Development of a Multiple Temperature Sensors Device for the Characterization, Control and Monitoring of Microbiological Incubators
Abstract
1. Introduction
2. Materials and Methods
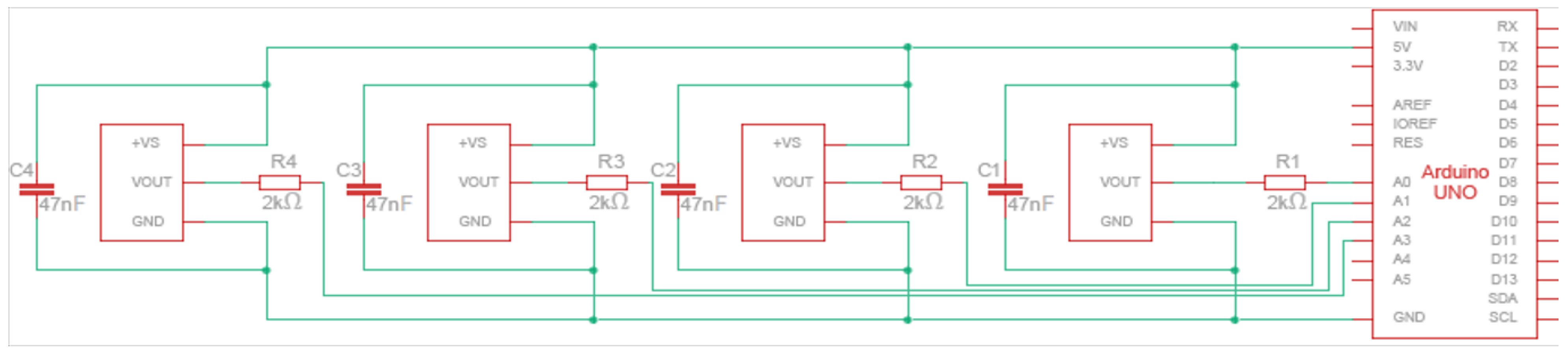
2.1. Device Elaboration
2.2. Device Calibration
2.3. Stove Characterization
2.4. Proposed Device Evaluation Against Thermocouple
3. Results
3.1. Device Elaboration
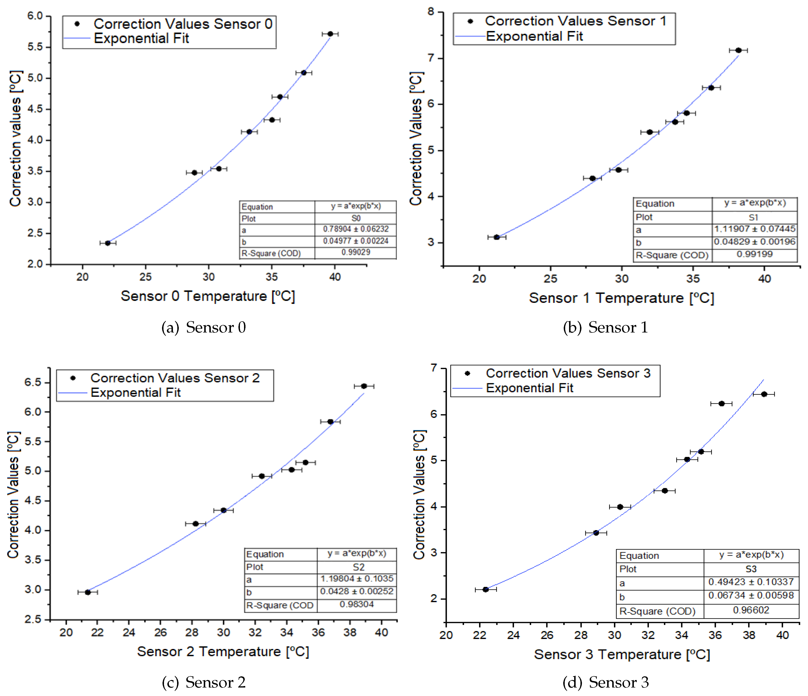
3.2. Device Calibration
3.3. Oven Characterization
3.3.1. Without Top Shelf
3.3.2. Without Top Shelf
3.4. Proposed Device Evaluation Against Thermocouple
4. Discussion
4.1. Device Elaboration and Calibration
4.2. Stove Characterization
- Without top shelf: To maintain the maximum operating temperature at 37 °C with a 2 °C hysteresis, and adjust the controller’s sensor temperature readings as needed, different corrections were made until a correction of °C achieved the desired objective. It is preferable to use a rack for supporting samples that allows greater circulation heat compared to the oven’s upper shelf.
- With top shelf: Similarly, to maintain the maximum operating temperature at 37 °C with a 2 °C hysteresis and correct the temperature record of the controller sensor, a correction of °C is considered appropriate. However, given the temperature variations caused by the upper shelf, a maximum operating temperature configuration of °C with a hysteresis of 2 °C and a correction of °C is considered convenient, adapting the conditions of the case 1.
