Characterisation at Cryogenic Temperatures of an Attenuator for an Application of Astrophysical Instrumentation with MKIDs
Abstract
1. Introduction
2. Chip Testing Platform
2.1. PCB Design
2.2. Cryogenic System
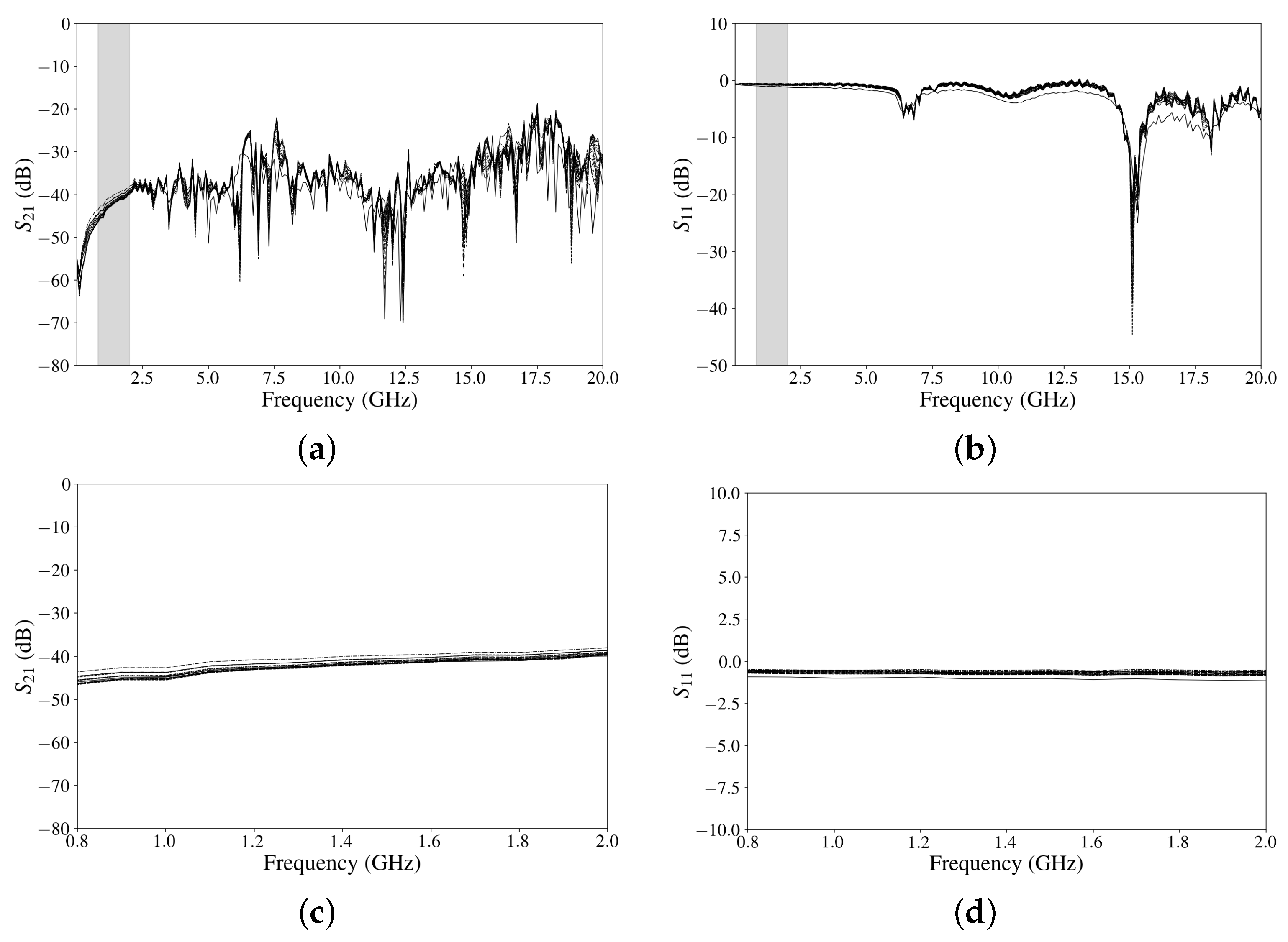
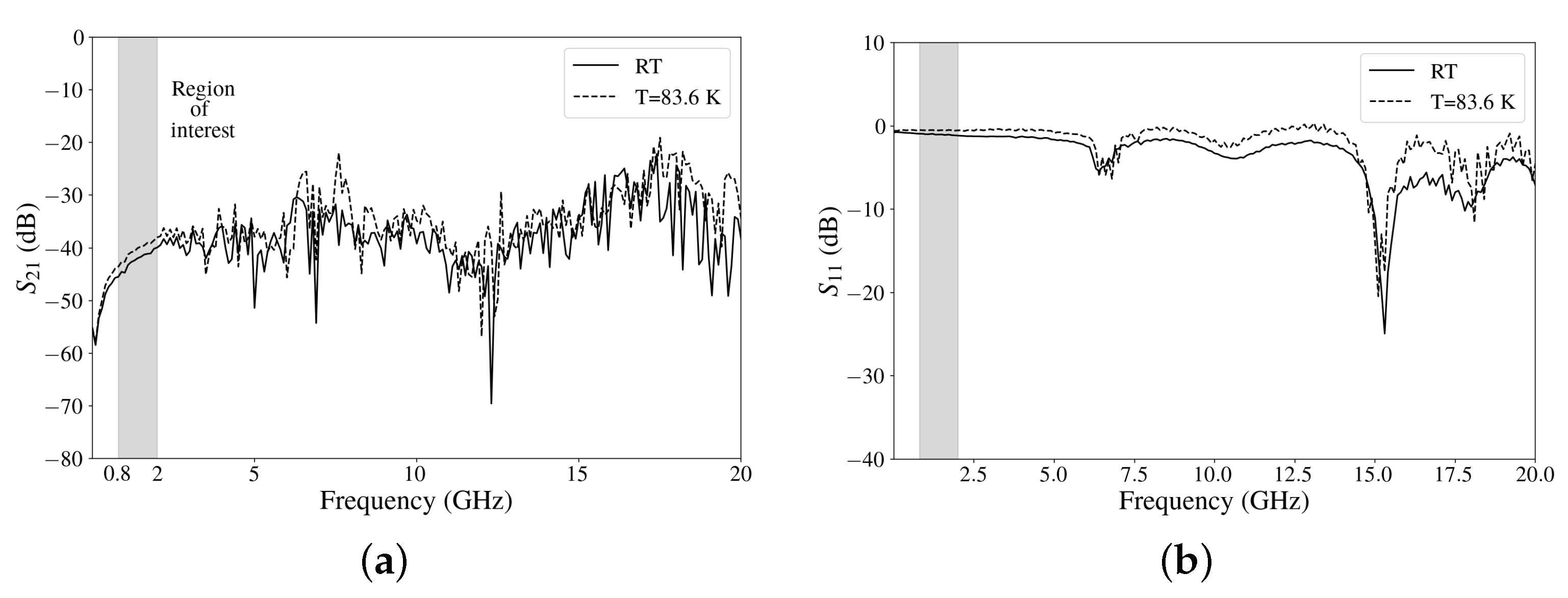
3. Results and Discussion
4. Conclusions
Author Contributions
Funding
Institutional Review Board Statement
Informed Consent Statement
Data Availability Statement
Conflicts of Interest
References
- Day, P.K.; LeDuc, H.G.; Mazin, B.A.; Vayonakis, A.; Zmuidzinas, J. A broadband superconducting detector suitable for use in large arrays. Nature 2003, 425, 817–821. [Google Scholar] [CrossRef]
- Ulbricht, G.; De Lucia, M.; Baldwin, E. Applications for Microwave Kinetic Induction Detectors in Advanced Instrumentation. Appl. Sci. 2021, 11, 2671. [Google Scholar] [CrossRef]
- Baselmans, J.J.A.; Facchin, F.; Pascual Laguna, A.; Bueno, J.; Thoen, D.J.; Murugesan, V.; Llombart, N.; de Visser, P.J. Ultra-sensitive THz microwave kinetic inductance detectors for future space telescopes. A&A 2022, 665, A17. [Google Scholar] [CrossRef]
