Development of Advanced Positioning Techniques of UWB/Wi-Fi RTT Ranging for Personal Mobility Applications
Abstract
1. Introduction
2. Motivation of This Research
2.1. General Aspects
- RF (Radio Frequency) ranging technologies of high accuracy in the UWB spectrum have recently been introduced to commercial smartphone devices. The continuously decreasing size and cost of UWB augurs their wide adoption by the industry in the near future; it is forecasted to grow from USD 1.82 billion in 2024 to USD 4.08 billion by 2029 [3].
- The recently introduced Wi-Fi RTT technology can easily offer P2I ranging services of medium nominal accuracy (0.5 m) as part of the default web access functionality in a widespread and seamless manner [4]. Its fast adoption by the smartphone industry [5] dictates the pressing need for in-depth studying of the ranging capabilities and limitations, as well as developing methods towards improving the derived localization solution.
- The RF-based TW-ToF (Two-Way Time of Flight) ranging principle introduces inherent and condition-specific (bound to varying devices and environment conditions) inaccuracies of a variable nature [6,7,8,9]. As a result, the need for thoroughly studying its error budget, and the development of alternative error mitigation techniques capable of adapting in different environments, is clearly evident.
- The combination of UWB and Wi-Fi RTT technologies may offer increased coverage and flexibility of indoor positioning solutions by combining pre-existing P2I ranging infrastructure with ad hoc P2P ranging [10]. This ubiquitous ranging setup utilizing these complementary technologies has still not been extensively studied [11].
- The goal in real-life applications leans towards reducing the number of infrastructure (anchor) nodes in order to lower procurement and maintenance costs [12,13,14] further enhanced by approaches utilizing Reconfigurable Intelligent Surfaces (RISs) or metasurfaces [15,16]. Therefore, the proposed positioning solutions should incorporate flexible architectures utilizing optimally both the available anchor points and moving nodes. Therefore, a study addressing the alternative setups of available anchors, moving nodes, and their geometry distribution in selected operational scenarios is expected to provide useful insight for designing indoor positioning system (IPS) installations.
- A crucial problem to be addressed in P2P range-based collaborative decentralized positioning architectures is the mitigation of errors induced due to unknown correlations among the communicating nodes. Relevant studies that have concluded on stable Position Velocity and Timing (PVT) solutions are employing node classification concepts—for instance, using primary nodes equipped with multiple sensors and absolute position knowledge in order to provide internodal positioning input to secondary P2P-only rovers [17,18,19]. This approach requires a multilevel rovers design, whereas the overall system operates with reduced flexibility due to its dependence on the continuous operation of high-cost rovers. Therefore, as long as the mitigation of the propagated position errors for collaborative P2P range-only positioning algorithms is not addressed, the provision of a robust and scalable real-time solution still remains an open issue.
2.2. Research Questions and Objectives
- Primary Objective 1: To develop and test a methodology for identifying and mitigating errors in TWR (Two-Way Ranging) RF range observations;
- Primary Objective 2: To develop and test a robust, RF range-based positioning approach for groups of pedestrians walking in dynamic environments, considering the hybrid nature of TWR measurements;
- Secondary Objective 1: To establish and implement a unified Quality Control (QC) framework for the assessment of the correctness and efficiency of the proposed solutions.
2.3. Research Methodology
- Range measurements calibration/correction phase;
- Positioning algorithms development;
- Quality Control of the positioning engine utilizing real and simulated datasets.
3. Range-Based Collaborative Positioning (CP)
3.1. Range Error Identification and Mitigation
3.2. Collaborative Positioning
4. Range Correction Models
4.1. Correction Models Development Steps
- Statistical characterization of range errors: At a first stage and before any range error modeling is applied, the raw TWR measurements undergo preliminary statistical analysis. For this purpose, a number of specifically designed experiments take place using an accurately surveyed testbed. In this regard, the statistics of the raw ranges carry useful information supporting the follow-up step of developing the data-driven range error models.
- Empirical range error models development: Prior to defining a range error model, the statistical metrics of the raw data obtained in the previous step are evaluated to assist in data grouping and data exclusion, or even dictate further data collection. The generation of error models resides on data-driven optimization techniques using regression analysis tools (best-fitting curves, interpolation, etc.). Statistical evaluation of the models before the implementation on real data enables the identification of potential gross deviations and data over-fitting.
