Deep Compressed Communication and Application in Multi-Robot 2D-Lidar SLAM: An Intelligent Huffman Algorithm
Abstract
1. Introduction
- We present a compressed communication framework for multi-robot SLAM, enabling merged, full-map transmission among robots, which can reduce the duration of exploration and produce a map of the whole environment quickly. Such a whole map plays a key role in many robotic tasks, such as path planning, collision avoidance et al.
- According to the characteristics of the occupancy grid map, we designed an intelligent compression algorithm by combining a convolutional neural network, Huffman coding, and RLE coding that compress the transmitted full map by both image downsampling and stream encoding.
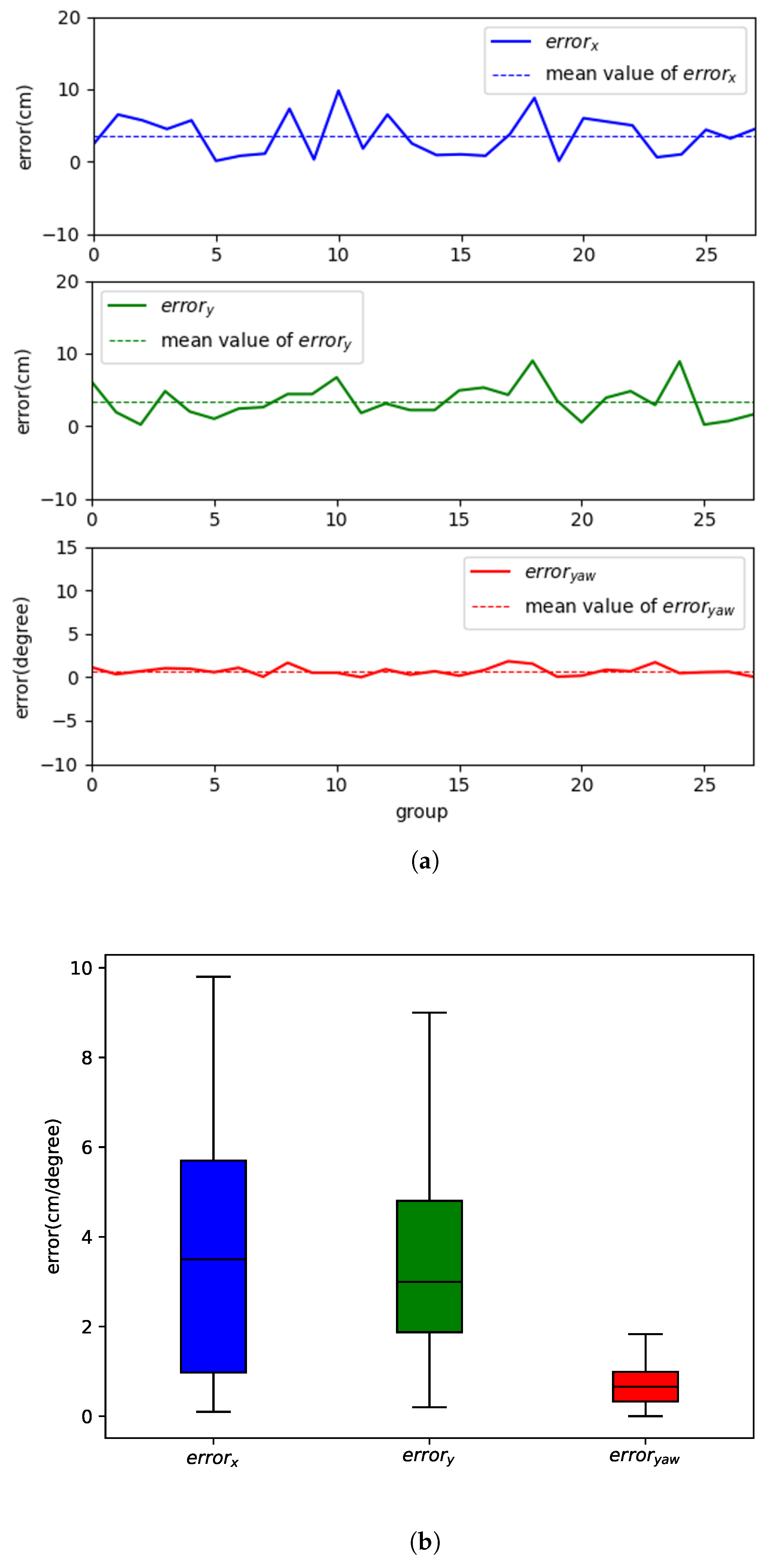
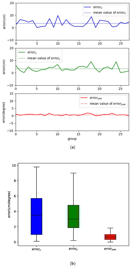
- We use Ultra-Wide Band (UWB) as a communication medium to validate the multi-robot SLAM system proposed in this paper. The results show that our method is able to reduce the communication burden by up to 99 percent and the localization error is less than 5 cm compared to when no compression is employed.
