Differential Positioning with Bluetooth Low Energy (BLE) Beacons for UAS Indoor Operations: Analysis and Results
Abstract
1. Introduction
2. Theoretical Framework
2.1. RSSI Distance Model
2.2. Extended Kalman Filter (EKF)
2.3. Trilateration Method and Least-Squares Solution
2.4. Differential Distance Correction Technique
3. Hardware Description
- Raspberry Pi 4 model B is used as the master station.
- Arduino Nano 33 BLE used as the rover.
- BLE Eddystone beacons as transmitting nodes.
3.1. Master Station: Raspberry Pi 4 Model B
3.2. Rover: Arduino Nano 33 BLE
3.3. Transmitters: BLE Eddystone Beacons
4. Simulation and Results
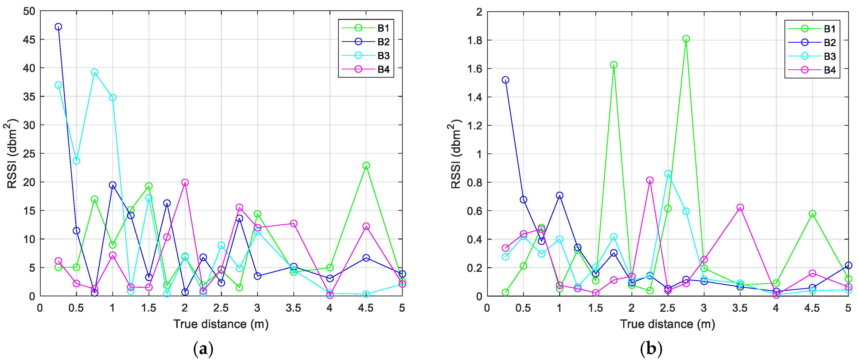
4.1. Calibration Phase
4.2. Experimental Tests: 2-D Scenario
4.3. Experimental Test: 3-D Scenario
5. Conclusions and Further Work
Author Contributions
Funding
Institutional Review Board Statement
Informed Consent Statement
Data Availability Statement
Conflicts of Interest
References
- Sun, X.; Ansari, N. EdgeIoT: Mobile edge computing for the Internet of Things. IEEE Commun. Mag. 2016, 54, 22–29. [Google Scholar] [CrossRef]
- Patterson, C.A.; Muntz, R.R.; Pancake, C.M. Challenges in location-aware computing. IEEE Pervasive Comput. 2003, 2, 80–89. [Google Scholar] [CrossRef]
- Rodriguez, M.D.; Favela, J.; Martínez, E.A.; Muñoz, M.A. Location-aware access to hospital information and services. IEEE Trans. Inf. Technol. Biomed. 2004, 8, 448–455. [Google Scholar] [CrossRef] [PubMed]
- Lau, B.P.L.; Marakkalage, S.H.; Zhou, Y.; Hassan, N.U.; Yuen, C.; Zhang, M.; Tan, U.X. A survey of data fusion in smart city applications. Inf. Fusion 2019, 52, 357–374. [Google Scholar] [CrossRef]
- Paul, A.K.; Sato, T. Localization in Wireless Sensor Networks: A Survey on Algorithms. Measurement Techniques, Applications and Challenges. J. Sens. Actuator Netw. 2017, 6, 24. [Google Scholar] [CrossRef]
- Austin, R. Unmanned Aircraft Systems; Wiley: Hoboken, NJ, USA, 2010. [Google Scholar]
- Ariante, G.; Papa, U. Embedded Platforms for UAS Landing Path and Obstacle Detection II: Navigation Support Systems for Urban Air Mobility Operations; Springer Nature: Berlin/Heidelberg, Germany, 2024; Volume 530. [Google Scholar]
- NATO STANAG 4670–ATP-3.3.7; Guidance for the Training of Unmanned Aircraft Systems (UAS) Operators. 3rd ed. NATO Standardization Agency: Brussels, Belgium, 2004. Available online: http://everyspec.com/NATO/NATO-STANAG/SRANAG-4670_ED-3_52054 (accessed on 30 October 2021).