- Error mitigation: This step includes implementation of the error models on real range data. Obviously, in order to obtain an unbiased evaluation, data correction refers to data collected only for validation purposes, excluding all data used for building the error model. By design, and in order for the error models to be efficient, they are classified to suit different operational conditions, usually by room type and geometry. Validation of the efficiency of error modeling is undertaken using a suitable subset of static reference data.
- Kinematic positioning: The final step of the range correction methodology concerns the error model performance assessment at the operational level. The dynamic character of the kinematic data provides the most demanding conditions for the TWR range error model validation due to the varying environment and user kinematics. For validating their reliability and robustness, a set of test trajectories is built that covers the entire testbed area.
4.2. Range Correction Models
4.2.1. Radial (1D) Fitting Model
4.2.2. Spatial (2D) Fitting Model
4.3. Orientation-Assisted Range Correction Models
4.3.1. Orientation Assist
4.3.2. RSS-Based Orientation Selection
4.4. Range Correction Models Validation
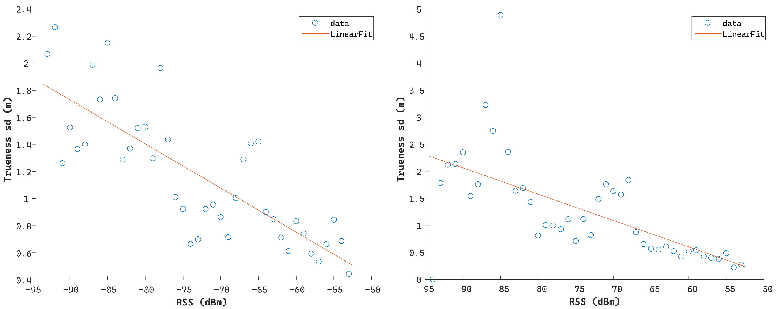
4.4.1. Internal and External Parameters Affecting TWR Quality
4.4.2. Validation Procedure of the Static Range Correction Model
4.4.3. Validation Procedure of the Kinematic Range Correction Model
4.5. Developed TWR Correction and Validation Software
5. Position Computation Algorithm
- Initialization
- Prediction
- Correction
5.1. Correction Models Adopted for the UWB and Wi-Fi RTT Range Observables Internal Accuracy
5.2. Kalman Filter Formulation for Distributed CP
6. Data Collection and Error Mitigation
6.1. Test Data Summary and Equipment Employed
6.2. Indoor Field Test Campaigns
6.3. Range Errors Mitigation
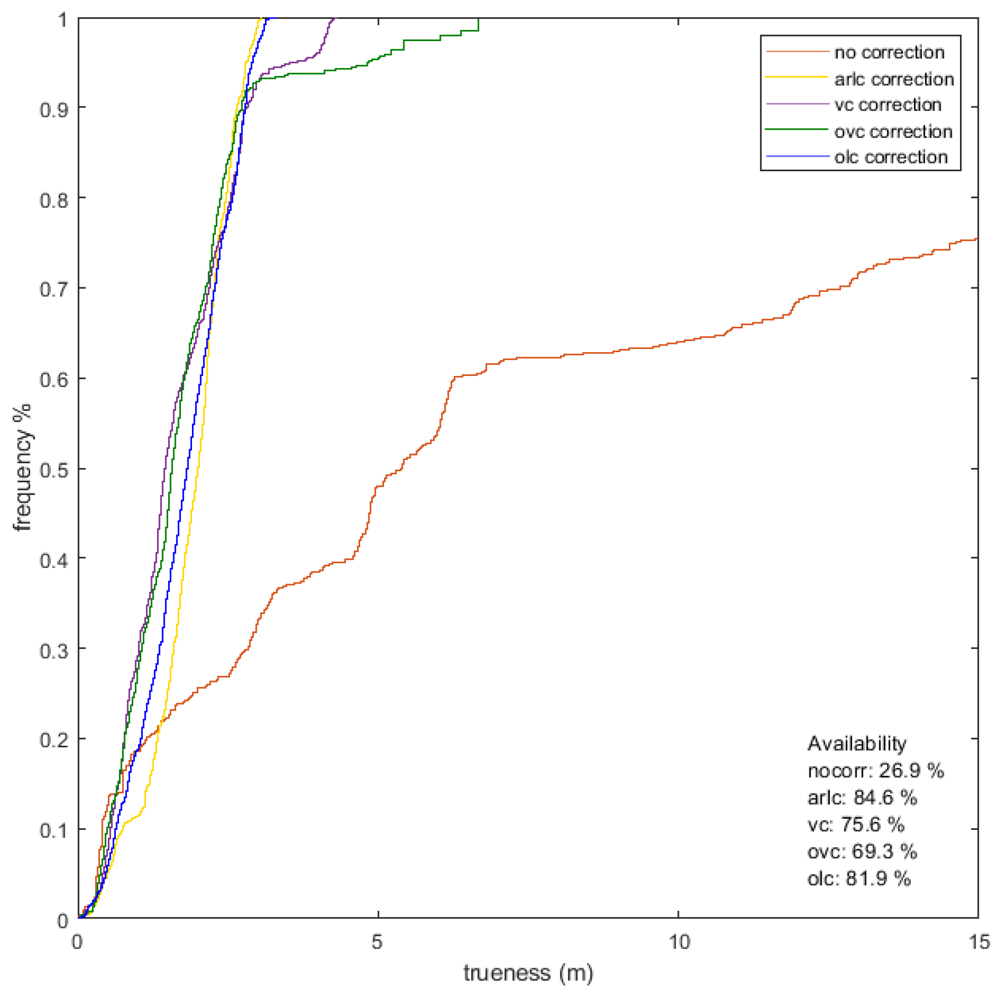
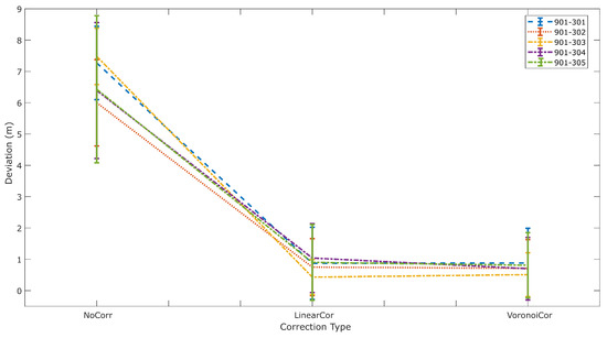