2. The Compressed Communication Approach
2.1. Full-Map Creation
2.2. Full-Map Compression and Decompression
| Algorithm 1 compression algorithm | 
| 
 | 
| Algorithm 2 decompression algorithm | 
| 
 | 
2.3. Multi-Occupancy Grid Maps Fusion
3. Experiments
3.1. Datasets and Model Training
3.2. Robotic Platform
3.3. Experimental Result
4. Conclusions
Author Contributions
Funding
Institutional Review Board Statement
Informed Consent Statement
Data Availability Statement
Conflicts of Interest
Abbreviations
| SLAM | Simultaneous Localization and Mapping | 
| CNN | Convolutional Neural Network | 
| RLE | Run-Length Encoding | 
| UWB | Ultra-Wide Band | 
| PSNR | Peak Signal-to-Noise Ratio | 
| SSIM | Structural Similarity Index Measure | 
References
- Durrant-Whyte, H.; Bailey, T. Simultaneous localization and mapping: Part I. IEEE Robot. Autom. Mag. 2006, 13, 99–110. [Google Scholar] [CrossRef]
- Cadena, C.; Carlone, L.; Carrillo, H.; Latif, Y.; Scaramuzza, D.; Neira, J.; Reid, I.; Leonard, J.J. Past, Present, and Future of Simultaneous Localization and Mapping: Toward the Robust-Perception Age. IEEE Trans. Robot. 2016, 32, 1309–1332. [Google Scholar] [CrossRef]
- Tian, Y.; Liu, K.; Ok, K.; Tran, L.; Allen, D.; Roy, N.; How, J.P. Search and rescue under the forest canopy using multiple UAVs. Int. J. Robot. Res. 2020, 39, 1201–1221. [Google Scholar] [CrossRef]
- Bonin-Font, F.; Burguera, A. Towards multi-robot visual graph-SLAM for autonomous marine vehicles. J. Mar. Sci. Eng. 2020, 8, 437. [Google Scholar] [CrossRef]
- Zhang, L.; Zhang, Z.; Siegwart, R.; Chung, J.J. Probabilistic network topology prediction for active planning: An adaptive algorithm and application. IEEE Trans. Robot. 2022, 39, 147–164. [Google Scholar] [CrossRef]
- Schmuck, P.; Chli, M. CCM-SLAM: Robust and efficient centralized collaborative monocular simultaneous localization and mapping for robotic teams. J. Field Robot. 2019, 36, 763–781. [Google Scholar] [CrossRef]
- Schmuck, P.; Ziegler, T.; Karrer, M.; Perraudin, J.; Chli, M. Covins: Visual-inertial slam for centralized collaboration. In Proceedings of the 2021 IEEE International Symposium on Mixed and Augmented Reality Adjunct (ISMAR-Adjunct), Bari, Italy, 4–8 October 2021; pp. 171–176. [Google Scholar]
- Patel, M.; Karrer, M.; Bänninger, P.; Chli, M. COVINS-G: A Generic Back-end for Collaborative Visual-Inertial SLAM. arXiv 2023, arXiv:2301.07147. [Google Scholar]
- Zhang, T.; Zhang, L.; Chen, Y.; Zhou, Y. CVIDS: A Collaborative Localization and Dense Mapping Framework for Multi-Agent Based Visual-Inertial SLAM. IEEE Trans. Image Process. 2022, 31, 6562–6576. [Google Scholar] [CrossRef] [PubMed]
- Chang, Y.; Ebadi, K.; Denniston, C.E.; Ginting, M.F.; Rosinol, A.; Reinke, A.; Palieri, M.; Shi, J.; Chatterjee, A.; Morrell, B.; et al. LAMP 2.0: A robust multi-robot SLAM system for operation in challenging large-scale underground environments. IEEE Robot. Autom. Lett. 2022, 7, 9175–9182. [Google Scholar] [CrossRef]
- Ebadi, K.; Chang, Y.; Palieri, M.; Stephens, A.; Hatteland, A.; Heiden, E.; Thakur, A.; Funabiki, N.; Morrell, B.; Wood, S.; et al. LAMP: Large-scale autonomous mapping and positioning for exploration of perceptually-degraded subterranean environments. In Proceedings of the 2020 IEEE International Conference on Robotics and Automation (ICRA), Paris, France, 31 May–31 August 2020; pp. 80–86. [Google Scholar]
