Assessing the Influence of Sensor-Induced Noise on Machine-Learning-Based Changeover Detection in CNC Machines
Abstract
1. Introduction
- How are the accuracy and reliability in changeover detection affected by the sensor-induced noise in an ML system framework?
- To what degree can ML models effectively detect changeovers in industrial processes when there is sensor-induced noise?
- Can sensor-induced noise be successfully handled and reduced to ensure accurate and trustworthy changeover detection?
- Is it possible to define a safe threshold value or intensity for each noise type in the data that affects the accuracy of the ML soft sensor?
2. Machine Learning Model as Soft Sensor
2.1. Measurement Uncertainty
2.2. Uncertainty Budget
2.3. Ishikawa Analysis of a Machine Learning Model as a Soft Sensor
3. Overview of the Research Topic
4. Materials and Methods
4.1. Experimental Setup
4.2. Use Case Description: Changeover Detection
4.3. Noise Types Induced in the Data
4.4. Changeover Classification Using LightGBM
4.4.1. Hyperparameter Tuning in LightGBM
4.4.2. Monte Carlo Simulation for LightGBM
4.4.3. Output Metrics for LightGBM
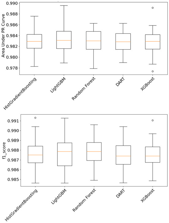
5. Results
6. Discussion
6.1. Practical Findings
6.2. Strategic Findings
7. Summary and Outlook
Author Contributions
Funding
Institutional Review Board Statement
Informed Consent Statement
Data Availability Statement
Acknowledgments
Conflicts of Interest
Abbreviations
| AUC-PR | Area under the precision–recall curve |
| CNC | Computer numerical control |
| DeepANC | Deep active noise control |
| FPR | False positive rate |
| GAN | Generative adversarial network |
| GUM | Guide to the Expression of Uncertainty in Measurement |
| KDE | Kernel density estimation |
| ML | Machine learning |
| NC | Numerical control |
| OBerA | Optimization of Processes and Machine Tools through Provision, Analysis and Target/Actual Comparison of Production Data |
| SVM | Support vector machine |
Appendix A
Appendix B
Appendix C
| Hyperparameter | Values |
|---|---|
| Learning Rate | 0.15 |
| Max Depth | 5 |
| Num Leaves | 30 |
| Min Child Samples | 20 |
| Subsample | 0.7 |
| Colsample bytree | 0.8 |
| Reg Alpha | 0.0 |
| Reg Lambda | 0.03 |
| Bagging Fraction | 0.8 |
| Boosting Type | dart |
| Min Split Gain | 0.05 |
| N Estimators | 100 |
Appendix D
| Noise Type | F1 Score |
|---|---|
| Flicker | 0.99952 |
| Brown | 0.99934 |
| Gaussian | 0.98739 |
| Salt and Pepper | 0.99428 |
| Multiplicative | 0.99370 |
| Colored | 0.98860 |
| Periodic | 0.99360 |
| 1/f | 0.99156 |
| Uniform | 0.98983 |
| Impulse | 0.99479 |
References
- Castellanos, R.; Cornejo Maceda, G.; De La Fuente, I.; Noack, B.; Ianiro, A.; Discetti, S. Machine-learning flow control with few sensor feedback and measurement noise. Phys. Fluids 2022, 34, 047118. [Google Scholar] [CrossRef]
- Ye, Y.; Li, Y.; Ouyang, R.; Zhang, Z.; Tang, Y.; Bai, S. Improving machine learning based phase and hardness prediction of high-entropy alloys by using Gaussian noise augmented data. Comput. Mater. Sci. 2023, 223, 112140. [Google Scholar] [CrossRef]
- Zhu, G.; Zhou, K.; Lu, L.; Fu, Y.; Liu, Z.; Yang, X. Partial Discharge Data Augmentation Based on Improved Wasserstein Generative Adversarial Network with Gradient Penalty. IEEE Trans. Ind. Informat. 2023, 19, 6565–6575. [Google Scholar] [CrossRef]
- Nettleton, D.F.; Orriols-Puig, A.; Fornells, A. A study of the effect of different types of noise on the precision of supervised learning techniques. Artif. Intell. Rev. 2010, 33, 275–306. [Google Scholar] [CrossRef]
