LSTM Short-Term Wind Power Prediction Method Based on Data Preprocessing and Variational Modal Decomposition for Soft Sensors
Abstract
1. Introduction
2. Method
2.1. VMD
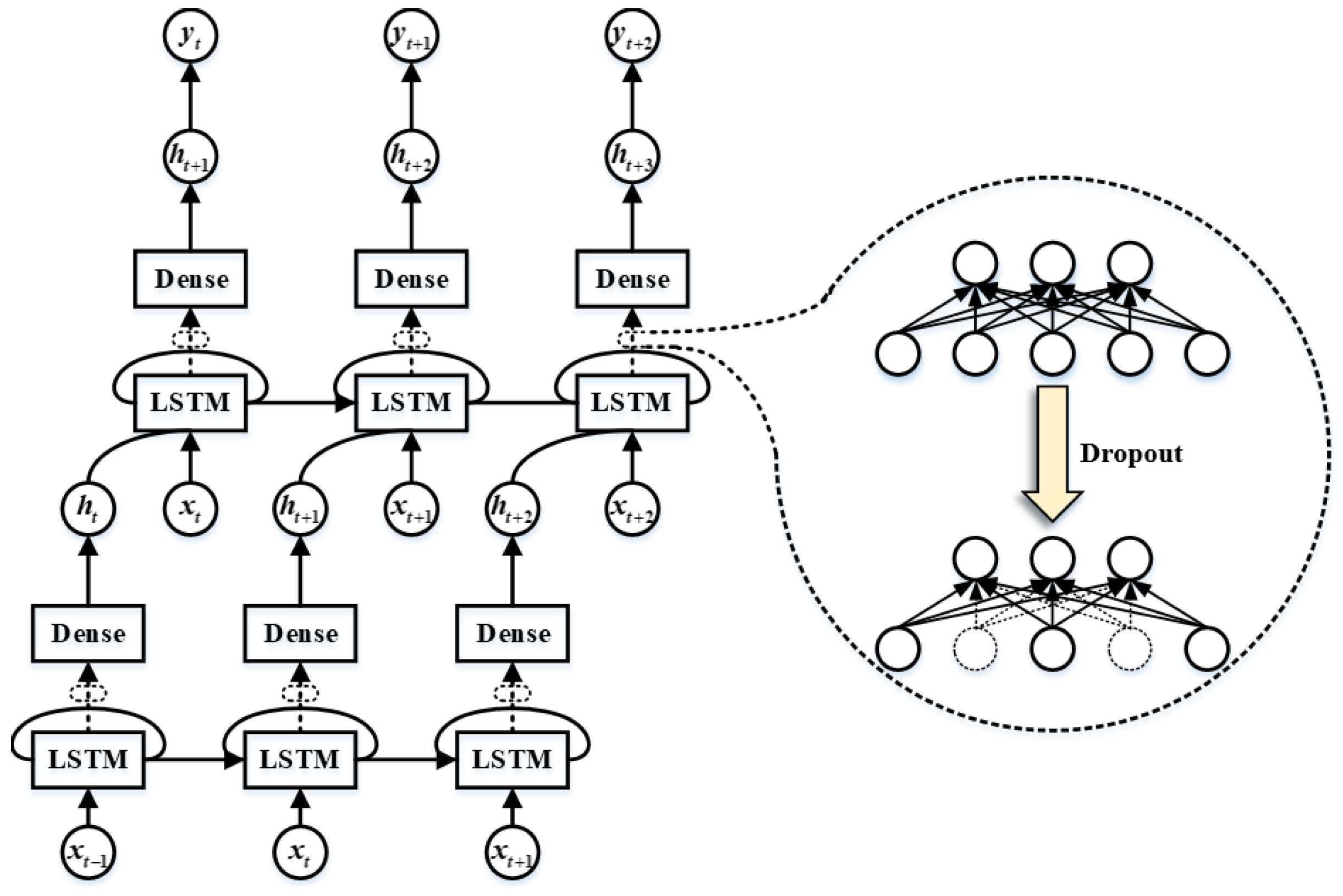
2.2. LSTM
3. Results and Analysis
3.1. Experimental Data and Evaluation Indicators
3.2. Data Preprocessing and Result Analysis
4. Conclusions
- Using the isolated forest algorithm to detect anomalies in the original wind power sequence and to perform multiple imputation processing on missing data.