- Menichino, A.; Di Vito, V.; Ariante, G.; Del Core, G. AAM/goods delivery: Main enablers for BVLOS routine operations within environment at low and medium risk. Aircr. Eng. Aerosp. Technol. 2023, 95, 1578–1587. [Google Scholar] [CrossRef]
- Papa, U.; Ariante, G.; Del Core, G. UAS aided landing and obstacle detection through LIDAR-sonar data. In Proceedings of the 2018 5th IEEE International Workshop on Metrology for AeroSpace (MetroAeroSpace), Rome, Italy, 20–22 June 2018; pp. 478–483. [Google Scholar]
- Wang, J.; Liu, Y.; Song, H. Counter-unmanned aircraft system (s)(C-UAS): State of the art, challenges, and future trends. IEEE Aerosp. Electron. Syst. Mag. 2021, 36, 4–29. [Google Scholar] [CrossRef]
- Ariante, G.; Papa, U.; Ponte, S.; Del Core, G. UAS for positioning and field mapping using LIDAR and IMU sensors data: Kalman filtering and integration. In Proceedings of the 2019 IEEE 5th International Workshop on Metrology for AeroSpace (MetroAeroSpace), Turin, Italy, 19–21 June 2019; pp. 522–527. [Google Scholar]
- Mostafa, M.; Zahran, S.; Moussa, A.; El-Sheimy, N.; Sesay, A. Radar and visual odometry integrated system aided navigation for UAVS in GNSS denied environment. Sensors 2018, 18, 2776. [Google Scholar] [CrossRef]
- Ariante, G. Embedded System for Precision Positioning, Detection, and Avoidance (PODA) for Small UAS. IEEE Aerosp. Electron. Syst. Mag. 2020, 35, 38–42. [Google Scholar] [CrossRef]
- Ponte, S.; Ariante, G.; Papa, U.; Del Core, G. An embedded platform for positioning and obstacle detection for small unmanned aerial vehicles. Electronics 2020, 9, 1175. [Google Scholar] [CrossRef]
- Ariante, G.; Papa, U.; Ponte, S.; Del Core, G. Real-Time Obstacle Detection and Field Mapping System Using LIDAR-ToF Sensors for Small UAS. In Sensors and Microsystems, Proceedings of the AISEM Annual Conference on Sensors and Microsystems, Portici, Italy, 28 February 2020; Springer: Cham, Switzerland, 2020; pp. 9–16. [Google Scholar]
- Ariante, G.; Ponte, S.; Papa, U.; Greco, A.; Del Core, G. Ground control system for UAS safe landing area determination (SLAD) in urban air mobility operations. Sensors 2022, 22, 3226. [Google Scholar] [CrossRef] [PubMed]
- Lachapelle, G. GNSS indoor location technologies. J. Glob. Position. Syst. 2004, 3, 2–11. [Google Scholar] [CrossRef]
- Kunhoth, J.; Karkar, A.; Al-Maadeed, S.; Al-Ali, A. Indoor positioning and wayfinding systems: A survey. Hum.-Centric Comput. Inf. Sci. 2020, 10, 1–41. [Google Scholar] [CrossRef]
- Obeidat, H.; Shuaieb, W.; Obeidat, O.; Abd-Alhameed, R. A Review of Indoor Localization Techniques and Wireless Technologies. Wirel. Pers. Commun. 2021, 119, 289–327. [Google Scholar] [CrossRef]
- Moshe, B.B.; Shvalb, N.; Baadani, J.; Nagar, I.; Levy, H. Indoor positioning and navigation for micro UAV drones—Work in progress. In Proceedings of the 2012 IEEE 27th Convention of Electrical and Electronics Engineers in Israel, Eilat, Israel, 14–17 November 2012; pp. 1–5. [Google Scholar]
- Wang, C.; Li, K.; Liang, G.; Chen, H.; Huang, S.; Wu, X. A heterogeneous sensing system-based method for unmanned aerial vehicle indoor positioning. Sensors 2017, 17, 1842. [Google Scholar] [CrossRef] [PubMed]
