Radar-Based Heart Cardiac Activity Measurements: A Review
Abstract
1. Introduction
2. Background Overview
2.1. Radar Architectures
2.2. Heart Rate Variability
3. Materials and Methods
4. Results
4.1. Works Measuring Heart Rate
4.1.1. Hardware Architecture
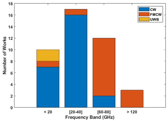
4.1.2. Carrier Frequency
- Below 20 GHz;
- 20 to 40 GHz;
- 60 to 80 GHz;
- Above 120 GHz.
4.1.3. Measurement Distance
4.2. Works Measuring Heart Rate Variability
4.2.1. Hardware Architecture
4.2.2. Carrier Frequency
4.2.3. Measurement Distance
4.3. Vital Sign Extraction Algorithms
- Digital Filtering, e.g., Bandpass, Moving Average;
- Spectral Analysis, e.g., Fourier Transform, Cossine Transform, CZT, FTPR;
- Mode Decomposition, e.g., EMD, EEMD, VMD, ICA;
- Wavelet Transform, e.g., DWT, MODWT, CWT, WPT;
- Deep Learning;
- Uncategorized, e.g., Autocorrelation, Differential Enhancement.
5. Discussion
6. Conclusions
Author Contributions
Funding
Institutional Review Board Statement
Informed Consent Statement
Data Availability Statement
Conflicts of Interest
Abbreviations
| FPGA | Field Programmable Gate Array |
| CW | Continuous Wave |
| FMCW | Frequency Modulated Continuous Wave |
| LFMCW | Linear Frequency Modulated Continuous Wave |
| UWB | Ultra Wideband |
| HR | Heart Rate |
| HRV | Heart Rate Variability |
| BBI | Beat to Beat Interval |
| SDNN | Standard Deviation of N-N Intervals |
| RMSSD | Root Mean Square of Sucessive Differences |
| MAE | Mean Absolute Error |
| MRE | Mean Relative Error |
| RMSE | Root Mean Square Error |
| RCS | Radar Cross Section |
| PCC | Pearson Correlation Coefficient |
| QSIL | Quadrature Self Injection Locked |
| AAEP | Absolute Average Error Percentage |
References
- Chen, X.; Cheng, J.; Song, R.; Liu, Y.; Ward, R.; Wang, Z.J. Video-Based Heart Rate Measurement: Recent Advances and Future Prospects. IEEE Trans. Instrum. Meas. 2019, 68, 3600–3615. [Google Scholar] [CrossRef]
- Liao, W.; Zhang, C.; Alić, B.; Wildenauer, A.; Dietz-Terjung, S.; Ortiz Sucre, J.G.; Weinreich, G.; Viga, R.; Sutharsan, S.; Schöbel, C.; et al. Advancing Sleep Diagnostics: Contactless Multi-Vital Signs Continuous Monitoring with a Multimodal Camera System in Clinical Environment. In Proceedings of the 2024 IEEE International Symposium on Medical Measurements and Applications (MeMeA), Eindhoven, The Netherlands, 26–28 June 2024; pp. 1–6. [Google Scholar] [CrossRef]
- Wang, P.; Ma, X.; Zheng, R.; Chen, L.; Zhang, X.; Zeghlache, D.; Zhang, D. SlpRoF: Improving the Temporal Coverage and Robustness of RF-based Vital Sign Monitoring during Sleep. IEEE Trans. Mob. Comput. 2023, 23, 7848–7864. [Google Scholar] [CrossRef]
- Al-Naji, A.; Al-Askery, A.J.; Gharghan, S.K.; Chahl, J. A System for Monitoring Breathing Activity Using an Ultrasonic Radar Detection with Low Power Consumption. J. Sens. Actuator Netw. 2019, 8, 32. [Google Scholar] [CrossRef]
- Jia, W.; Peng, H.; Ruan, N.; Tang, Z.; Zhao, W. WiFind: Driver Fatigue Detection with Fine-Grained Wi-Fi Signal Features. IEEE Trans. Big Data 2020, 6, 269–282. [Google Scholar] [CrossRef]
- Bin Obadi, A.; Soh, P.J.; Aldayel, O.; Al-Doori, M.H.; Mercuri, M.; Schreurs, D. A Survey on Vital Signs Detection Using Radar Techniques and Processing with FPGA Implementation. IEEE Circuits Syst. Mag. 2021, 21, 41–74. [Google Scholar] [CrossRef]
- Zhang, Y.; Yang, R.; Yue, Y.; Lim, E.G.; Wang, Z. An Overview of Algorithms for Contactless Cardiac Feature Extraction From Radar Signals: Advances and Challenges. IEEE Trans. Instrum. Meas. 2023, 72, 4009520. [Google Scholar] [CrossRef]
- Wu, Y.; Ni, H.; Mao, C.; Han, J.; Xu, W. Non-intrusive Human Vital Sign Detection Using mmWave Sensing Technologies: A Review. ACM Trans. Sens. Netw. 2023, 20, 1–36. [Google Scholar] [CrossRef]