- Tian, Y.; Chang, Y.; Arias, F.H.; Nieto-Granda, C.; How, J.P.; Carlone, L. Kimera-multi: Robust, distributed, dense metric-semantic slam for multi-robot systems. IEEE Trans. Robot. 2022, 38, 2022–2038. [Google Scholar] [CrossRef]
- Tian, Y.; Chang, Y.; Quang, L.; Schang, A.; Nieto-Granda, C.; How, J.P.; Carlone, L. Resilient and distributed multi-robot visual slam: Datasets, experiments, and lessons learned. arXiv 2023, arXiv:2304.04362. [Google Scholar]
- Chang, Y.; Tian, Y.; How, J.P.; Carlone, L. Kimera-multi: A system for distributed multi-robot metric-semantic simultaneous localization and mapping. In Proceedings of the 2021 IEEE International Conference on Robotics and Automation (ICRA), Xi’an, China, 30 May–5 June 2021; pp. 11210–11218. [Google Scholar]
- Lajoie, P.Y.; Ramtoula, B.; Chang, Y.; Carlone, L.; Beltrame, G. DOOR-SLAM: Distributed, online, and outlier resilient SLAM for robotic teams. IEEE Robot. Autom. Lett. 2020, 5, 1656–1663. [Google Scholar] [CrossRef]
- Huang, Y.; Shan, T.; Chen, F.; Englot, B. DiSCo-SLAM: Distributed scan context-enabled multi-robot lidar slam with two-stage global-local graph optimization. IEEE Robot. Autom. Lett. 2021, 7, 1150–1157. [Google Scholar] [CrossRef]
- Zhong, S.; Qi, Y.; Chen, Z.; Wu, J.; Chen, H.; Liu, M. Dcl-slam: A distributed collaborative lidar slam framework for a robotic swarm. arXiv 2022, arXiv:2210.11978. [Google Scholar] [CrossRef]
- Caccavale, A.; Schwager, M. Wireframe mapping for resource-constrained robots. In Proceedings of the 2018 IEEE/RSJ International Conference on Intelligent Robots and Systems (IROS), Madrid, Spain, 1–5 October 2018; pp. 1–9. [Google Scholar]
- Saeedi, S.; Paull, L.; Trentini, M.; Li, H. Multiple robot simultaneous localization and mapping. In Proceedings of the 2011 IEEE/RSJ International Conference on Intelligent Robots and Systems, San Francico, CA, USA, 25–30 September 2011; pp. 853–858. [Google Scholar]
- Benedettelli, D.; Garulli, A.; Giannitrapani, A. Multi-robot SLAM using M-Space feature representation. In Proceedings of the 49th IEEE Conference on Decision and Control (CDC), Atlanta, GA, USA, 15–17 December 2010; pp. 3826–3831. [Google Scholar]
- Chang, H.J.; Lee, C.G.; Hu, Y.C.; Lu, Y.H. Multi-robot SLAM with topological/metric maps. In Proceedings of the 2007 IEEE/RSJ International Conference on Intelligent Robots and Systems, San Diego, CA, USA, 29 October–2 November 2007; pp. 1467–1472. [Google Scholar]
- Saeedi, S.; Paull, L.; Trentini, M.; Seto, M.; Li, H. Group mapping: A topological approach to map merging for multiple robots. IEEE Robot. Autom. Mag. 2014, 21, 60–72. [Google Scholar] [CrossRef]
- Choudhary, S.; Carlone, L.; Nieto, C.; Rogers, J.; Liu, Z.; Christensen, H.I.; Dellaert, F. Multi robot object-based slam. In Proceedings of the 2016 International Symposium on Experimental Robotics, Nagasaki, Japan, 3–8 October 2016; pp. 729–741. [Google Scholar]
- Zhang, H.; Chen, X.; Lu, H.; Xiao, J. Distributed and collaborative monocular simultaneous localization and mapping for multi-robot systems in large-scale environments. Int. J. Adv. Robot. Syst. 2018, 15, 1729881418780178. [Google Scholar] [CrossRef]
- Tardioli, D.; Montijano, E.; Mosteo, A.R. Visual data association in narrow-bandwidth networks. In Proceedings of the 2015 IEEE/RSJ International Conference on Intelligent Robots and Systems (IROS), Hamburg, Germany, 28 September–2 October 2015; pp. 2572–2577. [Google Scholar]
