Collaborative Learning; Springer: Berlin/Heidelberg, Germany, 2020; pp. 150–159. [Google Scholar]
- Shirvanian, N.; Shams, M.; Rahmani, A.M. Internet of Things Data Management: A Systematic Literature Review, Vision, and Future Trends. Int. J. Commun. Syst. 2022, 35, e5267. [Google Scholar] [CrossRef]
- Wang, S.; Tuor, T.; Salonidis, T.; Leung, K.K.; Makaya, C.; He, T.; Chan, K. Adaptive federated learning in resource constrained edge computing systems. IEEE J. Sel. Areas Commun. 2019, 37, 1205–1221. [Google Scholar] [CrossRef]
- Albaseer, A.; Abdallah, M.; Al-Fuqaha, A.; Erbad, A. Fine-Grained Data Selection for Improved Energy Efficiency of Federated Edge Learning. IEEE Trans. Netw. Sci. Eng. 2021, 9, 3258–3271. [Google Scholar] [CrossRef]
- Jeong, E.; Oh, S.; Kim, H.; Park, J.; Bennis, M.; Kim, S.L. Communication-efficient on-device machine learning: Federated distillation and augmentation under non-iid private data. arXiv 2018, arXiv:1811.11479. [Google Scholar]
- Chiu, T.C.; Shih, Y.Y.; Pang, A.C.; Wang, C.S.; Weng, W.; Chou, C.T. Semisupervised distributed learning with non-IID data for AIoT service platform. IEEE Internet Things J. 2020, 7, 9266–9277. [Google Scholar] [CrossRef]
- Zhang, W.; Wang, X.; Zhou, P.; Wu, W.; Zhang, X. Client selection for federated learning with non-iid data in mobile edge computing. IEEE Access 2021, 9, 24462–24474. [Google Scholar] [CrossRef]
- Zhang, P.; Wang, C.; Jiang, C.; Han, Z. Deep Reinforcement Learning Assisted Federated Learning Algorithm for Data Management of IIoT. IEEE Trans. Ind. Inform. 2021, 17, 8475–8484. [Google Scholar] [CrossRef]
- Lim, W.Y.B.; Luong, N.C.; Hoang, D.T.; Jiao, Y.; Liang, Y.; Yang, Q.; Niyato, D.; Miao, C. Federated Learning in Mobile Edge Networks: A Comprehensive Survey. IEEE Commun. Surv. Tutor. 2020, 22, 2031–2063. [Google Scholar] [CrossRef]
- Grippo, L.; Sciandrone, M. On the Convergence of the Block Nonlinear Gauss–Seidel Method under Convex Constraints. Operations Research Letters 2000, 26, 127–136. [Google Scholar] [CrossRef]
- Beck, A.; Tetruashvili, L. On the Convergence of Block Coordinate Descent Type Methods. SIAM J. Optim. 2013, 23, 2037–2060. [Google Scholar] [CrossRef]
- Kim, J.; Kim, D.; Lee, J. Design and Implementation of Kubernetes Enabled Federated Learning Platform. In Proceedings of the 2021 International Conference on Information and Communication Technology Convergence (ICTC), Jeju Island, Republic of Korea, 20–22 October 2021; IEEE: Piscataway, NJ, USA, 2021; pp. 410–412. [Google Scholar]
- Shah, A.K.; Oppenheimer, D.M. Heuristics Made Easy: An Effort-Reduction Framework. Psychol. Bull. 2008, 134, 207. [Google Scholar] [CrossRef] [PubMed]













| Related Works | Topic | Key Contributions |
|---|---|---|
| [6] | Learning Efficiency | Propose dataset and computation management strategy |
| [7] | Data Distribution Management | Augment the minority class and downsample the majority class |
| [9] | Learning Efficiency | Propose batch size selection and radio resource allocation algorithm |
| [26] | Learning Efficiency | Propose an adaptive batch size and learning rate selection algorithm |
| [27] | Learning Efficiency | Choose the data contributing to the improvement of the model |
| [28] | Data Distribution Management | Propose data augmentation strategy using GAN to promote IID data |
| [29] | Data Distribution Management | Swap models among the MDs to alleviate data distribution |