- Liebetruth, M.; Kehe, K.; Steinritz, D.; Sammito, S. Systematic Literature Review Regarding Heart Rate and Respiratory Rate Measurement by Means of Radar Technology. Sensors 2024, 24, 1003. [Google Scholar] [CrossRef]
- Boric-Lubecke, O.; Lubecke, V.; Droitcour, A.; Park, B.; Singh, A. Doppler Radar Physiological Sensing; Wiley Series in Biomedical Engineering and Multi-Disciplinary Integrated Systems; Wiley: Hoboken, NJ, USA, 2015; pp. 28–32, 39–53. [Google Scholar]
- Eder, Y.; Eldar, Y.C. Sparsity-Based Multi-Person Non-Contact Vital Signs Monitoring via FMCW Radar. IEEE J. Biomed. Health Inform. 2023, 27, 2806–2817. [Google Scholar] [CrossRef]
- Shaffer, F.; Ginsberg, J.P. An Overview of Heart Rate Variability Metrics and Norms. Front. Public Health 2017, 5, 258. [Google Scholar] [CrossRef]
- Antolinos, E.; Grajal, J. Comprehensive Comparison of Continuous-Wave and Linear-Frequency-Modulated Continuous-Wave Radars for Short-Range Vital Sign Monitoring. IEEE Trans. Biomed. Circuits Syst. 2023, 17, 229–245. [Google Scholar] [CrossRef] [PubMed]
- Cao, L.; Wei, R.; Zhao, Z.; Wang, D.; Fu, C. A Novel Frequency-Tracking Algorithm for Noncontact Vital Sign Monitoring. IEEE Sens. J. 2023, 23, 23044–23057. [Google Scholar] [CrossRef]
- Cruz, J.C.; Ibera, J.C.; Cabarios, P.M.R.; Cruz, J.B.P. Non-contact Determination of Heart Rate Variability Using 24 GHz Doppler Radar. In Proceedings of the 2021 11th International Conference on Biomedical Engineering and Technology, New York, NY, USA, 17–20 March 2021; pp. 80–86. [Google Scholar] [CrossRef]
- Duan, Z.; Liang, J. Non-Contact Detection of Vital Signs Using a UWB Radar Sensor. IEEE Access 2019, 7, 36888–36895. [Google Scholar] [CrossRef]
- Edanami, K.; Kurosawa, M.; Yen, H.T.; Kanazawa, T.; Abe, Y.; Kirimoto, T.; Yao, Y.; Matsui, T.; Sun, G. Remote sensing of vital signs by medical radar time-series signal using cardiac peak extraction and adaptive peak detection algorithm: Performance validation on healthy adults and application to neonatal monitoring at an NICU. Comput. Methods Programs Biomed. 2022, 226, 107163. [Google Scholar] [CrossRef]
- Fu, Y.; Sun, L.; Guo, J.; Han, C.; Wang, S. EEMD-MICA Based Heart Rate Extraction Algorithm for Radar Signals. In Proceedings of the 2023 35th Chinese Control and Decision Conference (CCDC), Yichang, China, 20–22 May 2023; pp. 1649–1655. [Google Scholar] [CrossRef]
- Han, Y.; Lauteslager, T.; Lande, T.S.; Constandinou, T.G. UWB Radar for Non-contact Heart Rate Variability Monitoring and Mental State Classification. In Proceedings of the 2019 41st Annual International Conference of the IEEE Engineering in Medicine and Biology Society (EMBC), Berlin, Germany, 23–27 July 2019; pp. 6578–6582. [Google Scholar] [CrossRef]
- Han, X.; Zhai, Q.; Zhang, N.; Zhang, X.; He, L.; Pan, M.; Zhang, B.; Liu, T. A Real-Time Evaluation Algorithm for Noncontact Heart Rate Variability Monitoring. Sensors 2023, 23, 6681. [Google Scholar] [CrossRef]
- Hazra, S.; Fusco, A.; Kiprit, G.N.; Stadelmayer, T.; Habib, S.; Servadei, L.; Wille, R.; Weigel, R.; Santra, A. Robust Radar-Based Vital Sensing with Adaptive Sinc Filtering and Random Body Motion Rejections. IEEE Sens. Lett. 2023, 7, 7001604. [Google Scholar] [CrossRef]
- Hossain, M.S.; Uddin, S.D.; Islam, S.M.M. Heart Rate Variability Assessment Using Single Channel CW Doppler Radar. In Proceedings of the 2023 IEEE Microwaves, Antennas, and Propagation Conference (MAPCON), Ahmedabad, India, 11–14 December 2023; pp. 1–6. [Google Scholar] [CrossRef]