- Brooks, E.; Barry, P.; Nie, R.; Shirokoff, E.; Filippini, J.; Connors, J.; Gradziel, M.; Mercado, D.; Spencer, L.; Tramm, S.; et al. Development of Microwave Kinetic Inductance Detectors for a THz On-Chip Spectrometer. J. Low Temp. Phys. 2024, 214, 230–237. [Google Scholar] [CrossRef]
- Szypryt, P.; Mazin, B.A.; Bumble, B.; Leduc, H.G.; Baker, L. Ultraviolet, Optical, and Near-IR Microwave Kinetic Inductance Detector Materials Developments. IEEE Trans. Appl. Supercond. 2015, 25, 1–4. [Google Scholar] [CrossRef]
- Adam, R.; Adane, A.; Ade, P.A.R.; André, P.; Andrianasolo, A.; Aussel, H.; Beelen, A.; Benoît, A.; Bideaud, A.; Billot, N.; et al. The NIKA2 large-field-of-view millimetre continuum camera for the 30 m IRAM telescope. Astron. Astrophys. 2018, 609, A115. [Google Scholar] [CrossRef]
- Paiella, A.; Cacciotti, F.; Isopi, G.; Barbavara, E.; Battistelli, E.S.; de Bernardis, P.; Capalbo, V.; Carbone, A.; Carretti, E.; Ciccalotti, E.; et al. The MISTRAL Instrument and the Characterization of Its Detector Array. J. Low Temp. Phys. 2024, 217, 436–445. [Google Scholar] [CrossRef]
