Investigation of Separating Temperature-Induced Structural Strain Using Improved Blind Source Separation (BSS) Technique
Abstract
1. Introduction
2. Fundamental Theory and Methodology
2.1. Blind Source Separation
2.2. Second-Order Blind Separation
- Based on Equation (3), perform whitening on :where is the whitening matrix that minimizes the correlation between the components of the signal and transforms its covariance matrix into an identity matrix.
 - The delay covariance matrix of the source signal can be written as:where represents the delay covariance matrix of , and denotes the delay constant. The selection criteria for the integer involve a cyclic traversal within the range from 1 to , where can be determined using the following equation:where represents the artificially selected initial delay parameter (typically, values of less than 10 are generally sufficient, as excessively large values are unnecessary and can lead to decreased computational efficiency), and indicates the number of rows in the observed signal matrix . The delay covariance matrix of the source signal after whitening preprocessing can be formulated as:By taking a set of distinct values for , which represent different time delays, it derives:andwhere is an orthogonal matrix, and it is known that is a diagonal matrix.
 - Based on , the optimal approximation algorithm is employed to find the optimal matrix , and subsequently, the blind source separation matrix is calculated as:
 
2.3. Advantages of SOBI
2.4. TS-SOBI Method
3. Numerical Verification
3.1. Finite Element Model
3.2. Working Condition 1: Static Load
3.3. Working Condition 2: Sudden Load
4. Experimental Validation
4.1. Structural Strain Collection
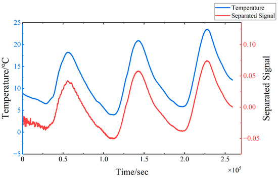
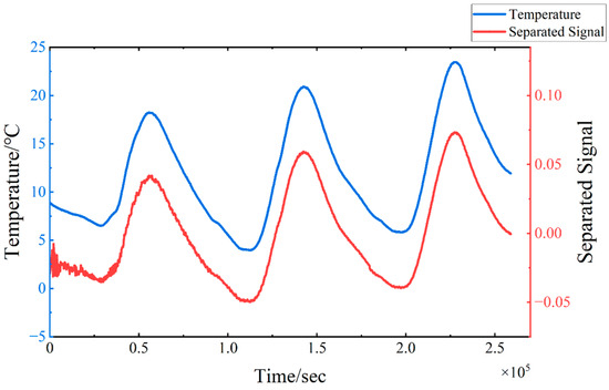
4.2. Structural Strain Separation with TS-SOBI
5. Conclusions
- TS-SOBI optimizes the determination of the whitening matrix within the framework of SOBI by utilizing a multi-step time delay mechanism that is better suited to the problem of strain separation.
 - In the numerical simulation, TS-SOBI effectively accomplishes the separation of temperature-induced strain under both static and sudden loading conditions. Furthermore, in the validation using real bridge data, the separation results obtained with TS-SOBI demonstrate a consistent time-lag phenomenon when compared with the actual bridge temperature curve, further confirming the validity of this method.
 - After separating the temperature-induced strains using the TS-SOBI method, the remaining strain components can indicate changes in load conditions. This aligns with the sudden load changes observed in the numerical simulations and the daily traffic load trends identified during the validation with real bridge data. Consequently, TS-SOBI exhibits significant potential for offering critical insights into the overall health status of the bridge.