- Hu, W.; Zhao, Z.; Wang, Y.; Zhang, H.; Lin, F. Noncontact Accurate Measurement of Cardiopulmonary Activity Using a Compact Quadrature Doppler Radar Sensor. IEEE Trans. Biomed. Eng. 2014, 61, 725–735. [Google Scholar] [CrossRef]
- Jing, F.; Liang, J.; Wang, Y.; Chen, P. Harmonics and intermodulation products-based fuzzy logic (HIPBFL) algorithm for vital sign frequency estimation using a UWB radar. Expert Syst. Appl. 2023, 228, 120294. [Google Scholar] [CrossRef]
- Kim, J.Y.; Park, J.H.; Jang, S.Y.; Yang, J.R. Peak detection algorithm for vital sign detection using doppler radar sensors. Sensors 2019, 19, 1575. [Google Scholar] [CrossRef]
- Kim, D.; Choi, J.; Yoon, J.; Cheon, S.; Kim, B. HeartBeatNet: Enhancing Fast and Accurate Heart Rate Estimation with FMCW Radar and Lightweight Deep Learning. IEEE Sens. Lett. 2024, 8, 6004004. [Google Scholar] [CrossRef]
- Li, M.; Lin, J. Wavelet-Transform-Based Data-Length-Variation Technique for Fast Heart Rate Detection Using 5.8-GHz CW Doppler Radar. IEEE Trans. Microw. Theory Tech. 2018, 66, 568–576. [Google Scholar] [CrossRef]
- Li, X.; Liu, B.; Liu, Y.; Li, J.; Lai, J.; Zheng, Z. A novel signal separation and de-noising technique for doppler radar vital signal detection. Sensors 2019, 19, 4751. [Google Scholar] [CrossRef] [PubMed]
- Li, J.F.; Yang, C.L. High-Accuracy Cardiac Activity Extraction Using RLMD-Based Frequency Envelogram in FMCW Radar Systems. In Proceedings of the 2023 IEEE/MTT-S International Microwave Symposium—IMS 2023, San Diego, CA, USA, 11–16 June 2023; pp. 1097–1100. [Google Scholar] [CrossRef]
- Li, J.; Guo, S.; Cui, G.; Zhou, X.; Shi, L.; Kong, L.; Yang, X. Multidomain Separation for Human Vital Signs Detection with FMCW Radar in Interference Environment. IEEE Trans. Microw. Theory Tech. 2023, 72, 4278–4293. [Google Scholar] [CrossRef]
- Li, T.; Shou, H.; Deng, Y.; Zhou, Y.; Shi, C.; Chen, P. A Novel Heart Rate Estimation Method Exploiting Heartbeat Second Harmonic Reconstruction Via Millimeter Wave Radar. In Proceedings of the ICASSP 2023—2023 IEEE International Conference on Acoustics, Speech and Signal Processing (ICASSP), Rhodes Island, Greece, 4–10 June 2023; Volume 2023-June. [Google Scholar] [CrossRef]
- Li, Q.; Liu, J.; Gravina, R.; Zang, W.; Li, Y.; Fortino, G. A UWB-Radar-Based Adaptive Method for In-Home Monitoring of Elderly. IEEE Internet Things J. 2024, 11, 6241–6252. [Google Scholar] [CrossRef]
- Liang, Z.; Xiong, M.; Chen, J.; Zhao, D.; Yang, D.; Liang, B.; Mo, J. A combined algorithm for non-contact human vital signs monitoring using IR-UWB radar. In Proceedings of the 2023 International Conference on Microwave and Millimeter Wave Technology (ICMMT), Qingdao, China, 14–17 May 2023. [Google Scholar] [CrossRef]
- Liu, L.; Zhang, J.; Qu, Y.; Zhang, S.; Xiao, W. mmRH: Noncontact Vital Sign Detection with an FMCW mm-Wave Radar. IEEE Sens. J. 2023, 23, 8856–8866. [Google Scholar] [CrossRef]
- Liu, W.; Zhang, S.; Yang, J.; Wang, M. Human Vital Signs Detection Based on Millimeter Wave Radar and Digital Filtering. In Proceedings of the 2023 IEEE International Conference on Image Processing and Computer Applications (ICIPCA), Changchun, China, 11–13 August 2023; pp. 569–574. [Google Scholar] [CrossRef]
- Liu, Y.; Sweeney, C.; Mayeda, J.C.; Lopez, J.; Lie, P.E.; Nguyen, T.Q.; Lie, D.Y.C. A Feasibility Study of Remote Non-Contact Vital Signs (NCVS) Monitoring in a Clinic Using a Novel Sensor Realized by Software-Defined Radio (SDR). Biosensors 2023, 13, 191. [Google Scholar] [CrossRef]
- Liu, Y.; Li, N.; Zhang, Y.; Cheng, J.; Ma, T.; Yue, W. Research on non-contact vital sign detection based on 24 GHz FMCW radar. In Proceedings of the 2023 International Conference on Microwave and Millimeter Wave Technology (ICMMT), Qingdao, China, 14–17 May 2023. [Google Scholar] [CrossRef]