6.3.1. UWB Indoor Range Correction Analysis
6.3.2. Wi-Fi RTT Indoor Range Correction Analysis
7. Position Solution Estimation
7.1. Localization Solutions Obtained Using Field Data
7.1.1. UWB Indoor Trajectory Computation
7.1.2. Wi-Fi RTT Indoor Trajectory Estimation
7.2. Distributed Collaborative Positioning (DCP) Using Wi-Fi RTT P2I and UWB P2P Simulated Data
7.2.1. DCP P2I/P2P with No Anchor Loss
7.2.2. DCP P2I/P2P for Complete Anchor Loss
7.2.3. Discussion of Performance for the Different Positioning Algorithms
8. Conclusions and Outlook on Future Work
- Development and implementation of spatial (2D) error corrections models for RF-based technologies.
- Introduction of orientation and RSS information within the corrections models.
- Detailed and systematic performance evaluation of the proposed correction models leading to corresponding variations in both UWB and Wi-Fi RTT technologies.
- The combined use of Wi-Fi RTT and UWB in order to provide a balanced solution by utilizing the strengths and restrictions of each technology correspondingly;
- The ability of the algorithm to operate efficiently while a minimum number of anchor nodes is available for short periods by optimally combining P2P range measurements;
- The utilization of a range/heading Split Covariance Intersection Filter for UWB/Wi-Fi RTT/IMU loosely coupled fusion in order to provide robust indoor positioning for groups of pedestrians.
- The assessment of the range error correction models in limited LoS/NLoS conditions, undermining the ability to generalize the results;
- The functionalities of the range observables simulator do not include, in the current state, abilities to dynamically replicate varying signal transmission conditions (i.e., NLoS and multipath);
- The testing of the DCP algorithm needs to be further evaluated in real-world scenarios;
- The assessment of the potential channel congestion for scenarios of multiple users in real world scenarios needs to be considered.
