Enhancing Biophysical Muscle Fatigue Model in the Dynamic Context of Soccer
Abstract
1. Introduction
1.1. Related Work
- Complex parameter selection and implementation;
- Suitability primarily for maximum effort or non-dynamic changes in effort;
- Limited data for result reproducibility and comparison.
1.2. Contributions and Structure
- Adjustment of the SNS approach to accommodate dynamic changes in (representing the active units required by the brain based on the athlete’s goals during exertion);
- Optimizing the MFM parameters during the repeated sprinting test to show its efficacy in a soccer match;
- The provision of full access to the dataset utilized in this manuscript and the accompanying code.
2. Materials and Methods
2.1. Study Design
2.2. Data Acquisition
2.3. Data Preprocessing
2.4. Soccer MFM
2.5. Procedures
2.6. MFM Workflow for Athlete Insights
3. Results
3.1. Comparison with Base Model
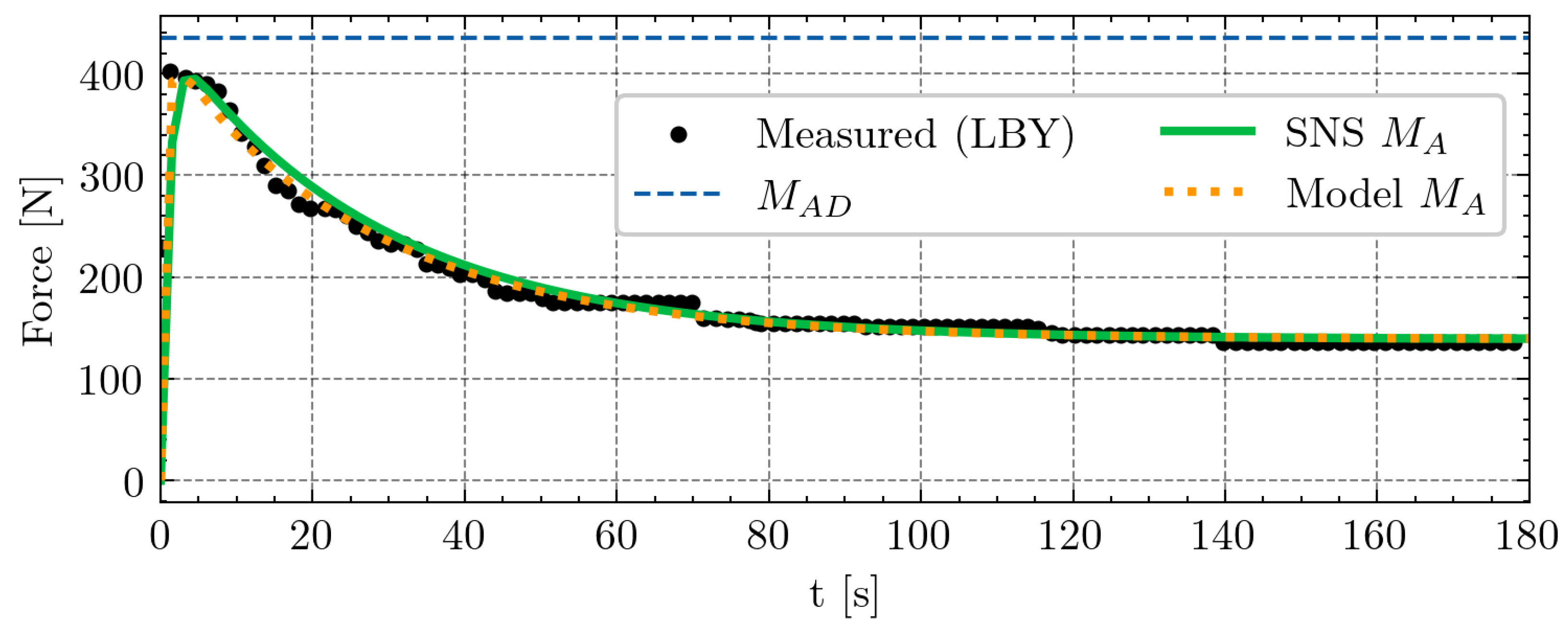
3.1.1. Maximal Hand-Grip Test
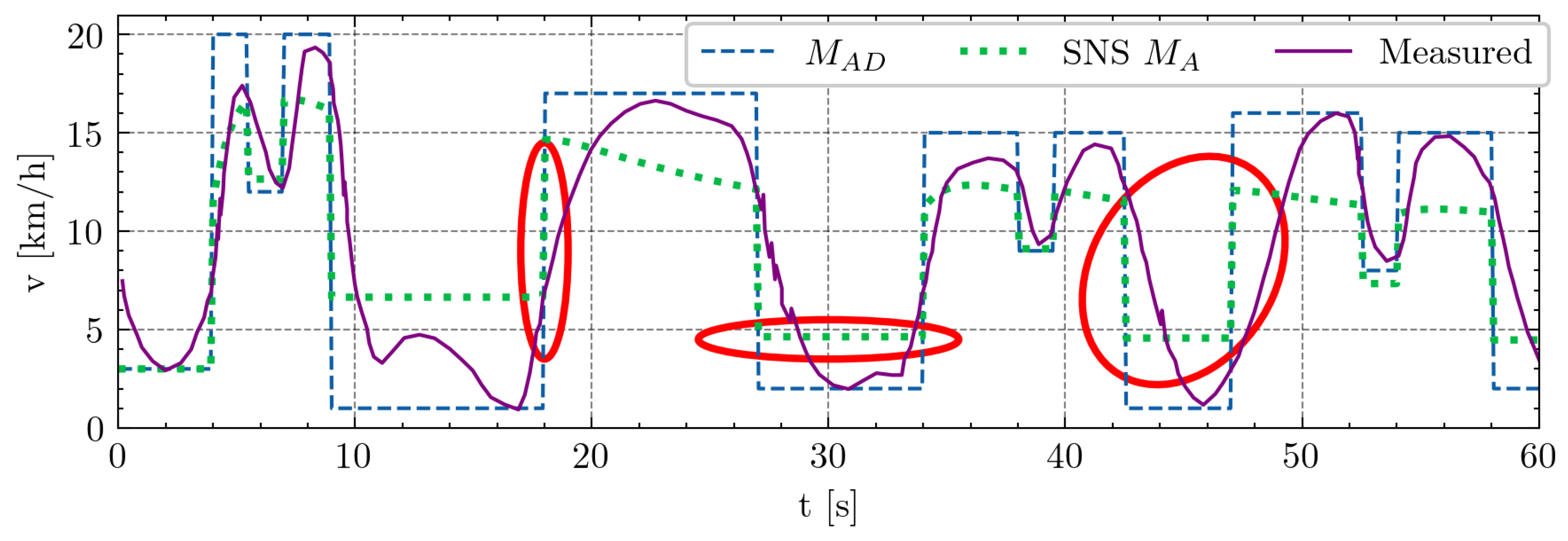
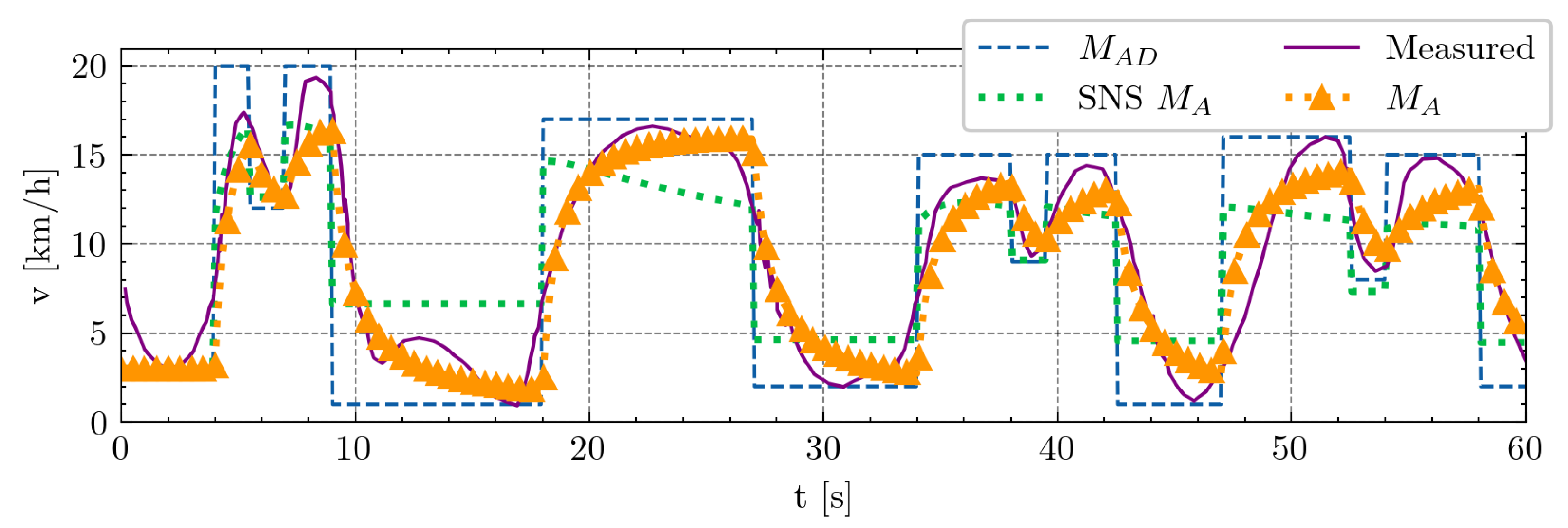
3.1.2. Soccer-Specific 1 Min Drill
3.1.3. Soccer-Specific Intermittent Treadmill Protocol
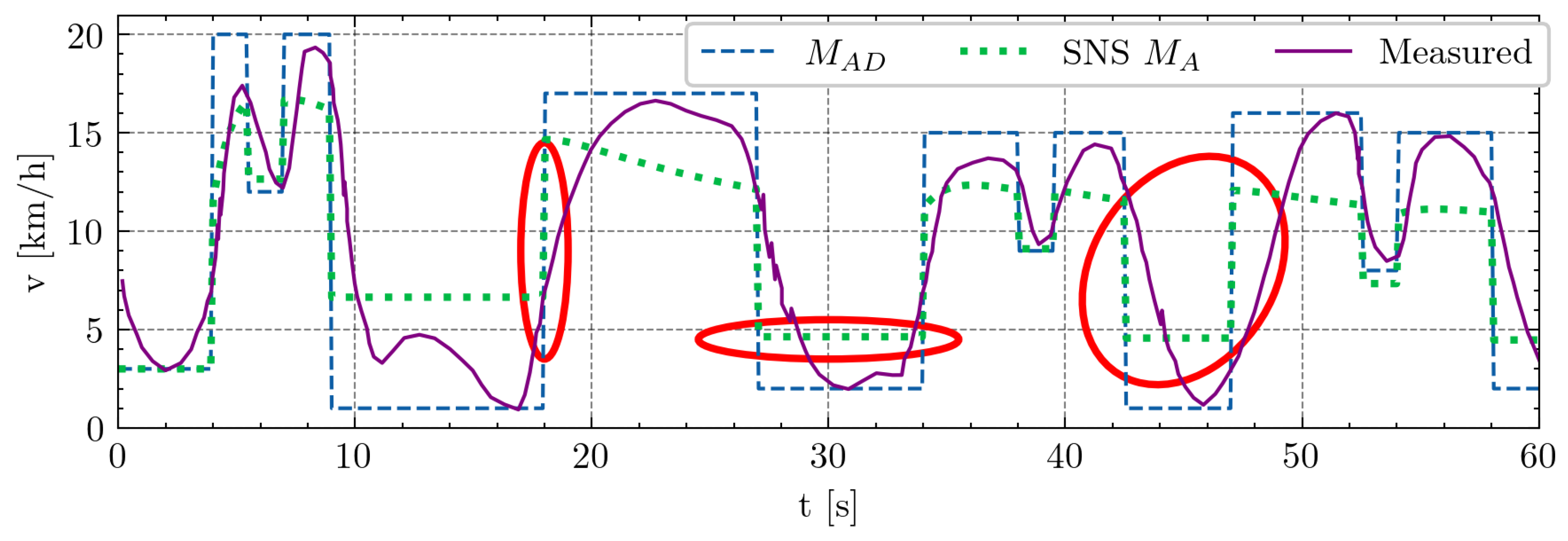
3.2. Model Performance
3.3. Match Applicability
4. Discussion
5. Conclusions
Author Contributions
Funding
Institutional Review Board Statement
Informed Consent Statement
Data Availability Statement
Conflicts of Interest