 
Author Contributions
Funding
Institutional Review Board Statement
Informed Consent Statement
Data Availability Statement
Conflicts of Interest
References
- Xu, W.; Ding, K.; Liu, J.; Cao, M.; Radzieński, M.; Ostachowicz, W. Non-uniform crack identification in plate-like structures using wavelet 2D modal curvature under noisy conditions. Mech. Syst. Signal Process. 2019, 126, 469–489. [Google Scholar] [CrossRef]
 - Cui, L.; Xu, H.; Ge, J.; Cao, M.; Xu, Y.; Xu, W.; Sumarac, D. Use of bispectrum analysis to inspect the non-linear dynamic characteristics of beam-type structures containing a breathing crack. Sensors 2021, 21, 1177. [Google Scholar] [CrossRef] [PubMed]
 - Cao, M.; Qiao, P.; Ren, Q. Improved hybrid wavelet neural network methodology for time-varying behavior prediction of engineering structures. Neural Comput. Appl. 2009, 18, 821–832. [Google Scholar] [CrossRef]
 - Dutton, M.; Take, W.A.; Hoult, N.A. Curvature monitoring of beams using digital image correlation. J. Bridge Eng. 2014, 19, 05013001. [Google Scholar] [CrossRef]
 - Ngeljaratan, L.; Moustafa, M.A. Structural health monitoring and seismic response assessment of bridge structures using target-tracking digital image correlation. Eng. Struct. 2020, 213, 110551. [Google Scholar] [CrossRef]
 - Zhang, G.; Wu, Y.; Zhao, W.; Zhang, J. Radar-based multipoint displacement measurements of a 1200-m-long suspension bridge. ISPRS J. Photogramm. Remote Sens. 2020, 167, 71–84. [Google Scholar] [CrossRef]
 - Macchiarulo, V.; Kuai, H.; Karamitopoulos, P.; Milillo, P.; Giardina, G. Structural evaluation of urban bridges in Amsterdam through InSAR-based displacement data. E J. Nondestruct. Test. 2024, 29, 1–8. [Google Scholar] [CrossRef]
 - Wang, X.; Wu, W.; Du, Y.; Cao, J.; Chen, Q.; Xia, Y. Wireless IoT monitoring system in Hong Kong–Zhuhai–Macao bridge and edge computing for anomaly detection. IEEE Internet Things J. 2023, 11, 4763–4774. [Google Scholar] [CrossRef]
 - Dos Reis, J.; Oliveira Costa, C.; Sá da Costa, J. Strain gauges debonding fault detection for structural health monitoring. Struct. Control. Health Monit. 2018, 25, e2264. [Google Scholar] [CrossRef]
 - Nie, M.; Xia, Y.-H.; Yang, H.-S. A flexible and highly sensitive graphene-based strain sensor for structural health monitoring. Clust. Comput. 2019, 22, 8217–8224. [Google Scholar] [CrossRef]
 - Anas, M.; Nasir, M.A.; Asfar, Z.; Nauman, S.; Akalin, M.; Ahmad, F. Structural health monitoring of GFRP laminates using graphene-based smart strain gauges. J. Braz. Soc. Mech. Sci. Eng. 2018, 40, 1–10. [Google Scholar] [CrossRef]
 - Aminfar, K.; Ghyabi, M.; Shen, Y.; Lattanzi, D.; Ciaramella, G.; Gherlone, M.; Surace, C. Data fusion in structural health monitoring: Integrating computer vision and strain gauges for enhanced inspection. In Bridge Maintenance, Safety, Management, Digitalization and Sustainability; CRC Press: Boca Raton, FL, USA, 2024; pp. 709–716. [Google Scholar]
 - Shen, L.; Monte, F.L.; Di Luzio, G.; Cusatis, G.; Li, W.; Felicetti, R.; Lombardi, F.; Lualdi, M.; Cao, M.; Ren, Q. On the moisture migration of concrete subject to high temperature with different heating rates. Cem. Concr. Res. 2021, 146, 106492. [Google Scholar] [CrossRef]
 - Luo, J.; Huang, M.; Lei, Y. Temperature effect on vibration properties and vibration-based damage identification of bridge structures: A literature review. Buildings 2022, 12, 1209. [Google Scholar] [CrossRef]