- Implementation and assessment of the range error correction models in varying environments. Typical environments have been utilized in order to (1) analyze the impact of the environmental effects pertaining to specific area types, and (2) evaluate the validity of the adopted and proposed range error mitigation approaches. Evaluating the correction methodology in different test areas with varying LOS/NLOS conditions can further support its generalization ability. Moreover, extensive datasets can be utilized for potentially introducing data-driven AI techniques (i.e., machine learning) for investigating the ability to (1) minimize the required number of check points, and (2) to select the optimal checkpoints’ locations based on multiple parameters (i.e., building geometry, TWR technology specifications, and maximum field campaign duration).
- As the proposed range error evaluation approach can be expanded to a virtually unlimited number of similar technologies, further evaluating the developed software with additional RF-based ranging datasets (i.e., low-cost UWB sensors) is suggested. By performing experimental campaigns on the same test areas, baseline comparisons may be provided; subsequently, further configuration and fine-tuning of the methodology would be enabled, facilitating future methodology generalization.
- An extension of the range observables simulator, including the ability to simulate NLOS ranges through varying materials, would further enhance its robustness. The configuration of the simulation variables could rely on existing through-the-wall RF transmission models and additional field campaigns for calibrating them with additional datasets. Moreover, multipath-generated ranges could be introduced through, for example, suitable combinations of ray-tracing techniques and Monte Carlo methods. This would enhance the ability of the simulator to provide realistic datasets, facilitating future investigations of complex multitechnology, multi-environment scenarios.
- As the DCP algorithm is designed based on the distributed collaborative architecture, offering scalability and the ability to facilitate future implementation on mobile devices, it is suitable for a number of relevant applications. Notwithstanding a great number of personal mobility applications relying directly on the positioning solution produced using a single device (i.e., smartphone), a continuously increasing number of them rely on additional state information (orientation, elevation, etc.). Given the multisensory character of today’s smartphones, a great number of applications could benefit from the fusion of additional sensor data introduced within the loosely coupled architecture of the DCP solution. For example, as the UWB functionality is already available for a number of smartphones and given the cost limitations implicated by these mass-market devices, the investigation of the proposed approaches using low-cost UWB sensors would provide valuable insight regarding their large-scale applicability. Moreover, the provision of elevation information through barometric sensors data, or the inclusion of indoor maps that would set boundaries for the kinematic trajectory (i.e., map-matching approaches), would potentially increase the solution robustness. Both the improvement in the rover self-localization, as well as the consequent collaborative steps that would propagate the quality improvement to neighbor nodes, would benefit a potentially unlimited number of users.
Author Contributions
Funding
Institutional Review Board Statement
Data Availability Statement
Acknowledgments
Conflicts of Interest