Abbreviations
| SNS | Sih, Ng, and Stuhmiller [14] |
| LBY | Liu, Brown, and Yue [9] |
| MFM | muscle fatigue model |
| GPS | global positioning system |
| PSO | particle swarm optimization |
| MVC | maximum voluntary contraction |
| CID | change in direction |
| Nomenclature | |
| Rate of muscle unit activation | |
| Rate of muscle unit deactivation | |
| F | Rate at which active motor units fatigue |
| R | Rate at which fatigued motor units recover |
| Total number of motor units (or total force-generating capacity) | |
| Number of active and unfatigued motor units | |
| Number of active and unfatigued motor units demanded | |
| Number of fatigued motor units | |
| Number of currently available motor units | |
| t | Time (s) |
Appendix A. Optimization Stability
| Run | |||||||
|---|---|---|---|---|---|---|---|
| 1 | 850 | 3,270,712 | |||||
| 2 | 1560 | 3,294,160 | |||||
| 3 | 960 | 3,278,023 | |||||
| 4 | 630 | 3,271,489 | |||||
| 5 | 810 | 3,284,659 | |||||
| 6 | 1130 | 3,294,352 | |||||
| 7 | 1040 | 3,292,478 | |||||
| 8 | 2270 | 3,278,294 | |||||
| 9 | 1440 | 3,285,208 | |||||
| 10 | 660 | 3,288,196 |
References
- Zambom-Ferraresi, F.; Iráizoz, B.; Lera-López, F. Are football managers as efficient as coaches? Performance analysis with ex ante and ex post inputs in the Premier league. Appl. Econ. 2019, 51, 303–314. [Google Scholar] [CrossRef]