- Kozłowski, E.; Mazurkiewicz, D.; Żabiński, T.; Prucnal, S.; Sęp, J. Machining sensor data management for operation-level predictive model. Expert Syst. Appl. 2020, 159, 113600. [Google Scholar] [CrossRef]
- Lu, L.; Kurfess, T.; Saldana, C. Effects of extrinsic noise factors on machine learning–based chatter detection in machining. Smart Sustain. Manuf. Syst. 2021, 5, 1–16. [Google Scholar] [CrossRef]
- Yan, S.; Shao, H.; Xiao, Y.; Liu, B.; Wan, J. Hybrid robust convolutional autoencoder for unsupervised anomaly detection of machine tools under noises. Robot. Comput.-Integr. Manuf. 2023, 79, 102441. [Google Scholar] [CrossRef]
- Jiang, Y.; Yin, S.; Dong, J.; Kaynak, O. A review on soft sensors for monitoring, control, and optimization of industrial processes. IEEE Sens. J. 2020, 21, 12868–12881. [Google Scholar] [CrossRef]
- Neuber, T.; Schmitt, A.M.; Engelmann, B.; Schmitt, J. Evaluation of the Influence of Machine Tools on the Accuracy of Indoor Positioning Systems. Sensors 2022, 22, 10015. [Google Scholar] [CrossRef]
- Duro, J.A.; Padget, J.A.; Bowen, C.R.; Kim, H.A.; Nassehi, A. Multi-sensor data fusion framework for CNC machining monitoring. Mech. Syst. Signal Process. 2016, 66, 505–520. [Google Scholar] [CrossRef]
- Galetto, M.; Schiavi, A.; Genta, G.; Prato, A.; Mazzoleni, F. Uncertainty evaluation in calibration of low-cost digital MEMS accelerometers for advanced manufacturing applications. CIRP Ann. 2019, 68, 535–538. [Google Scholar] [CrossRef]
- Sepahi-Boroujeni, S.; Mayer, J.; Khameneifar, F. Efficient uncertainty estimation of indirectly measured geometric errors of five-axis machine tools via Monte-Carlo validated GUM framework. Precis. Eng. 2021, 67, 160–171. [Google Scholar] [CrossRef]
- Herschy, R. The uncertainty in a current meter measurement. Flow Meas. Instrum. 2002, 13, 281–284. [Google Scholar] [CrossRef]
- Meyer, V.R. Measurement uncertainty. J. Chromatogr. A 2007, 1158, 15–24. [Google Scholar] [CrossRef] [PubMed]
- Hansen, K.B.; Borch, C. The absorption and multiplication of uncertainty in machine-learning-driven finance. Br. J. Sociol. 2021, 72, 1015–1029. [Google Scholar] [CrossRef] [PubMed]
- Sen, D.; Chen, H.; Datta-Gupta, A.; Kwon, J.; Mishra, S. Machine learning based rate optimization under geologic uncertainty. J. Pet. Sci. Eng. 2021, 207, 109116. [Google Scholar] [CrossRef]
- Park, Y.; Ho, J.C. Tackling overfitting in boosting for noisy healthcare data. IEEE Trans. Knowl. Data Eng. 2019, 33, 2995–3006. [Google Scholar] [CrossRef]
- Anderson, B.; McGrew, D. Machine learning for encrypted malware traffic classification: Accounting for noisy labels and non-stationarity. In Proceedings of the 23rd ACM SIGKDD International Conference on Knowledge Discovery and Data Mining, Halifax, NS, Canada, 13–17 August 2017; pp. 1723–1732. [Google Scholar]
- Miller, E.; Borysenko, V.; Heusinger, M.; Niedner, N.; Engelmann, B.; Schmitt, J. Enhanced changeover detection in industry 4.0 environments with machine learning. Sensors 2021, 21, 5896. [Google Scholar] [CrossRef]
- Engelmann, B.; Schmitt, S.; Miller, E.; Bräutigam, V.; Schmitt, J. Advances in machine learning detecting changeover processes in cyber physical production systems. J. Manuf. Mater. Process. 2020, 4, 108. [Google Scholar] [CrossRef]
- Gelders, L.F.; Van Wassenhove, L.N. Hierarchical integration in production planning: Theory and practice. J. Oper. Manag. 1982, 3, 27–35. [Google Scholar] [CrossRef]