- In terms of data processing, the experimental data is processed using the minimum-maximum normalization (MMN) method for dimensionless data, and the data values are mapped to the [0, 1] interval, which improves the effectiveness of data processing.
- Compared with the RMSProp algorithm, Adagrad algorithm and SGD Nesterov algorithm, using the Adam algorithm to optimize LSTM network parameters has better convergence accuracy.
- The VMD method has better decomposition results than the CEEMDAN method because its own Wiener filter can effectively complete the noise reduction and prevent modal aliasing.
- Compared with traditional BPNN and SVM, LSTM is suitable for short-term wind power prediction and has better prediction accuracy.
Author Contributions
Funding
Institutional Review Board Statement
Informed Consent Statement
Data Availability Statement
Conflicts of Interest
References
- Wang, J.; Zhu, H.; Zhang, Y.; Cheng, F.; Zhou, C. A novel prediction model for wind power based on improved long short-term memory neural network. Energy 2023, 265, 126283. [Google Scholar] [CrossRef]
- Zheng, H.; Hu, Z.; Wang, X.; Nie, J.; Cui, M. VMD-CAT: A hybrid model for short-term wind power prediction. Energy Rep. 2023, 9, 199–211. [Google Scholar] [CrossRef]
- Hu, X.; Yu, Q.; Han, Y.; Chen, Z.; Geng, Z. Novel complex-valued long short-term memory network integrating variational mode decomposition for soft sensor. J. Process Control. 2023, 129, 103053. [Google Scholar] [CrossRef]
- Ahmed, A.; Khalid, M. A review on the selected applications of forecasting models in renewable power systems. Renew. Sustain. Energy Rev. 2019, 100, 9–21. [Google Scholar] [CrossRef]
- Zhang, Y.; Le, J.; Liao, X.; Feng, Z. A novel combination forecasting model for wind power integrating least square support vector machine, deep belief network, singular spectrum analysis and locality-sensitive hashing. Energy 2019, 168, 558–572. [Google Scholar] [CrossRef]
- Puggini, L.; Seán, M. An enhanced variable selection and Isolation Forest based methodology for anomaly detection with OES data. Eng. Appl. Artif. Intell. 2018, 67, 126–135. [Google Scholar] [CrossRef]
- Parri, S.; Teeparthi, K.; Kosana, V. A hybrid methodology using VMD and disentangled features for wind speed forecasting. Energy 2024, 288, 0360–5442. [Google Scholar] [CrossRef]
- Chen, H.; Wu, H.; Kan, T.; Zhang, J.; Li, H. Low-carbon economic dispatch of integrated energy system containing electric hydrogen production based on VMD-GRU short-term wind power prediction. Int. J. Electr. Power Energy Syst. 2023, 154, 109420. [Google Scholar] [CrossRef]
- Zhao, Z.; Yun, S.; Jia, L.; Guo, J.; Meng, Y.; He, N.; Yang, L. Hybrid VMD-CNN-GRU-based model for short-term forecasting of wind power considering spatio-temporal features. Eng. Appl. Artif. Intell. 2023, 121, 105982. [Google Scholar] [CrossRef]
- Huang, N.; Yuan, C.; Cai, G.; Xing, E. Hybrid Short Term Wind Speed Forecasting Using Variational Mode Decomposition and a Weighted Regularized Extreme Learning Machine. Energies 2016, 9, 989. [Google Scholar] [CrossRef]