- Duran, D.; Johnson, M.; Stansbury, R.S. Towards Collaborative Obstacle Avoidance using Small UAS in Indoor Environments. In Proceedings of the 2020 IEEE/ION Position, Location and Navigation Symposium (PLANS), Portland, OR, USA, 20–23 April 2020; pp. 1596–1605. [Google Scholar]
- Mustafah, Y.M.; Azman, A.W.; Akbar, F. Indoor UAV positioning using stereo vision sensor. Procedia Eng. 2012, 41, 575–579. [Google Scholar] [CrossRef]
- Masiero, A.; Fissore, F.; Antonello, R.; Cenedese, A.; Vettore, A. A comparison of UWB and motion capture UAV indoor positioning. Int. Arch. Photogramm. Remote Sens. Spat. Inf. Sci. 2019, 42, 1695–1699. [Google Scholar] [CrossRef]
- Bagosi, T.; Baruch, Z. Indoor localization by WiFi. In Proceedings of the 2011 IEEE 7th International Conference on Intelligent Computer Communication and Processing, Cluj-Napoca, Romania, 25–27 August 2011; pp. 449–452. [Google Scholar]
- Mautz, R. Indoor Positioning Technologies. Habilitation Thesis, ETH Zurich, Department of Civil, Environmental and Geomatic Engineering, Institute of Geodesy and Photogrammetry, Zürich, Switzerland, 2012. [Google Scholar] [CrossRef]
- Kim, J.; Jun, H. Vision-based location positioning using augmented reality for indoor navigation. IEEE Trans. Consum. Electron. 2008, 54, 954–962. [Google Scholar] [CrossRef]
- Zou, H.; Jiang, H.; Luo, Y.; Zhu, J.; Lu, X.; Xie, L. Bluedetect: An ibeacon-enabled scheme for accurate and energy-efficient indoor-outdoor detection and seamless location-based service. Sensors 2016, 16, 268. [Google Scholar] [CrossRef]
- Heydon, R.; Hunn, N. Bluetooth Low Energy. CSR Presentation, Bluetooth SIG. 2012. Available online: https://picture.iczhiku.com/resource/eetop/SyITTzRUzEfGEmCn.pdf (accessed on 4 November 2024).
- Faragher, R.; Harle, R. An analysis of the accuracy of Bluetooth low energy for indoor positioning applications. In Proceedings of the 27th International Technical Meeting of The Satellite Division of the Institute of Navigation (ION GNSS+ 2014), Tampa, FL, USA, 8–12 September 2014; pp. 201–210. [Google Scholar]
- Putra, G.D.; Pratama, A.R.; Lazovik, A.; Aiello, M. Comparison of energy consumption in Wi-Fi and Bluetooth communication in a Smart Building. In Proceedings of the 2017 IEEE 7th Annual Computing and Communication Workshop and Conference (CCWC), Las Vegas, NV, USA, 9–11 January 2017; pp. 1–6. [Google Scholar]
- Hashmi, A. A novel drone-based search and rescue system using bluetooth low energy technology. Eng. Technol. Appl. Sci. Res. 2021, 11, 7018–7022. [Google Scholar] [CrossRef]
- Zhuang, Y.; Yang, J.; Li, Y.; Qi, L.; El-Sheimy, N. Smartphone-based indoor localization with Bluetooth low energy beacons. Sensors 2016, 16, 596. [Google Scholar] [CrossRef] [PubMed]
- Zuo, Z.; Liu, L.; Zhang, L.; Fang, Y. Indoor positioning based on Bluetooth low-energy beacons adopting graph optimization. Sensors 2018, 18, 3736. [Google Scholar] [CrossRef]
- Zhan, J.; Liu, H. Research on ranging accuracy based on RSSI of wireless sensor network. In Proceedings of the 2nd International Conference on Information Science and Engineering, Hangzhou, China, 4–6 December 2010; pp. 2338–2341. [Google Scholar]
