Enabling Design of Secure IoT Systems with Trade-Off-Aware Architectural Tactics
Abstract
1. Introduction
2. Related Work
2.1. Security Patterns
2.2. Security Tactics
2.3. Reference Architectures
2.4. Threat Modeling
3. A Trade-Offs-Aware Security Tactics Catalog
- The taxonomy of security tactics: although several taxonomies of security tactics have been proposed, we adopt the latest version of the taxonomy by Bass et al. [55].
- A tabular description of IoT-specific trade-offs: a newly created description of positive and negative impacts of each tactic on the typical quality attributes of an IoT system.
3.1. Security Tactics Taxonomy
3.1.1. Detect Attacks
- Detect Intrusion: Comparing a system’s network traffic or service request patterns to a database of known malicious behavior signatures.
- Detect Service Denial: Comparing incoming network traffic to known Denial of Service (DoS) [80] attack profiles.
- Verify Message Integrity: Using checksums and hash values to ensure message and file integrity by using redundant information and unique strings.
- Detect Message Delivery Anomalies: Monitoring message delivery times and identifying abnormal connection patterns.
3.1.2. Resist Attacks
- Identify Actors: Determining the source of any external input to the system; users are identified using user IDs, while other systems can be identified using access codes, IP addresses, protocols, ports, or other methods.
- Authenticate actors: Verifying an actor’s identity with passwords, one-time passwords, digital certificates, two-factor authentication, or biometric identification methods.
- Authorize Actors: Ensuring that an authenticated actor has the right to access and modify either data or services; this mechanism is usually enabled by providing access control mechanisms within a system.
- Limit access: Controlling access to computer resources by limiting the number of entry points and regulating the type of data allowed through.
- Limit Exposure: Minimizing damage caused by hostile actions by limiting data or services accessible through a single access point, thus reducing vulnerability to attacks.
- Encrypt Data: Encrypting to protect data and communication.
- Separate Entities: Entities can be physically separated on different servers, virtual machines, or an “air gap” with no electronic connection; additionally, sensitive data are kept separate from non-sensitive data, to reduce the risk of unauthorized access and attacks.
- Validate Input: Cleaning and checking input, using a security framework to filter, canonicalize, and sanitize input.
- Change Credential Settings: Change default security settings in systems and applications, to prevent unauthorized access; some systems may require users to change their passwords regularly for heightened security.
3.1.3. React to Attacks
- Revoke Access: If an attack is suspected, access to sensitive resources may be restricted, even for legitimate users.
- Restrict Login: Repeated failed login attempts may indicate a potential attack, and access from a specific computer may be (perhaps temporarily) restricted.
- Inform Actors: If an attack is detected, its operators, personnel, or cooperating systems must be notified.
3.1.4. Recover from Attacks
- Audit: Trace and identify attackers by analyzing audit trails.
- Non-Repudiation: Combining digital signatures and authentication by trusted third parties to prevent senders and recipients from denying message transmission and receipt, thus ensuring a secure and irrefutable record of communication.
3.2. Trade-Offs Among Security Tactics
3.2.1. Detect Attacks
- Detect Intrusion: It hurts Performance Efficiency in IoT systems (- -), as it requires maintaining a permanent process of comparing malicious network traffic patterns and actions in the system with predefined signatures; this is demanding on memory and CPU. It favors Reliability (++) because it promotes prevention and early detection of attacks that can lead to availability problems or system failures. It favors Safety (++) because detecting intrusions in an IoT system is crucial to prevent them from harming the physical environment.
- Detect Service Denial: It hurts (- -) Performance Efficiency in IoT systems because of the continuous need to compare malicious network traffic patterns and system actions with predefined signatures, straining system resources. It favors (++) Reliability because it promotes prevention and early detection of attacks that can lead to availability problems or system failures. It favors Flexibility (++) by enabling early detection of networking bottlenecks that could hinder system scalability if not addressed on a timely basis. It favors Safety (++) because detecting DoS attacks in an IoT system is crucial for preventing interruptions to systems that monitor and act on critical infrastructure or people’s lives.
- Verify Message Integrity: It slightly hurts (—) Performance Efficiency, since generating and verifying hashes and checksums can impact an IoT system, especially if there is a high volume of messages, as this can be CPU-intensive. It favors (++) Reliability, as it prevents data manipulation by malicious users and avoids data integrity and consistency errors that could result in system failures. It favors (++) Safety, as it prevents data manipulation by malicious users attempting to execute specific commands in IoT systems operating as actuators.
- Detect Message Delivery Anomalies: It hurts (- -) Performance Efficiency because it requires constant monitoring of the messages exchanged by the IoT system, which uses additional system resources to analyze, process, and classify events that may be suspected of being an attack; it favors (++) Reliability because it promotes preventing and detecting attacks that can lead to availability problems or system failures; it favors (++) Safety since it prevents and mitigates the materialization of attacks that seek to inject commands or gain access to the IoT system to exploit functionalities for interaction with the environment.
3.2.2. Resist Attacks
- Identify Actors: It favors (++) Safety by preventing and mitigating attacks aimed at injecting commands or gaining access to the IoT system for exploiting functionalities for interacting with the environment.
- Authenticate Actors: It could slightly hurt (—) Interaction Capability if many actions are required to complete a successful authentication. It favors (++) Safety by preventing and mitigating attacks aimed at injecting commands or gaining access to the IoT system for exploiting functionalities for interacting with the environment.
- Authorize Actors: It favors (++) Safety by preventing and mitigating attacks aimed at injecting commands or gaining access to the IoT system for exploiting functionalities for interacting with the environment.
- Limit Access: It favors (++) Reliability by preventing and detecting attacks that can cause availability issues or system failures. It favors(++) Safety by preventing and mitigating attacks that aim to inject commands or gain access to the IoT system to exploit functionalities for interacting with the environment.
- Limit Exposure: It favors (++) Reliability by proactively identifying and preventing attacks that may lead to availability problems or system crashes. It favors (++) Safety by thwarting and mitigating attacks designed to insert unauthorized commands or compromise IoT system access to exploit environmental interaction functionalities.
- Encrypt Data: It slightly hurts (—) Performance Efficiency, but some lightweight cryptographic algorithms can minimize the workload on the IoT system’s resources [90,91,92,93,94,95]. It favors (++) Safety by preventing and mitigating attacks that inject commands or gain access to the IoT system to exploit functionalities for interacting with the environment.
- Separate Entities: It favors (++) Safety by proactively preventing and countering potential attacks that seek to infiltrate the IoT system.
- Validate Input: It slightly hurts (—) Performance Efficiency if the validation logic is complex or requires external services. It favors (++) Reliability because it helps to prevent attacks that could lead to system failures resulting from the injection of control commands or other malicious parameter modifications. It favors (++) Safety by preventing attacks that can lead to system failures resulting from the injection of control commands or other parameter modifications for malicious purposes, which could dangerously impact the environment.
- Change Credential Settings: It favors (++) Reliability by preventing unauthorized third parties from accessing the IoT system with known default passwords and executing malicious actions. It favors (++) Safety by preventing attacks that can cause system failures due to injecting control commands or modifying parameters for malicious purposes, which could have a dangerous impact on the environment.
3.2.3. React to Attacks
- Revoke Access: It favors (++) Reliability by containing the attack before it escalates. It favors (++) Safety, as it effectively can contain attacks aimed at injecting unauthorized commands or gaining unauthorized access to the IoT system, helping to safeguard the system and prevent the exploitation of its functionalities that could eventually impact the physical environment.
- Restrict Login: It may slightly hurt (—) Interaction Capability if a legitimate user is mistakenly blocked due to an error or enters their login credentials incorrectly, which could disrupt their access and hinder their ability to engage with the system or platform. It slightly favors (+) Reliability by preventing unauthorized users from accessing the IoT system and carrying out malicious actions. It favors (++) Safety by preventing and minimizing potential attacks that aim to inject unauthorized commands or gain unauthorized access to the IoT system, helping to safeguard the system’s functionalities and environmental interactions from exploitation.
- Inform Actors: It favors (++) Reliability because notifying actors about a potential attack helps ensure that actions are taken to contain and mitigate an attack. It favors (++) Safety because it prevents and mitigates attacks that seek to inject commands or gain access to the IoT system for environmental interaction.
3.2.4. Recover from Attacks
- Audit: It slightly favors (+) Reliability by providing a detailed record of security actions or events, information that is crucial for conducting a root cause analysis related to specific incidents that impact the reliability of the IoT system. It favors (++) Safety, as it helps to prevent and mitigate attacks that attempt to inject commands or access the IoT system to exploit environmental interaction functionalities.
- Non-repudiation. It slightly hurts (—) Performance Efficiency because, although implementing non-repudiation may demand significant CPU and system resources, modern lightweight algorithms are available. It favors (++) Safety by preventing and mitigating attacks aimed at injecting commands or gaining unauthorized access to the IoT system to exploit environmental interaction functionalities.
4. Case Study: Nunatak—IoT Environmental Monitoring System
4.1. Context
4.2. Quality Attributes
- Confidentiality: data in transit and at rest must be appropriately protected, to prevent unauthorized access by other systems or individuals, since the collected data are considered private and must be safeguarded and restricted from public access at all times.
- Integrity: unauthorized third parties must not be able to alter the stored or transmitted data, since any unauthorized modifications can lead to incomplete or inaccurate information, and significantly impact the descriptive and predictive findings from the hydrological–chemical model.
- Availability: the system must be available with a Service Level Objective (SLO) [98] of 99.9%; any incidents affecting availability can result in loss of collected data, negatively impacting the dataset used by the hydrological–chemical model, and service interruptions may require on-site problem resolution, necessitating travel to the remote experimental laboratory location.
- Performance: real-time information may be required, and any service degradation can affect telemetry data availability at a given time.
4.3. Threat Modeling and Mapping to Quality Attributes
4.4. Illustrative Scenario: Man-in-the-Middle
- Scenario Review. The security experts analyzed the scenario regarding a MitM attack in an IoT environment.
- Tactics Selection. Each expert independently chose security tactics from a catalog, considering system requirements and limitations.
- Justification. Experts prepared brief reports justifying their selected tactics and addressing the scenario’s threats and trade-offs.