- Dubé, R.; Gawel, A.; Sommer, H.; Nieto, J.; Siegwart, R.; Cadena, C. An online multi-robot SLAM system for 3D LiDARs. In Proceedings of the 2017 IEEE/RSJ International Conference on Intelligent Robots and Systems (IROS), Vancouver, BC, Canada, 24–28 September 2017; pp. 1004–1011. [Google Scholar] [CrossRef]
- Karrer, M.; Schmuck, P.; Chli, M. CVI-SLAM—Collaborative Visual-Inertial SLAM. IEEE Robot. Autom. Lett. 2018, 3, 2762–2769. [Google Scholar] [CrossRef]
- Xu, H.; Liu, P.; Chen, X.; Shen, S. D2 SLAM: Decentralized and Distributed Collaborative Visual-inertial SLAM System for Aerial Swarm. arXiv 2022, arXiv:2211.01538. [Google Scholar]
- Ramtoula, B.; De Azambuja, R.; Beltrame, G. CAPRICORN: Communication aware place recognition using interpretable constellations of objects in robot networks. In Proceedings of the 2020 IEEE International Conference on Robotics and Automation (ICRA), Paris, France, 31 May–31 August 2020; pp. 8761–8768. [Google Scholar]
- Grisetti, G.; Stachniss, C.; Burgard, W. Improved techniques for grid mapping with rao-blackwellized particle filters. IEEE Trans. Robot. 2007, 23, 34–46. [Google Scholar] [CrossRef]
- Hörner, J. Map-Merging for Multi-Robot System; Charles University: Prague, Czech Republic, 2016. [Google Scholar]









| Method | Type of Data Transfer | Map Density | 
|---|---|---|
| Dubé et al. [26] | Segmentation description | Sparse | 
| CVIDS [9] | Descriptor extraction | Sparse | 
| CVI-SLAM [27] | Keyframe and map point | Sparse | 
| SLAM [28] | Landmarks and descriptors | Sparse | 
| Zhang et al. [24] | Descriptor extraction | Sparse | 
| DCL-SLAM [17] | Descriptor | Sparse | 
| Door-SLAM [15] | NetVlAD descriptor | Sparse | 
| Kimera-Multi [12] | Keypoints and feature descriptors | Dense | 
| Our methoed | 2D occupancy full map | Dense | 
| Disclaimer/Publisher’s Note: The statements, opinions and data contained in all publications are solely those of the individual author(s) and contributor(s) and not of MDPI and/or the editor(s). MDPI and/or the editor(s) disclaim responsibility for any injury to people or property resulting from any ideas, methods, instructions or products referred to in the content. | 
© 2024 by the authors. Licensee MDPI, Basel, Switzerland. This article is an open access article distributed under the terms and conditions of the Creative Commons Attribution (CC BY) license (https://creativecommons.org/licenses/by/4.0/).
Share and Cite
Zhang, L.; Deng, J. Deep Compressed Communication and Application in Multi-Robot 2D-Lidar SLAM: An Intelligent Huffman Algorithm. Sensors 2024, 24, 3154. https://doi.org/10.3390/s24103154
Zhang L, Deng J. Deep Compressed Communication and Application in Multi-Robot 2D-Lidar SLAM: An Intelligent Huffman Algorithm. Sensors. 2024; 24(10):3154. https://doi.org/10.3390/s24103154
Chicago/Turabian StyleZhang, Liang, and Jinghui Deng. 2024. "Deep Compressed Communication and Application in Multi-Robot 2D-Lidar SLAM: An Intelligent Huffman Algorithm" Sensors 24, no. 10: 3154. https://doi.org/10.3390/s24103154
APA StyleZhang, L., & Deng, J. (2024). Deep Compressed Communication and Application in Multi-Robot 2D-Lidar SLAM: An Intelligent Huffman Algorithm. Sensors, 24(10), 3154. https://doi.org/10.3390/s24103154
 
        

 
       