Enhancing Aircraft Safety through Advanced Engine Health Monitoring with Long Short-Term Memory
Abstract
1. Introduction
2. Methodology
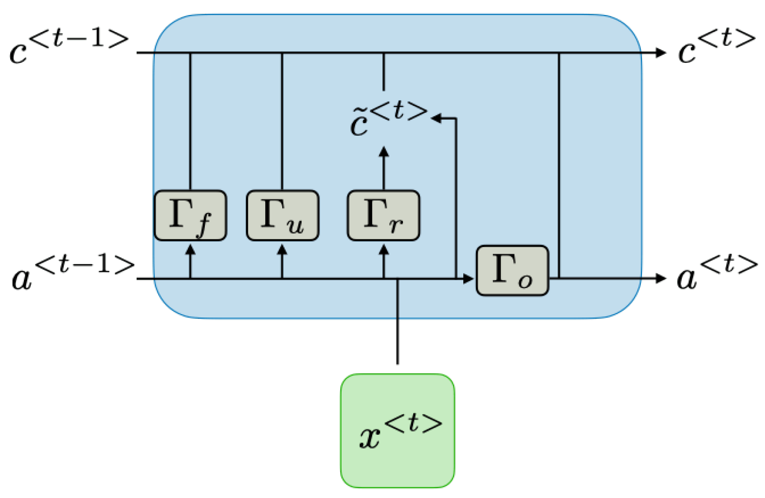
Long Short-Term Memory
| Algorithm 1 Creating Tuner Object. |
|
| Algorithm 2 Hyperparameter Tuning with Algorithmic Search. |
|
Input: Training data , , validation data , 2: Output: Optimal hyperparameters for LSTM Initialise hyperparameter search space and define the search algorithm 4. while not reached maximum number of iterations do Sample a set of hyperparameters from the search space 6: Build an LSTM with the sampled hyperparameters Train the model on and for a fixed number of epochs using batch size 128 8: Evaluate the model on the validation set Update the search algorithm’s internal state based on the performance of the model 10: if current model’s performance is better than the best so far then Update the best hyperparameters 12: end if end while 14: Return: Best hyperparameters found during the search |
3. Results
3.1. C-MAPSS Dataset
3.2. Experimental Analysis
4. Discussion
5. Conclusions
- 1.
- Simplicity: The lack of dedicated encoder–decoder structure simplifies the model architecture, making it more straightforward and computationally efficient. This simplicity is advantageous in situations where a less complex model is desired when computational resources are limited.
- 2.
- Reduced Model Complexity: Encoder–decoder architectures are relatively complex, involving separate components for encoding and decoding. By avoiding this structure, the LSTM becomes more streamlined and requires fewer parameters, reducing the risk of overfitting and making it more interpretable.
- 3.
- Direct Interaction with Sequential Data: Direct interaction with hidden states from an LSTM is more intuitive and aligned with the nature of the problem. This direct interaction allows the attention mechanism to adapt dynamically to the evolving context within the sequence.
- 4.
- Improved Performance: Where the relationships between different time steps in the sequence are critical and straightforward, eliminating the encoder–decoder structure leads to improved performance. The direct use of hidden states in attention computation allows the LSTM to focus on relevant information throughout the sequence.
- 5.
- Reduced Inference Time: With a simplified architecture, inference time is reduced compared to more complex encoder–decoder designs. This is advantageous in real-time applications where rapid deployment is essential.
- 1.
- Efficient Hyperparameter Search: Autotuning automates the process of hyperparameter optimisation, efficiently exploring a wide range of hyperparameter configurations. This eliminates the need for manual tuning which is time-consuming and requires domain-specific expertise.
- 2.
- Improved Generalisation: Autotuning helps prevent overfitting by identifying hyperparameter settings that enhance the LSTM’s generalisation performance. It balances model complexity and avoids fitting the training data too closely, leading to better performance on unseen data.
- 3.
- Adaptability to Dataset Characteristics: LSTM performs differently based on the characteristics of the dataset. Autotuning allows the model to adapt to the specific properties of the data, optimising hyperparameters for tasks with varying input sequences and time dependencies.
- 4.
- Reduced Risk of Underfitting: Autotuning aids in the discovery of hyperparameters that prevent underfitting, ensuring that the LSTM is expressive enough to capture complex temporal dependencies and patterns within the data.
- 5.
- Increased Robustness Across Dataset: By identifying hyperparameters that generalise well, the LSTM becomes versatile and applicable to a broader range of scenarios.