- Consensus Discussion. They held a moderated discussion to compare selections, evaluate strengths, and strive for a consensus on the best tactics. After discussion, the experts refined their findings and chose the final tactics for the MitM scenario.
- Detect Attacks
- -
- Verify Message Integrity: Verifying message integrity is an important aspect of design, as it ensures that the message sent is the same as the one received and has not been altered during transit through a communication channel. For instance, if a temperature sensor sends a message to a node or server, a hashing technique can be used to confirm that the message was not altered while in transit. Performance may be slightly compromised (—) when using this tactic.
- Resist Attacks
- -
- Identify Actors: Each IoT device must have a unique identity to establish traceability and subsequent authentication and authorization mechanisms. This identity can be represented by access codes, IP addresses, and other unique identifiers. Similarly, users who access these systems must have a unique and verifiable identity for authentication purposes. For instance, devices could utilize authentication tokens based on uniquely granted credentials. In a MitM scenario, it is essential to accurately identify all actors involved, including clients, servers, and devices. This is critical because an attacker could potentially impersonate any of these legitimate actors.
- -
- Authenticate Actors: IoT devices must undergo mutual authentication [41] with servers or other IoT devices to ensure secure communication. This entails both the IoT device and the server verifying each other’s identities before initiating communication. Protocols like Transport Layer Security (TLS) [112] can be utilized to achieve this mutual authentication. This approach prevents unauthorized communication interception, making it difficult for malicious actors to impersonate a legitimate device or deceive the server into accepting fraudulent connections. In addition, this method thwarts attackers from initiating unauthorized MitM connections, as they would also need to be authenticated. When authenticating people, it is best to do so transparently or automated to avoid negatively impacting negatively (—) Interaction Capability.
- -
- Authorize Actors: An IoT device must be restricted to perform only essential actions and access necessary resources upon successful authentication. An access control system enforces these restrictions, ensuring the IoT device can only execute specific actions. This system safeguards against attackers attempting to leverage an IoT device’s credentials to gain unauthorized access to resources or services.
- -
- Encrypt Data: Encryption is fundamental in preserving data integrity as it traverses between IoT devices and servers. End-to-end encryption is particularly significant in thwarting unauthorized access to sensitive information by ensuring that any intercepted messages remain incomprehensible without access to the encryption keys. In a MitM attack, encryption effectively upholds data confidentiality, even when transmitted across insecure networks. Since this tactic impacts performance only slightly negatively (—), it is important to use lightweight algorithms to mitigate the risk of significant impact on system performance.
- React to Attacks
- -
- Inform Actors: In a MitM attack, it is crucial to promptly notify IoT devices and system operators. IoT systems should have robust alert mechanisms to report suspicious activities. Real-time alerts should be established to notify IoT devices and administrators if an attacker attempts to disrupt communications, enabling them to take immediate action to prevent further damage.
- Recover from Attacks
- -
- Audit: Audit logs offer detailed insights into the success of the MitM attack. This helps address vulnerabilities and creates a historical record valuable for forensic investigations and preventing future attacks.
- Detect Attacks
- -
- Detect Intrusion: A MitM attack can be seen as an intrusion in communication, but traditional intrusion detection methods may not be as effective in detecting MitM attacks since a successful attack can accurately replicate intercepted traffic; therefore, anomaly or signature detection techniques are not very helpful in detecting this type of attack.
- -
- Detect Service Denial: not applicable, as it is designed to detect DoS attacks.
- -
- Detect Message Delivery Anomalies: while this approach might offer insight into a potential MitM attack (it is not exclusive to this kind of attack), it significantly compromises the system’s performance (- -), which is a key project requirement; therefore, it was decided to employ alternative tactics rather than having a lesser impact on this aspect of system quality.
- Resist Attacks
- -
- Limit Access: restricting access does not prevent or defend against this kind of attack, since typically the attack occurs outside the systems, in the communication channels with other IoT devices or servers.
- -
- Limit Exposure: there is no direct intrusion into the system, since it involves intercepting communication channels.
- -
- Separate Entities: the MitM attack occurs outside the servers, and attempts to impersonate legitimate traffic.
- -
- Validate Input: a MitM attack does not rely on code injection or modification of any parameters that need validation.
- -
- Change Credential Settings: a MitM attack does not rely on system.
- React to Attacks
- -
- Revoke Access: revoking access for machine-to-machine authorization could disrupt the system’s operations, mainly since MitM attacks typically occur in communication channels rather than within the IoT system itself; for users who access IoT systems and fall victim to a MitM attack, blocking the user may be a better course of action.
- -
- Restrict Login: it does not mitigates MitM attacks.
- Recover from Attacks
- -
- Non-repudiation: This tactic could help against a MitM attack, by utilizing digital signatures to provide evidence of the sender’s and receiver’s identities; since in this scenario digital signatures are already used to verify message integrity, implementing this tactic is redundant, and would add unnecessary overhead, affecting the system performance (—).
5. Experimental Study
5.1. Experiment Scoping
- Object of Study: Effect and utility of the trade-offs-aware IoT security tactics catalog on practitioners’ design of secure IoT systems.
- Purpose: Assess the benefits for system designers of using a trade-offs-aware IoT security tactics catalog. While the existing catalog is established, it lacks trade-off evaluations and relevance to IoT system design. This study will analyze the impact of adding trade-off information by comparing practitioners’ decisions against a ground truth established by expert architects in a case study.
- Perspective: From the point of view of the researchers, determine if there are any consistent performance differences among individuals who chose specific tactics to design a secure IoT system that meets project requirements.
- Quality focus: Analyzing individual performance in selecting architectural tactics for a case study, assessing the subject’s effectiveness and efficiency, and the catalog’s usefulness in supporting architectural decision making.
5.2. Planning
5.2.1. Hypothesis Formulation
- Precision. The proportion of correctly identified tactics (true positives) out of all tactics selected; a high precision score indicates that subjects are adept at selecting tactics with few false positives:
- Recall. The proportion of correctly identified tactics among all relevant tactics, as defined in the Ground Truth; a high recall score indicates that subjects can recognize tactics correctly with few false negatives:
- F1-Score. The harmonic mean of Precision and Recall, offering a unified metric that effectively balances both parameters:
- Accuracy. The proportion of correctly identified tactics, including true positives and true negatives, out of the total tactics considered; this measure gives an overall performance assessment of the subject in correctly classifying positive and negative instances:where
- -
- TN = tactics correctly NOT selected.
- -
- TP = tactics correctly selected.
- -
- FN = tactics that should be selected but were NOT selected.
- -
- FP = tactics that should NOT be selected but were selected.
5.2.2. Variables Selection
- Independent Variables
- -
- Catalog: Subjects receive one of the following two catalogs:
- *
- Standard catalog: A well-known catalog of security tactics [55].
- *
- Dependent Variables. The dependent variables are the Effectiveness, Efficacy, Usefulness, and Accuracy of the selections, which are the focus of this study. We will analyze their correlation with performance metrics. Table 8 details the rationale for each metric assessing the Efficiency, Effectiveness, Usefulness, and Accuracy of the selections.
5.2.3. Experiment Design
- Randomization. We used a stratified randomization [113] approach to categorize twelve subjects into two groups, ensuring a mix of junior professionals (under five years of experience) and seniors (five years or more). Participants were randomly assigned to treatments, resulting in a slightly unequal distribution due to the odd number of seven seniors and five juniors, but we aimed for balance.
- Blocking. All participants received training before the experiment to ensure an equal understanding of tactics, eliminating disadvantages for those less familiar. Additionally, random group assignments helped minimize the effects of prior knowledge.
- Balancing. The experiment employed a balanced design with an equal number of subjects in each group to maintain fairness and reduce bias in findings.
5.2.4. Instrumentation
5.3. Operation
- Preparation. Subjects were unaware of the specific aspects under study to eliminate bias. They were informed that the research focused on the practicality of tactics catalogs, not on specific hypotheses. All necessary materials were provided, and anonymity was assured to promote honest participation.
- Execution. The study took place during a 90-min session on a regular workday, with data collected primarily through online forms. A brainstorming session at the end gathered feedback on the experiment’s design and dynamics.
- Data Validation. Tactics were chosen using closed-end forms via Google Forms (https://workspace.google.com/products/forms/ (accessed on 10 November 2024)). This approach limited responses to a pre-defined list, ensuring only cataloged elements were included. Completeness of responses was reviewed to verify adherence to instructions.
5.4. Analysis and Interpretation
5.4.1. Matching the Ground Truth
- = the selection or omission of a particular tactic specified in the Ground Truth;
- = the selection or omission of a particular tactic performed by the subjects;
- = a loss function that assigns a value of “0” or “1” based on the match with the Ground Truth;
- n = total number of tactics in the catalog.
5.4.2. Descriptive Statistics
5.4.3. Hypothesis Testing
5.4.4. Bootstrapping the Sample
6. Discussion
7. Threat to Validity
- Internal Validity: A potential threat to validity is learning bias, where participants in the experimental group may have improved their performance due to exposure to additional material provided by the IoT trade-offs-aware catalog. We ensured each group received the specific catalog during the experiment to address this. Another potential threat to the internal validity of this experiment is that some participants may have prior knowledge of the security tactics. To address this concern, we conducted a training session before the experiment in which all the tactics in the catalog were presented and explained to both the control and experimental groups. This approach ensures that all participants, regardless of their previous experience, have a uniform understanding of the tactics. As a result, we eliminate any potential bias arising from prior knowledge and establish equivalent initial conditions for both groups. Additionally, we utilized stratified random assignment [113] to achieve a balanced representation of junior and senior participants in both groups. Another potential threat to the internal validity is bias from the experts who established the ground truth. To address this, we selected three external experts to incorporate diverse perspectives and minimize individual biases. They provided objective assessments since they were not involved in the study’s outcomes. Discussion sessions were held to compare their selections and reach a consensus, ensuring the chosen tactics were based on a thorough evaluation of the associated threats and limitations.