- Pascanu, R.; Mikolov, T.; Bengio, Y. On the difficulty of training Recurrent Neural Networks. In Proceedings of the 30th International Conference on Machine Learning, Atlanta, GA, USA, 16–21 June 2013; pp. 1310–1318. [Google Scholar]
- Guan, S.; Wang, Y.; Liu, L.; Gao, J.; Xu, Z.; Kan, S. Ultra-short-term wind power prediction method based on FTI-VACA-XGB model. Expert Syst. Appl. 2024, 235, 121185. [Google Scholar] [CrossRef]
- Yin, L.; Zhao, M. Inception-embedded attention memory fully-connected network for short-term wind power prediction. Appl. Soft Comput. 2023, 141, 110279. [Google Scholar] [CrossRef]
- Yang, S.; Yuan, A.; Yu, Z. A novel model based on CEEMDAN, IWOA, and LSTM for ultra-short-term wind power forecasting. Environ. Sci. Pollut. Res. 2023, 235, 11689–11705. [Google Scholar] [CrossRef] [PubMed]
- Erick, L.; Carlos, V.; Héctor, A.; Esteban, G.; Henrik, M. Wind Power Forecasting Based on Echo State Networks and Long Short-Term Memory. Energies 2018, 11, 526. [Google Scholar] [CrossRef]
- Yu, C.; Li, Y.; Bao, Y.; Tang, H.; Zhai, G. A novel framework for wind speed prediction based on recurrent neural networks and support vector machine. Energy Convers. Manag. 2018, 178, 137–145. [Google Scholar] [CrossRef]
- Curreri, F.; Patanè, L.; Gabriella Xibilia, M. RNN- and LSTM-Based Soft Sensors Transferability for an Industrial Process. Sensors 2021, 21, 823. [Google Scholar] [CrossRef] [PubMed]
- Zhang, F.; Li, N.; Li, L.; Wang, S.; Du, C. A local semi-supervised ensemble learning strategy for the data-driven soft sensor of the power prediction in wind power generation. Fuel 2023, 333, 126435. [Google Scholar] [CrossRef]
- Li, H.; Jing, H.; Zhang, R.; Gao, Z. Wind power forecast based on improved Long Short Term Memory Network. Energy 2019, 189, 116300. [Google Scholar]
- Yu, M.; Niu, D.; Gao, T.; Wang, K.; Sun, L.; Li, M.; Xu, X. A novel framework for ultra-short-term interval wind power prediction based on RF-WOA-VMD and BiGRU optimized by the attention mechanism. Energy 2023, 269, 126738. [Google Scholar] [CrossRef]
- Abou Houran, M.; Bukhari, S.M.S.; Zafar, M.H.; Mansoor, M.; Chen, W. COA-CNN-LSTM: Coati optimization algorithm-based hybrid deep learning model for PV/wind power forecasting in smart grid applications. Appl. Energy 2023, 349, 121638. [Google Scholar] [CrossRef]
- Liu, T.; Ting, K.; Zhou, Z. Spectrum of variable-random trees. J. Artif. Intell. Res. 2008, 32, 355–384. [Google Scholar] [CrossRef]
- Dragomiretskiy, K.; Zosso, D. Variational Mode Decomposition. IEEE Trans. Signal Process. 2014, 62, 531–544. [Google Scholar] [CrossRef]
- Gal, Y.; Ghahramani, Z.B.A. Theoretically Grounded Application of Dropout in Recurrent Neural Networks. Statistics 2016, 29, 285–290. [Google Scholar]
- Duan, J.; Wang, P.; Ma, W.; Tian, X.; Fang, S.; Chen, Y.; Chang, Y.; Liu, H. Short-term wind power forecasting using the hybrid model of improved variational mode decomposition and Correntropy Long Short -term memory neural network. Energy 2021, 214, 118980. [Google Scholar] [CrossRef]
