Video-Based Identification and Prediction Techniques for Stable Vessel Trajectories in Bridge Areas
Abstract
1. Introduction
- More accurate trajectories:
- 2.
- Obtaining richer features—heading angle, vessel scale:
- 3.
- No missed detections or false alarms:
2. Vessel Trajectory Identification Technology
2.1. Modeling Vessel Motion under the Camera
2.2. Motion Estimation Method
- Complex Backgrounds:
- Small Object Recognition:
- Blurred Boundaries:
3. Trajectory Prediction
4. Case Analysis
4.1. Project Background
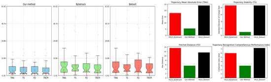
4.2. Metrics for Evaluating the Effectiveness of Trajectory Recognition
- Trajectory Modeling Accuracy (TMA):
- 2.
- Trajectory Stability (TS):
- 3.
- Fréchet Distance (FD):
4.3. Real Vessel Experiment
4.4. Holistic Case Application
- Vessel-to-Vessel Collision Detection:
- Vessel-to-Bridge Collision Alert:
5. Conclusions
- The improved method for vessel trajectory recognition with long-term, multi-feature point sequences demonstrates outstanding accuracy and efficiency. It exhibits clear advantages over traditional methods. This method is expected to be a major direction for future research because it not only provides high-precision trajectory data but is also applicable to various scenarios without the need for extensive data training. It can be run simply by combining the SAM model with silhouette masks for feature-point-constrained inputs. However, it should be noted that this method requires relatively high computational resources, which may necessitate further research in hardware and performance optimization.
- This paper makes an assumption regarding the world coordinates of vessels within a relatively small area, simplifying the actual movement of vessels within that region to rigid body motion on a plane. It utilizes statistical methods to obtain vessel motion parameters from the tracked multiple feature points. This assumption and method offer an effective approach to describe complex vessel movements and are expected to find broad applications in areas with developed maritime transportation, such as waterways.
- The trajectory prediction method in this paper takes full account of the spatiotemporal correlations in vessel trajectories, making it particularly suitable for well-established maritime regions where vessels often travel in formations. While the trajectory prediction method in this paper has made significant advancements, there is still room for improvement. The current limitations in data quality and quantity constrain the optimization of this method. Future work can focus on obtaining higher-quality data and further enhancing the prediction model to improve its performance and applicability.
Author Contributions
Funding
Institutional Review Board Statement
Informed Consent Statement
Data Availability Statement
Conflicts of Interest
References
- Huang, Y.; Chen, L.; Chen, P.; Negenborn, R.R.; Van Gelder, P.H.A.J.M. Ship collision avoidance methods: State-of-the-art. Saf. Sci. 2020, 121, 451–473. [Google Scholar] [CrossRef]
- Zhao, C.; Cao, X.; Ren, Y. Risk analysis of bridge ship collision based on AIS data model and nonlinear finite element. Nonlinear Eng. 2023, 12, 20220324. [Google Scholar] [CrossRef]
- Wang, J.J.; Song, Y.C.; Wang, W.; Chen, C.J. Evaluation of flexible floating anti-collision device subjected to ship impact using finite-element method. Ocean Eng. 2019, 178, 321–330. [Google Scholar] [CrossRef]
- Wang, F.; Chang, H.-J.; Ma, B.-H.; Wang, Y.-G.; Yang, L.-M.; Liu, J.; Dong, X.-L. Flexible guided anti-collision device for bridge pier protection against ship collision: Numerical simulation and ship collision field test. Ocean Eng. 2023, 271, 113696. [Google Scholar] [CrossRef]
- Ji, B.; Gu, X.; Fang, Q. Study of AIS-Based Active Collision prevention System for Su-Tong Bridge. Navig. China 2010, 33, 34–38. [Google Scholar]