- Andersen, J.B.; Rappaport, T.S.; Yoshida, S. Propagation measurements and models for wireless communications channels. IEEE Commun. Mag. 1995, 33, 42–49. [Google Scholar] [CrossRef]
- Cantón Paterna, V.; Calveras Auge, A.; Paradells Aspas, J.; Perez Bullones, M.A. A Bluetooth low energy indoor positioning system with channel diversity, weighted trilateration and Kalman filtering. Sensors 2017, 17, 2927. [Google Scholar] [CrossRef]
- Kalbandhe, A.A.; Patil, S.C. Indoor positioning system using bluetooth low energy. In Proceedings of the 2016 International Conference on Computing, Analytics and Security Trends (CAST), Pune, India, 19–21 December 2016; pp. 451–455. [Google Scholar]
- Li, G.; Geng, E.; Ye, Z.; Xu, Y.; Lin, J.; Pang, Y. Indoor positioning algorithm based on the improved RSSI distance model. Sensors 2018, 18, 2820. [Google Scholar] [CrossRef]
- Nagah Amr, M.; ELAttar, H.M.; Abd El Azeem, M.H.; El Badawy, H. An enhanced indoor positioning technique based on a novel received signal strength indicator distance prediction and correction model. Sensors 2021, 21, 719. [Google Scholar] [CrossRef]
- Zhu, J.; Luo, H.; Chen, Z.; Li, Z. RSSI based Bluetooth low energy indoor positioning. In Proceedings of the 2014 International Conference on Indoor Positioning and Indoor Navigation (IPIN), Busan, Republic of Korea, 27–30 October 2014; pp. 526–533. [Google Scholar]
- Mackey, A.; Spachos, P.; Song, L.; Plataniotis, K.N. Improving BLE beacon proximity estimation accuracy through Bayesian filtering. IEEE Internet Things J. 2020, 7, 3160–3169. [Google Scholar] [CrossRef]
- Zhou, C.; Yuan, J.; Liu, H.; Qiu, J. Bluetooth indoor positioning based on RSSI and Kalman filter. Wirel. Pers. Commun. 2017, 96, 4115–4130. [Google Scholar] [CrossRef]
- Sung, Y. RSSI-based distance estimation framework using a Kalman filter for sustainable indoor computing environments. Sustainability 2016, 8, 1136. [Google Scholar] [CrossRef]
- Lee, S.H.; Lim, I.K.; Lee, J.K. Method for improving indoor positioning accuracy using extended Kalman filter. Mob. Inf. Syst. 2016, 2016, 2369103. [Google Scholar] [CrossRef]
- Boukerche, A.; Oliveira, H.A.; Nakamura, E.F.; Loureiro, A.A. Localization systems for wireless sensor networks. IEEE Wirel. Commun. 2007, 14, 6–12. [Google Scholar] [CrossRef]
- Murphy, W.S. Determination of a Position Using Approximate Distances and Trilateration. Master’s Thesis, Colorado School of Mines, Golden, CO, USA, 2007. [Google Scholar]
- Pascale, F.; Adinolfi, E.A.; Avagliano, M.; Giannella, V.; Salas, A. A low energy IoT application using beacon for indoor localization. Appl. Sci. 2021, 11, 4902. [Google Scholar] [CrossRef]
- Kuo, Y.-T.; Liao, J.-K.; Chiang, K.-W. BLE-based Indoor Positioning using Differential Distance Correction Technique. In Proceedings of the International Symposium on GNSS 2017 (ISGNSS 2017), Hong Kong, China, 10–13 December 2017; Available online: https://www.researchgate.net/publication/322594329_BLE-based_Indoor_Positioning_using_Differential_Distance_Correction_Technique (accessed on 4 November 2024).