- Liu, W.; Liu, Y.; Fu, L.; Yang, M.; Hu, R. Wind Power Forecasting Method Based on Bidirectional Long Short-Term Memory Neural Network and Error Correction. Electr. Power Compon. Syst. 2022, 49, 1169–1180. [Google Scholar] [CrossRef]
- Hu, X.; Ma, L. Application of VMD-LSTM algorithm in short term load forecasting. Electr. Power Sci. Eng. 2018, 34, 9. [Google Scholar]
- Wang, J.; Li, X.; Zhou, X.; Zhang, K. Ultra-short-term wind speed prediction based on VMD-LSTM. Power Syst. Prot. Control. 2020, 34, 45–52. [Google Scholar]









| Modal Number | Center Frequency/Hz | |||||
|---|---|---|---|---|---|---|
| IMF1 | IMF2 | IMF3 | IMF4 | IMF5 | IMF6 | |
| 2 | 2.81 | 735.23 | ||||
| 3 | 1.43 | 382.21 | 738.86 | |||
| 4 | 1.22 | 114.96 | 390.34 | 740.88 | ||
| 5 | 1.08 | 78.47 | 123.54 | 396.97 | 757.22 | |
| 6 | 0.97 | 21.63 | 52.69 | 135.72 | 397.42 | 761.53 |
| Modal Number | C12 | C23 | C34 | C45 | C56 |
|---|---|---|---|---|---|
| 2 | 0.0915 | ||||
| 3 | 0.0618 | 0.0900 | |||
| 4 | 0.0519 | 0.0901 | 0.0963 | ||
| 5 | 0.3614 | 0.2906 | 0.0257 | 0.0810 | |
| 6 | 0.3501 | 0.2860 | 0.1284 | 0.0284 | 0.0601 |
| BP | SVM | LSTM | VMD-LSTM | CEEMDAN-LSTM | |
|---|---|---|---|---|---|
| RMSE (KW) | 173.8774 | 174.0292 | 131.6665 | 67.6993 | 270.0046 |
| MAE (KW) | 131.4138 | 133.1894 | 103.9460 | 55.7662 | 215.4398 |
| MAPE (%) | 26.9278 | 26.8527 | 21.4184 | 12.0676 | 31.4652 |
Disclaimer/Publisher’s Note: The statements, opinions and data contained in all publications are solely those of the individual author(s) and contributor(s) and not of MDPI and/or the editor(s). MDPI and/or the editor(s) disclaim responsibility for any injury to people or property resulting from any ideas, methods, instructions or products referred to in the content. |
© 2024 by the authors. Licensee MDPI, Basel, Switzerland. This article is an open access article distributed under the terms and conditions of the Creative Commons Attribution (CC BY) license (https://creativecommons.org/licenses/by/4.0/).
Share and Cite
Lei, P.; Ma, F.; Zhu, C.; Li, T. LSTM Short-Term Wind Power Prediction Method Based on Data Preprocessing and Variational Modal Decomposition for Soft Sensors. Sensors 2024, 24, 2521. https://doi.org/10.3390/s24082521
Lei P, Ma F, Zhu C, Li T. LSTM Short-Term Wind Power Prediction Method Based on Data Preprocessing and Variational Modal Decomposition for Soft Sensors. Sensors. 2024; 24(8):2521. https://doi.org/10.3390/s24082521
Chicago/Turabian StyleLei, Peng, Fanglan Ma, Changsheng Zhu, and Tianyu Li. 2024. "LSTM Short-Term Wind Power Prediction Method Based on Data Preprocessing and Variational Modal Decomposition for Soft Sensors" Sensors 24, no. 8: 2521. https://doi.org/10.3390/s24082521
APA StyleLei, P., Ma, F., Zhu, C., & Li, T. (2024). LSTM Short-Term Wind Power Prediction Method Based on Data Preprocessing and Variational Modal Decomposition for Soft Sensors. Sensors, 24(8), 2521. https://doi.org/10.3390/s24082521