- External Validity: A potential concern is using hypothetical scenarios that provide conceptual clarity but may not capture the real-world complexities, constraints, and considerations in designing secure IoT systems. We addressed this concern by using a real-world case and conducting threat modeling using STRIDE [75] to accurately identify security threats that could be addressed using specific tactics [70]. Furthermore, the study was conducted in an industrial setting with practitioners of varying experience levels, which is a common scenario in the industry and supports the potential for replicating the study accurately. Additionally, all the necessary information to reproduce and validate the study’s results, including the dataset containing detailed performance metric results from our experiment, is publicly available (https://doi.org/10.5281/zenodo.13896006).
- Construct Validity: We used commonly accepted performance metrics to measure the fitness of tactic selection. These metrics are standard in performance evaluation and have been previously used in several studies [117,118,119,120,121]. The Precision, Recall, F1-Score, and Accuracy metrics were linked to key decision-making concepts such as efficiency, effectiveness, utility, and accuracy, respectively, to give practical meaning to the hypotheses (see Table 8). To prevent bias of the subjects, details of the hypothesis or aspects that could influence the subjects’ behavior and impact the results were not disclosed. To avoid bias in the Ground Truth (see Table 6), the analysis was conducted by a group of three external experts (see Table 5) using a consensus-based approach to determine the appropriate set of tactics for the case study scenario. This ensured that standards of integrity and objectivity were maintained in the evaluation.
- Conclusions Validity: The small sample size limits generalizing the results and reduces the statistical power. While finding large samples for experimental studies in industrial contexts is a well-known problem [113], there are techniques to address this issue [113,124,125,126,127,128]. In our case, we relaxed the statistical significance ( = 0.1), used bootstrap simulations with 1000 iterations, and conducted hypothesis tests and effect size analysis using the Mann–Whitney non-parametric test, which has proven helpful with small samples [113]. Even though we carefully followed the literature’s recommendations for small samples, we believe that future study replications with a larger sample would yield more representative results. However, the obtained results, particularly in the Recall and F1-Score metrics, demonstrate a clear and consistent trend, highlighting the practical usefulness of the enriched catalog with trade-offs for designing secure IoT systems.
8. Conclusions
Author Contributions
Funding
Institutional Review Board Statement
Informed Consent Statement
Data Availability Statement
Acknowledgments
Conflicts of Interest
References
- Orellana, C.; Fernandez, E.B.; Astudillo, H. A pattern for a secure sensor node. In Proceedings of the 27th Conference on Pattern Languages of Programs, PLoP ’20, Virtual, 12–16 October 2020. [Google Scholar]
- Russell, B.; Van Duren, D. Practical Internet of Things Security: Design a Security Framework for an Internet Connected Ecosystem, 2nd ed.; Packt Publishing: Birmingham, UK, 2018. [Google Scholar]
- Fotia, L.; Messina, F.; Rosaci, D.; Sarné, G. Security, Trust and Privacy Models, and Architectures in IoT Environments; Springer International Publishing: Cham, Switzerland, 2023. [Google Scholar]
- Suresh, A.; Nandagopal, M.; Raj, P.; Neeba, E.; Lin, J. Industrial IoT Application Architectures and Use Cases; CRC Press: Boca Raton, FL, USA, 2020. [Google Scholar]
- Nižetić, S.; Šolić, P.; López-de-Ipiña González-de-Artaza, D.; Patrono, L. Internet of Things (IoT): Opportunities, issues and challenges towards a smart and sustainable future. J. Clean. Prod. 2020, 274, 122877. [Google Scholar] [CrossRef] [PubMed]
- Xenofontos, C.; Zografopoulos, I.; Konstantinou, C.; Jolfaei, A.; Khan, M.K.; Choo, K.K.R. Consumer, Commercial, and Industrial IoT (In)Security: Attack Taxonomy and Case Studies. IEEE Internet Things J. 2022, 9, 199–221. [Google Scholar] [CrossRef]
- Garcia-Morchon, O.; Kumar, S.; Sethi, M. Internet of Things (IoT) Security: State of the Art and Challenges. RFC 8576. 2019. Available online: https://rfc-editor.org/rfc/rfc8576.txt (accessed on 10 November 2024).
- Pacheco, J.; Ibarra, D.; Vijay, A.; Hariri, S. IoT Security Framework for Smart Water System. In Proceedings of the 2017 IEEE/ACS 14th International Conference on Computer Systems and Applications (AICCSA), Hammamet, Tunisia, 30 October–3 November 2017; pp. 1285–1292. [Google Scholar] [CrossRef]
- Mohamad Noor, M.B.; Hassan, W.H. Current research on Internet of Things (IoT) security: A survey. Comput. Networks 2019, 148, 283–294. [Google Scholar] [CrossRef]
- Schiller, E.; Aidoo, A.; Fuhrer, J.; Stahl, J.; Ziörjen, M.; Stiller, B. Landscape of IoT security. Comput. Sci. Rev. 2022, 44, 100467. [Google Scholar] [CrossRef]
- Kizza, J.M. Internet of Things (IoT): Growth, Challenges, and Security. In Guide to Computer Network Security; Springer International Publishing: Cham, Switzerland, 2024; pp. 557–573. [Google Scholar] [CrossRef]
- Tawalbeh, L.; Muheidat, F.; Tawalbeh, M.; Quwaider, M. IoT Privacy and Security: Challenges and Solutions. Appl. Sci. 2020, 10, 4102. [Google Scholar] [CrossRef]
- Krzysztofek, M. GDPR: Personal Data Protection in the European Union; European Monographs Series Set; Wolters Kluwer: Alphen aan den Rijn, The Netherlands, 2021. [Google Scholar]
- Robinson, J. HIPAA Regulatory Desk Reference: A Reference Guide for Practice Managers and Compliance Officers; Staten House: New York, NY, USA, 2024. [Google Scholar]
- BUKATY, P. The California Consumer Privacy Act (CCPA): An Implementation Guide; IT Governance Publishing: Ely, UK, 2019. [Google Scholar]
- Barati, M.; Rana, O.; Petri, I.; Theodorakopoulos, G. GDPR Compliance Verification in Internet of Things. IEEE Access 2020, 8, 119697–119709. [Google Scholar] [CrossRef]
- Badii, C.; Bellini, P.; Difino, A.; Nesi, P. Smart City IoT Platform Respecting GDPR Privacy and Security Aspects. IEEE Access 2020, 8, 23601–23623. [Google Scholar] [CrossRef]
- Wachter, S. Normative challenges of identification in the Internet of Things: Privacy, profiling, discrimination, and the GDPR. Comput. Law Secur. Rev. 2018, 34, 436–449. [Google Scholar] [CrossRef]
- Aljeraisy, A.; Barati, M.; Rana, O.; Perera, C. Privacy Laws and Privacy by Design Schemes for the Internet of Things: A Developer’s Perspective. ACM Comput. Surv. 2021, 54, 1–38. [Google Scholar] [CrossRef]
- Sung, C.H.; Lu, M.C. Protection of personal privacy under the development of the Internet of Things. Wireless Netw. 2023. [CrossRef]
- Said, A.; Yahyaoui, A.; Abdellatif, T. HIPAA and GDPR Compliance in IoT Healthcare Systems. In Proceedings of the Advances in Model and Data Engineering in the Digitalization Era, Sousse, Tunisia, 2–4 November 2023; Mosbah, M., Kechadi, T., Bellatreche, L., Gargouri, F., Guegan, C.G., Badir, H., Beheshti, A., Gammoudi, M.M., Eds.; Springer: Cham, Switzerland, 2024; pp. 198–209. [Google Scholar]
- Alharbi, R.; Almagwashi, H. The Privacy Requirements for Wearable IoT Devices in Healthcare Domain. In Proceedings of the 2019 7th International Conference on Future Internet of Things and Cloud Workshops (FiCloudW), Istanbul, Turkey, 26–28 August 2019; pp. 18–25. [Google Scholar] [CrossRef]
- Ziegler, S. Internet of Things Security and Data Protection; Internet of Things; Springer International Publishing: Cham, Switzerland, 2019. [Google Scholar]
- Hei, X. Security, Data Analytics, and Energy-Aware Solutions in the IoT; Advances in web technologies and engineering (AWTE) book series; IGI Global: Hershey, PA, USA, 2021. [Google Scholar]
- Montasari, R.; Carroll, F.; Mitchell, I.; Hara, S.; Bolton-King, R. Privacy, Security Furthermore, Forensics in the Internet of Things (IoT); Springer International Publishing: Cham, Switzerland, 2022. [Google Scholar]
- Iqbal, W.; Abbas, H.; Daneshmand, M.; Rauf, B.; Bangash, Y.A. An In-Depth Analysis of IoT Security Requirements, Challenges, and Their Countermeasures via Software-Defined Security. IEEE Internet Things J. 2020, 7, 10250–10276. [Google Scholar] [CrossRef]
- Gogineni, S.K.; Riedelsheimer, T.; Stark, R. Systematic product development methodology for customizable IoT devices. Procedia CIRP 2019, 84, 393–399. [Google Scholar] [CrossRef]
- Fattahi, A. IoT Product Design and Development: Best Practices for Industrial, Consumer, and Business Applications; IoT Skills in Practice; Wiley: Hoboken, NJ, USA, 2022. [Google Scholar]
- Villegas, M.M.; Orellana, C.; Astudillo, H. A study of over-the-air (OTA) update systems for CPS and IoT operating systems. In Proceedings of the 13th European Conference on Software Architecture-(ECSA 2019) ECSA ’19, New York, NY, USA, 9–13 September 2019; Volume 2, pp. 269–272. [Google Scholar] [CrossRef]
- Perera, C.; Barhamgi, M.; Bandara, A.K.; Ajmal, M.; Price, B.; Nuseibeh, B. Designing privacy-aware internet of things applications. Inf. Sci. 2020, 512, 238–257. [Google Scholar] [CrossRef]
- NIST. Considerations for Managing Internet of Things (IoT) Cybersecurity and Privacy Risks; National Institute of Standards and Technology: Gaithersburg, MD, USA, 2020. [Google Scholar] [CrossRef]
- ISO/IEC 27400:2022; Cybersecurity—IoT Security and Privacy—Guidelines. ISO/IEC: Geneva, Switzerland, 2022.
- ISO/IEC 30149:2024; Internet of Things (IoT)—Trustworthiness Principles. ISO/IEC: Geneva, Switzerland, 2024.