References
- Gikas, V.; Perakis, H. Rigorous Performance Evaluation of Smartphone GNSS/IMU Sensors for ITS Applications. Sensors 2016, 16, 1240. [Google Scholar] [CrossRef] [PubMed]
- Clausen, P.; Gilliéron, P.Y.; Perakis, H.; Gikas, V.; Spyropoulou, I. Assessment of positioning accuracy of vehicle trajectories for different road applications. IET Intell. Transp. Syst. 2017, 11, 113–125. [Google Scholar] [CrossRef]
- Mordor. Ultra Wideband Market Size & Share Analysis—Growth Trends & Forecasts (2024–2029); Technical Report; Mordor Intelligence: Nanakramguda, India, 2024. [Google Scholar]
- Orfanos, M.; Perakis, H.; Gikas, V.; Retscher, G.; Mpimis, T.; Spyropoulou, I.; Papathanasopoulou, V. Testing and Evaluation of Wi-Fi RTT Ranging Technology for Personal Mobility Applications. Sensors 2023, 23, 2829. [Google Scholar] [CrossRef] [PubMed]
- Want, R.; Wang, W.; Chesnutt, S. Accurate Indoor Location for the IoT. Computer 2018, 51, 66–70. [Google Scholar] [CrossRef]
- Li, S.; Hedley, M.; Collings, I.B. New Efficient Indoor Cooperative Localization Algorithm with Empirical Ranging Error Model. IEEE J. Sel. Areas Commun. 2015, 33, 1407–1417. [Google Scholar] [CrossRef]
- Ledergerber, A.; D’Andrea, R. Ultra-wideband range measurement model with Gaussian processes. In Proceedings of the 1st Annual IEEE Conference on Control Technology and Applications, CCTA 2017, Kohala Coast, HI, USA, 27–30 August 2017; pp. 1929–1934. [Google Scholar] [CrossRef]
- Perakis, H.; Gikas, V. Evaluation of Range Error Calibration Models for Indoor UWB Positioning Applications. In Proceedings of the International Conference on Indoor Positioning and Indoor Navigation (IPIN), Nantes, France, 24–27 September 2018; pp. 206–212. [Google Scholar] [CrossRef]
- Horn, B.K.P. Doubling the Accuracy of Indoor Positioning: Frequency Diversity. Sensors 2020, 20, 1489. [Google Scholar] [CrossRef] [PubMed] [PubMed Central]
- Retscher, G.; Gikas, V.; Hofer, H.; Perakis, H.; Kealy, A. Range validation of UWB and Wi-Fi for integrated indoor positioning. Appl. Geomat. 2019, 11, 187–195. [Google Scholar] [CrossRef]
- Li, C.; Shi, L.; Moayeri, N.; Benson, J. A Performance Comparison of Wi-Fi RTT and UWB for RF Ranging; Technical Report; National Institute of Standards and Technology: Gaithersburg, MD, USA, 2021.
- Gikas, V.; Retscher, G.; Kealy, A. Chapter 15—Collaborative Positioning for Urban Intelligent Transportation Systems (ITS) and Personal Mobility (PM): Challenges and Perspectives. In Mobility Patterns, Big Data and Transport Analytics; Antoniou, C., Dimitriou, L., Pereira, F., Eds.; Elsevier: Amsterdam, The Netherlands, 2019; pp. 381–414. [Google Scholar] [CrossRef]
- Papathanasopoulou, V.; Perakis, H.; Spyropoulou, I.; Gikas, V. Pedestrian Simulation Challenges: Modeling Techniques and Emerging Positioning Technologies for ITS Applications. IEEE Trans. Intell. Transp. Syst. 2024, 25, 12876–12892. [Google Scholar] [CrossRef]
- Papathanasopoulou, V.; Spyropoulou, I.; Perakis, H.; Gikas, V.; Andrikopoulou, E. A Data-Driven Model for Pedestrian Behavior Classification and Trajectory Prediction. IEEE Open J. Intell. Transp. Syst. 2022, 3, 328–339. [Google Scholar] [CrossRef]
- Saifullah, Y.; He, Y.; Boag, A.; Yang, G.M.; Xu, F. Recent Progress in Reconfigurable and Intelligent Metasurfaces: A Comprehensive Review of Tuning Mechanisms, Hardware Designs, and Applications. Adv. Sci. 2022, 9, 2203747. [Google Scholar] [CrossRef]
- Yuan, Y.; Zhang, K.; Wu, Q.; Burokur, S.N.; Genevet, P. Reaching the efficiency limit of arbitrary polarization transformation with non-orthogonal metasurfaces. Nat. Commun. 2024, 15, 6682. [Google Scholar] [CrossRef] [PubMed]