- Golwala, S.R.; Beyer, A.D.; Cunnane, D.; Day, P.K.; Defrance, F.; Frez, C.F.; Huang, X.; Kim, J.; Martin, J.M.; Sayers, J.; et al. NEW-MUSIC: The Next-generation Extended-Wavelength MUltiband Sub/millimeter Inductance Camera. In Proceedings of the Millimeter, Submillimeter, and Far-Infrared Detectors and Instrumentation for Astronomy XII; Zmuidzinas, J., Gao, J.R., Eds.; International Society for Optics and Photonics; SPIE: Bellingham, WA, USA, 2024; Volume 13102, p. 1310202. [Google Scholar] [CrossRef]
- Dibert, K.R.; Barry, P.S.; Anderson, A.J.; Benson, B.A.; Cecil, T.; Chang, C.L.; Fichman, K.N.; Karkare, K.; Li, J.; Natoli, T.; et al. Characterization of MKIDs for CMB Observation at 220 GHz With the South Pole Telescope. IEEE Trans. Appl. Supercond. 2023, 33, 1–5. [Google Scholar] [CrossRef]
- University of California, Santa Barbara. Microwave Kinetic Inductance Detectors (MKIDs). Available online: https://web.physics.ucsb.edu/~bmazin/mkids.html (accessed on 28 July 2024).