- ISO/IEC 30141:2024; Internet of Things (IoT)—Reference Architecture. ISO/IEC: Geneva, Switzerland, 2024.
- Rajmohan, T.; Nguyen, P.; Ferry, N. A decade of research on patterns and architectures for IoT security. Cybersecurity 2022, 5, 2. [Google Scholar] [CrossRef]
- ISO/IEC 25010:2023; Systems and Software Engineering—Systems and Software Quality Requirements and Evaluation (SQuaRE)—System and Software Quality Models. ISO/IEC: Geneva, Switzerland, 2023.
- Salama, M.; Bahsoon, R.; Bencomo, N. Managing Trade-Offs in Self-Adaptive Software Architectures: A Systematic Mapping Study, Managing Trade-Offs in Adaptable Software Architectures; Elsevier: Amsterdam, The Netherlands, 2016. [Google Scholar]
- Diaz-Pace, J.A.; Wohlrab, R.; Garlan, D. Supporting the Exploration of Quality Attribute Tradeoffs in Large Design Spaces. In Proceedings of the Software Architecture: 17th European Conference, ECSA 2023, Istanbul, Turkey, 18–22 September 2023; pp. 3–19. [Google Scholar] [CrossRef]
- Harrison, N.B.; Avgeriou, P. How do architecture patterns and tactics interact? A model and annotation. J. Syst. Softw. 2010, 83, 1735–1758. [Google Scholar] [CrossRef]
- Ryoo, J.; Kazman, R.; Anand, P. Architectural Analysis for Security. IEEE Secur. Priv. 2015, 13, 52–59. [Google Scholar] [CrossRef]
- Fernandez-Buglioni, E. Security Patterns in Practice: Designing Secure Architectures Using Software Patterns; Wiley Software Patterns Series; Wiley: Hoboken, NJ, USA, 2013. [Google Scholar]
- Schumacher, M.; Fernandez-Buglioni, E.; Hybertson, D.; Buschmann, F.; Sommerlad, P. Security Patterns: Integrating Security and Systems Engineering; Wiley Software Patterns Series; Wiley: Hoboken, NJ, USA, 2013. [Google Scholar]
- Fernandez, E.B.; Yoshioka, N.; Washizaki, H. Evaluating the degree of security of a system built using security patterns. In Proceedings of the 13th International Conference on Availability, Reliability and Security, ARES ’18, Hamburg, Germany, 27–30 August 2018. [Google Scholar] [CrossRef]
- Fernandez, E.B. A pattern for a secure cloud-based IoT architecture. In Proceedings of the 27th Conference on Pattern Languages of Programs, PLoP ’20, Virtual, 12–16 October 2020. [Google Scholar]
- Fernández, E.; Yoshioka, N.; Washizaki, H. Secure Distributed Publish/Subscribe (P/S) pattern for IoT. In Proceedings of the 6th Asian Conference on Pattern Languages of Programs, People, and Practices (AsianPLoP), Taipei, Taiwan, 4–6 March 2020. [Google Scholar]
- Fernandez, E.; Yoshioka, N. Using a variety of patterns in a secure software development methodology. CEUR Workshop Proc. 2021, 2809, 26–32. [Google Scholar]
- Fernandez, E.; Astudillo, H.; Orellana, C. A pattern for a Secure IoT Thing. In Proceedings of the 26th European Conference on Pattern Languages of Programs, EuroPLoP ’21, Graz, Austria, 7–11 July 2021. [Google Scholar] [CrossRef]
- Fernandez, E.B.; Washizaki, H.; Yoshioka, N.; Okubo, T. The design of secure IoT applications using patterns: State of the art and directions for research. Internet Things 2021, 15, 100408. [Google Scholar] [CrossRef]
- Fernandez, E.; Yoshioka, N.; Washizaki, H.; Yoder, J. Abstract security patterns and the design of secure systems. Cybersecurity 2022, 5, 7. [Google Scholar] [CrossRef]
- Orellana, C.; Villegas, M.M.; Astudillo, H. Assessing Architectural Patterns Trade-offs using Moment-based Pattern Taxonomies. In Proceedings of the 2019 XLV Latin American Computing Conference (CLEI), Panama City, Panama, 30 September–4 October 2019; pp. 1–8. [Google Scholar] [CrossRef]
- Orellana, C.; Astudillo, H.; Fernandez, E.B. A Pattern for a Secure Actuator Node. In Proceedings of the 26th European Conference on Pattern Languages of Programs, EuroPLoP ’21, Graz, Austria, 7–11 July 2021. [Google Scholar] [CrossRef]
- Washizaki, H.; Yoshioka, N.; Hazeyama, A.; Kato, T.; Kaiya, H.; Ogata, S.; Okubo, T.; Fernandez, E.B. Landscape of IoT Patterns. In Proceedings of the 2019 IEEE/ACM 1st International Workshop on Software Engineering Research & Practices for the Internet of Things (SERP4IoT), Montreal, QC, Canada, 27 May 2019; pp. 57–60. [Google Scholar] [CrossRef]
- Washizaki, H.; Ogata, S.; Hazeyama, A.; Okubo, T.; Fernández, E.; Yoshioka, N. Landscape of Architecture and Design Patterns for IoT Systems. IEEE Internet Things J. 2020, 7, 10091–10101. [Google Scholar] [CrossRef]
- Jamshidi, S.; Nikanjam, A.; Kawser, N.; Khomh, F.; Hamdaqa, M.A. Understanding the Impact of IoT Security Patterns on CPU Usage and Energy Consumption on IoT Devices. TechRxiv 2024. [Google Scholar] [CrossRef]
- Bass, L.; Clements, P.; Kazman, R. Software Architecture in Practice, 4th ed.; SEI Series in Software Engineering; Addison-Wesley Professional: Boston, MA, USA, 2021. [Google Scholar]
- Manteuffel, C.; Tofan, D.; Avgeriou, P.; Koziolek, H.; Goldschmidt, T. Decision architect—A decision documentation tool for industry. J. Syst. Softw. 2016, 112, 181–198. [Google Scholar] [CrossRef]
- Capilla, R.; Zimmermann, O.; Carrillo, C.; Astudillo, H. Teaching Students Software Architecture Decision Making. In Proceedings of the Software Architecture: 14th European Conference, ECSA 2020, L’Aquila, Italy, 14–18 September 2020; Springer: Cham, Switzerland, 2020; pp. 231–246. [Google Scholar] [CrossRef]
- Osses, F.; Márquez, G.; Orellana, C.; Astudillo, H. Towards the selection of security tactics based on non-functional requirements: Security tactic planning poker. In Proceedings of the 2017 36th International Conference of the Chilean Computer Science Society (SCCC), Arica, Chile, 16–20 October 2017; pp. 1–8. [Google Scholar] [CrossRef]
- Márquez, G.; Astudillo, H.; Kazman, R. Architectural tactics in software architecture: A systematic mapping study. J. Syst. Softw. 2023, 197, 111558. [Google Scholar] [CrossRef]
- Rozanski, N.; Woods, E. Software Systems Architecture, 2nd ed.; Addison Wesley: Upper Saddle River, NJ, USA, 2011. [Google Scholar]
- Orellana, C.; Villegas, M.; Astudillo, H. Architectural tactics for scalability. In Proceedings of the XXII Ibero-American Conference on Software Engineering, CIbSE 2019, La Habana, Cuba, 22–26 April 2019; pp. 128–140. [Google Scholar]
- Erder, M.; Pureur, P.; Woods, E.; Safari, a.O.M.C. Continuous Architecture in Practice: Software Architecture in the Age of Agility and DevOps; Addison-Wesley Professional: Boston, MA, USA, 2021. [Google Scholar]
- Bass, L.; Clements, P.; Kazman, R. Software Architecture in Practice, 2nd ed.; SEI Series in Software Engineering; Addison-Wesley: Boston, MA, USA, 2003. [Google Scholar]
- Bass, L.; Clements, P.; Kazman, R. Software Architecture in Practice, 3rd ed.; SEI Series in Software Engineering; Pearson Education: London, UK, 2012. [Google Scholar]
- Fernández, E.B.; Astudillo, H.; Pedraza-Garcia, G. Revisiting Architectural Tactics for Security. In Proceedings of the Software Architecture-9th European Conference, ECSA 2015, Dubrovnik/Cavtat, Croatia, 7–11 September 2015; Weyns, D., Mirandola, R., Crnkovic, I., Eds.; Lecture Notes in Computer Science. Springer: Cham, Switzerland, 2015; Volume 9278, pp. 55–69. [Google Scholar] [CrossRef]
- Ryoo, J.; Laplante, P.; Kazman, R. Revising a Security Tactics Hierarchy through Decomposition, Reclassification, and Derivation. In Proceedings of the 2012 IEEE Sixth International Conference on Software Security and Reliability Companion, Gaithersburg, MD, USA, 20–22 June 2012; pp. 85–91. [Google Scholar] [CrossRef]
- Colesky, M.; Hoepman, J.H.; Hillen, C. A Critical Analysis of Privacy Design Strategies. In Proceedings of the 2016 IEEE Security and Privacy Workshops (SPW), San Jose, CA, USA, 22–26 May 2016; pp. 33–40. [Google Scholar] [CrossRef]
- Alshammari, M.; Simpson, A. Privacy Architectural Strategies: An Approach for Achieving Various Levels of Privacy Protection. In Proceedings of the 2018 Workshop on Privacy in the Electronic Society, WPES’18, Toronto, ON, Canada, 15 October 2018; pp. 143–154. [Google Scholar] [CrossRef]
- Pedraza-García, G.; Noël, R.; Matalonga, S.; Astudillo, H.; Fernandez, E.B. Mitigating security threats using tactics and patterns: A controlled experiment. In Proceedings of the 10th European Conference on Software Architecture Workshops, ECSAW ’16, Copenhagen, Denmark, 28 November–2 December 2016. [Google Scholar] [CrossRef]
- Orellana, C.; Villegas, M.M.; Astudillo, H. Mitigating Security Threats through the Use of Security Tactics to Design Secure Cyber-physical Systems (CPS). In Proceedings of the 13th European Conference on Software Architecture (ECSA 2019), ECSA ’19, Paris, France, 9–13 September 2019; Volume 2, pp. 109–115. [Google Scholar] [CrossRef]
- Albulayhi, K.; Smadi, A.A.; Sheldon, F.T.; Abercrombie, R.K. IoT Intrusion Detection Taxonomy, Reference Architecture, and Analyses. Sensors 2021, 21, 6432. [Google Scholar] [CrossRef] [PubMed]
- Ungurean, I.; Gaitan, N.C. A Software Architecture for the Industrial Internet of Things — A Conceptual Model. Sensors 2020, 20, 5603. [Google Scholar] [CrossRef] [PubMed]
- Bashir, M.; Gill, A.; Beydoun, G. A Reference Architecture for IoT-Enabled Smart Buildings. SN Comput. Sci. 2022, 3, 493. [Google Scholar] [CrossRef]
- Szmeja, P.; Fornés-Leal, A.; Lacalle, I.; Palau, C.E.; Ganzha, M.; Pawłowski, W.; Paprzycki, M.; Schabbink, J. ASSIST-IoT: A Modular Implementation of a Reference Architecture for the Next Generation Internet of Things. Electronics 2023, 12, 854. [Google Scholar] [CrossRef]
- Microsoft. STRIDE—Microsoft Threat Modeling Tool. 2022. Available online: https://learn.microsoft.com/en-us/azure/security/develop/threat-modeling-tool-threats (accessed on 23 September 2024).