- Kuo, Y.T.; Liao, J.K.; Chiang, K.W. Accuracy Analysis of Differential Distance Correction using Bluetooth Low Energy Technology on Indoor Positioning System. In Proceedings of the GSDI 15 World Conference, Taipei, Taiwan, 28 November–2 December 2016. [Google Scholar]
- Tang, Y.T.; Kuo, Y.T.; Liao, J.K.; Chiang, K.W. Improved indoor positioning using BLE differential distance correction and pedestrian dead reckoning. Int. Arch. Photogramm. Remote Sens. Spat. Inf. Sci. 2020, 43, 193–198. [Google Scholar] [CrossRef]
- Raspberry Pi Ltd. Raspberry pi 4 Model b Datasheet. 2022. Available online: https://www.raspberrypi.com/products/raspberry-pi-4-model-b/specifications/ (accessed on 4 November 2024).
- Al-Mimi, H.; Al-Dahoud, A.; Fezari, M.; Daoud, M.S. A Study on New Arduino NANO Board for WSN and IoT Applications. Int. J. Adv. Sci. Technol. 2020, 29, 10223–10230. [Google Scholar]
- Arduino Srl. Arduino Nano 33 BLE, Datasheet. 2022. Available online: https://docs.arduino.cc/resources/datasheets/ABX00030-datasheet.pdf (accessed on 4 November 2024).
- Google/Eddystone. Eddystone Protocol Specification. 2018. Available online: https://github.com/google/eddystone/blob/master/protocol-specification.md (accessed on 4 November 2024).
- Nordic Semiconductor ASA. nRF51822 Multiprotocol Bluetooth® Low Energy/2.4-GHz RF System on Chip—Product Specification v. 3.3. 2014. Available online: https://www.digikey.it/htmldatasheets/production/1732580/0/0/1/nrf51822-dk.html (accessed on 4 November 2024).
- Ariante, G.; Ponte, S.; Del Core, G. Bluetooth Low Energy based Technology for Small UAS Indoor Positioning. In Proceedings of the 2022 IEEE 9th International Workshop on Metrology for AeroSpace (MetroAeroSpace), Pisa, Italy, 27–29 June 2022; pp. 113–118. [Google Scholar]
























| Technology | Accuracy (m) | Power Consumption | Extra Device | Cost |
|---|---|---|---|---|
| Wi-Fi | ~2–5 | High | No | Low |
| Bluetooth | 2–5 | Low | No | Low |
| BLE | 1–5 | Very low | No | Very low |
| RFID | ~1–3 | Low | Yes | Moderate |
| UWB | ~0.1–0.5 | Low | Yes | High |
| Infrared | 0.5–3 | Low | Yes | Moderate |
| Acoustic signal | 0.3–0.8 | Low | No | Moderate |
| BLE + DDC (our method) | 0.4–0.6 | Very low | Yes | Very low |
| Propriety | Bluetooth | BLE |
|---|---|---|
| Frequency | 2.4 GHz | 2.4 GHz |
| Data rate | 1 to 3 Mbps | 1 Mbps |
| Range | Up to 10 m | Up to 40 m |
| Power consumption | Low | Very low |
| Battery life | Multiple weeks | Multiple months |
| Cost | Low | Very low |
| Accuracy | 2–5 m | 1–5 m |
| Type Characteristics | Nano 33 BLE |
|---|---|
| Microcontroller | nRF52480 |
| Clock speed | 64 MHz |
| Flash | 1 MB |
| RAM | 256 KB |
| Connectivity | BLE |
| Sensors | 9-axis IMU |
| Beacon prefix | Fixed by beacon protocol and makes information follow the protocol. |
| UUID identifier | Identifier that should be used to distinguish the different classes of beacons in a wide range. |
| Major | Identifier for determining a different group of beacons. |
| Minor | Identifier for determining individual beacons. |