- Mazin, B.A. Microwave Kinetic Inductance Detectors. Ph.D. Thesis, California Institute of Technology, Pasadena, CA, USA, 2005. [Google Scholar]
- Duan, R.; McHugh, S.; Serfass, B.; Mazin, B.; Merrill, A.; Golwala, S.; Downes, T.; Czakon, N.; Day, P.; Gao, J.; et al. An open-source readout for MKIDs. Proc. SPIE-Int. Soc. Opt. Eng. 2010, 7741, 568–577. [Google Scholar] [CrossRef]
- McHugh, S.; Mazin, B.A.; Serfass, B.; Meeker, S.; O’Brien, K.; Duan, R.; Raffanti, R.; Werthimer, D. A readout for large arrays of microwave kinetic inductance detectors. Rev. Sci. Instrum. 2012, 83, 044702. [Google Scholar] [CrossRef] [PubMed]
- van Rantwijk, J.; Grim, M.; van Loon, D.; Yates, S.; Baryshev, A.; Baselmans, J. Multiplexed Readout for 1000-Pixel Arrays of Microwave Kinetic Inductance Detectors. IEEE Trans. Microw. Theory Tech. 2016, 64, 1876–1883. [Google Scholar] [CrossRef]
- Gordon, S.; Sinclair, A.; Mauskopf, P.; Coppi, G.; Devlin, M.; Dober, B.; Fissel, L.; Galitzki, N.; Gao, J.; Hubmayr, J.; et al. Preflight Detector Characterization of BLAST-TNG. J. Low Temp. Phys. 2020, 200, 400–406. [Google Scholar] [CrossRef]
- Fernández, A.H.; Martín, D.D.; Expósito, D.H.; García, J.J.D.; Hoyland, R.J.; Ramos, L.F.R.; Araújo, Ó.M.T.; Pérez, S.R. Study of a Microwave Kinetic Inductance Detector (MKID) readout system based on FPGAs and SoCs. In Proceedings of the Millimeter, Submillimeter, and Far-Infrared Detectors and Instrumentation for Astronomy XII; Zmuidzinas, J., Gao, J.R., Eds.; International Society for Optics and Photonics; SPIE: Bellingham, WA, USA, 2024; Volume 13102, p. 131022D. [Google Scholar] [CrossRef]
- Paiella, A.; Battistelli, E.S.; Castellano, M.G.; Colantoni, I.; Columbro, F.; Coppolecchia, A.; D’Alessandro, G.; de Bernardis, P.; Gordon, S.; Lamagna, L.; et al. Kinetic Inductance Detectors and readout electronics for the OLIMPO experiment. J. Phys. Conf. Ser. 2019, 1182, 012005. [Google Scholar] [CrossRef]
- Swetz, D.S.; Ade, P.A.R.; Amiri, M.; Appel, J.W.; Battistelli, E.S.; Burger, B.; Chervenak, J.; Devlin, M.J.; Dicker, S.R.; Doriese, W.B.; et al. Overview of the Atacama Cosmology Telescope: Receiver, Instrumentation, and Telescope Systems. Astrophys. J. Suppl. Ser. 2011, 194, 41. [Google Scholar] [CrossRef]
- Dibert, K.; Barry, P.; Pan, Z.; Anderson, A.; Benson, B.; Chang, C.; Karkare, K.; Li, J.; Natoli, T.; Rouble, M.; et al. Development of MKIDs for Measurement of the Cosmic Microwave Background with the South Pole Telescope. J. Low Temp. Phys. 2022, 209, 363–371. [Google Scholar] [CrossRef]
- López-Fernández, I.; Gallego-Puyol, J.D.; Diez, C.; Malo-Gomez, I.; Amils, R.I.; Flückiger, R.; Marti, D.; Hesper, R. A 16-GHz Bandwidth Cryogenic IF Amplifier With 4-K Noise Temperature for Sub-mm Radio-Astronomy Receivers. IEEE Trans. Terahertz Sci. Technol. 2024, 14, 336–345. [Google Scholar] [CrossRef]
- Sheldon, A.; Belostotski, L. A Cryo-CMOS Low-Noise Amplifier With 2.3-to-8.5-K Noise Temperature at 20 K for Highly Integrated Radio-Astronomy Receivers. IEEE Microw. Wirel. Compon. Lett. 2022, 32, 1319–1322. [Google Scholar] [CrossRef]
- Balega, Y.; Bubnov, G.; Chekushkin, A.; Dubrovich, V.; Edelman, V.; Gunbina, A.; Kapustin, S.; Khabarova, T.; Kukushkin, D.; Lapkin, I.; et al. Microwave Receiving System Based on Cryogenic Sensors for the Optical Big Telescope Alt-Azimuth. Sensors 2024, 24, 359. [Google Scholar] [CrossRef]