- Sayers, A.; Sayers, B.E.; Binkley, H. Preseason Fitness Testing in National Collegiate Athletic Association Soccer. Strength Cond. J. 2008, 30, 70. [Google Scholar] [CrossRef]
- Buchheit, M.; Al Haddad, H.; Millet, G.P.; Lepretre, P.M.; Newton, M.; Ahmaidi, S. Cardiorespiratory and Cardiac Autonomic Responses to 30-15 Intermittent Fitness Test in Team Sport Players. J. Strength Cond. Res. 2009, 23, 93. [Google Scholar] [CrossRef]
- Rashedi, E.; Nussbaum, M.A. A review of occupationally-relevant models of localised muscle fatigue. Int. J. Hum. Factors Model. Simul. 2015, 5, 61. [Google Scholar] [CrossRef]
- Frýbort, P.; Kokštejn, J.; Musálek, M.; Süss, V. Does Physical Loading Affect The Speed and Accuracy of Tactical Decision-Making in Elite Junior Soccer Players? J. Sport. Sci. Med. 2016, 15, 320–326. [Google Scholar]
- Rashedi, E.; Nussbaum, M.A. Mathematical Models of Localized Muscle Fatigue: Sensitivity Analysis and Assessment of Two Occupationally-Relevant Models. PLoS ONE 2015, 10, e0143872. [Google Scholar] [CrossRef] [PubMed]
- Akenhead, R.; Nassis, G.P. Training Load and Player Monitoring in High-Level Football: Current Practice and Perceptions. Int. J. Sport. Physiol. Perform. 2016, 11, 587–593. [Google Scholar] [CrossRef] [PubMed]
- Fleming, P.; Young, C.; Dixon, S.; Carré, M. Athlete and coach perceptions of technology needs for evaluating running performance. Sport. Eng. 2010, 13, 1–18. [Google Scholar] [CrossRef]