- Tarandach, I.; Coles, M. Threat Modeling: A Practical Guide for Development Teams; O’Reilly Media, Incorporated: Sebastopol, CA, USA, 2020. [Google Scholar]
- Shostack, A. Threat Modeling: Designing for Security, 1st ed.; Wiley Publishing: Hoboken, NJ, USA, 2014. [Google Scholar]
- Fernandez, E.B.; Yoshioka, N.; Washizaki, H. Modeling Misuse Patterns. In Proceedings of the 2009 International Conference on Availability, Reliability and Security, Fukuoka, Japan, 16–19 March 2009; pp. 566–571. [Google Scholar] [CrossRef]
- Syed, M.H.; Fernandez, E.B.; Moreno, J. A misuse Pattern for DDoS in the IoT. In Proceedings of the 23rd European Conference on Pattern Languages of Programs, EuroPLoP ’18, Irsee, Germany, 4–8 July 2018. [Google Scholar] [CrossRef]
- Gai, K.; Yu, J.; Zhu, L. Introduction to Cybersecurity in the Internet of Things; CRC Press: Boca Raton, FL, USA, 2024. [Google Scholar]
- Ford, N.; Richards, M.; Sadalage, P.; Dehghani, Z. Software Architecture: The Hard Parts; O’Reilly Media: Sebastopol, CA, USA, 2021. [Google Scholar]
- Chavarriaga, J.; Noguera, C.; Casallas, R.; Jonckers, V. Managing trade-offs among architectural tactics using feature models and feature-solution graphs. In Proceedings of the 2015 10th Computing Colombian Conference (10CCC), Bogota, Colombia, 21–25 September 2015; pp. 124–132. [Google Scholar] [CrossRef]
- Kim, M. A Quality Model for Evaluating IoT Applications. Int. J. Comput. Electr. Eng. 2016, 8, 66–76. [Google Scholar] [CrossRef]
- Abdallah, M.; Jaber, T.; Alabwaini, N.; Alnabi, A.A. A Proposed Quality Model for the Internet of Things Systems. In Proceedings of the 2019 IEEE Jordan International Joint Conference on Electrical Engineering and Information Technology (JEEIT), Amman, Jordan, 9–11 April 2019; pp. 23–27. [Google Scholar] [CrossRef]
- Temkar, R.; Bhaskar, A. Quality Assurance of IoT based Home Automation Application using Modified ISO/IEC 25010. SSRG Int. J. Eng. Trends Technol. 2021, 69, 92–101. [Google Scholar] [CrossRef]
- Kozlowski, T.; Noran, O.; Trevathan, J. Designing an Evaluation Framework for IoT Environmental Monitoring Systems. Procedia Comput. Sci. 2023, 219, 220–227. [Google Scholar] [CrossRef]
- Figueira Goncalves, R.; Menolli, A.; Marcelino Dionisio, G. Systematic Mapping on Internet of Things’ Client-Sided Development. In Proceedings of the XVIII Brazilian Symposium on Information Systems, SBSI ’22, Curitiba, Brazil, 16–19 May 2022. [Google Scholar] [CrossRef]
- Silva, F.; Souza, B.; Travassos, G. A Literature Study on Application Domains and IoT Software Systems Architectures Solutions Influencing Quality Requirements. In Proceedings of the 27th Ibero-American Conference on Software Engineering (CIbSE 2024), Curitiba, Brazil, 6–10 May 2024; pp. 181–195. [Google Scholar] [CrossRef]
- Chhiba, L.; Elhadi, S.; Marzak, A.; Sidqui, M. Evaluating IoT-Based Healthcare Architecture with Quality Factors. In Proceedings of the Digital Technologies and Applications, Fez, Morocco, 28–29 January 2022; Motahhir, S., Bossoufi, B., Eds.; Springer: Cham, Switzerland, 2022; pp. 302–311. [Google Scholar]
- Shahzad, K.; Zia, T.; Qazi, E.u.H. A Review of Functional Encryption in IoT Applications. Sensors 2022, 22, 7567. [Google Scholar] [CrossRef] [PubMed]
- Singh, S.; Sharma, P.; Moon, S.; Park, J. Advanced lightweight encryption algorithms for IoT devices: Survey, challenges and solutions. J. Ambient. Intell. Humaniz. Comput. 2017, 15, 1625–1642. [Google Scholar] [CrossRef]
- Wang, X.; Zhang, J.; Schooler, E.M.; Ion, M. Performance evaluation of Attribute-Based Encryption: Toward data privacy in the IoT. In Proceedings of the 2014 IEEE International Conference on Communications (ICC), Sydney, Australia, 10–14 June 2014; pp. 725–730. [Google Scholar] [CrossRef]
- Beg, A.; Al-Kharobi, T.; Al-Nasser, A. Performance Evaluation and Review of Lightweight Cryptography in an Internet-of-Things Environment. In Proceedings of the 2019 2nd International Conference on Computer Applications & Information Security (ICCAIS), Riyadh, Saudi Arabia, 1–3 May 2019; pp. 1–6. [Google Scholar] [CrossRef]
- Dwivedi, A.D.; Srivastava, G. Security analysis of lightweight IoT encryption algorithms: SIMON and SIMECK. Internet Things 2023, 21, 100677. [Google Scholar] [CrossRef]
- Medileh, S.; Laouid, A.; Nagoudi, E.M.B.; Euler, R.; Bounceur, A.; Hammoudeh, M.; AlShaikh, M.; Eleyan, A.; Khashan, O.A. A flexible encryption technique for the internet of things environment. Ad Hoc Netw. 2020, 106, 102240. [Google Scholar] [CrossRef]
- Cereceda-Balic, F.; Ruggeri, M.F.; Vidal, V.; Ruiz, L.; Fu, J.S. Understanding the role of anthropogenic emissions in glaciers retreat in the central Andes of Chile. Environ. Res. 2022, 214, 113756. [Google Scholar] [CrossRef] [PubMed]
- Figueroa-Villanueva, L.; Castro, L.; Bolaño-Ortiz, T.R.; Flores, R.P.; Pacheco-Ferrada, D.; Cereceda-Balic, F. Changes in Snow Surface Albedo and Radiative Forcing in the Chilean Central Andes Measured by In Situ and Remote Sensing Data. Water 2023, 15, 3198. [Google Scholar] [CrossRef]
- Beyer, B.; Jones, C.; Petoff, J.; Murphy, N. Site Reliability Engineering: How Google Runs Production Systems; O’Reilly Media: Sebastopol, CA, USA, 2016. [Google Scholar]
- OWASP Internet of Things Top Ten Project. The Open Web Application Security Project. Available online: https://owasp.org/www-project-internet-of-things-top-10/#tab=OWASP_Internet_of_Things_Top_10_for_2014 (accessed on 10 November 2024).