- Chen, L.; Wu, S.; Xiao, Y. Active forewarning technology for anti-collision between ship and bridge based on video object detection. Port Waterw. Eng. 2012, 6, 150–154. [Google Scholar]
- Wang, S.; Ren, H.; Yun, X. Active Early-warning System for Bridge Piers Against Ship Collision and Its Performance Analysis. China J. Highw. Transp. 2012, 25, 94. [Google Scholar]
- Cai, L.; Hu, C.; Huang, H. Research on Intelligent Bridge Collision Avoidance Yaw Warning System Based-on Radar and Video Analysis Fusion. Traffic Transp. 2018, 7, 178–182. [Google Scholar]
- Xia, Y.; Chen, L.; Wang, J. Single Shot MultiBox Detector Based Vessel Detection Method and Application for Active Anti-collision Monitoring. J. Hunan Univ. 2020, 47, 97–105. [Google Scholar]
- Fu, Z.; Chen, X.; Xie, J.; Fan, Y. Pulse Compression Radar Ship Detection Method Based on Improved SSD. In Proceedings of the 2020 5th International Conference on Mechanical, Control and Computer Engineering (ICMCCE), Harbin, China, 25–27 December 2020; IEEE: Piscataway, NJ, USA, 2020; pp. 2093–2096. [Google Scholar]
- Mao, S.; Tu, E.; Zhang, G.; Rachmawati, L.; Rajabally, E.; Huang, G.-B. An Automatic Identification System (AIS) Database for Maritime Trajectory Prediction and Data Mining. In Proceedings of the ELM-2016. Proceedings in Adaptation, Learning and Optimization; Cambria, E., Lendasse, A., Miche, Y., Vong, C.M., Eds.; Springer International Publishing: Cham, Switzerland, 2018; Volume 9, pp. 241–257, ISBN 978-3-319-57420-2. [Google Scholar]
- Yang, T.; Zhang, S.; Zhou, G.; Jiang, C. Design of a Real-Time System of Moving Ship Tracking on-Board Based on FPGA in Remote Sensing Images. In Proceedings of the International Conference on Intelligent Earth Observing and Applications, Guilin, China, 9 December 2015; p. 980804. [Google Scholar]
- Dong, C.; Liu, J.; Xu, F.; Liu, C. Ship Detection from Optical Remote Sensing Images Using Multi-Scale Analysis and Fourier HOG Descriptor. Remote Sens. 2019, 11, 1529. [Google Scholar] [CrossRef]
- Liu, H.; Xu, X.; Chen, X.; Li, C.; Wang, M. Real-Time Ship Tracking under Challenges of Scale Variation and Different Visibility Weather Conditions. JMSE 2022, 10, 444. [Google Scholar] [CrossRef]
- Chen, X.; Xu, X.; Yang, Y.; Wu, H.; Tang, J.; Zhao, J. Augmented Ship Tracking Under Occlusion Conditions From Maritime Surveillance Videos. IEEE Access 2020, 8, 42884–42897. [Google Scholar] [CrossRef]
- Dong, Z.; Lin, B. Learning a robust CNN-based rotation insensitive model for ship detection in VHR remote sensing images. Int. J. Remote Sens. 2020, 41, 3614–3626. [Google Scholar] [CrossRef]
- Yang, X.; Wang, Y.; Wang, N.; Gao, X. An Enhanced SiamMask Network for Coastal Ship Tracking. IEEE Trans. Geosci. Remote Sens. 2022, 60, 5612011. [Google Scholar] [CrossRef]
- Jie, Y.; Leonidas, L.; Mumtaz, F.; Ali, M. Ship Detection and Tracking in Inland Waterways Using Improved YOLOv3 and Deep SORT. Symmetry 2021, 13, 308. [Google Scholar] [CrossRef]
- Wojke, N.; Bewley, A.; Paulus, D. Simple Online and Realtime Tracking with a Deep Association Metric 2017. In Proceedings of the 2017 IEEE International Conference on Image Processing, Beijing, China, 17–20 September 2017. [Google Scholar]
- Zhou, Y.; Bai, Y.; Chen, Y. Multiframe CenterNet Heatmap ROI Aggregation for Real-Time Video Object Detection. IEEE Access 2022, 10, 54870–54877. [Google Scholar] [CrossRef]
- Zhang, F.; Wang, X.; Zhou, S.; Wang, Y.; Hou, Y. Arbitrary-Oriented Ship Detection through Center-Head Point Extraction. IEEE Trans. Geosci. Remote Sens. 2022, 60, 5612414. [Google Scholar] [CrossRef]
- Zhang, Y.; Sun, P.; Jiang, Y.; Yu, D.; Weng, F.; Yuan, Z.; Luo, P.; Liu, W.; Wang, X. ByteTrack: Multi-Object Tracking by Associating Every Detection Box. arXiv 2022, arXiv:2110.06864. [Google Scholar]