- Mali, Y.R.; Inamdar, K. Changeover time reduction using SMED technique of lean manufacturing. Int. J. Eng. Res. Appl. 2012, 2, 2441–2445. [Google Scholar]
- Castaño, F.; Haber, R.E.; del Toro, R.M. Characterization of tool-workpiece contact during the micromachining of conductive materials. Mech. Syst. Signal Process. 2017, 83, 489–505. [Google Scholar] [CrossRef]
- Binali, R.; Kuntoğlu, M.; Pimenov, D.Y.; Usca, Ü.A.; Gupta, M.K.; Korkmaz, M.E. Advance monitoring of hole machining operations via intelligent measurement systems: A critical review and future trends. Measurement 2022, 201, 111757. [Google Scholar] [CrossRef]
- Kumar, A.; Sodhi, S.S. Comparative analysis of gaussian filter, median filter and denoise autoenocoder. In Proceedings of the 2020 7th International Conference on Computing for Sustainable Global Development (INDIACom), New Delhi, India, 12–14 March 2020; pp. 45–51. [Google Scholar]
- Chen, B.; Liu, X.; Zhao, H.; Principe, J.C. Maximum correntropy Kalman filter. Automatica 2017, 76, 70–77. [Google Scholar] [CrossRef]
- He, Y.; He, H.; Li, L.; Wu, Y.; Pan, H. The applications and simulation of adaptive filter in noise canceling. In Proceedings of the 2008 International Conference on Computer Science and Software Engineering, Wuhan, China, 12–14 December 2008; Volume 4, pp. 1–4. [Google Scholar]
- Sakr, C.; Dai, S.; Venkatesan, R.; Zimmer, B.; Dally, W.; Khailany, B. Optimal clipping and magnitude-aware differentiation for improved quantization-aware training. In Proceedings of the International Conference on Machine Learning, PMLR, Baltimore, MD, USA, 17–23 July 2022; pp. 19123–19138. [Google Scholar]
- Lukasik, M.; Bhojanapalli, S.; Menon, A.; Kumar, S. Does label smoothing mitigate label noise? In Proceedings of the International Conference on Machine Learning, Virtual, 13–18 July 2020; pp. 6448–6458. [Google Scholar]
- Wei, K.; Fu, Y.; Yang, J.; Huang, H. A physics-based noise formation model for extreme low-light raw denoising. In Proceedings of the IEEE/CVF Conference on Computer Vision and Pattern Recognition, Seattle, WA, USA, 13–19 June 2020; pp. 2758–2767. [Google Scholar]
- Christo, M.S.; Vasanth, K.; Varatharajan, R. A decision based asymmetrically trimmed modified winsorized median filter for the removal of salt and pepper noise in images and videos. Multimed. Tools Appl. 2020, 79, 415–432. [Google Scholar] [CrossRef]
- Bindal, N.; Garg, B. Novel three stage range sensitive filter for denoising high density salt & pepper noise. Multimed. Tools Appl. 2022, 81, 21279–21294. [Google Scholar]
- Pan, H.; Liang, Z.; Lu, J.; Tu, K.; Xie, N. Nonlocal Low Rank Regularization Method For Fractal Image Coding Under Salt-And-Pepper Noise. Fractals 2023, 31, 2350076. [Google Scholar] [CrossRef]
- Zhao, D.; Hu, Z.; Yang, Y.; Chen, Q. Energy Conservation for Indoor Attractions Based on NRBO-LightGBM. Sustainability 2022, 14, 11997. [Google Scholar] [CrossRef]
- Deekshit, K.K.; Rao, M.V.G.; Rao, R.S. Fault indexing parameter based fault detection in induction motor via MCSA with wiener filtering. Electr. Power Components Syst. 2021, 48, 2048–2062. [Google Scholar] [CrossRef]
- Liu, J.; Guo, G. Vehicle localization during GPS outages with extended Kalman filter and deep learning. IEEE Trans. Instrum. Meas. 2021, 70, 1–10. [Google Scholar] [CrossRef]