- Goel, S.; Kealy, A.; Lohani, B. Development and Experimental Evaluation of a Low-Cost Cooperative UAV Localization Network Prototype. J. Sens. Actuator Netw. 2018, 7, 42. [Google Scholar] [CrossRef]
- Pierre, C.; Chapuis, R.; Aufrere, R.; Laneurit, J.; Debain, C. Range-Only Based Cooperative Localization for Mobile Robots. In Proceedings of the 21st International Conference on Information Fusion (FUSION), Cambridge, UK, 10–13 July 2018. [Google Scholar] [CrossRef]
- Han, Y.; Wei, C.; Li, R.; Wang, J.; Yu, H. A Novel Cooperative Localization Method Based on IMU and UWB. Sensors 2020, 20, 467. [Google Scholar] [CrossRef] [PubMed]
- Retscher, G. Indoor navigation—User requirements, state-of-the-art and developments for smartphone localization. Geomatics 2022, 3, 1–46. [Google Scholar] [CrossRef]
- Hao, Z.; Li, B.; Dang, X. A Method for Improving UWB Indoor Positioning. Math. Probl. Eng. 2018. [Google Scholar] [CrossRef]
- Meng, Y.; Gao, Y.; Kwok, K.H.; Zhao, H. Assessment of UWB for ubiquitous positioning and navigation. In Proceedings of the Ubiquitous Positioning, Indoor Navigation, and Location Based Service (UPINLBS) 2012, Helsinki, Finland, 3–4 October 2012; pp. 1–6. [Google Scholar]
- Koppanyi, Z.; Toth, C.K.; Grejner-Brzezinska, D.A.; Jozkow, G. Performance analysis of UWB technology for indoor positioning. In Proceedings of the Institute of Navigation International Technical Meeting 2014, ITM 2014, San Diego, CA, USA, 27–29 January 2014; pp. 154–165. [Google Scholar]
- Wann, C.D.; Hsueh, C.S. NLOS mitigation with biased Kalman filters for range estimation in UWB systems. In Proceedings of the TENCON2007—2007 IEEE Region 10 Conference, Taipei, Taiwan, 30 October–2 November 2007; pp. 1–4. [Google Scholar]
- Venkatesh, S.; Buehrer, R.M. NLOS mitigation using lin- ear programming in ultrawideband location-aware networks. IEEE Trans. Veh. Technol. 2007, 56, 3182–3198. [Google Scholar] [CrossRef]
- Shijie, Z.; Dan, W. An improved channel estimation method based on modified kalman filtering for MB UWB systems. Telecommun. Eng. 2014, 54, 632–636. [Google Scholar]
- Alsindi, N.; Alavi, B.; Pahlavan, K. Measurement and modeling of ultrawideband TOA-based ranging in indoor multipath environments. IEEE Trans. Veh. Technol. 2009, 58, 1046–1058. [Google Scholar] [CrossRef]
- Conti, A.; Guerra, M.; Dardari, D.; Decarli, N.; Win, M. Network experimentation for cooperative localization. IEEE J. Select. Areas Commun. 2012, 30, 467–475. [Google Scholar] [CrossRef]
- Gentner, C.; Muñoz, E.; Khider, M.; Staudinger, E.; Sand, S.; Dammann, A. Particle filter-based positioning with 3GPP-LTE in indoor environments. In Proceedings of the 2012 IEEE Conference on Position Location and Navigation, Myrtle Beach, SC, USA, 23–26 April 2012. [Google Scholar]
- Ganti, D.; Zhang, W.; Kavehrad, M. VLC-based indoor positioning system with tracking capability using Kalman and particle filters. In Proceedings of the 2014 IEEE International Conference on Consumer Electronics (ICCE), Las Vegas, NV, USA, 10–13 January 2014. [Google Scholar]
- Li, S.; Hedley, M.; Collings, I.B.; Johnson, M. Integration of IMU in indoor positioning systems with non-Gaussian ranging error distributions. In Proceedings of the IEEE/ION Position, Location and Navigation Symposium, PLANS 2016, Savannah, GA, USA, 11–14 April 2016; pp. 577–583. [Google Scholar] [CrossRef]
- Müller, P.; Ali-Löytty, S.; Dashti, M.; Nurminen, H.; Piché, R. Gaussian mixture filter allowing negative weights and its application to positioning using signal strength measurements. In Proceedings of the 9th Workshop on Positioning Navigation and Communication (WPNC) 2012, Dresden, Germany, 15–16 March 2012; pp. 71–76. [Google Scholar]