- Liu, J.Z.; Brown, R.W.; Yue, G.H. A dynamical model of muscle activation, fatigue, and recovery. Biophys. J. 2002, 82, 2344–2359. [Google Scholar] [CrossRef] [PubMed]
- Xia, T.; Frey Law, L.A. A theoretical approach for modeling peripheral muscle fatigue and recovery. J. Biomech. 2008, 41, 3046–3052. [Google Scholar] [CrossRef]
- Gede, G.; Hubbard, M. A bioenergetic model for simulating athletic performance of intermediate duration. J. Biomech. 2014, 47, 3448–3453. [Google Scholar] [CrossRef] [PubMed]
- Looft, J.M. Adaptation and Validation of an Analytical Localized Muscle Fatigue Model for Workplace Tasks. Ph.D. Thesis, University of Iowa, Iowa City, IA, USA, 2014. [Google Scholar] [CrossRef]
- Sonne, M.W.; Potvin, J.R. A modified version of the three-compartment model to predict fatigue during submaximal tasks with complex force-time histories. Ergonomics 2016, 59, 85–98. [Google Scholar] [CrossRef] [PubMed]
- Sih, B.; Ng, L.; Stuhmiller, J. Generalization of a Model Based on Biophysical Concepts of Muscle Activation, Fatigue and Recovery that Explains Exercise Performance. Int. J. Sport. Med. 2012, 33, 258–267. [Google Scholar] [CrossRef] [PubMed]
- Frey-Law, L.A.; Schaffer, M.; Urban, F.K. Muscle fatigue modelling: Solving for fatigue and recovery parameter values using fewer maximum effort assessments. Int. J. Ind. Ergon. 2021, 82, 103104. [Google Scholar] [CrossRef]