- Patanavijit, V.; Kesrarat, D.; Lee, W.; Thakulsukanant, K. The Novel Three-Stage Outlier Disclosure Scheme for Fix Magnitude Impulsive Noise (FMIN). In Proceedings of the 2022 37th International Technical Conference on Circuits/Systems, Computers and Communications (ITC-CSCC), Phuket, Thailand, 5–8 July 2022; pp. 1–4. [Google Scholar]
- Wang, Q.; Wang, G.; Li, B.; Cao, J.; Liu, Z. Adaptive filtering under multi-peak noise. Signal Process. 2024, 215, 109285. [Google Scholar] [CrossRef]
- Iqbal, N.; Ali, S.; Khan, I.; Lee, B.M. Adaptive edge preserving weighted mean filter for removing random-valued impulse noise. Symmetry 2019, 11, 395. [Google Scholar] [CrossRef]
- Wang, X.; Wang, A.; Wang, D.; Wang, W. An improved spline adaptive filter for nonlinear system identification under impulsive noise environment. Energy Rep. 2022, 8, 832–840. [Google Scholar] [CrossRef]
- Holland, M.J. Robust descent using smoothed multiplicative noise. In Proceedings of the The 22nd International Conference on Artificial Intelligence and Statistics, Okinawa, Japan, 16–18 April 2019; pp. 703–711. [Google Scholar]
- Yao, W.; Guo, Z.; Sun, J.; Wu, B.; Gao, H. Multiplicative noise removal for texture images based on adaptive anisotropic fractional diffusion equations. SIAM J. Imaging Sci. 2019, 12, 839–873. [Google Scholar] [CrossRef]
- Zhang, D. Strichartz and local smoothing estimates for stochastic dispersive equations with linear multiplicative noise. SIAM J. Math. Anal. 2022, 54, 5981–6017. [Google Scholar] [CrossRef]
- Gao, Y.; Gao, Y.; Liu, B.; Du, Y.; Wang, J. A robust approach to model colored noise for low-cost high-precision Positioning. In Proceedings of the 32nd International Technical Meeting of the Satellite Division of The Institute of Navigation (ION GNSS+ 2019), Miami, FL, USA, 16–20 September 2019; pp. 3686–3694. [Google Scholar]
- Liu, L.; Ding, F.; Xu, L.; Pan, J.; Alsaedi, A.; Hayat, T. Maximum likelihood recursive identification for the multivariate equation-error autoregressive moving average systems using the data filtering. IEEE Access 2019, 7, 41154–41163. [Google Scholar] [CrossRef]
- Huang, S.; Yu, L.; Jiang, W. Water entry sound detection in strong noise by using the spectrogram matrix decomposition method. Appl. Acoust. 2020, 161, 107171. [Google Scholar] [CrossRef]
- Zhang, H.; Wang, D. Deep ANC: A deep learning approach to active noise control. Neural Netw. 2021, 141, 1–10. [Google Scholar] [CrossRef]
- Wahab, M.F.; Gritti, F.; O’Haver, T.C. Discrete Fourier transform techniques for noise reduction and digital enhancement of analytical signals. TrAC Trends Anal. Chem. 2021, 143, 116354. [Google Scholar] [CrossRef]
- Pavlova, O.; Guyo, G.; Pavlov, A. Multiresolution wavelet analysis of noisy datasets with different measures for decomposition coefficients. Phys. A Stat. Mech. Its Appl. 2022, 585, 126406. [Google Scholar] [CrossRef]
- Fragasso, A.; Pud, S.; Dekker, C. 1/f noise in solid-state nanopores is governed by access and surface regions. Nanotechnology 2019, 30, 395202. [Google Scholar] [CrossRef] [PubMed]
- Soni, A.; Upadhyay, R.; Kumar, A. Analysis of colored noise and its effect on BER performance of wireless communication. J. Electr. Electron. Eng 2019, 12, 45–50. [Google Scholar]
- Liang, H.; Zhao, X.; Guo, Y. Noise Reduction Method for the Ring LaserGyro Signal Based on Ceemdan and the Savitzky–Golay Algorithm. Fluct. Noise Lett. 2022, 21, 2250005. [Google Scholar] [CrossRef]
- Stallworthy, I.C.; Sifre, R.; Berry, D.; Lasch, C.; Smith, T.J.; Elison, J.T. Infants’ gaze exhibits a fractal structure that varies by age and stimulus salience. Sci. Rep. 2020, 10, 17216. [Google Scholar] [CrossRef] [PubMed]