- Krishna, R.R.; Priyadarshini, A.; Jha, A.V.; Appasani, B.; Srinivasulu, A.; Bizon, N. State-of-the-Art Review on IoT Threats and Attacks: Taxonomy, Challenges and Solutions. Sustainability 2021, 13, 9463. [Google Scholar] [CrossRef]
- Abosata, N.; Al-Rubaye, S.; Inalhan, G.; Emmanouilidis, C. Internet of Things for System Integrity: A Comprehensive Survey on Security, Attacks and Countermeasures for Industrial Applications. Sensors 2021, 21, 3654. [Google Scholar] [CrossRef]
- Asif, M.R.A.; Hasan, K.F.; Islam, M.Z.; Khondoker, R. STRIDE-based Cyber Security Threat Modeling for IoT-enabled Precision Agriculture Systems. In Proceedings of the 2021 3rd International Conference on Sustainable Technologies for Industry 4.0 (STI), Dhaka, Bangladesh, 18–19 December 2021; pp. 1–6. [Google Scholar] [CrossRef]
- Anwar, M.N.; Nazir, M.; Ansari, A.M. Modeling Security Threats for Smart Cities: A STRIDE-Based Approach. In Proceedings of the Smart Cities—Opportunities and Challenges, Delhi, India, 8–9 March 2019; Ahmed, S., Abbas, S.M., Zia, H., Eds.; Springer: Singapore, 2020; pp. 387–396. [Google Scholar]
- Danielis, P.; Beckmann, M.; Skodzik, J. An ISO-Compliant Test Procedure for Technical Risk Analyses of IoT Systems Based on STRIDE. In Proceedings of the 2020 IEEE 44th Annual Computers, Software, and Applications Conference (COMPSAC), Madrid, Spain, 13–18 July 2020; pp. 499–504. [Google Scholar] [CrossRef]
- Kaneko, T.; Takahashi, Y.; Okubo, T.; Sasaki, R. Threat analysis using STRIDE with STAMP/STPA. In Proceedings of the International Workshop on Evidence-Based Security and Privacy in the Wild, Nara, Japan, 4 December 2018. [Google Scholar]
- Conti, M.; Dragoni, N.; Lesyk, V. A Survey of Man In The Middle Attacks. IEEE Commun. Surv. Tutorials 2016, 18, 2027–2051. [Google Scholar] [CrossRef]
- Sivasankari, N.; Kamalakkannan, S. Detection and prevention of Man-in-the-Middle attack in IoT network using regression modeling. Adv. Eng. Softw. 2022, 169, 103126. [Google Scholar] [CrossRef]
- Çelik, S.; Yalçın, N.; Çakır, S. MitM Attacks and IoT Security: A Case Study on MQTT. J. Artif. Intell. Data Sci. 2023, 3, 99–106. [Google Scholar]
- Tyagi, V.; Saraswat, A.; Kumar, A.; Gambhir, S. Securing IoT Devices Against MITM and DoS Attacks: An Analysis. In Reshaping Intelligent Business and Industry: Convergence of AI and IoT at the Cutting Edge; John Wiley & Sons, Inc.: Hoboken, NJ, USA, 2024; pp. 237–249. [Google Scholar]
- Awad, A.; Ahmad, A.; Choo, K.; Hakak, S. Internet of Things Security and Privacy: Practical and Management Perspectives; CRC Press: Boca Raton, FL, USA, 2023. [Google Scholar]
- Rogers, B. CISSP Passport; McGraw-Hill Education: New York, NY, USA, 2022. [Google Scholar]
- Tanenbaum, A.; Feamster, N.; Wetherall, D. Computer Networks, Global Edition; Pearson Education: London, UK, 2021. [Google Scholar]
- Wohlin, C.; Runeson, P.; Höst, M.; Ohlsson, M.C.; Regnell, B. Experimentation in Software Engineering; Springer: Cham, Switzerland, 2012; pp. I–XXIII, 1–236. [Google Scholar]
- Pandey, R.; Khatri, S.; Singh, N.; Verma, P. Artificial Intelligence and Machine Learning for EDGE Computing; Elsevier Science: Amsterdam, The Netherlands, 2022. [Google Scholar]
- Manning, C.D.; Raghavan, P.; Schütze, H. Introduction to Information Retrieval; Cambridge University Press: Cambridge, MA, USA, 2008. [Google Scholar]
- Murphy, K. Machine Learning: A Probabilistic Perspective; MIT Press: Cambridge, MA, USA, 2021. [Google Scholar]
- Osses, F.; Márquez, G.; Villegas, M.; Orellana, C.; Visconti, M.; Astudillo, H. Security tactics selection poker (TaSPeR): A card game to select security tactics to satisfy security requirements. In Proceedings of the 12th European Conference on Software Architecture: Companion Proceedings (ECSA 2018), ECSA ’18, Madrid, Spain, 24–28 September 2018. [Google Scholar] [CrossRef]
- Alaparthy, V.; Mandal, S.; Cummings, M. Machine Learning vs. Human Performance in the Realtime Acoustic Detection of Drones. In Proceedings of the 2021 IEEE Aerospace Conference (50100), Big Sky, MT, USA, 6–13 March 2021; pp. 1–7. [Google Scholar] [CrossRef]
- Williams, D.P. On the Use of Tiny Convolutional Neural Networks for Human-Expert-Level Classification Performance in Sonar Imagery. IEEE J. Ocean. Eng. 2021, 46, 236–260. [Google Scholar] [CrossRef]
- Wilson, J.C.; Nair, S.; Scielzo, S.; Larson, E.C. Objective Measures of Cognitive Load Using Deep Multi-Modal Learning: A Use-Case in Aviation. Proc. ACM Interact. Mob. Wearable Ubiquitous Technol. 2021, 5, 1–35. [Google Scholar] [CrossRef]
- Gariup, M.; Piskorski, J. The challenge of detecting false documents at the border: Exploring the performance of humans, machines and their interaction. Int. J. Crit. Infrastruct. Prot. 2019, 24, 100–110. [Google Scholar] [CrossRef]
- Felderer, M.; Travassos, G. Contemporary Empirical Methods in Software Engineering; Springer International Publishing: Cham, Switzerland, 2020. [Google Scholar]
- Wu, J.; Coggeshall, S. Foundations of Predictive Analytics; Chapman & Hall/CRC Data Mining and Knowledge Discovery Series; CRC Press: Boca Raton, FL, USA, 2012. [Google Scholar]
- Miller, R.; Johnson, L. Advanced Methods in Family Therapy Research: A Focus on Validity and Change; Routledge: London, UK, 2014. [Google Scholar]
- Greenland, S.; Senn, S.J.; Rothman, K.J.; Carlin, J.B.; Poole, C.L.; Goodman, S.N.; Altman, D.G. Statistical tests, P values, confidence intervals, and power: A guide to misinterpretations. Eur. J. Epidemiol. 2016, 31, 337–350. [Google Scholar] [CrossRef]
- Mascha, E.; Vetter, T. Significance, Errors, Power, and Sample Size: The Blocking and Tackling of Statistics. Anesth. Analg. 2018, 126, 691–698. [Google Scholar] [CrossRef]
- Lakens, D. Sample Size Justification. Collabra Psychol. 2022, 8, 33267. [Google Scholar] [CrossRef]
- van de Schoot, R.; Miočević, M. Small Sample Size Solutions: A Guide for Applied Researchers and Practitioners; European Association of Methodology Series; Taylor & Francis: Abingdon, UK, 2020. [Google Scholar]
- Chernick, M. Bootstrap Methods: A Guide for Practitioners and Researchers; Wiley Series in Probability and Statistics; Wiley: Hoboken, NJ, USA, 2011. [Google Scholar]
- Efron, B.; Tibshirani, R. An Introduction to the Bootstrap; Chapman & Hall/CRC Monographs on Statistics & Applied Probability; Taylor & Francis: Abingdon, UK, 1994. [Google Scholar]
- Creswell, J.; Creswell, J. Research Design: Qualitative, Quantitative, and Mixed Methods Approaches; SAGE Publications: Thousand Oaks, CA, USA, 2017. [Google Scholar]
- Roumeliotis, K.I.; Tselikas, N.D.; Nasiopoulos, D.K. Precision-Driven Product Recommendation Software: Unsupervised Models, Evaluated by GPT-4 LLM for Enhanced Recommender Systems. Software 2024, 3, 62–80. [Google Scholar] [CrossRef]
- Zhao, Z.; Fan, W.; Li, J.; Liu, Y.; Mei, X.; Wang, Y.; Wen, Z.; Wang, F.; Zhao, X.; Tang, J.; et al. Recommender Systems in the Era of Large Language Models (LLMs). IEEE Trans. Knowl. Data Eng. 2024, 36, 6889–6907. [Google Scholar] [CrossRef]
- Ozkaya, I. Can Architecture Knowledge Guide Software Development With Generative AI? IEEE Softw. 2023, 40, 4–8. [Google Scholar] [CrossRef]
- Eisenreich, T.; Speth, S.; Wagner, S. From Requirements to Architecture: An AI-Based Journey to Semi-Automatically Generate Software Architectures. In Proceedings of the 1st International Workshop on Designing Software, Designing ’24, Lisbon, Portugal, 15 April 2024; pp. 52–55. [Google Scholar] [CrossRef]
- Dhar, R.; Vaidhyanathan, K.; Varma, V. Can LLMs Generate Architectural Design Decisions?—An Exploratory Empirical Study. In Proceedings of the 2024 IEEE 21st International Conference on Software Architecture (ICSA), Hyderabad, India, 4–8 June 2024; pp. 79–89. [Google Scholar] [CrossRef]