- Duan, T.; Huang, B.; Li, X.; Pei, J.; Li, Y.; Ding, C.; Wang, L. Real-time indicators and influence factors of muscle fatigue in push-type work. Int. J. Ind. Ergon. 2020, 80, 103046. [Google Scholar] [CrossRef]
- Giat, Y.; Mizrahi, J.; Levy, M. A model of fatigue and recovery in paraplegic’s quadriceps muscle subjected to intermittent FES. J. Biomech. Eng. 1996, 118, 357–366. [Google Scholar] [CrossRef] [PubMed]
- Ding, J.; Lee, S.C.K.; Johnston, T.E.; Wexler, A.S.; Scott, W.B.; Binder-Macleod, S.A. Mathematical model that predicts isometric muscle forces for individuals with spinal cord injuries. Muscle Nerve 2005, 31, 702–712. [Google Scholar] [CrossRef] [PubMed]
- Marion, M.S.; Wexler, A.S.; Hull, M.L. Predicting fatigue during electrically stimulated non-isometric contractions. Muscle Nerve 2010, 41, 857–867. [Google Scholar] [CrossRef]
- Savoia, C.; Padulo, J.; Colli, R.; Marra, E.; McRobert, A.; Chester, N.; Azzone, V.; Pullinger, S.A.; Doran, D.A. The Validity of an Updated Metabolic Power Algorithm Based upon di Prampero’s Theoretical Model in Elite Soccer Players. Int. J. Environ. Res. Public Health 2020, 17, 9554. [Google Scholar] [CrossRef]
- Greig, M.; Siegler, J. Soccer-Specific Fatigue and Eccentric Hamstrings Muscle Strength. J. Athl. Train. 2009, 44, 180–184. [Google Scholar] [CrossRef]
- Rohatgi, A. Webplotdigitizer: Version 4.6. 2022. Available online: https://automeris.io (accessed on 10 February 2024).