 - Xia, Q.; Cheng, Y.; Zhang, J.; Zhu, F. In-service condition assessment of a long-span suspension bridge using temperature-induced strain data. J. Bridge Eng. 2017, 22, 04016124. [Google Scholar] [CrossRef]
 - Fang, J.; Huang, T.; Li, M.; Wang, Y. A method of modeling temperature-strain mapping relationship for long-span cable-stayed bridges using transfer learning and bi-directional long short-term memory neural network. Zhendong Yu Chongji J. Vib. Shock. 2023, 42, 126–134+186. [Google Scholar] [CrossRef]
 - Zhu, Q.-X.; Wang, H.; Mao, J.-X.; Wan, H.-P.; Zheng, W.-Z.; Zhang, Y.-M. Investigation of temperature effects on steel-truss bridge based on long-term monitoring data: Case study. J. Bridge Eng. 2020, 25, 05020007. [Google Scholar] [CrossRef]
 - Xia, Q.; Zhou, L.; Zhang, J. Thermal performance analysis of a long-span suspension bridge with long-term monitoring data. J. Civ. Struct. Health Monit. 2018, 8, 543–553. [Google Scholar] [CrossRef]
 - Sun, Y.-Q.; Zhao, Z.-Z. Real-time seperation of temperature effect on dynamic strain monitoring and moving load identification of bridge structure. Eng. Mech. 2019, 36, 186–194. [Google Scholar]
 - Kromanis, R.; Kripakaran, P. Predicting thermal response of bridges using regression models derived from measurement histories. Comput. Struct. 2014, 136, 64–77. [Google Scholar] [CrossRef]
 - Wang, H.; Zhang, Y.-M.; Mao, J.-X.; Wan, H.-P.; Tao, T.-Y.; Zhu, Q.-X. Modeling and forecasting of temperature-induced strain of a long-span bridge using an improved Bayesian dynamic linear model. Eng. Struct. 2019, 192, 220–232. [Google Scholar] [CrossRef]
 - Zhou, Y.; Zheng, J.; Hao, G.; Wei, J.; Li, J.; Zhu, Z. A Temperature Effect Prediction Method for Long-Span Bridges Based on Meteorological Big Data. Hunan Daxue Xuebao J. Hunan Univ. Nat. Sci. 2024, 51, 164–176. [Google Scholar]
 - Liu, J.; Liu, Y.-J.; Ma, Z.-Y.; Lyu, Y. Temperature Gradient Action of Steel-concrete Composite Girder Bridge: Regional Difference and Isoline Map. Zhongguo Gonglu Xuebao China J. Highw. Transp. 2023, 36, 135–149. [Google Scholar]
 - Zhu, Q.-X.; Wang, H.; Mao, J.-X.; Min, J.-Y.; Liu, J.-R.; Wang, W.-J. Prediction of Strain Response of Bridges Under Ambient Excitation Based on Adaptive Network-based Fuzzy Inference System. Zhongguo Gonglu Xuebao China J. Highw. Transp. 2019, 32, 62–70+117. [Google Scholar]
 - Bai, X.; Yang, N.; Yang, Q. Temperature effect on the structural strains of an ancient Tibetan building based on long-term monitoring data. Earthq. Eng. Eng. Vib. 2018, 17, 641–657. [Google Scholar] [CrossRef]
 - Wu, B.; Li, Z.; Wang, Y.; Chan, T. Separation and extraction of bridge dynamic strain data. Front. Archit. Civ. Eng. China 2009, 3, 395–400. [Google Scholar] [CrossRef]
 - Li, M.; Ren, W.-X.; Hu, Y.-D.; Wang, N.-B. Separating temperature effect from dynamic strain measurements of a bridge based on analytical mode decomposition method. Zhendong Yu Chongji J. Vib. Shock. 2012, 31, 6–10+29. [Google Scholar]
 - Tenelema, F.J.; Delgadillo, R.M.; Casas, J.R. Bridge damage detection and quantification under environmental effects by Principal Component Analysis. In Proceedings of the 1st Conference of the European Association on Quality Control of Bridges and Structures: EUROSTRUCT 2021, Padua, Italy, 29 August–1 September 2021; Springer: Berlin/Heidelberg, Germany, 2022; pp. 183–190. [Google Scholar]