- Díaz-Pace, J.A.; Tommasel, A.; Capilla, R. Helping Novice Architects to Make Quality Design Decisions Using an LLM-Based Assistant. In Proceedings of the Software Architecture: 18th European Conference, ECSA 2024, Luxembourg, 3–6 September 2024; Springer: Berlin/Heidelberg, Germany, 2024; pp. 324–332. [Google Scholar] [CrossRef]




| Reference | Type | Contributions | Limitations |
|---|---|---|---|
| Fernández (2011) [41] | Patterns | Catalog of security patterns | Not specific for IoT, Trade-offs not addressed |
| Fernández (2020) [44] | Patterns | Pattern for a Secure IoT Architecture | Trade-offs not addressed |
| Fernández et al. (2020) [45] | Patterns | Secure Publish/Subscribe pattern for IoT | Trade-offs not addressed |
| Fernández et al. (2022) [47] | Patterns | Secure IoT Thing design pattern | Trade-offs not addressed |
| Fernández et al. (2022) [49] | Patterns | Abstract Security Patterns | Not specific for IoT, Trade-offs not addressed |
| Orellana et al. (2019) [50] | Patterns | Taxonomy for Security Patterns | Trade-offs addressed only for case study |
| Orellana et al. (2022) [1] | Patterns | Pattern for Secure Sensor Node | Trade-offs not addressed |
| Orellana et al. (2022) [51] | Patterns | Pattern for Secure Actuator Node | Trade-offs not addressed |
| Schumacher et al. (2013) [42] | Patterns | Security Patterns for IT systems | Not specific for IoT, Trade-offs not addressed |
| Bass et al. (2021) [55] | Tactics | Taxonomy for Security Tactics | Not specific for IoT, Trade-offs not addressed |
| Colesky et al. (2016) [67] | Tactics | Taxonomy for Privacy | Not specific for IoT, Trade-offs not addressed, Privacy-centric |
| Erder et al. (2021) [62] | Tactics | Taxonomy for Security Tactics | Not specific for IoT, Trade-offs not addressed |
| Fernández et al. (2015) [65] | Tactics | Taxonomy for Security Tactics | Not specific for IoT, Trade-offs not addressed |
| Rozanski and Woods (2011) [60] | Tactics | Taxonomy for Security Tactics | Not specific for IoT, Trade-offs not addressed |
| Ryoo et al. (2012) [66] | Tactics | Taxonomy for Security Tactics | Not specific for IoT, Trade-offs not addressed |
| Bashir et al. (2022) [73] | Reference Architectures | Reference architecture for IoT smart buildings | Domain-specific, Not security-focused, Trade-offs not addressed |
| ISO/IEC 30141 (2024) [34] | Reference Architectures | Reference Architecture for IoT | Not security-focused, Insufficient Design Guidance, Trade-offs not addressed |
| Szmeja et al. (2023) [74] | Reference Architectures | Reference Architecture for Next Generation IoT (NGIoT) | Not security-focused, Trade-offs not addressed |
| Syed et al. (2018) [79] | Threat Modeling | A Misuse Pattern for DDoS in IoT | Focus on misuse, Trade-offs not addressed |
| Security Tactic | Quality Attribute | |||||
|---|---|---|---|---|---|---|
|
Performance Efficiency |
Interaction Capability | Reliability | Security | Flexibility | Safety | |
| Detect Attacks | ||||||
| Detect Intrusion | - - | ++ | ++ | ++ | ||
| Detect Service Denial | - - | ++ | ++ | ++ | ++ | |
| Verify Message Integrity | — | ++ | ++ | |||
| Detect Message Delivery Anomalies | - - | ++ | ++ | ++ | ||
| Resist Attacks | ||||||
| Identify Actors | ++ | ++ | ||||
| Authenticate Actors | — | ++ | ++ | |||
| Authorize Actors | ++ | ++ | ||||
| Limit Access | ++ | ++ | ++ | |||
| Limit Exposure | ++ | ++ | ++ | |||
| Encrypt Data | — | ++ | ++ | |||
| Separate Entities | ++ | ++ | ||||
| Validate Input | — | ++ | ++ | ++ | ||
| Change Credential Settings | ++ | ++ | ++ | |||
| React to Attacks | ||||||
| Revoke Access | ++ | ++ | ++ | |||
| Restrict Login | — | + | ++ | ++ | ||
| Inform Actors | ++ | ++ | ++ | |||
| Recover from Attacks | ||||||
| Audit | ++ | ++ | ++ | |||
| Non-repudiation | — | ++ | ++ | |||
| Threat ID | Description | S | T | R | I | D | E |
|---|---|---|---|---|---|---|---|
| TH1 | Gaining access to and misusing credentials that were originally granted to someone else | ✓ | ✓ | ✓ | |||
| TH2 | Attempting to gain unauthorized system access with a brute force attack, i.e., systematically trying combinations of usernames and passwords | ✓ | ✓ | ✓ | |||
| TH3 | Performing a Man-in-the-Middle (MitM) attack to intercept, manipulate, or eavesdrop on the data transmitted to the IoT Environmental System | ✓ | ✓ | ✓ | |||
| TH4 | Gaining system access by exploiting a previously unidentified or unaddressed software vulnerability, allowing them to read and alter data | ✓ | ✓ | ✓ | ✓ | ✓ | |
| TH5 | Performing a Denial of Service (DoS) attack to make the IoT Environmental System unavailable and non-functional | ✓ |
| Threat ID | Quality Attribute | ||
|---|---|---|---|
| Confidentiality | Integrity | Availability | |
| TH1 | ✓ | ✓ | |
| TH2 | ✓ | ✓ | |
| TH3 | ✓ | ✓ | |
| TH4 | ✓ | ✓ | |
| TH5 | ✓ | ||
| ID | Experience (Years) | Industry | Security Domain |
|---|---|---|---|
| E1 | 19 | IT Consulting, Insurance, Health, Sport, Wellbeing and Fitness; Telecommunications, R&D | Security and Risk Management; Asset Security, Security Architecture and Engineering, Communication and Network Security, Identity and Access Management (IAM), Security Assessment and Testing, Security Operations, Software Development Security |
| E2 | 16 | IT Consulting, Insurance, Sport, Wellbeing and Fitness; Telecommunications, Natural Resources | Security Architecture and Engineering, Communication and Network Security, Identity and Access Management (IAM), Security Assessment and Testing, Security Operations, Software Development Security |
| E3 | 15 | IT Consulting, IT Services, Insurance, Health, Wellbeing and Fitness; Flavors and Fragrances Manufacturing Telecommunications, Natural Resources, Consumer Electronics Manufacturing and Retail | Security and Risk Management; Asset Security, Security Architecture and Engineering, Communication and Network Security, Identity and Access Management (IAM), Security Operations, Software Development Security |
| Category | Tactic ID | Tactic Name | Selected |
|---|---|---|---|
| Detect Attacks | TA1 | Detect Intrusion | |
| TA2 | Detect Service Denial | ||
| TA3 | Verify Message Integrity | ✓ | |
| TA4 | Detect Message Delivery Anomalies | ||
| Resist Attacks | TB1 | Identify Actors | ✓ |
| TB2 | Authenticate Actors | ✓ | |
| TB3 | Authorize Actors | ✓ | |
| TB4 | Limit Access | ||
| TB5 | Limit Exposure | ||
| TB6 | Encrypt Data | ✓ | |
| TB7 | Separate Entities | ||
| TB8 | Validate Input | ||
| TB9 | Change Credential Settings | ||
| React from Attacks | TC1 | Revoke Access | |
| TC2 | Restrict Login | ||
| TC3 | Inform Actors | ✓ | |
| Recover from Attacks | TD1 | Audit | ✓ |
| TD2 | Non-repudiation |
| Null Hypothesis | Alternative Hypothesis |
|---|---|
| : Enriching the security tactics catalog with trade-offs for designing secure IoT systems does not improve practitioners’ architectural design decisions’ efficiency | : The trade-offs-aware catalog offers enhancements over the standard catalog, boosting the overall efficiency of the decisions made by secure IoT system designers |
| : Enriching the security tactics catalog with trade-offs for designing secure IoT systems does not improve practitioners’ architectural design decisions’ effectiveness | : The trade-offs-aware catalog offers enhancements over the standard catalog, boosting the overall effectiveness of the decisions made by secure IoT system designers |
| : Enriching the security tactics catalog with trade-offs for designing secure IoT systems does not improve practitioners’ architectural design decisions’ usefulness | : The trade-offs-aware catalog offers enhancements over the standard catalog, boosting the overall usefulness of the decisions made by secure IoT system designers |