- Kram, R.; Taylor, C.R. Energetics of running: A new perspective. Nature 1990, 346, 265–267. [Google Scholar] [CrossRef]
- Ahila, R.; Sadasivam, V.; Manimala, K. Particle Swarm Optimization-Based Feature Selection and Parameter Optimization for Power System Disturbances Classification. Appl. Artif. Intell. 2012, 26, 832–861. [Google Scholar] [CrossRef]
- Lames, M.; Hermann, S.; Prüßner, R.; Meth, H. Football Match Dynamics Explored by Recurrence Analysis. Front. Psychol. 2021, 12, 747058. [Google Scholar] [CrossRef] [PubMed]
- Girard, O.; Mendez-Villanueva, A.; Bishop, D. Repeated-Sprint Ability—Part I: Factors Contributing to Fatigue. Sport. Med. 2011, 41, 673–694. [Google Scholar] [CrossRef]
- Jones, J.N.; Priest, J.W.; Marble, D.K. Kinetic Energy Factors in Evaluation of Athletes. J. Strength Cond. Res. 2008, 22, 2050. [Google Scholar] [CrossRef] [PubMed]
- Rampinini, E.; Coutts, A.J.; Castagna, C.; Sassi, R.; Impellizzeri, F.M. Variation in Top Level Soccer Match Performance. Int. J. Sport. Med. 2007, 28, 1018–1024. [Google Scholar] [CrossRef]
- Decroos, T.; Van Haaren, J.; Davis, J. Automatic Discovery of Tactics in Spatio-Temporal Soccer Match Data. In Proceedings of the 24th ACM SIGKDD International Conference on Knowledge Discovery & Data Mining, KDD ’18, New York, NY, USA, 19–23 August 2018; pp. 223–232. [Google Scholar] [CrossRef]
- Russell, M.; Benton, D.; Kingsley, M. The Effects of Fatigue on Soccer Skills Performed During a Soccer Match Simulation. Int. J. Sport. Physiol. Perform. 2011, 6, 221–233. [Google Scholar] [CrossRef] [PubMed]
- Yi, Q.; Gómez, M.A.; Wang, L.; Huang, G.; Zhang, H.; Liu, H. Technical and physical match performance of teams in the 2018 FIFA World Cup: Effects of two different playing styles. J. Sport. Sci. 2019, 37, 2569–2577. [Google Scholar] [CrossRef] [PubMed]










| Player | ||||||||
|---|---|---|---|---|---|---|---|---|
| Athlete1 | 850 | 3341 | ||||||
| Athlete2 | 770 | 2503 | ||||||
| Athlete3 | 1100 | 2666 | ||||||
| Athlete4 | 1110 | 3530 | ||||||
| Athlete5 | 930 | 2599 |
| Player | Minutes | ||||||
|---|---|---|---|---|---|---|---|
| Athlete1 | 250 | ||||||
| Athlete2 | 224 | ||||||
| Athlete3 | 260 | ||||||
| Athlete4 | 222 | ||||||
| Athlete5 | 276 |
Disclaimer/Publisher’s Note: The statements, opinions and data contained in all publications are solely those of the individual author(s) and contributor(s) and not of MDPI and/or the editor(s). MDPI and/or the editor(s) disclaim responsibility for any injury to people or property resulting from any ideas, methods, instructions or products referred to in the content. |
© 2024 by the authors. Licensee MDPI, Basel, Switzerland. This article is an open access article distributed under the terms and conditions of the Creative Commons Attribution (CC BY) license (https://creativecommons.org/licenses/by/4.0/).
Share and Cite
Skoki, A.; Ivić, S.; Ljubic, S.; Lerga, J.; Štajduhar, I. Enhancing Biophysical Muscle Fatigue Model in the Dynamic Context of Soccer. Sensors 2024, 24, 8128. https://doi.org/10.3390/s24248128
Skoki A, Ivić S, Ljubic S, Lerga J, Štajduhar I. Enhancing Biophysical Muscle Fatigue Model in the Dynamic Context of Soccer. Sensors. 2024; 24(24):8128. https://doi.org/10.3390/s24248128
Chicago/Turabian StyleSkoki, Arian, Stefan Ivić, Sandi Ljubic, Jonatan Lerga, and Ivan Štajduhar. 2024. "Enhancing Biophysical Muscle Fatigue Model in the Dynamic Context of Soccer" Sensors 24, no. 24: 8128. https://doi.org/10.3390/s24248128
APA StyleSkoki, A., Ivić, S., Ljubic, S., Lerga, J., & Štajduhar, I. (2024). Enhancing Biophysical Muscle Fatigue Model in the Dynamic Context of Soccer. Sensors, 24(24), 8128. https://doi.org/10.3390/s24248128