5. Conclusions
Supplementary Materials
Author Contributions
Funding
Institutional Review Board Statement
Informed Consent Statement
Data Availability Statement
Acknowledgments
Conflicts of Interest
References
- Özcan, M.M.; Uslu, N. The effect of oven and microwave roasting on bioactive properties, phenolic components and fatty acid compositions of soybean and peanut seeds. Food Humanit. 2024, 2, 100250. [Google Scholar] [CrossRef]
- Knutson, K.M.; Marth, E.H.; Wagner, M.K. Use of Microwave Ovens to Pasteurize Milk. J. Food Prot. 1988, 51, 715–719. [Google Scholar] [CrossRef] [PubMed]
- Dexter, A.R.; Richard, G. Water Potentials Produced by Oven-Drying of Soil Samples. Soil Sci. Soc. Am. J. 2009, 73, 1646–1651. [Google Scholar] [CrossRef]
- Zhou, H.; Wang, G.; Tu, H.; Luo, D.; Xu, J. Combustion temperature in a three-dimensional porous stove with a high-fidelity structure. Appl. Therm. Eng. 2023, 233, 121108. [Google Scholar] [CrossRef]
- Gao, Y.; Ma, D.; Jiang, S.; Ma, Y.; Li, S.; Wang, K.; Xu, X. A novel oven structure for improving temperature uniformity of vapor cell in atomic sensors. Results Phys. 2023, 47, 106339. [Google Scholar] [CrossRef]
- Sá, F.G.; Silva, M.R.; Sierra, D.L.; Ivanov, M.; Tkach, A.; Vilarinho, P.M.; Ferreira, P. Comparative microwave- and conventional oven-assisted hydrothermal syntheses of BaTiO3 nanoparticles for improved electroceramics. Ceram. Int. 2024, 50, 9096–9104. [Google Scholar] [CrossRef]
- Mustafa, I.; Chin, N.L.; Fakurazi, S.; Palanisamy, A. Comparison of Phytochemicals, Antioxidant and Anti-Inflammatory Properties of Sun-, Oven- and Freeze-Dried Ginger Extracts. Foods 2019, 8, 456. [Google Scholar] [CrossRef] [PubMed]
- Mohammadkazemi, F.; Azin, M.; Ashori, A. Production of bacterial cellulose using different carbon sources and culture media. Carbohydr. Polym. 2015, 117, 518–523. [Google Scholar] [CrossRef] [PubMed]
- Rivas, B.; Moldes, A.B.; Domínguez, J.M.; Parajó, J.C. Development of culture media containing spent yeast cells of Debaryomyces hansenii and corn steep liquor for lactic acid production with Lactobacillus rhamnosus. Int. J. Food Microbiol. 2004, 97, 93–98. [Google Scholar] [CrossRef] [PubMed]
- Ajiboye, B.; Akinremi, O.; Racz, G. Laboratory Characterization of Phosphorus in Fresh and Oven-Dried Organic Amendments. J. Environ. Qual. 2004, 33, 1062–1069. [Google Scholar] [CrossRef] [PubMed]
- Alto, B.W.; Juliano, S.A. Temperature Effects on the Dynamics of Aedes albopictus (Diptera: Culicidae) Populations in the Laboratory. J. Med. Entomol. 2001, 38, 548–556. [Google Scholar] [CrossRef] [PubMed]
- Zhang, L.; Seagren, E.; Davis, A.; Karns, J. Effects of Temperature on Bacterial Transport and Destruction in Bioretention Media: Field and Laboratory Evaluations. Water Environ. Res. Res. 2012, 84, 485–496. [Google Scholar] [CrossRef]
- de Noord, O.E. Multivariate calibration standardization. Chemom. Intell. Lab. Syst. 1994, 25, 85–97. [Google Scholar] [CrossRef]
- Organizacion Panamericana de la Salud. Manual de Mantenimiento para Equipo de Laboratorio; OPS: Washington, DC, USA, 2005. [Google Scholar]
- Gutierrez, C.; Somoskovi, A.; Natarajan, K.; Bell, D. Need for better adherence to optimal incubation temperature for quality laboratory diagnostics and antibiotic resistance monitoring. Afr. J. Lab. Med. 2018, 7, a789. [Google Scholar] [CrossRef] [PubMed]
- Texas Instruments. LM35 Datasheet (PDF)—Precision Centigrade Temperature Sensors. Alldatasheet. 2000. Available online: https://www.ti.com/lit/ds/symlink/lm35.pdf?ts=1732525242189&ref_url=https%253A%252F%252Fwww.mouser.de%252F (accessed on 27 September 2024).
- Fernández, Y. Qué es Arduino, Cómo Funciona y Qué Puedes Hacer con Uno. 2022. Available online: https://www.xataka.com/basics/que-arduino-como-funciona-que-puedes-hacer-uno (accessed on 18 September 2024).
