Long-Term Radiometric Stability of Uncooled and Shutterless Microbolometer-Based Infrared Cameras
Abstract
1. Introduction
1.1. Context
1.2. Background
2. Materials and Methods
2.1. Microbolometer Technology
2.2. Impact of the Radiation of the Camera Housing on the Measured Signal
2.3. Experimental Setup
3. Results
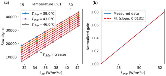
3.1. Chip Temperature-Dependent Gain
3.2. Correction Model and Radiometric Image Calibration
3.3. Reduction of the External Environment Background
3.4. Validation of the Long-Term Calibration Model outside the Climatic Chamber
4. Discussion
5. Conclusions
Author Contributions
Funding
Data Availability Statement
Acknowledgments
Conflicts of Interest
References
- Schulz, M.; Caldwell, L. Nonuniformity Correction and Correctability of Infrared Focal Plane Arrays. Infrared Phys. Technol. 1995, 36, 763–777. [Google Scholar] [CrossRef]
- Rogalski, A. Recent Progress in Infrared Detector Technologies. Infrared Phys. Technol. 2011, 54, 136–154. [Google Scholar] [CrossRef]
- Deane, S.; Avdelidis, N.P.; Ibarra-Castanedo, C.; Zhang, H.; Nezhad, H.Y.; Williamson, A.A.; Mackley, T.; Maldague, X.; Tsourdos, A.; Nooralishahi, P. Comparison of Cooled and Uncooled IR Sensors by Means of Signal-to-Noise Ratio for NDT Diagnostics of Aerospace Grade Composites. Sensors 2020, 20, 3381. [Google Scholar] [CrossRef] [PubMed]
- Yadav, P.K.; Yadav, I.; Ajitha, B.; Rajasekar, A.; Gupta, S.; Ashok Kumar Reddy, Y. Advancements of Uncooled Infrared Microbolometer Materials: A Review. Sens. Actuators Phys. 2022, 342, 113611. [Google Scholar] [CrossRef]
- Bieszczad, G.; Orżanowski, T.; Sosnowski, T.; Kastek, M. Method of Detectors Offset Correction in Thermovision Camera with Uncooled Microbolometric Focal Plane Array. In Proceedings of the SPIE Europe Security + Defence, Berlin, Germany, 31 August–3 September 2009; p. 74810O. [Google Scholar] [CrossRef]
- Nugent, P.W.; Shaw, J.A.; Pust, N.J. Correcting for Focal-Plane-Array Temperature Dependence in Microbolometer Infrared Cameras Lacking Thermal Stabilization. Opt. Eng. 2013, 52, 061304. [Google Scholar] [CrossRef]
- Liu, C.; Sui, X. Improved Calibration-Based Non-Uniformity Correction Method for Uncooled Infrared Camera. In Proceedings of the Infrared Sensors, Devices, and Applications VII, San Diego, CA, USA, 9–10 August 2017; p. 12. [Google Scholar] [CrossRef]
- Kelly, J.; Kljun, N.; Olsson, P.O.; Mihai, L.; Liljeblad, B.; Weslien, P.; Klemedtsson, L.; Eklundh, L. Challenges and Best Practices for Deriving Temperature Data from an Uncalibrated UAV Thermal Infrared Camera. Remote Sens. 2019, 11, 567. [Google Scholar] [CrossRef]
- Wan, Q.; Brede, B.; Smigaj, M.; Kooistra, L. Factors Influencing Temperature Measurements from Miniaturized Thermal Infrared (TIR) Cameras: A Laboratory-Based Approach. Sensors 2021, 21, 8466. [Google Scholar] [CrossRef] [PubMed]
- Hoelter, T.; Meyer, B.; Amber, R. The Challenges of Using an Uncooled Microbolometer Array in a Thermographic Application. Conference Proceedings. 1998. Available online: https://apps.dtic.mil/sti/citations/ADA399432 (accessed on 24 September 2024).
- Budzier, H.; Gerlach, G. Calibration of Uncooled Thermal Infrared Cameras. J. Sens. Sens. Syst. 2015, 4, 187–197. [Google Scholar] [CrossRef]
- Qu, H.M.; Gong, J.T.; Huang, Y.; Chen, Q. New Non-uniformity Correction Approach for Infrared Focal Plane Arrays Imaging. J. Opt. Soc. Korea 2013, 17, 213–218. [Google Scholar] [CrossRef]
- Wolf, A.; Redlich, R.; Figueroa, M.; Pezoa, J.E. On-Line Nonuniformity and Temperature Compensation of Uncooled IRFPAs Using Embedded Digital Hardware. In Proceedings of the SPIE Optical Engineering + Applications, San Diego, CA, USA, 25–29 August 2013; p. 88680H. [Google Scholar] [CrossRef]
- Cao, Y.; Tisse, C.L. Solid State Temperature-Dependent NUC (Non-Uniformity Correction) in Uncooled LWIR (Long-Wave Infrared) Imaging System. In Proceedings of the SPIE Defense, Security, and Sensing, Baltimore, MD, USA, 29 April–3 May 2013; p. 87042W. [Google Scholar] [CrossRef]
- Tempelhahn, A.; Budzier, H.; Krause, V.; Gerlach, G. Modeling Transient Thermal Behavior of Shutter-Less Microbolometer-Based Infrared Cameras. In Proceedings of the SPIE Security + Defence, Amsterdam, The Netherlands, 22 September 2014; p. 924904. [Google Scholar] [CrossRef]
- Tempelhahn, A.; Budzier, H.; Krause, V.; Gerlach, G. Improving the Shutter-Less Compensation Method for TEC-less Microbolometer-Based Infrared Cameras. In Proceedings of the SPIE Defense + Security, Baltimore, MD, USA, 20–24 April 2015; p. 94511F. [Google Scholar] [CrossRef]