- Guo, D.; Li, S.; Stanimirović, P.S. Analysis and application of modified ZNN design with robustness against harmonic noise. IEEE Trans. Ind. Informat. 2019, 16, 4627–4638. [Google Scholar] [CrossRef]
- Sasagawa, K.; Ohta, Y.; Kawahara, M.; Haruta, M.; Tokuda, T.; Ohta, J. Wide field-of-view lensless fluorescence imaging device with hybrid bandpass emission filter. AIP Adv. 2019, 9, 035108. [Google Scholar] [CrossRef]
- Han, F.; Mu, T.; Tuniyazi, A.; Bao, D.; Gong, H.; Li, Q.; Chen, Z.; Zhang, C. Iterative reconstruction for snapshot intensity-modulated linear imaging spectropolarimetry without Fourier transform and phase calibration. Opt. Lasers Eng. 2020, 134, 106286. [Google Scholar] [CrossRef]
- Bentéjac, C.; Csörgo, A.; Martínez-Muñoz, G. A comparative analysis of gradient boosting algorithms. Artif. Intell. Rev. 2021, 54, 1937–1967. [Google Scholar] [CrossRef]
- Ferreira, A.J.; Figueiredo, M.A. Boosting algorithms: A review of methods, theory, and applications. In Ensemble Machine Learning: Methods and Applications; Springer: New York, NY, USA, 2012; pp. 35–85. [Google Scholar]
- Tamim Kashifi, M.; Ahmad, I. Efficient histogram-based gradient boosting approach for accident severity prediction with multisource data. Transp. Res. Rec. 2022, 2676, 236–258. [Google Scholar] [CrossRef]
- Palimkar, P.; Shaw, R.N.; Ghosh, A. Machine learning technique to prognosis diabetes disease: Random forest classifier approach. In Advanced Computing and Intelligent Technologies: Proceedings of ICACIT 2021; Springer: Singapore, 2022; pp. 219–244. [Google Scholar]
- Ji, H.; Xu, Y.; Shi, L.; Lu, Y. Cost Prediction of Distribution Network Project Based on DART Model. In Proceedings of the 2022 IEEE 6th Information Technology and Mechatronics Engineering Conference (ITOEC), Chongqing, China, 4–6 March 2022; Volume 6, pp. 232–237. [Google Scholar]
- Carmona, P.; Dwekat, A.; Mardawi, Z. No more black boxes! Explaining the predictions of a machine learning XGBoost classifier algorithm in business failure. Res. Int. Bus. Financ. 2022, 61, 101649. [Google Scholar] [CrossRef]
- Ke, G.; Meng, Q.; Finley, T.; Wang, T.; Chen, W.; Ma, W.; Ye, Q.; Liu, T.Y. Lightgbm: A highly efficient gradient boosting decision tree. Adv. Neural Inf. Process. Syst. 2017, 30, 3149–3157. [Google Scholar]
- Rufo, D.D.; Debelee, T.G.; Ibenthal, A.; Negera, W.G. Diagnosis of diabetes mellitus using gradient boosting machine (LightGBM). Diagnostics 2021, 11, 1714. [Google Scholar] [CrossRef] [PubMed]
- Zhang, D.; Gong, Y. The comparison of LightGBM and XGBoost coupling factor analysis and prediagnosis of acute liver failure. IEEE Access 2020, 8, 220990–221003. [Google Scholar] [CrossRef]
- Mahmood, J.; Mustafa, G.E.; Ali, M. Accurate estimation of tool wear levels during milling, drilling and turning operations by designing novel hyperparameter tuned models based on LightGBM and stacking. Measurement 2022, 190, 110722. [Google Scholar] [CrossRef]
- Liang, S.; Peng, J.; Xu, Y.; Ye, H. Passive fetal movement recognition approaches using hyperparameter tuned lightgbm model and bayesian optimization. Comput. Intell. Neurosci. 2021, 2021, 6252362. [Google Scholar] [CrossRef]
- Hancock, J.; Khoshgoftaar, T.M. Leveraging lightgbm for categorical big data. In Proceedings of the 2021 IEEE Seventh International Conference on Big Data Computing Service and Applications (BigDataService), Oxford, UK, 23–26 August 2021; pp. 149–154. [Google Scholar]