- Lv, W.; Zhao, Y.; Zhang, W.; Liu, W.; Hu, A.; Miao, J. Remote Measurement of Short-Term Heart Rate with Narrow Beam Millimeter Wave Radar. IEEE Access 2021, 9, 165049–165058. [Google Scholar] [CrossRef]
- Mehrjouseresht, P.; Babarinde, O.J.; Hail, R.E.; Schreurs, D.M.M.P. Wide-Angle Vital Signs Measurements by Adaptive FMCW Radar. In Proceedings of the 2023 IEEE MTT-S International Microwave Biomedical Conference (IMBioC), Leuven, Belgium, 11–13 September 2023; pp. 91–93. [Google Scholar] [CrossRef]
- Mehrjouseresht, P.; Hail, R.E.; Karsmakers, P.; Schreurs, D.M.M.P. Respiration and Heart Rate Monitoring in Smart Homes: An Angular-Free Approach with an FMCW Radar. Sensors 2024, 24, 2448. [Google Scholar] [CrossRef]
- Mei, Z.; Wu, Q.; Hu, Z.; Tao, J. A Fast Non-Contact Vital Signs Detection Method Based on Regional Hidden Markov Model in A 77ghz Lfmcw Radar System. In Proceedings of the ICASSP 2020—2020 IEEE International Conference on Acoustics, Speech and Signal Processing (ICASSP), Barcelona, Spain, 4–8 May 2020; pp. 1145–1149. [Google Scholar] [CrossRef]
- Ni, C.; Pan, J.; Du, D.; Yang, X.; Shi, C.; Chen, S.; Yang, D.; Liu, S. Accurate Heart Rate Measurement Across Various Body Postures Using FMCW Radar. IEEE Trans. Instrum. Meas. 2024, 73, 4006013. [Google Scholar] [CrossRef]
- Nosrati, M.; Tavassolian, N. High-Accuracy Heart Rate Variability Monitoring Using Doppler Radar Based on Gaussian Pulse Train Modeling and FTPR Algorithm. IEEE Trans. Microw. Theory Tech. 2018, 66, 556–567. [Google Scholar] [CrossRef]
- Pan, H.; Zou, Y.; Gu, M. A spectrum estimation approach for accurate heartbeat detection using Doppler radar based on combination of FTPR and TWV. EURASIP J. Adv. Signal Process. 2022, 2022, 67. [Google Scholar] [CrossRef]
- Phuong Nguyen, N.T.; Lyu, P.Y.; Lin, M.H.; Chang, C.C.; Chang, S.F. A Short-Time Autocorrelation Method for Noncontact Detection of Heart Rate Variability Using CW Doppler Radar. In Proceedings of the 2019 IEEE MTT-S International Microwave Biomedical Conference (IMBioC), Nanjing, China, 6–8 May 2019; Volume 1, pp. 1–4. [Google Scholar] [CrossRef]
- Pramanik, S.K.; Islam, S.M.M. Through the wall human heart beat detection using single channel CW radar. Front. Physiol. 2024, 15, 1344221. [Google Scholar] [CrossRef] [PubMed]
- Qu, L.; Liu, C.; Yang, T.; Sun, Y. Vital Sign Detection of FMCW Radar Based on Improved Adaptive Parameter Variational Mode Decomposition. IEEE Sens. J. 2023, 23, 25048–25060. [Google Scholar] [CrossRef]
- Raheel, M.S.; Tubbal, F.; Coyte, J.; Iranmanesh, S.; Ogunbon, P.; Odeh, N.; Raad, R.; Theoharis, P.I. Non-Invasive Monitoring System of Vital Signs using IR-UWB Radar: A Short Review and Feasibility Study. In Proceedings of the 2023 17th International Conference on Telecommunication Systems, Services, and Applications (TSSA), Lombok, Indonesia, 12–13 October 2023. [Google Scholar] [CrossRef]
- Sameera, J.N.; Droitcour, A.D.; Boric-Lubecke, O. Heart rate detection using single-channel Doppler radar system. In Proceedings of the 2022 44th Annual International Conference of the IEEE Engineering in Medicine and Biology Society (EMBC), Glasgow, UK, 11–15 July 2022; pp. 1953–1956. [Google Scholar] [CrossRef]
- Sameera, J.N.; Ishrak, M.S.; Lubecke, V.M.; Boric-Lubecke, O. Enhancing Beat-to-Beat Analysis of Heart Signals with Respiration Harmonics Reduction Through Demodulation and Template Matching. IEEE Trans. Microw. Theory Tech. 2024, 72, 750–758. [Google Scholar] [CrossRef]