- 6.
- Adaptive Learning Rates: Autotuning includes optimisation algorithms that adaptively adjust learning rates. Adaptive learning rates enhance the training process by dynamically modifying the step sizes for weight updates based on the gradients.
- 1.
- Adaptive Learning Rates: The Adam algorithm dynamically adapts the learning rates for each parameter based on their historical gradients. This adaptive learning rate mechanism helps overcome challenges associated with manually tuning learning rates, making it suitable for complex and dynamic datasets.
- 2.
- Efficient Memory Usage: The Adam algorithm maintains a moving average of both gradients and their squared values which results in more efficient memory usage compared to optimisations that require storing individual gradients for each parameter.
- 3.
- Combination of Momentum and RMSprop: The Adam algorithm combines the benefits of both momentum and RMSprop optimisation techniques. The momentum helps accelerate the optimisation process while the RMSprop adjusts the learning rates for each parameter individually.
- 4.
- Bias Correction: The Adam algorithm incorporates bias correction and this is especially beneficial in the early training stages when the estimates of the first and second moments are inaccurate. This correction helps stabilise and improve the optimisation process.
- 5.
- Effective Handling of Varying Gradient Information: The adaptive learning rates in the Adam algorithm make it resilient to varying gradient information. This adaptability allows the Adam algorithm to perform well across the dataset.
Author Contributions
Funding
Institutional Review Board Statement
Informed Consent Statement
Data Availability Statement
Conflicts of Interest
Abbreviations
| C-MAPSS | Commercial Modular Aero-Propulsion System Simulation |
| LSTM | Long Short-Term Memory |
| RUL | Remaining Useful Life |
| DSR | Dempster–Shafer Regression |
| SVM | Support Vector Machine |
| RNN | Recurrent Neural Network |
| MSE | Mean Squared Error |
| LSTM-ED | Encoder–Decoder Long Short-Term Memory |
| SBA | Similarity-Based Approach |
| MLP | Multi-Layer Perceptron |
| SVR | Support Vector Regression |
| RVR | Relevance Vector Regression |
| CNN | Convolutional Neural Network |
| GRU | Gated Recurrent Unit |
| DBN | Deep Belief Network |
| MODBNE | Multiobjective Deep Belief Network Ensemble |
| HPC | High-performance Computing |
| RMSE | Root Mean Square Error |
| MAE | Mean Absolute Error |
| MSE | Mean Squared Error |
| RAE | Relative Absolute Error |
| RSE | Relative Squared Error |
References
- Fornlof, V. Improved Remaining Useful Life Estimations for On-Condition Parts in Aircraft Engines. Ph.D Thesis, University of Skövde, Skövde, Sweden, 2016. [Google Scholar]
- Kumar, A.; Shankar, R.; Thakur, L.S. A big data driven sustainable manufacturing framework for condition-based maintenance prediction. J. Comput. Sci. 2018, 27, 428–439. [Google Scholar] [CrossRef]
- Xu, J.; Wang, Y.; Xu, L. PHM-oriented integrated fusion prognostics for aircraft engines based on sensor data. IEEE Sens. J. 2013, 14, 1124–1132. [Google Scholar] [CrossRef]
- Saxena, A.; Goebel, K. Turbofan Engine Degradation Simulation Data Set. NASA Ames Prognostics Data Repository. 2008. Available online: https://phm-datasets.s3.amazonaws.com/NASA/6.+Turbofan+Engine+Degradation+Simulation+Data+Set.zip (accessed on 6 December 2023).