- Balega, Y.; Bolshakov, O.; Chernikov, A.; Gunbina, A.; Edelman, V.; Efimova, M.; Eliseev, A.; Krasilnikov, A.; Lapkin, I.; Lesnov, I.; et al. Development of Cryogenic Systems for Astronomical Research. Photonics 2024, 11, 257. [Google Scholar] [CrossRef]
- Rosich-Minguell, J.; Rodríguez-Delgado, H.; Matilla-Blanco, E.; Joven, E.; Garzón, F.; Talavera, M.R.G. H2RG controller and data acquisition for GTC-EMIR+. In Proceedings of the Software and Cyberinfrastructure for Astronomy VIII; Ibsen, J., Chiozzi, G., Eds.; International Society for Optics and Photonics; SPIE: Bellingham, WA, USA, 2024; Volume 13101, p. 131012A. [Google Scholar] [CrossRef]
- Hoyland, R.J.; Rubiño-Martín, J.A.; Aguiar-Gonzalez, M.; Alonso-Arias, P.; Artal, E.; Ashdown, M.; Barreiro, R.B.; Casas, F.J.; Colodro-Conde, C.; de la Hoz, E.; et al. The new multi-frequency instrument (MFI2) for the QUIJOTE facility in Tenerife. In Proceedings of the Millimeter, Submillimeter, and Far-Infrared Detectors and Instrumentation for Astronomy XI; Zmuidzinas, J., Gao, J.R., Eds.; International Society for Optics and Photonics; SPIE: Bellingham, WA, USA, 2022; Volume 12190, p. 1219033. [Google Scholar] [CrossRef]
- Sundén, B.; Fu, J. Chapter 5—Cryogenics. In Heat Transfer in Aerospace Applications; Sundén, B., Fu, J., Eds.; Academic Press: Cambridge, MA, USA, 2017; pp. 71–88. [Google Scholar] [CrossRef]
- Rybalko, O. A cryogenic measurement setup for characterization microwave devices. Microw. Opt. Technol. Lett. 2017, 59, 3123–3127. [Google Scholar] [CrossRef]
- AV850M1-00 Datasheet. 18–50 GHz GaAs MMIC Voltage Variable Attenuator. Available online: https://es.datasheetq.com/datasheet-download/18393/1/Alpha/AV850M1-00 (accessed on 19 June 2024).
- Pozar, D. The Lange Coupler; Wiley: New York, NY, USA, 2012. [Google Scholar]
- Lange, J. Interdigitated Stripline Quadrature Hybrid (Correspondence). IEEE Trans. Microw. Theory Tech. 1969, 17, 1150–1151. [Google Scholar] [CrossRef]
- Wu, M.W.; Chiang, Y.C. A 60 GHz power amplifier using lange couplers in GaAS 0.15 µm pHEMT process. Microw. Opt. Technol. Lett. 2012, 54, 2150–2153. [Google Scholar] [CrossRef]
- Rogers Corporation. RT/Duroid® 5870–5880 Data Sheet; Rogers Corporation: Rogers, CT, USA, 2024. [Google Scholar]
- Rodríguez, J.L.M. Medida y Verificación de Circuitos Integrados Para Aplicaciones en Instrumentación Astrofísica con MKIDs. Master’s Thesis, Universidad de La Laguna, La Laguna, Spain, 2022. [Google Scholar]
- Ali, E.M.; Awan, W.A.; Naqvi, S.I.; Alzaidi, M.S.; Alzahrani, A.; Elkamchouchi, D.H.; Falcone, F.; Alharbi, T.E.A. A Low-Profile Antenna for On-Body and Off-Body Applications in the Lower and Upper ISM and WLAN Bands. Sensors 2023, 23, 709. [Google Scholar] [CrossRef]
- Idrees, M.; He, Y.; Ullah, S.; Wong, S.W. A Dual-Band Polarization-Insensitive Frequency Selective Surface for Electromagnetic Shielding Applications. Sensors 2024, 24, 3333. [Google Scholar] [CrossRef]
- Choubey, P.N.; Zhang, X.; He, T.; Hao, N.; Xu, K. Substrate Integrated Waveguide Based Cavity-Backed Circularly-Polarized Antenna for Satellite Communication. Electronics 2023, 12, 1669. [Google Scholar] [CrossRef]