- Gonzalez, O.; O’Rourke, H.P.; Wurpts, I.C.; Grimm, K.J. Analyzing Monte Carlo simulation studies with classification and regression trees. Struct. Equ. Model. A Multidiscip. J. 2018, 25, 403–413. [Google Scholar] [CrossRef]
- Vujović, Ž. Classification model evaluation metrics. Int. J. Adv. Comput. Sci. Appl. 2021, 12, 599–606. [Google Scholar] [CrossRef]
- Fernández, A.; García, S.; Galar, M.; Prati, R.C.; Krawczyk, B.; Herrera, F.; Fernández, A.; García, S.; Galar, M.; Prati, R.C.; et al. Performance measures. In Learning from Imbalanced Data Sets; Springer International Publishing: Cham, Switzerland, 2018; pp. 47–61. [Google Scholar]
- Arslan, M.; Guzel, M.; Demirci, M.; Ozdemir, S. SMOTE and gaussian noise based sensor data augmentation. In Proceedings of the 2019 4th International Conference on Computer Science and Engineering (UBMK), Samsun, Turkey, 11–15 September 2019; pp. 1–5. [Google Scholar]
- Limaye, H.; Deshmukh, V. ECG noise sources and various noise removal techniques: A survey. Int. J. Appl. Innov. Eng. Manag. 2016, 5, 86–92. [Google Scholar]
- Fleetwood, D. Origins of 1/f noise in electronic materials and devices: A historical perspective. In Noise in Nanoscale Semiconductor Devices; Springer Nature: Berlin, Germany, 2020; pp. 1–31. [Google Scholar]
- Carpena, P.; Coronado, A.V. On the autocorrelation function of 1/f noises. Mathematics 2022, 10, 1416. [Google Scholar] [CrossRef]
- Li, M.; Liu, X. Maximum likelihood least squares based iterative estimation for a class of bilinear systems using the data filtering technique. Int. J. Control. Autom. Syst. 2020, 18, 1581–1592. [Google Scholar] [CrossRef]
- Wang, Y.; Cao, Y.; Zha, Z.J.; Zhang, J.; Xiong, Z.; Zhang, W.; Wu, F. Progressive retinex: Mutually reinforced illumination-noise perception network for low-light image enhancement. In Proceedings of the 27th ACM International Conference on Multimedia, Nice, France, 21–25 October 2019; pp. 2015–2023. [Google Scholar]
- Sun, B.; Teng, Z.; Hu, Q.; Lin, H.; Tang, S. Periodic noise rejection of checkweigher based on digital multiple notch filter. IEEE Sens. J. 2020, 20, 7226–7234. [Google Scholar] [CrossRef]
- Sun, L.; Qiu, X.; Wang, Y.; Wang, C. Seismic Periodic Noise Attenuation Based on Sparse Representation Using a Noise Dictionary. Appl. Sci. 2023, 13, 2835. [Google Scholar] [CrossRef]
- Baskin, C.; Liss, N.; Schwartz, E.; Zheltonozhskii, E.; Giryes, R.; Bronstein, A.M.; Mendelson, A. Uniq: Uniform noise injection for non-uniform quantization of neural networks. ACM Trans. Comput. Syst. (TOCS) 2021, 37, 1–15. [Google Scholar] [CrossRef]
- Jirsa, L.; Kuklišová Pavelková, L.; Quinn, A. Approximate Bayesian prediction using state space model with uniform noise. In Proceedings of the 15th International Conference on Informatics in Control, Automation and Robotics, ICINCO 2018, Porto, Portugal, 29–31 July 2018; Revised Selected Papers 15. Springer: Cham, Switzerland, 2020; pp. 552–568. [Google Scholar]
- Garg, B. Restoration of highly salt-and-pepper-noise-corrupted images using novel adaptive trimmed median filter. Signal Image Video Process. 2020, 14, 1555–1563. [Google Scholar] [CrossRef]
- Erkan, U.; Thanh, D.N.; Enginoğlu, S.; Memiş, S. Improved adaptive weighted mean filter for salt-and-pepper noise removal. In Proceedings of the 2020 International Conference on Electrical, Communication, and Computer Engineering (ICECCE), Istanbul, Turkey, 12–13 June 2020; pp. 1–5. [Google Scholar]