- Shi, Q.; Hu, B.; Tian, F.; Zhao, Q. Noncontact Doppler Radar-based Heart Rate Detection on the SVD and ANC. In Proceedings of the 2022 IEEE International Conference on Bioinformatics and Biomedicine (BIBM), Las Vegas, NV, USA, 6–8 December 2022; pp. 1710–1713. [Google Scholar] [CrossRef]
- Shih, J.Y.; Zhong, J.X.; Wang, F.K. Cosine Transform with Frequency-Domain Correction Technique for Radar-Based Short-Time Vital Sign Monitoring. In Proceedings of the 2023 IEEE/MTT-S International Microwave Symposium—IMS 2023, San Diego, CA, USA, 11–16 June 2023; Volume 2023-June, pp. 855–858. [Google Scholar] [CrossRef]
- Shin, M.; Jung, Y.; Kim, J.; Choi, K.; Lee, K.; Ju, H.; Cho, K.I.; Lee, S. FMCW Radar-based Vital Signal Monitoring Technique Using Adaptive Range-bin Selection. In Proceedings of the 2023 IEEE Radar Conference (RadarConf23), San Antonio, TX, USA, 1–5 May 2023; Volume 2023-May. [Google Scholar] [CrossRef]
- Singh, A.; Rehman, S.U.; Yongchareon, S.; Chong, P.H.J. Human Vital Signs Estimation Using Resonance Sparse Spectrum Decomposition. IEEE Trans. Hum.-Mach. Syst. 2024, 54, 304–316. [Google Scholar] [CrossRef]
- Son, N.H.; Yen, H.T.; Sun, G.; Ishibashi, K. High-Accuracy Heart Rate Estimation By Half/Double BBI Moving Average and Data Recovery Algorithm of 24GHz CW-Doppler Radar. In Proceedings of the 2022 International Conference on Advanced Technologies for Communications (ATC), Ha Noi, Vietnam, 20–22 October 2022; pp. 360–363. [Google Scholar] [CrossRef]
- Tsai, Y.C.; Lai, S.H.; Ho, C.J.; Wu, F.M.; Henrickson, L.; Wei, C.C.; Chen, I.; Wu, V.; Chen, J. High Accuracy Respiration and Heart Rate Detection Based on Artificial Neural Network Regression. In Proceedings of the 2020 42nd Annual International Conference of the IEEE Engineering in Medicine and Biology Society (EMBC), Montreal, QC, Canada, 20–24 July 2020; pp. 232–235. [Google Scholar] [CrossRef]
- Wang, Y.; Liang, J. Noncontact Vital Signs Extraction using an Impulse-radio UWB Radar. In Proceedings of the IGARSS 2023—2023 IEEE International Geoscience and Remote Sensing Symposium, Pasadena, CA, USA, 16–21 July 2023; Volume 2023-July, pp. 5403–5406. [Google Scholar] [CrossRef]
- Wang, H.; Du, F.; Zhu, H.; Zhu, X.; Cao, Q. Heart rate measurement method based on wavelet transform noise reduction for low power millimeter wave radar platform. J. Phys. Conf. Sers. 2023, 2469, 012026. [Google Scholar] [CrossRef]
- Wang, Y.; Yang, Z.; Han, L.; Li, Y.; Zhang, C. Extraction of Vital Sign Based on Improved Complete Ensemble Empirical Mode Decomposition with Adaptive Noise for UWB radar. In Proceedings of the 2023 IEEE 6th International Electrical and Energy Conference (CIEEC), Hefei, China, 12–14 May 2023; pp. 2829–2834. [Google Scholar] [CrossRef]
- Wang, H.; Du, F.; Zhu, H.; Zhang, Z.; Wang, Y.; Cao, Q.; Zhu, X. HeRe: Heartbeat Signal Reconstruction for Low-Power Millimeter-Wave Radar Based on Deep Learning. IEEE Trans. Instrum. Meas. 2023, 72, 4004515. [Google Scholar] [CrossRef]
- Wu, Y.; Ni, H.; Mao, C.; Han, J. Contactless Reconstruction of ECG and Respiration Signals with mmWave Radar Based on RSSRnet. IEEE Sens. J. 2024, 24, 6358–6368. [Google Scholar] [CrossRef]
- Xiong, Y.; Peng, Z.; Gu, C.; Li, S.; Wang, D.; Zhang, W. Differential Enhancement Method for Robust and Accurate Heart Rate Monitoring via Microwave Vital Sign Sensing. IEEE Trans. Instrum. Meas. 2020, 69, 7108–7118. [Google Scholar] [CrossRef]
- Ye, C.; Toyoda, K.; Ohtsuki, T. A Stochastic Gradient Approach for Robust Heartbeat Detection with Doppler Radar Using Time-Window-Variation Technique. IEEE Trans. Biomed. Eng. 2019, 66, 1730–1741. [Google Scholar] [CrossRef]
- Yuan, Z.; Lu, S.; He, Y.; Liu, X.; Fang, J. Nmr-VSM: Non-Touch Motion-Robust Vital Sign Monitoring via UWB Radar Based on Deep Learning. Micromachines 2023, 14, 1479. [Google Scholar] [CrossRef] [PubMed]