- Grundmann, M. The Physics of Semiconductors, an Introduction Including Nanophysics and Applications; Springer: Berlin/Heidelberg, Germany, 2021. [Google Scholar] [CrossRef]
- Mansoor, M.; Haneef, I.; Akhtar, S.; De Luca, A.; Udrea, F. Silicon diode temperature sensors—A review of applications. Sens. Actuators A Phys. 2015, 232, 63–74. [Google Scholar] [CrossRef]
- TGS. LM35 Datasheet (PDF)—Tiger Electronic Co. Precision Centigrade Temperature Sensors. Alldatasheet. 2017. Available online: https://www.alldatasheet.com/datasheet-pdf/view/1188696/TGS/LM35.html (accessed on 27 September 2024).
- National Semiconductor. LM35 Datasheet (PDF)—Precision Centigrade Temperature Sensors. Alldatasheet. 2000. Available online: https://www.alldatasheet.com/datasheet-pdf/view/8866/NSC/LM35.html (accessed on 27 September 2024).
- Sudhan, R.H.; Kumar, M.G.; Prakash, A.; Devi, S.R.; Sathiya, P. Arduino Atmega-328 Microcontroller. Int. J. Innov. Res. Electr. Electron. Instrum. Control. Eng. 2015, 3, 27–29. [Google Scholar] [CrossRef]
- Barrett, S.F. Arduino Microcontroller Processing for Everyone! 3rd ed.; Springer: Cham, Switzerland, 2013. [Google Scholar] [CrossRef]
- ARDUINO. Arduino. 2024. Available online: https://www.arduino.cc/ (accessed on 18 September 2024).
- Function Description of W3230. 2021. Available online: https://www.scribd.com/document/491801113/w3230-manual (accessed on 9 August 2024).
- Mekhtiyev, A.; Breido, I.; Buzyakov, R.; Neshina, Y.; Alkina, A. Development of low-pressure electric steam heater. East.-Eur. J. Enterp. Technol. 2021, 4, 34–44. [Google Scholar] [CrossRef]



















| Component | Amount |
|---|---|
| LM35 temperature sensor | 4 |
| 2 kΩ resistor | 4 |
| 47 nF multi-layer ceramic capacitor | 4 |
| Audiopipe HWY 836 USA standard MC-1 shielded cable | m |
| ARDUINO UNO board | 1 |
| BC [°C] | CC [°C] |
|---|---|
| Sensor | a [°C] | b [1/°C] | |
|---|---|---|---|
| 0 | |||
| 1 | |||
| 2 | |||
| 3 |
| Block | Row | [°C] | [°C] | [°C] | [°C] | Average per Block [°C] |
|---|---|---|---|---|---|---|
| B1 | 1 | |||||
| 2 | ||||||
| 3 | ||||||
| 4 | ||||||
| B2 | 1 | |||||
| 2 | ||||||
| 3 | ||||||
| 4 | ||||||
| B3 | 1 | |||||
| 2 | ||||||
| 3 | ||||||
| 4 | ||||||
| B4 | 1 | |||||
| 2 | ||||||
| 3 | ||||||
| 4 | ||||||
| B5 | 1 | |||||
| 2 | ||||||
| 3 | ||||||
| 4 |
| Temperature [°C] | Upon Shelf | Under Shelf |
|---|---|---|
| Position | Temperature [°C] | ||||
|---|---|---|---|---|---|
| Thermocouple | |||||
| - | - | - | 33 | ||
| - | - | - | 35 | ||
| - | - | - | 35 | ||
| - | - | - | 34 | ||
| 32 | |||||
| - | - | - | 32 | ||
| - | - | - | 34 | ||
| - | - | - | 32 | ||
| - | - | - | 32 | ||
| 34 | |||||
Disclaimer/Publisher’s Note: The statements, opinions and data contained in all publications are solely those of the individual author(s) and contributor(s) and not of MDPI and/or the editor(s). MDPI and/or the editor(s) disclaim responsibility for any injury to people or property resulting from any ideas, methods, instructions or products referred to in the content. |
© 2024 by the authors. Licensee MDPI, Basel, Switzerland. This article is an open access article distributed under the terms and conditions of the Creative Commons Attribution (CC BY) license (https://creativecommons.org/licenses/by/4.0/).
Share and Cite
Salinas Domján, C.; Valente, M.A.; Romero, M.R. Development of a Multiple Temperature Sensors Device for the Characterization, Control and Monitoring of Microbiological Incubators. Sensors 2024, 24, 7671. https://doi.org/10.3390/s24237671
Salinas Domján C, Valente MA, Romero MR. Development of a Multiple Temperature Sensors Device for the Characterization, Control and Monitoring of Microbiological Incubators. Sensors. 2024; 24(23):7671. https://doi.org/10.3390/s24237671
Chicago/Turabian StyleSalinas Domján, Carolina, Mauro A. Valente, and Marcelo R. Romero. 2024. "Development of a Multiple Temperature Sensors Device for the Characterization, Control and Monitoring of Microbiological Incubators" Sensors 24, no. 23: 7671. https://doi.org/10.3390/s24237671
APA StyleSalinas Domján, C., Valente, M. A., & Romero, M. R. (2024). Development of a Multiple Temperature Sensors Device for the Characterization, Control and Monitoring of Microbiological Incubators. Sensors, 24(23), 7671. https://doi.org/10.3390/s24237671