- Muller, P.; Wymeersch, H.; Piche, R. UWB positioning with generalized gaussian mixture filters. IEEE Trans. Mob. Comput. 2014, 13, 2406–2414. [Google Scholar] [CrossRef]
- Bar-Shalom, Y.; Li, R.X.; Kirubarajan, T. Estimation with Applications to Tracking and Navigation, Theory Algorithms and Software; John Wiley & Sons: Hoboken, NJ, USA, 2001. [Google Scholar]
- Wang, C.; Han, H.; Wang, J.; Yu, H.; Yang, D. A Robust Extended Kalman Filter Applied to Ultrawideband Positioning. Math. Probl. Eng. 2020, 2020, 1–12. [Google Scholar] [CrossRef]
- Jing, H.; Bonenberg, L.K.; Pinchin, J.; Hill, C.; Moore, T. Detection of UWB ranging measurement quality for collaborative indoor positioning. J. Locat. Based Serv. 2015, 9, 296–319. [Google Scholar] [CrossRef]
- Koppanyi, Z.; Toth, C. Indoor Ultra-Wide Band Network Adjustment using Maximum Likelihood Estimation. ISPRS Ann. Photogramm. Remote Sens. Spatial Inf. Sci. 2014, II, 31–35. [Google Scholar] [CrossRef]
- Toth, C.K.; Jozkow, G.; Koppanyi, Z.; Grejner-Brzezinska, D. Positioning Slow-Moving Platforms by UWB Technology in GPSChallenged Areas. J. Surv. Eng. 2017, 143, 2017. [Google Scholar] [CrossRef]
- Kurazume, R.; Nagat, S.; Hirose, S. Cooperative positioning with multiple robots. In Proceedings of the 1994 IEEE International Conference on Robotics and Automation, San Diego, CA, USA, 8–13 May 1994; pp. 1250–1257. [Google Scholar]
- Roumeliotis, S.I.; Bekey, G.A. Distributed multirobot localization. IEEE Trans. Robot. Autom. 2002, 18, 781–795. [Google Scholar] [CrossRef]
- Goel, S.; Kealy, A.; Retscher, G.; Lohani, B. Cooperative P2I Localization using UWB and Wi-Fi. In Proceedings of the International Global Navigation Satellite Systems (IGNSS) 2016, Sydney, Australia, 6–8 December 2016. [Google Scholar]
- Retscher, G.; Tatschl, T. Differential Wi-Fi—A Novel approach for Wi-Fi Positioning using Lateration. In Proceedings of the Recovery from Disaster, FIG Working Week 2016, Christchurch, New Zealand, 2–6 May 2016; pp. 2–6. [Google Scholar]
- Goel, S. A distributed cooperative UAV swarm localization system: Development and analysis. In Proceedings of the 30th International Technical Meeting of the Satellite Division of the Institute of Navigation, ION GNSS 2017, Portland, OR, USA, 25–29 September 2017; pp. 2501–2518. [Google Scholar] [CrossRef]
- Jing, H.; Pinchin, J.; Hill, C.; Moore, T. An Adaptive Weighting based on Modified DOP for Collaborative Indoor Positioning. J. Navig. 2016, 69, 225–245. [Google Scholar] [CrossRef]
- Masiero, A.; Toth, C.; Remondino, F. Vision and UWB-Based Collaborative Positioning Between Ground and UAS Platforms. In Proceedings of the 2023 IEEE/ION Position, Location and Navigation Symposium (PLANS), Monterey, CA, USA, 24–27 April 2023; pp. 748–754. [Google Scholar] [CrossRef]
- Zhu, J.; Kia, S. A Loosely Coupled Cooperative Localization Augmentation to Improve Human Geolocation in Indoor Environments. In Proceedings of the International Conference on Indoor Positioning and Indoor Navigation (IPIN), Nantes, France, 24–27 September 2018. [Google Scholar]
- Caceres, M.A.; Penna, F.; Wymeersch, H.; Garello, R. Hybrid Cooperative Positioning Based on Distributed Belief Propagation. IEEE J. Sel. Areas Commun. 2011, 29, 1948–1958. [Google Scholar] [CrossRef]
- Savic, V.; Zazo, S. Nonparametric generalized belief prop- agation based on pseudo-junction tree for cooperative localization in wireless networks. EURASIP J. Adv. Signal Process. 2013, 2013, 16. [Google Scholar] [CrossRef]