- Karaev, N.; Rocco, I.; Graham, B.; Neverova, N.; Vedaldi, A.; Rupprecht, C. CoTracker: It is Better to Track Together. arXiv 2023, arXiv:2307.07635. [Google Scholar]
- Huang, Y.; Bi, H.; Li, Z.; Mao, T.; Wang, Z. STGAT: Modeling Spatial-Temporal Interactions for Human Trajectory Prediction. In Proceedings of the 2019 IEEE/CVF International Conference on Computer Vision (ICCV), Seoul, Republic of Korea, 27 October–2 November 2019; IEEE: Piscataway, NJ, USA, 2019; pp. 6271–6280. [Google Scholar]
- Sun, Z.; Meng, C.; Huang, T.; Zhang, Z.; Chang, S. Marine ship instance segmentation by deep neural networks using a global and local attention (GALA) mechanism. PLoS ONE 2023, 18, e0279248. [Google Scholar] [CrossRef]
- Carion, N.; Massa, F.; Synnaeve, G.; Usunier, N.; Kirillov, A.; Zagoruyko, S. End-to-End Object Detection with Transformers. In European Conference on Computer Vision; Springer International Publishing: Cham, Switzerland, 2020. [Google Scholar]
- Chen, L.-C.; Papandreou, G.; Schroff, F.; Adam, H. Rethinking Atrous Convolution for Semantic Image Segmentation. arXiv 2017, arXiv:1706.05587. [Google Scholar]
- Liu, Y.; Cheng, M.-M.; Hu, X.; Wang, K.; Bai, X. Richer Convolutional Features for Edge Detection. IEEE Trans. Pattern Anal. Mach. Intell. 2019, 41, 1939–1946. [Google Scholar] [CrossRef] [PubMed]

















| Method | Synthetic Aperture Radar | Camera | Automatic Recognition System |
|---|---|---|---|
| Weather adaptability | Strong universality, suitable for a variety of environments (white, day, sunny, rain), high precision [10] | Dependent on lighting, best performance in clear weather | Unaffected |
| Continuous monitoring capability | Strong (All time) | Dependent on lighting, requires auxiliary equipment at night | Unaffected |
| Sea Condition Adaptability | Strong | Moderate | Strong |
| Accuracy | Strong | Moderate | Instability |
| Cost | High | Low | The construction cost is high, the use cost is low [11] |
| Main advantages | High resolution, wide coverage | Rich image features | Provides detailed ship information |
| Main disadvantages | Complex operation | Limited viewing angle and lighting | Reporting frequency and accuracy are limited |
| Motion Estimation Module—Co-Tracker | Edge Detection Module—RCF | Segmentation Module | Prediction Module | |
|---|---|---|---|---|
| Yolov8n-seg | SAM | |||
| 12 s for processing 250 frames | 30 frames per second (FPS) | 8 ms per frame | 0.452 s per frame | 54 ms per frame on GPU |
Disclaimer/Publisher’s Note: The statements, opinions and data contained in all publications are solely those of the individual author(s) and contributor(s) and not of MDPI and/or the editor(s). MDPI and/or the editor(s) disclaim responsibility for any injury to people or property resulting from any ideas, methods, instructions or products referred to in the content. |
© 2024 by the authors. Licensee MDPI, Basel, Switzerland. This article is an open access article distributed under the terms and conditions of the Creative Commons Attribution (CC BY) license (https://creativecommons.org/licenses/by/4.0/).
Share and Cite
Luo, W.; Xia, Y.; He, T. Video-Based Identification and Prediction Techniques for Stable Vessel Trajectories in Bridge Areas. Sensors 2024, 24, 372. https://doi.org/10.3390/s24020372
Luo W, Xia Y, He T. Video-Based Identification and Prediction Techniques for Stable Vessel Trajectories in Bridge Areas. Sensors. 2024; 24(2):372. https://doi.org/10.3390/s24020372
Chicago/Turabian StyleLuo, Woqin, Ye Xia, and Tiantao He. 2024. "Video-Based Identification and Prediction Techniques for Stable Vessel Trajectories in Bridge Areas" Sensors 24, no. 2: 372. https://doi.org/10.3390/s24020372
APA StyleLuo, W., Xia, Y., & He, T. (2024). Video-Based Identification and Prediction Techniques for Stable Vessel Trajectories in Bridge Areas. Sensors, 24(2), 372. https://doi.org/10.3390/s24020372