| RSSI | The radio signal strength indicator (RSSI) is a measurement of the power present in a received radio signal. |
| Measured power | The RSSI value, which is measured at 1 m away from a beacon. |
| Devices | Coordinates (m) |
|---|---|
| Master | (1, 2) |
| B1 | (0, 0) |
| B2 | (3, 0) |
| B3 | (0, 3) |
| B4 | (3, 3) |
| Parameter | Value |
|---|---|
| Initialization state x | [0, 0] |
| (dbm2) | 2 |
| (dbm2) | 1 |
| P | I(2) |
| R | ∙ I(4) |
| Q | ∙ I(2) |
| Master Station Coordinates | Rover Coordinates | ||||
|---|---|---|---|---|---|
| Real (m) | Raw (m) | EKF (m) | Real (m) | Raw (m) | EKF (m) |
| (1, 2) | (1.48, 1.37) | (0.99, 1.02) | (2, 2) | (1.45, 1.41) | (1.51, 1.01) |
| Master Station | Rover | ||
|---|---|---|---|
| STD Raw Data (m) | STD EKF (m) | STD Raw Data (m) | STD EKF (m) |
| (0.05, 0.59) | (0.002, 0.003) | (0.10, 0.18) | (0.02, 0.03) |
| Rover Coordinates | |
|---|---|
| Real (m) | With DDC (m) |
| (2, 2) | (1.52, 1.99) |
| Rover Coordinates | |
|---|---|
| Real (m) | With DDC (m) |
| (1.5, 1.5) | (1.54, 1.28) |
| Devices | Coordinates (m) |
|---|---|
| Master | (1, 2, 0) |
| B1 | (0, 0, 1) |
| B2 | (3, 0, 1) |
| B3 | (0, 3, 1) |
| B4 | (3, 3, 1) |
| Parameter | Value |
|---|---|
| Initialing state x | [0, 0, 0] |
| (dbm2) | 2 |
| (dbm2) | 1 |
| P | I(3) |
| R | ∙ I(4) |
| Q | ∙ I(3) |
| Rover Coordinates | ||
|---|---|---|
| Real (m) | EKF (m) | With DDC (m) |
| (2, 2, 1.5) | (1.54, 0.74, 0.81) | (1.50, 1.67, 1.22) |
Disclaimer/Publisher’s Note: The statements, opinions and data contained in all publications are solely those of the individual author(s) and contributor(s) and not of MDPI and/or the editor(s). MDPI and/or the editor(s) disclaim responsibility for any injury to people or property resulting from any ideas, methods, instructions or products referred to in the content. |
© 2024 by the authors. Licensee MDPI, Basel, Switzerland. This article is an open access article distributed under the terms and conditions of the Creative Commons Attribution (CC BY) license (https://creativecommons.org/licenses/by/4.0/).
Share and Cite
Ponte, S.; Ariante, G.; Greco, A.; Del Core, G. Differential Positioning with Bluetooth Low Energy (BLE) Beacons for UAS Indoor Operations: Analysis and Results. Sensors 2024, 24, 7170. https://doi.org/10.3390/s24227170
Ponte S, Ariante G, Greco A, Del Core G. Differential Positioning with Bluetooth Low Energy (BLE) Beacons for UAS Indoor Operations: Analysis and Results. Sensors. 2024; 24(22):7170. https://doi.org/10.3390/s24227170
Chicago/Turabian StylePonte, Salvatore, Gennaro Ariante, Alberto Greco, and Giuseppe Del Core. 2024. "Differential Positioning with Bluetooth Low Energy (BLE) Beacons for UAS Indoor Operations: Analysis and Results" Sensors 24, no. 22: 7170. https://doi.org/10.3390/s24227170
APA StylePonte, S., Ariante, G., Greco, A., & Del Core, G. (2024). Differential Positioning with Bluetooth Low Energy (BLE) Beacons for UAS Indoor Operations: Analysis and Results. Sensors, 24(22), 7170. https://doi.org/10.3390/s24227170