- Jin, D.; Yin, F.; Fritsche, C.; Zoubir, A.M.; Gustafsson, F. Cooperative localization based on severely quantized RSS measurements in wireless sensor network. In Proceedings of the ICASSP, IEEE International Conference on Acoustics, Shanghai, China, 20–25 March 2016; pp. 4214–4218. [Google Scholar] [CrossRef]
- Julier, S.J.; Uhlmann, J.K. A non-divergent estimation algorithm in the presence of unknown correlations. In Proceedings of the 1997 American Control Conference (Cat. No. 97CH36041), Albuquerque, NM, USA, 6 June 1997; Volume 4, pp. 2369–2373. [Google Scholar]
- Goel, S.; Kealy, A.; Gikas, V.; Retscher, G.; Toth, C.; Brzezinska, D.G.; Lohani, B. Cooperative Localization of Unmanned Aerial Vehicles Using GNSS, MEMS Inertial, and UWB Sensors. J. Surv. Eng. 2017, 143, 04017007. [Google Scholar] [CrossRef]
- Li, H.; Nashashibi, F. Cooperative multi-vehicle localization using split covariance intersection filter. IEEE Intell. Transp. Syst. Mag. 2013, 5, 33–44. [Google Scholar] [CrossRef]
- Sibson, R. A brief description of natural neighbor interpolation. In Interpreting Multivariate Data; Barnet, V., Ed.; Wiley: Chichester, UK, 1981; pp. 21–36. [Google Scholar]
- Google, L.L.C. Wi-Fi RTT (IEEE 802.11mc). 2019. Available online: https://source.android.com/devices/tech/connect/wifi-rtt (accessed on 18 November 2024).
































| Approach | Strength | Weakness |
|---|---|---|
| Centralized |
|
|
| Distributed |
|
|
| Algorithm | Strength | Weakness |
|---|---|---|
| EKF |
|
|
| PF |
|
|
| SPAWN |
|
|
| CIF/SCIF |
|
|
| Trueness [m] | |||
|---|---|---|---|
| Method | Mean | SD | Max |
| No Correction | 0.35 | 0.20 | 0.85 |
| Room Linear | 0.13 | 0.21 | 0.62 |
| All Room Linear | 0.13 | 0.08 | 0.49 |
| Voronoi Correction | 0.09 | 0.09 | 0.69 |
| Method | Trueness Mean [m] | Trueness SD [m] | Mean Availability [%] |
|---|---|---|---|
| No Correction | 5.08 | 4.32 | 21.8 |
| All Room Linear | 2.29 | 0.79 | 83.0 |
| Oriented Linear | 2.36 | 0.89 | 81.8 |
| Voronoi Correction | 10.39 | 6.76 | 55.3 |
| Oriented Voronoi Correction | 12.01 | 8.70 | 49.4 |
Disclaimer/Publisher’s Note: The statements, opinions and data contained in all publications are solely those of the individual author(s) and contributor(s) and not of MDPI and/or the editor(s). MDPI and/or the editor(s) disclaim responsibility for any injury to people or property resulting from any ideas, methods, instructions or products referred to in the content. |
© 2024 by the authors. Licensee MDPI, Basel, Switzerland. This article is an open access article distributed under the terms and conditions of the Creative Commons Attribution (CC BY) license (https://creativecommons.org/licenses/by/4.0/).
Share and Cite
Perakis, H.; Gikas, V.; Retscher, G. Development of Advanced Positioning Techniques of UWB/Wi-Fi RTT Ranging for Personal Mobility Applications. Sensors 2024, 24, 7520. https://doi.org/10.3390/s24237520
Perakis H, Gikas V, Retscher G. Development of Advanced Positioning Techniques of UWB/Wi-Fi RTT Ranging for Personal Mobility Applications. Sensors. 2024; 24(23):7520. https://doi.org/10.3390/s24237520
Chicago/Turabian StylePerakis, Harris, Vassilis Gikas, and Günther Retscher. 2024. "Development of Advanced Positioning Techniques of UWB/Wi-Fi RTT Ranging for Personal Mobility Applications" Sensors 24, no. 23: 7520. https://doi.org/10.3390/s24237520
APA StylePerakis, H., Gikas, V., & Retscher, G. (2024). Development of Advanced Positioning Techniques of UWB/Wi-Fi RTT Ranging for Personal Mobility Applications. Sensors, 24(23), 7520. https://doi.org/10.3390/s24237520