- Parshin, A.; Parshin, Y. Adaptive filtering of non-Gaussian flicker noise. In Proceedings of the 2020 9th Mediterranean Conference on Embedded Computing (MECO), Budva, Montenegro, 8–11 June 2020; pp. 1–5. [Google Scholar]
- Hu, Y.; Siriburanon, T.; Staszewski, R.B. Intuitive understanding of flicker noise reduction via narrowing of conduction angle in voltage-biased oscillators. IEEE Trans. Circuits Syst. II Express Briefs 2019, 66, 1962–1966. [Google Scholar] [CrossRef]
- Xiao, X.; Xiong, N.N.; Lai, J.; Wang, C.D.; Sun, Z.; Yan, J. A local consensus index scheme for random-valued impulse noise detection systems. IEEE Trans. Syst. Man Cybern. Syst. 2019, 51, 3412–3428. [Google Scholar] [CrossRef]
- Satti, P.; Sharma, N.; Garg, B. Min-max average pooling based filter for impulse noise removal. IEEE Signal Process. Lett. 2020, 27, 1475–1479. [Google Scholar] [CrossRef]
- Hodgkinson, L.; Mahoney, M. Multiplicative noise and heavy tails in stochastic optimization. In Proceedings of the International Conference on Machine Learning, Virtual, 18–24 July 2021; pp. 4262–4274. [Google Scholar]
- Jofré, A.; Thompson, P. On variance reduction for stochastic smooth convex optimization with multiplicative noise. Math. Program. 2019, 174, 253–292. [Google Scholar] [CrossRef]
- Azizi, A.; Ghafoorpoor Yazdi, P.; Azizi, A.; Ghafoorpoor Yazdi, P. Introduction to noise and its applications. In Computer-Based Analysis of the Stochastic Stability of Mechanical Structures Driven by White and Colored Noise; Springer: Singapore, 2019; pp. 13–23. [Google Scholar]
- Den Hartigh, R.J.; Cox, R.F.; Gernigon, C.; Van Yperen, N.W.; Van Geert, P.L. Pink noise in rowing ergometer performance and the role of skill level. Mot. Control 2015, 19, 355–369. [Google Scholar] [CrossRef]










| No. | Variable Name | Description |
|---|---|---|
| 1 | ProgramStatus | Status Code: |
| idle: 0 | ||
| started: 1 | ||
| running: 2 | ||
| stopped: 3 | ||
| finished: 4 | ||
| completed: 5 | ||
| interrupted, error, canceled: 6 | ||
| 2 | ToolNumber | Tool number |
| 3 | PocketTable | Place table for tool changer, number |
| 4 | DriveStatus | Drive turned on/off |
| 5 | DoorStatusTooling | Tooling door open/closed |
| 6 | OverrideFeed | Feed override (0 to 100%) |
| 7 | FeedRate | Feed rate (−32,710 to 32,767 m/s) |
| 8 | SpindleSpeed | Spindle speed (0 to 10,046 rpm) |
| 9 | IndoorGPSx | Indoor positioning system x-axis |
| 10 | IndoorGPSy | Indoor positioning system y-axis |
| Noise Type | Source and Observations | Characterization | Mitigation |
|---|---|---|---|
| Gaussian | External electrical interference | Mean | Gaussian smoothing [25] |
| Thermal noise from temperature variations | Standard deviation | Kalman filtering [26] | |
| Transmission errors | PDF follows bell curve | Adaptive filtering: RLS, LMS [27] | |
| Uniform | Environmental conditions | Min and max bounds | Data clipping [28] |
| Uniformly distributed quantization noise | Variance | Data smoothing [29] | |
| Uniformly distributed Jitter noise | PDF constant within a range | Sensor calibration [30] | |
| Salt and Pepper | Random spikes and drops in data | Outliers | Median filtering [31] |
| Impulse noise from faulty sensors | Probability of impulse | Linear or cubic interpolation [32] | |
| Sudden, Intermittent disturbances | Impulse density function | Cleaning outlier [33] | |
| Flicker | Low-frequency noise fluctuations | Flicker noise coefficient | LightGBM modeling [34] |