 - Li, S.; Xu, H.; Zhang, X.; Cao, M.; Sumarac, D.; Novák, D. Automatic uncoupling of massive dynamic strains induced by vehicle-and temperature-loads for monitoring of operating bridges. Mech. Syst. Signal Process. 2022, 166, 108332. [Google Scholar] [CrossRef]
 - Chen, C.; Wang, Z.; Wang, Y.; Wang, T.; Luo, Z. Reliability Assessment for PSC Box-Girder Bridges Based on SHM Strain Measurements. J. Sens. 2017, 2017, 8613659. [Google Scholar] [CrossRef]
 - Saha, S.; Hadigheh, S.; Rukhlenko, I.; Valix, M.; Uy, B.; Fleming, S. Machine learning-augmented multi-arrayed fiber bragg grating sensors for enhanced structural health monitoring by discriminating strain and temperature variations. J. Civ. Struct. Health Monit. 2024, 1–22. [Google Scholar] [CrossRef]
 - Weil, M.; Weijtjens, W.; Devriendt, C. Particle Filter for Temperature Compensation of FBG Strain Sensors for Event Segmentation. In Proceedings of the 11th European Workshop on Structural Health Monitoring (EWSHM 2024), Potsdam, Germany, 10–13 June 2024. [Google Scholar]
 - Cao, M.; Ostachowicz, W.; Bai, R.; Radzieński, M. Fractal mechanism for characterizing singularity of mode shape for damage detection. Appl. Phys. Lett. 2013, 103, 221906. [Google Scholar] [CrossRef]
 - Cao, M.; Ostachowicz, W.; Radzieński, M.; Xu, W. Multiscale shear-strain gradient for detecting delamination in composite laminates. Appl. Phys. Lett. 2013, 103, 221906. [Google Scholar] [CrossRef]
 - Lekshmylal, P.; Shiny, G.; Radhakrishnan, A. Removal of EOG and EMG artifacts from EEG signals using blind source separation methods. In Proceedings of the 2023 International Conference on Control, Communication and Computing (ICCC), Thiruvananthapuram, India, 19–21 May 2023; pp. 1–6. [Google Scholar]
 - Sharma, B.K.; Kumar, M.; Meena, R. Development of a speech separation system using frequency domain blind source separation technique. Multimed. Tools Appl. 2024, 83, 32857–32872. [Google Scholar] [CrossRef]
 - Miaozhen, L.; Shunming, L.; Jiantao, L. Underdetermined blind source separation based on density peak clustering for gear fault identification. J. Aerodyn. 2022, 37, 1010–1019. [Google Scholar]
 - Esmaeiloghli, S.; Tabatabaei, S.H.; Hosseini, S.; Deville, Y.; Carranza, E.J.M. Blind source separation of spectrally filtered geochemical signals to recognize multi-depth ore-related enrichment patterns. Math. Geosci. 2024, 56, 1255–1283. [Google Scholar] [CrossRef]
 - Belouchrani, A.; Abed-Meraim, K.; Cardoso, J.-F.; Moulines, E. A blind source separation technique using second-order statistics. IEEE Trans. Signal Process. 1997, 45, 434–444. [Google Scholar] [CrossRef]
 - de Oliveira, D.R.; Lima, M.A.A.; Silva, L.R.M.; Ferreira, D.D.; Duque, C.A. Second order blind identification algorithm with exact model order estimation for harmonic and interharmonic decomposition with reduced complexity. Int. J. Electr. Power Energy Syst. 2021, 125, 106415. [Google Scholar] [CrossRef]
 - Miao, F.; Feng, R.; Wang, X. Rotor-Mechanical Coupled Fault Feature Extraction Based on Second-order Blind Identification. J. Phys. Conf. Ser. 2019, 1187, 032004. [Google Scholar] [CrossRef]