- Yuan, S.; Fan, S.; Deng, Z.; Pan, P. Heart Rate Variability Monitoring Based on Doppler Radar Using Deep Learning. Sensors 2024, 24, 2026. [Google Scholar] [CrossRef] [PubMed]
- Zhou, J. MVSM: Motional Vital Signs Monitoring with IR-UWB Radar and Attention-Based CNN-LSTM Network. In Proceedings of the 2023 8th International Conference on Intelligent Computing and Signal Processing (ICSP), Xi’an, China, 21–23 April 2023; pp. 679–683. [Google Scholar] [CrossRef]
- Zhou, M.; Liu, Y.; Wu, S.; Wang, C.; Chen, Z.; Li, H. A Novel Scheme of High-Precision Heart Rate Detection with a mm-Wave FMCW Radar. IEEE Access 2023, 11, 85118–85136. [Google Scholar] [CrossRef]
- Dong, S.; Li, Y.; Lu, J.; Zhang, Z.; Gu, C.; Mao, J. Accurate Detection of Doppler Cardiograms with a Parameterized Respiratory Filter Technique Using a K-Band Radar Sensor. IEEE Trans. Microw. Theory Tech. 2023, 71, 71–82. [Google Scholar] [CrossRef]
- Gouveia, C.; Soares, B.; Albuquerque, D.; Barros, F.; Soares, S.C.; Pinho, P.; Vieira, J.; Brás, S. Remote Emotion Recognition Using Continuous-Wave Bio-Radar System. Sensors 2024, 24, 1420. [Google Scholar] [CrossRef]
- Kitagawa, T.; Yamamoto, K.; Endo, K.; Ohtsuki, T. Multibeam Doppler Sensor-Based Non-Contact Heartbeat Detection Using Beam Diversity. IEEE Access 2022, 10, 16242–16253. [Google Scholar] [CrossRef]
- Lee, W.H.; Yoon Na, J.; Lee, H.J.; Hyun Kim, S.; Lim, Y.H.; Cho, S.H.; Park, H.K.; Cho, S.H. Analysis of Heart Rate Variability Using Impulse Radio Ultra-wideband Radar in Neonatal Intensive Care Unit. In Proceedings of the 2019 IEEE SENSORS, Montreal, QC, Canada, 27–30 October 2019; pp. 1–4. [Google Scholar] [CrossRef]
- Li, H.; Liu, Y.; Zhou, M.; Cao, Z.; Zhai, X.; Zhang, Y. Non-Contact Heart Rate Detection Technology Based on Deep Learning. In Proceedings of the 2023 International Seminar on Computer Science and Engineering Technology (SCSET), New York, NY, USA, 29–30 April 2023; pp. 272–277. [Google Scholar] [CrossRef]
- Ohtsuki, T.; Mogi, E. Heartbeat detection with Doppler radar based on estimation of average R-R interval using Viterbi algorithm. In Proceedings of the 2016 IEEE 27th Annual International Symposium on Personal, Indoor, and Mobile Radio Communications (PIMRC), Valencia, Spain, 4–8 September 2016; pp. 1–5. [Google Scholar] [CrossRef]
- Shi, H.; Yang, Z.; Shi, J. An improved real-time detection algorithm based on frequency interpolation. EURASIP J. Wirel. Commun. Netw. 2023, 2023, 68. [Google Scholar] [CrossRef]
- Shih, J.Y.; Wang, F.K. Quadrature Cosine Transform (QCT) with Varying Window Length (VWL) Technique for Noncontact Vital Sign Monitoring Using a Continuous-Wave (CW) Radar. IEEE Trans. Microw. Theory Tech. 2022, 70, 1639–1650. [Google Scholar] [CrossRef]
- Wang, F.; Zeng, X.; Wu, C.; Wang, B.; Liu, K.R. mmHRV: Contactless Heart Rate Variability Monitoring Using Millimeter-Wave Radio. IEEE Internet Things J. 2021, 8, 16623–16636. [Google Scholar] [CrossRef]
- Wenzel, M.; Langer, D.; Koelpin, A.; Lurz, F. A Modular 61 GHz Vital Sign Sensing Radar System for Long-term Clinical Studies. In Proceedings of the 2024 IEEE Topical Conference on Wireless Sensors and Sensor Networks (WiSNeT), San Antonio, TX, USA, 21–24 January 2024; pp. 18–21. [Google Scholar] [CrossRef]
- Xia, W.; Li, Y.; Dong, S. Radar-Based High-Accuracy Cardiac Activity Sensing. IEEE Trans. Instrum. Meas. 2021, 70, 4003213. [Google Scholar] [CrossRef]
- Yamamoto, K.; Toyoda, K.; Ohtsuki, T. Spectrogram-Based Non-Contact RRI Estimation by Accurate Peak Detection Algorithm. IEEE Access 2018, 6, 60369–60379. [Google Scholar] [CrossRef]