- Malhotra, P.; Ramakrishnan, A.; Anand, G.; Vig, L.; Agarwal, P.; Shroff, G. LSTM-based encoder-decoder for multi-sensor anomaly detection. arXiv 2016, arXiv:1607.00148. [Google Scholar]
- Ramasso, E.; Saxena, A. Performance Benchmarking and Analysis of Prognostic Methods for CMAPSS Datasets. Int. J. Progn. Health Manag. 2014, 5, 1–15. [Google Scholar] [CrossRef]
- Zhang, X.; Tang, L.; Decastro, J. Robust fault diagnosis of aircraft engines: A nonlinear adaptive estimation-based approach. IEEE Trans. Control. Syst. Technol. 2012, 21, 861–868. [Google Scholar] [CrossRef]
- Sateesh Babu, G.; Zhao, P.; Li, X.L. Deep convolutional neural network based regression approach for estimation of remaining useful life. In Proceedings of the Database Systems for Advanced Applications: 21st International Conference, DASFAA 2016, Dallas, TX, USA, 16–19 April 2016; Proceedings, Part I 21. Springer: Cham, Switzerland, 2016; pp. 214–228. [Google Scholar]
- Zhang, C.; Sun, J.H.; Tan, K.C. Deep belief networks ensemble with multi-objective optimization for failure diagnosis. In Proceedings of the 2015 IEEE International Conference on Systems, Man, and Cybernetics, Hong Kong, 9–12 October 2015; pp. 32–37. [Google Scholar]
- Peng, C.; Chen, Y.; Chen, Q.; Tang, Z.; Li, L.; Gui, W. A remaining useful life prognosis of turbofan engine using temporal and spatial feature fusion. Sensors 2021, 21, 418. [Google Scholar] [CrossRef]
- Wen, L.; Dong, Y.; Gao, L. A new ensemble residual convolutional neural network for remaining useful life estimation. Math. Biosci. Eng. 2019, 16, 862–880. [Google Scholar] [CrossRef]
- Zhao, C.; Huang, X.; Li, Y.; Yousaf Iqbal, M. A double-channel hybrid deep neural network based on CNN and BiLSTM for remaining useful life prediction. Sensors 2020, 20, 7109. [Google Scholar] [CrossRef]
- Kong, W.; Li, H. Remaining useful life prediction of rolling bearing under limited data based on adaptive time-series feature window and multi-step ahead strategy. Appl. Soft Comput. 2022, 129, 109630. [Google Scholar] [CrossRef]
- Zhuang, J.; Cao, Y.; Jia, M.; Zhao, X.; Peng, Q. Remaining useful life prediction of bearings using multi-source adversarial online regression under online unknown conditions. Expert Syst. Appl. 2023, 227, 120276. [Google Scholar] [CrossRef]
- Yao, D.; Liu, H.; Yang, J.; Li, X. A lightweight neural network with strong robustness for bearing fault diagnosis. Measurement 2020, 159, 107756. [Google Scholar] [CrossRef]
- Yan, M.; Wang, X.; Wang, B.; Chang, M.; Muhammad, I. Bearing remaining useful life prediction using support vector machine and hybrid degradation tracking model. ISA Trans. 2020, 98, 471–482. [Google Scholar] [CrossRef] [PubMed]
- Luo, J.; Liu, Z.; Wang, J.; Chen, H.; Zhang, Z.; Qin, B.; Cui, S. Effects of different injection strategies on combustion and emission characteristics of diesel engine fueled with dual fuel. Processes 2021, 9, 1300. [Google Scholar] [CrossRef]
- Liu, H.; Li, Y.; Luo, L.; Zhang, C. A Lithium-Ion Battery Capacity and RUL Prediction Fusion Method Based on Decomposition Strategy and GRU. Batteries 2023, 9, 323. [Google Scholar] [CrossRef]
- Guo, J.; Lao, Z.; Hou, M.; Li, C.; Zhang, S. Mechanical fault time series prediction by using EFMSAE-LSTM neural network. Measurement 2021, 173, 108566. [Google Scholar] [CrossRef]