 - Laventure, S.; Sadhu, A.; Bitsuamlak, G. Aerodynamic Damping Estimation of Structures using Second-Order Blind Identification. In Proceedings of the 11th International Conference on Structural Health Monitoring of Intelligent Infrastructure, Montreal, QC, Canada, 8 August–12 August 2022; International Society for Structural Health Monitoring of Intelligent Infrastructure: Winnipeg, MB, Canada, 2022; pp. 408–411. [Google Scholar]
 - Liao, X.; Carin, L. A new algorithm for independent component analysis with or without constraints. In Sensor Array and Multichannel Signal Processing Workshop Proceedings; IEEE: New York, NY, USA, 2002; pp. 413–417. [Google Scholar]
 - Tong, L.; Soon, V.; Huang, Y.; Liu, R. AMUSE: A new blind identification algorithm. In IEEE International Symposium on Circuits and Systems; IEEE: New York, NY, USA, 1990; pp. 1784–1787. [Google Scholar]
 - Jiao, Y.; Liu, H.; Wang, X.; Zhang, Y.; Luo, G.; Gong, Y. Temperature effect on mechanical properties and damage identification of concrete structure. Adv. Mater. Sci. Eng. 2014, 2014, 191360. [Google Scholar] [CrossRef]
 - Yang, K.; Ding, Y.; Jiang, H.; Sheng, W.; Zhao, H. Time-lag effect of temperature-induced strain for concrete box girder bridges. J. Civ. Struct. Health Monit. 2024, 14, 303–320. [Google Scholar] [CrossRef]
 



















| Application Point Number & Type | Magnitude of Vehicle Load/kN | 
|---|---|
| 1-static | 16.236 | 
| 2-static | 61.123 | 
| 3-static | 23.671 | 
| 4-static | 36.857 | 
| 5-static | 31.405 | 
| 6-static | 32.500 | 
| 7-static | 78.913 | 
| 8-static | 20.570 | 
| Application Point Number & Type | Magnitude of Vehicle Load/kN | 
|---|---|
| 1-static | 16.236 | 
| 2-static | 61.123 | 
| 3-static | 23.671 | 
| 4-static | 36.857 | 
| 5-static | 31.405 | 
| 6-static | 32.500 | 
| 7-static | 78.913 | 
| 8-static | 20.570 | 
| s) | 600.0 | 
| s) | 500.0 | 
Disclaimer/Publisher’s Note: The statements, opinions and data contained in all publications are solely those of the individual author(s) and contributor(s) and not of MDPI and/or the editor(s). MDPI and/or the editor(s) disclaim responsibility for any injury to people or property resulting from any ideas, methods, instructions or products referred to in the content.  | 
© 2024 by the authors. Licensee MDPI, Basel, Switzerland. This article is an open access article distributed under the terms and conditions of the Creative Commons Attribution (CC BY) license (https://creativecommons.org/licenses/by/4.0/).
Share and Cite
Gu, H.; Zhang, X.; Sumarac, D.; Peng, J.; Dunai, L.; Zhang, Y. Investigation of Separating Temperature-Induced Structural Strain Using Improved Blind Source Separation (BSS) Technique. Sensors 2024, 24, 8015. https://doi.org/10.3390/s24248015
Gu H, Zhang X, Sumarac D, Peng J, Dunai L, Zhang Y. Investigation of Separating Temperature-Induced Structural Strain Using Improved Blind Source Separation (BSS) Technique. Sensors. 2024; 24(24):8015. https://doi.org/10.3390/s24248015
Chicago/Turabian StyleGu, Hao’an, Xin Zhang, Dragoslav Sumarac, Jiayi Peng, László Dunai, and Yufeng Zhang. 2024. "Investigation of Separating Temperature-Induced Structural Strain Using Improved Blind Source Separation (BSS) Technique" Sensors 24, no. 24: 8015. https://doi.org/10.3390/s24248015
APA StyleGu, H., Zhang, X., Sumarac, D., Peng, J., Dunai, L., & Zhang, Y. (2024). Investigation of Separating Temperature-Induced Structural Strain Using Improved Blind Source Separation (BSS) Technique. Sensors, 24(24), 8015. https://doi.org/10.3390/s24248015
        