- Yen, H.T.; Kurosawa, M.; Kirimoto, T.; Hakozaki, Y.; Matsui, T.; Sun, G. Non-Contact Estimation of Cardiac Inter-Beat Interval and Heart Rate Variability Using Time-Frequency Domain Analysis for CW Radar. IEEE J. Electromagn. Microwaves Med. Biol. 2023, 7, 457–467. [Google Scholar] [CrossRef]
- Petrović, V.L.; Janković, M.M.; Lupšić, A.V.; Mihajlović, V.R.; Popović-Božović, J.S. High-Accuracy Real-Time Monitoring of Heart Rate Variability Using 24 GHz Continuous-Wave Doppler Radar. IEEE Access 2019, 7, 74721–74733. [Google Scholar] [CrossRef]















| Reference/Pub. Year | Architecture | Carrier Freq. (GHz) | N° of Subjects | Distance (m) | HR Error Metric |
|---|---|---|---|---|---|
| [13]/2023 | CW FMCW | 24/134 | 1 | 0.3 | MAE < 0.5 bpm |
| [14]/2023 | FMCW | [60.25,64] | 10 | 0.5 | Accuracy = 98% |
| [15]/2021 | CW | 24 | 10 | 0.5 | MRE = [7.09–19.5%] |
| [16]/2019 | UWB | [2.9,10.1] | 4 | 0.65; 0.8; 0.95 | Accuracy = 89% |
| [17]/2022 | CW | 24 | 12 | 0.05 | Correlation Coeff. = 0.96 |
| [18]/2023 | FMCW | 77 | 7 | 0.5; 0.6; 1.2; 1.3 | MAE = 2.79 bpm |
| [19]/2019 | UWB | 7.29 | 10 | 0.1 | MRE = 1.23% |
| [20]/2023 | FMCW | [77,81] | 10 | 0.5 | Accuracy > 98% |
| [21]/2023 | FMCW | 60 | 10 | 0.3; 0.5; 0.8; 1.1 | MAE = 4.91 bpm |
| [22]/2023 | CW | 24 | 5 | 0.5 | MRE 2.26% |
| [23]/2014 | CW | 5.8 | 10 | 0.5 | MRE 3.68% |
| [24]/2023 | UWB | [3.2,5.4] | 10 | – | Accuracy = 94.16% |
| [25]/2019 | CW | 2.45 | 6 | 0.4 | Accuracy > 95% |
| [26]/2024 | FMCW | [60,63.6] | 13 | – | MAE = 3.82 bpm |
| [27]/2018 | CW | 5.8 | 2 | – | Accuracy = 96.5% |
| [28]/2019 | CW | 10.525 | – | – | MAE = 0.014 bpm |
| [29]/2023 | FMCW | 60 | 8 | 0.5; 1; 1.5; 2; 2.5; 3 | Accuracy = [85.71–97.48%] |
| [30]/2023a | FMCW | 60 | 10 | – | MRE = 2.924% |
| [31]/2023b | FMCW | [77,81] | 7 | 1 | MAE = 1.18 bpm |
| [32]/2024 | UWB | – | 30 | – | MAE = 1.23 bpm |
| [33]/2023 | IR-UWB | – | 3 | 6 | MRE = 9.96% |
| [34]/2023 | FMCW | 76.4 | 10 | 0.5 | MAE = 0.15 bpm |
| [35]/2023a | FMCW | [77,81] | 1 | 0.4 | MAE = 1.43 bpm |
| [36]/2023b | CW | 2.4 | 1 | 1.3 | MAE < 3 bpm |
| [37]/2023c | FMCW | 24 | 10 | 0.75 | MAE = 2.2 bpm |
| [38]/2021 | FMCW | [119.5,125.5] | 10 | 1 | Accuracy = 95.62% |
| [39]/2023 | FMCW | [60,64] | 3 | [1.49–1.87] | MRE apporx 10% |
| [40]/2024 | FMCW | [60,64] | 6 | [1.15–2.3] | MAE = 9 bpm |
| [41]/2020 | LFMCW | [77,79] | 2 | 1.1; 2.1 | MRE = 2.56% |
| [42]/2024 | FMCW | [77,79.6] | 10 | 0.3; 1; 2 | MRE = 1.4% |
| [43]/2018 | CW | 2.4 | 8 | 0.75; 1.5 | Accuracy = 99% |
| [44]/2022 | CW | 77 | 2 | 0.3 | MRE = 0.03% |
| [45]/2019 | CW | 2.45 | 1 | 0.3 | MRE = 1.5% |
| [46]/2024 | CW | 24 | 7 | 0.6; 1 | Accuracy = 95.25% |
| [47]/2023 | FMCW | [77,81] | 5 | 0.5; 1; 1.5; 2 | MAE = 2.7 bpm |
| [48]/2023 | IR-UWB | [5.9,10.3] | 5 | 0.5; 1 | Accuracy = [93–98]% |
| [49]/2022 | CW | 2.4 | 5 | 1 | MAE = 2.6 bpm |
| [50]/2024 | CW | 2.4 | 4 | – | MAE = 1.56 bpm |
| [51]/2022 | CW | 24 | 5 | 0.6 | Poincare Comparison shows similarities |
| [52]/2023 | QSIL | 2.4 | 5 | 1 | MRE = 5.6% |
| [53]/2023 | FMCW | [58,64] | 1 | 1 | Accuracy = 74.4% |
| [54]/2024 | FMCW | [77,81] | 4 | 0.5; 1; 2; 3; 4 | Accuracy = 100% |
| [55]/2022 | CW | 24 | 10 | 0.15 | Correlation Coeff. = 0.998 |
| [56]/2020 | – | 24 | – | 0.4 | HR acc = 96% |
| [57]/2023 | FMCW | [60,61] | 2 | 0.3 | MRE = 3.0% |
| [58]/2023a | UWB | 7.3,1.4,23.328 | 13 | 1; 2 | MAE = 0.9 bpm |
| [59]/2023c | UWB | [0.85,9.55] | 5 | 0.5; 1; 1.5 | MAE = 0.036 Hz |
| [60]/2023d | FMCW | [60,61] | 3 | – | Accuracy = 97.5% |
| [61]/2024 | CW | 24 | 30 | 0.4 | PCC = 0.964 |
| [62]/2020 | FMCW | [8.15,8.65] | 5 | 1.5 | MRMSE ≈ 2 bpm |
| [63]/2019 | CW | 24 | 5 | 0.3 | MAE = 3.79 bpm |
| [64]/2023 | UWB | [6.5,8.1] | 7 | – | MRE < 1% |