- Ensarioğlu, K.; İnkaya, T.; Emel, E. Remaining Useful Life Estimation of Turbofan Engines with Deep Learning Using Change-Point Detection Based Labeling and Feature Engineering. Appl. Sci. 2023, 13, 11893. [Google Scholar] [CrossRef]
- Li, X.; Ding, Q.; Sun, J.Q. Remaining useful life estimation in prognostics using deep convolution neural networks. Reliab. Eng. Syst. Saf. 2018, 172, 1–11. [Google Scholar] [CrossRef]
- Yu, W.; Kim, I.Y.; Mechefske, C. Remaining useful life estimation using a bidirectional recurrent neural network based autoencoder scheme. Mech. Syst. Signal Process. 2019, 129, 764–780. [Google Scholar] [CrossRef]
- Peng, C.; Wu, J.; Wang, Q.; Gui, W.; Tang, Z. Remaining Useful Life Prediction Using Dual-Channel LSTM with Time Feature and Its Difference. Entropy 2022, 24, 1818. [Google Scholar] [CrossRef]
- Wang, Y.; Zhao, Y. Multi-Scale Remaining Useful Life Prediction Using Long Short-Term Memory. Sustainability 2022, 14, 15667. [Google Scholar] [CrossRef]
- Lyu, Y.; Zhang, Q.; Wen, Z.; Chen, A. Remaining Useful Life Prediction Based on Multi-Representation Domain Adaptation. Mathematics 2022, 10, 4647. [Google Scholar] [CrossRef]
- Deng, F.; Bi, Y.; Liu, Y.; Yang, S. Deep-learning-based remaining useful life prediction based on a multi-scale dilated convolution network. Mathematics 2021, 9, 3035. [Google Scholar] [CrossRef]
- Lei, Y.; Li, N.; Guo, L.; Li, N.; Yan, T.; Lin, J. Machinery health prognostics: A systematic review from data acquisition to RUL prediction. Mech. Syst. Signal Process. 2018, 104, 799–834. [Google Scholar] [CrossRef]
- Woods, L.T.; Rana, Z.A. Constraints on Optimising Encoder-Only Transformers for Modelling Sign Language with Human Pose Estimation Keypoint Data. J. Imaging 2023, 9, 238. [Google Scholar] [CrossRef] [PubMed]
- Zhang, W.; Li, C.; Peng, G.; Chen, Y.; Zhang, Z. A deep convolutional neural network with new training methods for bearing fault diagnosis under noisy environment and different working load. Mech. Syst. Signal Process. 2018, 100, 439–453. [Google Scholar] [CrossRef]
- Kim, S.; Choi, J.H. Convolutional neural network for gear fault diagnosis based on signal segmentation approach. Struct. Health Monit. 2019, 18, 1401–1415. [Google Scholar] [CrossRef]
- Chung, J.; Gulcehre, C.; Cho, K.; Bengio, Y. Empirical evaluation of gated recurrent neural networks on sequence modeling. arXiv 2014, arXiv:1412.3555. [Google Scholar]
- Amidi, A.; Amidi, S. CS 230—Recurrent Neural Networks Cheatsheet; Stanford University: Stanford, CA, USA, 2019. [Google Scholar]
- Hochreiter, S.; Schmidhuber, J. Long short-term memory. Neural Comput. 1997, 9, 1735–1780. [Google Scholar] [CrossRef]
- Kang, Q.; Chen, E.J.; Li, Z.C.; Luo, H.B.; Liu, Y. Attention-based LSTM predictive model for the attitude and position of shield machine in tunneling. Undergr. Space 2023, 13, 335–350. [Google Scholar] [CrossRef]
- Pham, H.; Manning, C.D.; Luong, M.T. Effective approaches to attention-based neural machine translation. Comput. Ence 2015, 2015, 1–2. [Google Scholar]
- Saluja, A.; Mitra, A.; Deshwal, A.; Madhu, K.; Chugh, U.; Lee, S.; Song, J. Autotuning LSTM for Accelerated Execution on Edge. In Proceedings of the 2021 IEEE International Symposium on Circuits and Systems (ISCAS), Virtual, 22–28 May 2021; pp. 1–5. [Google Scholar]
- Frederick, D.K.; DeCastro, J.A.; Litt, J.S. User’s Guide for the Commercial Modular Aero-Propulsion System Simulation (C-MAPSS); Technical Report; NASA: Washington, DC, USA, 2007.