| : Enriching the security tactics catalog with trade-offs for designing secure IoT systems does not improve practitioners’ architectural design decisions’ accuracy | : The trade-offs-aware catalog offers enhancements over the standard catalog, boosting the overall accuracy of the decisions made by secure IoT system designers |
| Variable | Metric | Rationale |
|---|---|---|
| Efficiency | Precision | It refers to the designers’ ability to choose the maximum number of correct tactics while minimizing the selection of irrelevant tactics. |
| Effectiveness | Recall | It refers to the ability of designers to successfully address and resolve problems by utilizing appropriate tactics. When the individuals choose the most relevant tactics available, they can effectively resolve the practical case scenario. |
| Usefulness | F1-Score | It refers to the practical value of tactics for designers. It encompasses aspects of effectiveness and efficiency, considering how valuable the catalog is for practical decision making. A high F1-Score indicates high usefulness, as it enables designers to be both effective and efficient. |
| Accuracy | Accuracy | It measures how many selections designers made were correct, whether positive or negative. It can help to provide an overall view of the performance of the tactics selection process. |
| Subject ID | Experience (Years) | Group | Prior Knowledge of Architectural Tactics |
|---|---|---|---|
| S1 | 1 | GR-1 | No |
| S2 | 3 | GR-1 | No |
| S3 | 15 | GR-1 | No |
| S4 | 2 | GR-1 | No |
| S5 | 10 | GR-1 | No |
| S6 | 15 | GR-1 | Yes |
| S7 | 5 | GR-2 | No |
| S8 | 15 | GR-2 | No |
| S9 | 1 | GR-2 | No |
| S10 | 17 | GR-2 | No |
| S11 | 2 | GR-2 | Yes |
| S12 | 16 | GR-2 | Yes |
| Phase | Duration (minutes) | Activities |
|---|---|---|
| Training | 20 |
|
| Experimental | 60 |
|
| Post-Experimental | 10 |
|
| MitM Scenario | |||||||||||||
|---|---|---|---|---|---|---|---|---|---|---|---|---|---|
| GR-1 | GR-2 | ||||||||||||
| Security Tactic | GT | S1 | S2 | S3 | S4 | S5 | S6 | S7 | S8 | S9 | S10 | S11 | S12 |
| Detect Attacks | |||||||||||||
| Detect Intrusion | 0 | 1 | 1 | 0 | 1 | 1 | 0 | 0 | 0 | 0 | 0 | 0 | 0 |
| Detect Service Denial | 0 | 0 | 0 | 0 | 0 | 1 | 0 | 0 | 0 | 0 | 0 | 0 | 0 |
| Verify Message Integrity | 1 | 1 | 0 | 0 | 0 | 1 | 0 | 1 | 0 | 0 | 0 | 0 | 0 |
| Detect Message Delivery Anomalies | 0 | 0 | 0 | 0 | 0 | 0 | 0 | 0 | 0 | 0 | 0 | 0 | 1 |
| Resist Attacks | |||||||||||||
| Identify Actors | 1 | 1 | 1 | 1 | 0 | 0 | 1 | 0 | 1 | 0 | 1 | 0 | 0 |
| Authenticate Actors | 1 | 0 | 1 | 1 | 0 | 0 | 0 | 0 | 0 | 0 | 0 | 0 | 0 |
| Authorize Actors | 1 | 0 | 1 | 1 | 0 | 0 | 0 | 0 | 0 | 0 | 1 | 0 | 0 |
| Limit Access | 0 | 1 | 0 | 0 | 1 | 1 | 1 | 1 | 0 | 1 | 1 | 0 | 0 |
| Limit Exposure | 0 | 0 | 0 | 1 | 0 | 0 | 1 | 1 | 0 | 1 | 0 | 0 | 0 |
| Encrypt Data | 1 | 0 | 0 | 0 | 0 | 0 | 1 | 1 | 0 | 0 | 0 | 0 | 0 |
| Separate Entities | 0 | 0 | 1 | 0 | 0 | 0 | 1 | 0 | 0 | 0 | 0 | 0 | 0 |
| Validate Input | 0 | 0 | 0 | 0 | 0 | 1 | 0 | 0 | 1 | 1 | 0 | 0 | 0 |
| Change Credential Settings | 0 | 1 | 1 | 0 | 0 | 0 | 0 | 1 | 0 | 1 | 1 | 1 | 1 |
| React to Attacks | |||||||||||||
| Revoke Access | 0 | 0 | 0 | 0 | 1 | 1 | 0 | 1 | 1 | 1 | 1 | 0 | 0 |
| Restrict Login | 0 | 1 | 1 | 0 | 0 | 0 | 1 | 1 | 0 | 1 | 1 | 1 | 0 |
| Inform Actors | 1 | 0 | 1 | 1 | 0 | 1 | 1 | 0 | 0 | 0 | 1 | 0 | 0 |
| Recover from Attacks | |||||||||||||
| Audit | 1 | 0 | 0 | 1 | 0 | 0 | 1 | 0 | 0 | 0 | 0 | 0 | 0 |
| Non-repudiation | 0 | 1 | 0 | 0 | 0 | 0 | 0 | 1 | 1 | 1 | 0 | 1 | 1 |
| ∑ | 7 | 8 | 6 | 3 | 7 | 8 | 8 | 4 | 7 | 7 | 3 | 3 | |
| 0.39 | 0.44 | 0.33 | 0.17 | 0.39 | 0.44 | 0.44 | 0.22 | 0.39 | 0.39 | 0.17 | 0.17 | ||
| Avg. (juniors) | 0.33 | 0.28 | |||||||||||
| Avg. (seniors) | 0.39 | 0.31 | |||||||||||
| Total Avg. | 0.36 | 0.3 | |||||||||||
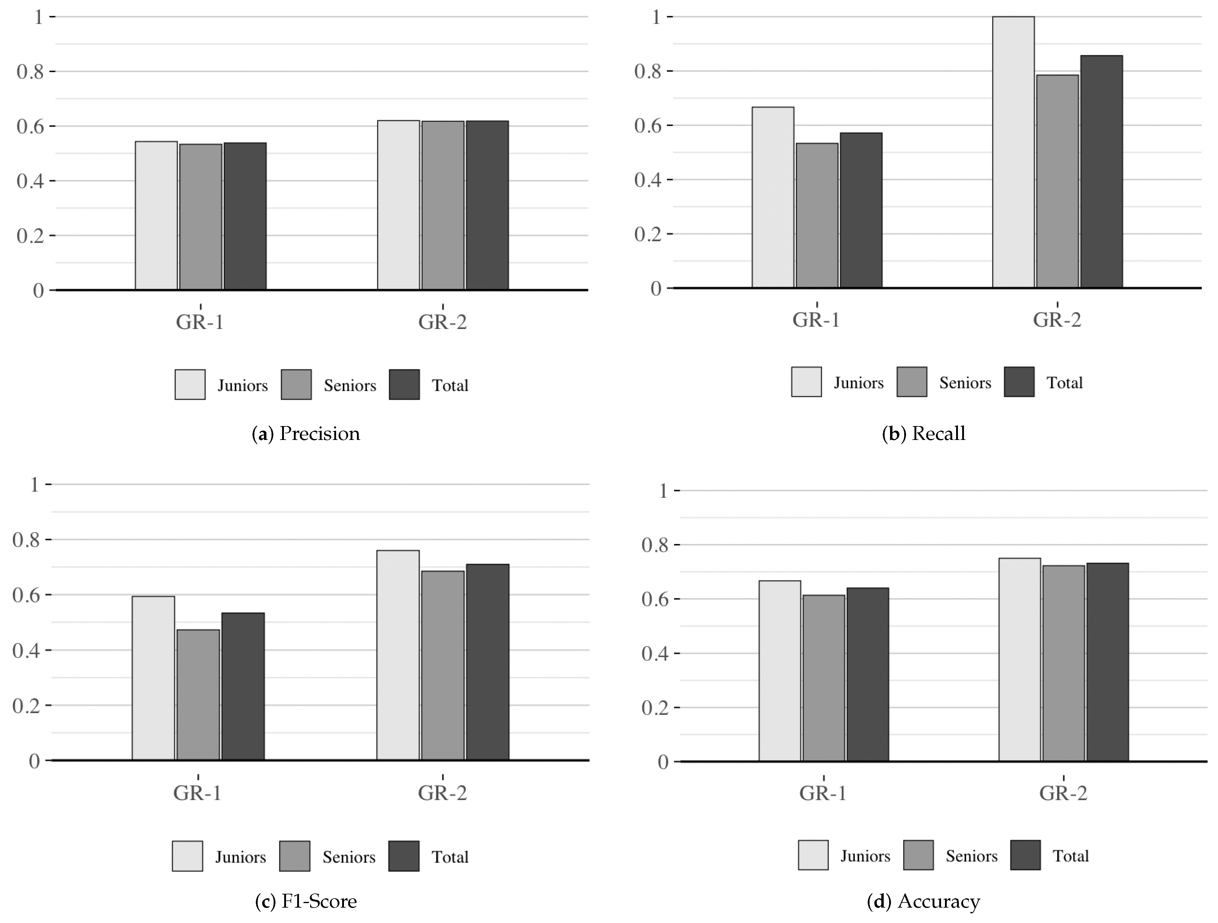
| Metric | Group | Cluster | Mean | Median | Std. Dev. |
|---|---|---|---|---|---|
| Precision | GR-1 | Juniors | 0.54 | 0.5 | 0.14 |
| Seniors | 0.53 | 0.5 | 0.12 | ||
| Total | 0.54 | 0.5 | 0.12 | ||
| GR-2 | Juniors | 0.62 | 0.62 | 0.11 | |
| Seniors | 0.62 | 0.64 | 0.14 | ||
| Total | 0.62 | 0.64 | 0.12 | ||
| Recall | GR-1 | Juniors | 0.67 | 0.57 | 0.3 |
| Seniors | 0.48 | 0.43 | 0.21 | ||
| Total | 0.57 | 0.5 | 0.25 | ||
| GR-2 | Juniors | 1 | 1 | 0 | |
| Seniors | 0.79 | 0.79 | 0.19 | ||
| Total | 0.86 | 0.93 | 0.18 | ||
| F1-Score | GR-1 | Juniors | 0.59 | 0.53 | 0.2 |
| Seniors | 0.47 | 0.43 | 0.1 | ||
| Total | 0.53 | 0.48 | 0.16 | ||
| GR-2 | Juniors | 0.76 | 0.76 | 0.08 | |
| Seniors | 0.69 | 0.69 | 0.14 | ||
| Total | 0.71 | 0.75 | 0.12 | ||
| Accuracy | GR-1 | Juniors | 0.67 | 0.61 | 0.14 |
| Seniors | 0.61 | 0.61 | 0.06 | ||
| Total | 0.64 | 0.61 | 0.1 | ||
| GR-2 | Juniors | 0.75 | 0.75 | 0.11 | |
| Seniors | 0.72 | 0.75 | 0.13 | ||
| Total | 0.73 | 0.75 | 0.11 |
| Hypothesis | Metric | Statistic (U) | p-Value | Significance ( = 0.1) | Effect Size (r) |
|---|---|---|---|---|---|
| , | Precision | 9.0 | 0.16 | Non-Significant | 0.24 |
| , | Recall | 6.5 | 0.07 | Significant | 0.30 |
| , | F1-Score | 7.0 | 0.08 | Significant | 0.29 |
| , | Accuracy | 9.5 | 0.18 | Non-Significant | 0.22 |
| Metric | Iterations | Std. Dev. of Median Differences | Confidence Interval | Significance |
|---|---|---|---|---|
| Precision | 250 | 0.10 | [−0.1, 0.26] | Non-Significant |
| 500 | 0.09 | [−0.06, 0.23] | Non-Significant | |
| 750 | 0.09 | [−0.06, 0.23] | Non-Significant | |
| 1000 | 0.09 | [−0.06, 0.23] | Non-Significant | |
| Recall | 250 | 0.16 | [0.07, 0.57] | Significant |
| 500 | 0.16 | [0.07, 0.57] | Significant | |
| 750 | 0.16 | [0.07, 0.57] | Significant | |
| 1000 | 0.15 | [0.07, 0.57] | Significant | |
| F1-Score | 250 | 0.11 | [0.05, 0.39] | Significant |
| 500 | 0.11 | [0.03, 0.39] | Significant | |
| 750 | 0.11 | [0.03, 0.38] | Significant | |
| 1000 | 0.11 | [0.03, 0.38] | Significant | |
| Accuracy | 250 | 0.08 | [−0.05, 0.24] | Non-Significant |
| 500 | 0.08 | [0, 0.25] | Non-Significant | |
| 750 | 0.08 | [0, 0.24] | Non-Significant | |
| 1000 | 0.08 | [0, 0.24] | Non-Significant |
Disclaimer/Publisher’s Note: The statements, opinions and data contained in all publications are solely those of the individual author(s) and contributor(s) and not of MDPI and/or the editor(s). MDPI and/or the editor(s) disclaim responsibility for any injury to people or property resulting from any ideas, methods, instructions or products referred to in the content. |
© 2024 by the authors. Licensee MDPI, Basel, Switzerland. This article is an open access article distributed under the terms and conditions of the Creative Commons Attribution (CC BY) license (https://creativecommons.org/licenses/by/4.0/).
Share and Cite
Orellana, C.; Cereceda-Balic, F.; Solar, M.; Astudillo, H. Enabling Design of Secure IoT Systems with Trade-Off-Aware Architectural Tactics. Sensors 2024, 24, 7314. https://doi.org/10.3390/s24227314
Orellana C, Cereceda-Balic F, Solar M, Astudillo H. Enabling Design of Secure IoT Systems with Trade-Off-Aware Architectural Tactics. Sensors. 2024; 24(22):7314. https://doi.org/10.3390/s24227314
Chicago/Turabian StyleOrellana, Cristian, Francisco Cereceda-Balic, Mauricio Solar, and Hernán Astudillo. 2024. "Enabling Design of Secure IoT Systems with Trade-Off-Aware Architectural Tactics" Sensors 24, no. 22: 7314. https://doi.org/10.3390/s24227314
APA StyleOrellana, C., Cereceda-Balic, F., Solar, M., & Astudillo, H. (2024). Enabling Design of Secure IoT Systems with Trade-Off-Aware Architectural Tactics. Sensors, 24(22), 7314. https://doi.org/10.3390/s24227314