- Tekin, I.; Knox, M. Reconfigurable microstrip patch antenna for WLAN software defined radio applications. Microw. Opt. Technol. Lett. 2012, 54, 644–649. [Google Scholar] [CrossRef]
- Ojaroudi, N.; Ojaroudi, H.; Ojaroudi, Y. Very low profile ultrawideband microstrip band-stop filter. Microw. Opt. Technol. Lett. 2014, 56, 709–711. [Google Scholar] [CrossRef]
- Ren, M.; Lin, L.; Hao, J.; Wang, G.; Wang, Z.; Wang, D.; Shen, H.; Quan, S.; Wang, F.; Feng, L.; et al. Continuous Wave Mode Test of Conduction-Cooled Nb3Sn Radio Frequency Superconducting Cavities at Peking University. Appl. Sci. 2024, 14, 6350. [Google Scholar] [CrossRef]
- Lee, J.; Kim, D.; Mun, J.; Kim, S. Heat-Transfer Characteristics of a Cryogenic Loop Heat Pipe for Space Applications. Energies 2020, 13, 1616. [Google Scholar] [CrossRef]












| Substrate | Requirements | Results | |||
|---|---|---|---|---|---|
| Parameter | Value | Parameter | Value | Parameter | Value |
| Laminate | Rogers RT/duroid® 5880 | Frequency (GHz) | 40 | Dielectric losses (dB) | 0.086 |
| 2.2 | Z, Impedance (Ω) | 50 | Conductor losses (dB) | 0.00022 | |
| tan() | 0.0009 | (°) | 90 | Length, L (mm) | 23.22 |
| d (mm) | 0.25 | Width, W (mm) | 0.75 | ||
| (Tm/A) | |||||
| (S/m) | 5.8 |
Disclaimer/Publisher’s Note: The statements, opinions and data contained in all publications are solely those of the individual author(s) and contributor(s) and not of MDPI and/or the editor(s). MDPI and/or the editor(s) disclaim responsibility for any injury to people or property resulting from any ideas, methods, instructions or products referred to in the content. |
© 2024 by the authors. Licensee MDPI, Basel, Switzerland. This article is an open access article distributed under the terms and conditions of the Creative Commons Attribution (CC BY) license (https://creativecommons.org/licenses/by/4.0/).
Share and Cite
Portero-Rodríguez, D.; García-Vázquez, H.; Martínez-Rodríguez, J.L.; Hernández Alonso, S.E.; Joven Álvarez, E.; Hoyland, R.J.; Díaz García, J.J.; Rodríguez Ramos, L.F. Characterisation at Cryogenic Temperatures of an Attenuator for an Application of Astrophysical Instrumentation with MKIDs. Sensors 2024, 24, 8129. https://doi.org/10.3390/s24248129
Portero-Rodríguez D, García-Vázquez H, Martínez-Rodríguez JL, Hernández Alonso SE, Joven Álvarez E, Hoyland RJ, Díaz García JJ, Rodríguez Ramos LF. Characterisation at Cryogenic Temperatures of an Attenuator for an Application of Astrophysical Instrumentation with MKIDs. Sensors. 2024; 24(24):8129. https://doi.org/10.3390/s24248129
Chicago/Turabian StylePortero-Rodríguez, Diego, Hugo García-Vázquez, José Luis Martínez-Rodríguez, Sergio Elías Hernández Alonso, Enrique Joven Álvarez, Roger John Hoyland, José Javier Díaz García, and Luis Fernando Rodríguez Ramos. 2024. "Characterisation at Cryogenic Temperatures of an Attenuator for an Application of Astrophysical Instrumentation with MKIDs" Sensors 24, no. 24: 8129. https://doi.org/10.3390/s24248129
APA StylePortero-Rodríguez, D., García-Vázquez, H., Martínez-Rodríguez, J. L., Hernández Alonso, S. E., Joven Álvarez, E., Hoyland, R. J., Díaz García, J. J., & Rodríguez Ramos, L. F. (2024). Characterisation at Cryogenic Temperatures of an Attenuator for an Application of Astrophysical Instrumentation with MKIDs. Sensors, 24(24), 8129. https://doi.org/10.3390/s24248129