- Diederik, K.; Jimmy, B. Adam: A method for stochastic optimization. arXiv 2014, arXiv:1412.6980. [Google Scholar]
- Sasaki, Y. The truth of the F-measure. Teach Tutor Mater. 2007, 1, 1–5. [Google Scholar]
- Wu, Y.; Yuan, M.; Dong, S.; Lin, L.; Liu, Y. Remaining useful life estimation of engineered systems using vanilla LSTM neural networks. Neurocomputing 2018, 275, 167–179. [Google Scholar] [CrossRef]
- Yuan, M.; Wu, Y.; Lin, L. Fault diagnosis and remaining useful life estimation of aero engine using LSTM neural network. In Proceedings of the 2016 IEEE international conference on aircraft utility systems (AUS), Beijing, China, 10–12 October 2016; pp. 135–140. [Google Scholar]
- Zhao, R.; Wang, J.; Yan, R.; Mao, K. Machine health monitoring with LSTM networks. In Proceedings of the 2016 10th International Conference on Sensing Technology (ICST), Nanjing, China, 11–13 November 2016; pp. 1–6. [Google Scholar]
- Malhotra, P.; Tv, V.; Ramakrishnan, A.; Anand, G.; Vig, L.; Agarwal, P.; Shroff, G. Multi-sensor prognostics using an unsupervised health index based on LSTM encoder-decoder. arXiv 2016, arXiv:1608.06154. [Google Scholar]
- Gugulothu, N.; Tv, V.; Malhotra, P.; Vig, L.; Agarwal, P.; Shroff, G. Predicting remaining useful life using time series embeddings based on recurrent neural networks. arXiv 2017, arXiv:1709.01073. [Google Scholar] [CrossRef]










| Number | Description | Units |
|---|---|---|
| 1 | Fan Inlet Temperature | °R |
| 2 | LPC Outlet Temperature | °R |
| 3 | HPC Outlet Temperature | °R |
| 4 | LPT Outlet Temperature | °R |
| 5 | Fan Inlet Pressure | psia |
| 6 | Bypass Duct Pressure | psia |
| 7 | HPC Outlet Pressure | psia |
| 8 | Physical Fan Speed | rpm |
| 9 | Physical Core Speed | rpm |
| 10 | Engine Pressure Ratio (P50/P2) | — |
| 11 | HPC Outlet Static Pressure | psia |
| 12 | Ratio of Fuel Flow to Ps30 | pps/psia |
| 13 | Corrected Fan Speed | rpm |
| 14 | Corrected Core Speed | rpm |
| 15 | Bypass Ratio | — |
| 16 | Burner Fuel–Air Ratio | — |
| 17 | Bleed Enthalpy | — |
| 18 | Required Fan Speed | rpm |
| 19 | Required Fan Conversion Speed | rpm |
| 20 | High-Pressure Turbines Cool Airflow | lb/s |
| 21 | Low-Pressure Turbines Cool Airflow | lb/s |
| Metric | Result |
|---|---|
| MAE | 1.284 |
| Accuracy | 98.916% |
| Precision | 94.137% |
| Recall | 100% |
| F1-score | 97.33% |
| Method | MAE | MSE | RAE | RSE | Accuracy |
|---|---|---|---|---|---|
| Linear Regression | 20.72 | 28.581 | 0.577 | 0.487 | 74.45% |
| K-Nearest Neighbours Regression | 21.29 | 29.678 | 0.593 | 0.516 | 76.37% |
| Support Vector Regression | 23.33 | 29.991 | 0.646 | 0.547 | 78.13% |
| Gaussian Processes Regression | 26.43 | 75.323 | 0.846 | 0.782 | 92.47% |
| Random Forest Regression | 17.22 | 85.713 | 0.925 | 0.897 | 92.78% |
| Method | Gaussian Processes Regression | Random Forest Regression | LSTM |
|---|---|---|---|
| MAE | 26.43 | 17.22 | 1.284 |
| Accuracy | 92.47% | 92.78% | 98.916% |
| Precision | 79.98% | 90.13% | 93.88% |
| Recall | 89.46% | 89.97% | 100% |
| F1-score | 84.36% | 90.19% | 96.8% |
Disclaimer/Publisher’s Note: The statements, opinions and data contained in all publications are solely those of the individual author(s) and contributor(s) and not of MDPI and/or the editor(s). MDPI and/or the editor(s) disclaim responsibility for any injury to people or property resulting from any ideas, methods, instructions or products referred to in the content. |
© 2024 by the authors. Licensee MDPI, Basel, Switzerland. This article is an open access article distributed under the terms and conditions of the Creative Commons Attribution (CC BY) license (https://creativecommons.org/licenses/by/4.0/).
Share and Cite
Yildirim, S.; Rana, Z.A. Enhancing Aircraft Safety through Advanced Engine Health Monitoring with Long Short-Term Memory. Sensors 2024, 24, 518. https://doi.org/10.3390/s24020518
Yildirim S, Rana ZA. Enhancing Aircraft Safety through Advanced Engine Health Monitoring with Long Short-Term Memory. Sensors. 2024; 24(2):518. https://doi.org/10.3390/s24020518
Chicago/Turabian StyleYildirim, Suleyman, and Zeeshan A. Rana. 2024. "Enhancing Aircraft Safety through Advanced Engine Health Monitoring with Long Short-Term Memory" Sensors 24, no. 2: 518. https://doi.org/10.3390/s24020518
APA StyleYildirim, S., & Rana, Z. A. (2024). Enhancing Aircraft Safety through Advanced Engine Health Monitoring with Long Short-Term Memory. Sensors, 24(2), 518. https://doi.org/10.3390/s24020518