| Thermal fluctuations | Correlation time | Wavelet de-noising or Wiener filtering [35] | |
| Long-term temporal correlations in noise | Power spectral density | Kalman Filtering [36] | |
| Impulse | Sudden spikes in data | Probability of impulse | Outlier removal [37] Adaptive filtering [38] |
| Abrupt noise from electrical sources | Amplitude of impulse | Median filtering [39] | |
| Random noise spikes due to external disturbances | Impulse distribution | Cubic spline or polynomial interpolation [40] | |
| Multiplicative | Nonlinear effects | Scaling factor | Min-max scaling or z-score normalization [41] |
| Affecting the amplitude of the signal | Variability | Logarithmic or power transformations [42] | |
| Environmental conditions | Statistical properties | Moving average or local smoothing [43] | |
| Colored | Correlated noise patterns | Autocorrelation function | Autoregressive modeling [44] |
| Mechanical vibrations | Power spectral density | Moving average smoothing [45] | |
| Sensor measuring position, velocity, or force | Spectral shape | Spectral analysis: periodo-gram or spectrogram [46] DeepANC [47] | |
| 1/f | Flicker noise exhibiting a 1/f power spectrum | Spectral density | Fourier transformation [48] |
| Electrical fluctuations | Time variability | Wavelet transformation [49] | |
| Thermal variations | Long-term correlations | Spectral analysis [50] | |
| Brown | Brownian noise from random walk | Random walk pattern | Random walk modeling [51] |
| Random walk–Brownian motion pattern | Autocorrelation function | Savitzky–Golay filtering [52] | |
| Brownian noise with long-term correlations | Scaling amplitude and time | Data interpolation [53] | |
| Periodic | Periodic noise patterns | Periodic oscillation | Harmonic analysis [54] |
| Noise affected by harmonic vibrations | Frequency components | Bandpass filtering [55] | |
| Periodic disturbances from external sources | Fourier analysis or spectral decomposition | Fourier transformation [56] |
Disclaimer/Publisher’s Note: The statements, opinions and data contained in all publications are solely those of the individual author(s) and contributor(s) and not of MDPI and/or the editor(s). MDPI and/or the editor(s) disclaim responsibility for any injury to people or property resulting from any ideas, methods, instructions or products referred to in the content. |
© 2024 by the authors. Licensee MDPI, Basel, Switzerland. This article is an open access article distributed under the terms and conditions of the Creative Commons Attribution (CC BY) license (https://creativecommons.org/licenses/by/4.0/).
Share and Cite
Biju, V.G.; Schmitt, A.-M.; Engelmann, B. Assessing the Influence of Sensor-Induced Noise on Machine-Learning-Based Changeover Detection in CNC Machines. Sensors 2024, 24, 330. https://doi.org/10.3390/s24020330
Biju VG, Schmitt A-M, Engelmann B. Assessing the Influence of Sensor-Induced Noise on Machine-Learning-Based Changeover Detection in CNC Machines. Sensors. 2024; 24(2):330. https://doi.org/10.3390/s24020330
Chicago/Turabian StyleBiju, Vinai George, Anna-Maria Schmitt, and Bastian Engelmann. 2024. "Assessing the Influence of Sensor-Induced Noise on Machine-Learning-Based Changeover Detection in CNC Machines" Sensors 24, no. 2: 330. https://doi.org/10.3390/s24020330
APA StyleBiju, V. G., Schmitt, A.-M., & Engelmann, B. (2024). Assessing the Influence of Sensor-Induced Noise on Machine-Learning-Based Changeover Detection in CNC Machines. Sensors, 24(2), 330. https://doi.org/10.3390/s24020330