| [65]/2024 | FMCW | [77,81] | 3 | 0.7 | HR acc = 95.65% |
| [7]/2023 | FMCW | [77,81] | 10 | 1 | MAE = 1.03 bpm |
| [66]/2023 | IR-UWB | [6.765,9.04] | 5 | [0.5-5] | MRE = 86.5% |
| [67]/2023a | FMCW | [77,81] | 5 | 0.5 | MRE = 1.29% |
| Reference/Pub. Year | Architecture | Carrier Freq. (GHz) | N° of Subjects | Distance (m) | HR Error Metric | HRV Error Metric |
|---|---|---|---|---|---|---|
| [13]/2023 | CW LFMCW | 24/134 | 1 | 0.3;0.5 | – | MAE < 10 ms |
| [15]/2021 | CW | 24 | 10 | 0.5;1;1.5;2 | MRE = [7.09–19.5%] | MRE = 5.26% |
| [68]/2023 | CW | 24 | 2 | 0.4 | – | RMSE = 5.2 ms |
| [17]/2022 | CW | 24 | 12 | 0.05 | Correlation Coeff. = 0.96 | ANN = 0.99 |
| [69]/2024 | CW | 5.8 | 20 | 0.5 | – | RMSE = 51 ms |
| [19]/2019 | UWB | 7.29 | 10 | 0.1 | MRE = 1.23% | MRE = 1.38% |
| [20]/2023 | FMCW | [77,81] | 10 | 0.5 | Accuracy > 98% | MRE = 0.11% |
| [22]/2023 | CW | 24 | 5 | 0.5 | MRE = 2.26% | MRE = 11.48%/4.87% |
| [23]/2014 | CW | 5.8 | 10 | 0.5 | Accuracy > 97% | BBI RE—2.53–4.83% |
| [25]/2019 | CW | 2.45 | 6 | 0.4 | Accuracy > 95% | Accuracy = 96.78% |
| [70]/2022 | FMCW | 60 | 5 | 0.6 | – | RMSE = 100 ms |
| [71]/2019 | IR-UWB | 8.748 | 1 | 0.7 | – | High Correlation with ECG |
| [72]/2023c | FMCW | [23.8,24.8] | 3 | 1 | – | MRE = 1.84% |
| [38]/2021 | FMCW | [119.5,125.5] | 10 | 1 | Accuracy = 95.62 % | MAE = 6.4 ms |
| [43]/2018 | CW | 2.4 | 8 | 1.5 | Accuracy = 99% | MRE = 2% |
| [73]/2016 | CW | 24 | 5 | 1 | – | Mean RMSE < 100 ms |
| [44]/2022 | CW | 77 | 2 | 0.3 | MRE = 0.03% | MRE = 0.95% |
| [45]/2019 | CW | 2.45 | 1 | 0.3 | MRE = 1.5% | MRE = 1.9% |
| [50]/2024 | CW | 2.4 | 4 | – | MAE = 1.56 bpm | MAE = 9.31/12.42 ms |
| [74]/2023 | CW | 24 | 3 | 1.5 | – | MRE = 3.61% |
| [75]/2022 | CW | 2.4 | 10 | 1 | – | AAEP = 1.74% |
| [55]/2022 | CW | 24 | 10 | 0.15 | Correlation Coeff. = 0.998 | MRE = 3.68% |
| [76]/2021 | FMCW | [76,81] | 11 | 0.5 | – | MAE = 3.89 ms |
| [77]/2024 | CW | 61 | 15 | – | – | Accuracy = 93.8% |
| [78]/2021 | CW | 24 | 7 | 0.5 | – | MRE = 1.15% |
| [62]/2020 | FMCW | [8.15,8.65] | 5 | 1.5 | MRMSE ≈ 2 bpm | MAE < 5 ms |
| [79]/2018 | CW | 24 | 10 | 0.3 | – | RMSE = 47.5 ms |
| [63]/2019 | CW | 24 | 5 | 0.3 | AAEP < 5% | RMSE < 50 ms |
| [80]/2023 | CW | 24 | 18 | 0.2 | – | MRE = 0.635% |
| [65]/2024 | FMCW | [77,81] | 3 | 0.7 | Accuracy = 95.65% | AAEP = 0.86% |
Disclaimer/Publisher’s Note: The statements, opinions and data contained in all publications are solely those of the individual author(s) and contributor(s) and not of MDPI and/or the editor(s). MDPI and/or the editor(s) disclaim responsibility for any injury to people or property resulting from any ideas, methods, instructions or products referred to in the content. |
© 2024 by the authors. Licensee MDPI, Basel, Switzerland. This article is an open access article distributed under the terms and conditions of the Creative Commons Attribution (CC BY) license (https://creativecommons.org/licenses/by/4.0/).
Share and Cite
Frazao, A.; Pinho, P.; Albuquerque, D. Radar-Based Heart Cardiac Activity Measurements: A Review. Sensors 2024, 24, 7654. https://doi.org/10.3390/s24237654
Frazao A, Pinho P, Albuquerque D. Radar-Based Heart Cardiac Activity Measurements: A Review. Sensors. 2024; 24(23):7654. https://doi.org/10.3390/s24237654
Chicago/Turabian StyleFrazao, Alvaro, Pedro Pinho, and Daniel Albuquerque. 2024. "Radar-Based Heart Cardiac Activity Measurements: A Review" Sensors 24, no. 23: 7654. https://doi.org/10.3390/s24237654
APA StyleFrazao, A., Pinho, P., & Albuquerque, D. (2024). Radar-Based Heart Cardiac Activity Measurements: A Review. Sensors, 24(23), 7654. https://doi.org/10.3390/s24237654