| [30] | Data Distribution Management | Select clients with a low degree of non-IID data using weight divergence |
| [31] | Data Distribution Management | Select clients relevant to the application task employing DRL |
| ADM | Learning Efficiency Data Distribution Management | Balance accuracy and latency by adjusting dataset size Propose a method for diminishing the effect of dataset size over rounds Adjust class distribution on non-IID data |
| Symbol | Definition |
|---|---|
| N | Set of MDs |
| N | Total number of MDs |
| Dn | Dataset of MD n |
| Total number of samples in MD n’s dataset | |
| Adjusted number of samples in MD n’s dataset | |
| Discounting factor | |
| A | Accuracy estimation model |
| Number of CPU cycle of MD n required to process one samples | |
| CPU frequency of MD n | |
| Local model computation latency | |
| Number of training local model iteration | |
| B | Available bandwidth at MEC server |
| Transmission rate of MD n | |
| Size of the local model parameters of MD n | |
| L | End-to-end service latency of FL |
| Dataset adjustment vector | |
| Kullback–Leibler divergence distance | |
| Class adjustment vector |
| Parameter | Value |
|---|---|
| Number of CPU cycles () | 30 cycles/sample |
| Computation capacity () | 3 GHz |
| Noise power () | −114 dBm |
| Size of local model () | 100 Kbits |
| Gamma () | 0.4 |
| Number of MDs (N) | 20 |
| Discounting factor () | 0.9 × 10−8 |
| Method | Data Distribution | MNIST (N = 20, = 3000) | CIFAR-10 (N = 20, = 2500) | MNIST (N = 50, = 1250) | CIFAR-10 (N = 50, = 1000) |
|---|---|---|---|---|---|
| FedAvg (B1) | IID | 99.32% | 54.80% | 98.83% | 53.88% |
| Non-IID ( = 0.8) | 98.98% | 49.63% | 98.48% | 49.54% | |
| HDM (B2) | IID | 99.20% | 54.20% | 98.54% | 50.54% |
| Non-IID ( = 0.8) | 98.86% | 49.59% | 98.04% | 48.53% | |
| ADM | IID | 99.25% | 54.65% | 98.68% | 53.73% |
| Non-IID ( = 0.8) | 98.92% | 49.54% | 98.35% | 49.25% |
| Second/Round (Average) | MNIST ( = 1250) | CIFAR-10 ( = 1000) |
|---|---|---|
| FedAvg (B1) | 40.19 s | 35.61 s |
| HDM (B2) | 24.34 s | 22.14 s |
| ADM | 26.88 s | 26.71 s |
Disclaimer/Publisher’s Note: The statements, opinions and data contained in all publications are solely those of the individual author(s) and contributor(s) and not of MDPI and/or the editor(s). MDPI and/or the editor(s) disclaim responsibility for any injury to people or property resulting from any ideas, methods, instructions or products referred to in the content. |
© 2024 by the authors. Licensee MDPI, Basel, Switzerland. This article is an open access article distributed under the terms and conditions of the Creative Commons Attribution (CC BY) license (https://creativecommons.org/licenses/by/4.0/).
Share and Cite
Kim, J.; Bang, J.; Lee, J. Adaptive Dataset Management Scheme for Lightweight Federated Learning in Mobile Edge Computing. Sensors 2024, 24, 2579. https://doi.org/10.3390/s24082579
Kim J, Bang J, Lee J. Adaptive Dataset Management Scheme for Lightweight Federated Learning in Mobile Edge Computing. Sensors. 2024; 24(8):2579. https://doi.org/10.3390/s24082579
Chicago/Turabian StyleKim, Jingyeom, Juneseok Bang, and Joohyung Lee. 2024. "Adaptive Dataset Management Scheme for Lightweight Federated Learning in Mobile Edge Computing" Sensors 24, no. 8: 2579. https://doi.org/10.3390/s24082579
APA StyleKim, J., Bang, J., & Lee, J. (2024). Adaptive Dataset Management Scheme for Lightweight Federated Learning in Mobile Edge Computing. Sensors, 24(8), 2579. https://doi.org/10.3390/s24082579