- Krupiński, M.; Bieszczad, G.; Gogler, S.; Madura, H. Non-Uniformity Correction with Temperature Influence Compensation in Microbolometer Detector. In Proceedings of the SPIE Sensing Technology + Applications, Baltimore, MD, USA, 20 April 2015; p. 948113. [Google Scholar] [CrossRef]
- Lin, D.; Cui, X.; Wang, Y.; Yang, B.; Tian, P. Pixel-Wise Radiometric Calibration Approach for Infrared Focal Plane Arrays Using Multivariate Polynomial Correction. Infrared Phys. Technol. 2022, 123, 104110. [Google Scholar] [CrossRef]
- Tempelhahn, A.; Budzier, H.; Krause, V.; Gerlach, G. Shutter-Less Calibration of Uncooled Infrared Cameras. J. Sens. Sens. Syst. 2016, 5, 9–16. [Google Scholar] [CrossRef]
- Kato, E.; Katayama, H.; Naitoh, M.; Harada, M.; Nakamura, R.; Sakai, M.; Nakajima, Y.; Tange, Y.; Sato, R. Radiometric Calibration of Compact Infrared Camera (CIRC) for Earth Observation. Sens. Mater. 2014, 26, 199–214. [Google Scholar] [CrossRef][Green Version]
- Tonooka, H.; Sakai, M.; Kumeta, A.; Nakau, K. In-Flight Radiometric Calibration of Compact Infrared Camera (CIRC) Instruments Onboard ALOS-2 Satellite and International Space Station. Remote Sens. 2019, 12, 58. [Google Scholar] [CrossRef]
- Katayama, H.; Sakai, M.; Kato, E.; Nakajima, Y.; Nakau, K.; Kimura, T. On-Orbit Performance of the Compact Infrared Camera (CIRC) with Uncooled Infrared Detector. In Proceedings of the SPIE Defense + Security, Baltimore, MD, USA, 20–24 April 2015; p. 94511D. [Google Scholar] [CrossRef]
- Boudou, N.; Durand, A.; Tinnes, S.; Gorecki, A.; Cueff, M.; Virot, A. ULIS Bolometer Improvements for Fast Imaging Applications. In Proceedings of the Infrared Technology and Applications XLV, Baltimore, MD, USA, 14–18 April 2019. [Google Scholar] [CrossRef]
- Fusetto, S.; Aprile, A.; Malcovati, P.; Bonizzoni, E. Readout IC Architectures and Strategies for Uncooled Micro-Bolometers Infrared Focal Plane Arrays: A Review. Sensors 2023, 23, 2727. [Google Scholar] [CrossRef] [PubMed]
- Strąkowski, R.; Więcek, B. A Simplified Model of Parasitic Radiation in IR Bolometer Camera. Meas. Autom. Monit. 2017, 63, 94–97. Available online: https://bibliotekanauki.pl/articles/973071 (accessed on 24 September 2024).
- Krupiński, M.; Chmielewski, K.; Bareła, J.; Kastek, M. Test Stand and Procedures for Estimating Parameters of Microbolometer Detector. Meas. Autom. Monit. 2017, 63, 73–75. Available online: https://bibliotekanauki.pl/articles/114240 (accessed on 24 September 2024).
- Nugent, P.W.; Shaw, J.A. Calibration of Uncooled LWIR Microbolometer Imagers to Enable Long-Term Field Deployment. In Proceedings of the SPIE Defense + Security, Baltimore, MD, USA, 5 May 2014; p. 90710V. [Google Scholar] [CrossRef]
- Pascoe, D.D.; Ring, E.F.; Mercer, J.B.; Snell, J.; Osborn, D.; Hedley-Whyte, J. International Standards for Pandemic Screening Using Infrared Thermography. In Proceedings of the SPIE Medical Imaging, San Diego, CA, USA, 16–18 February 2010; p. 76261Z. [Google Scholar] [CrossRef]
- International Organization for Standardization, Medical Electrical Equipment, Part 2-59: Particular Requirements for the Basic Safety and Essential Performance of Screening Thermographs for Human Febrile Temperature Screening, IEC 80601-2-59. Available online: https://www.iso.org/standard/69346.html (accessed on 25 September 2024).







| Measurement Number | Measurement Date | Measurement Duration | Heating Events |
|---|---|---|---|
| ① | 7 July 2021 | 50 min | - |
| ② | 15 July 2021 | 184 min | - |
| ③ | 16 July 2021 | 160 min | Ⓐ and Ⓑ |
| ④ | 19 July 2021 | 140 min | - |
| ⑤ | 26 November 2021 | 90 min | - |
| ⑥ | 17 April 2023 | 76 min | Ⓒ |
| ⑦ | 17 May 2024 | 211 min | - |
Disclaimer/Publisher’s Note: The statements, opinions and data contained in all publications are solely those of the individual author(s) and contributor(s) and not of MDPI and/or the editor(s). MDPI and/or the editor(s) disclaim responsibility for any injury to people or property resulting from any ideas, methods, instructions or products referred to in the content. |
© 2024 by the authors. Licensee MDPI, Basel, Switzerland. This article is an open access article distributed under the terms and conditions of the Creative Commons Attribution (CC BY) license (https://creativecommons.org/licenses/by/4.0/).
Share and Cite
Gazzano, O.; Chambon, M.; Ferrec, Y.; Druart, G. Long-Term Radiometric Stability of Uncooled and Shutterless Microbolometer-Based Infrared Cameras. Sensors 2024, 24, 6387. https://doi.org/10.3390/s24196387
Gazzano O, Chambon M, Ferrec Y, Druart G. Long-Term Radiometric Stability of Uncooled and Shutterless Microbolometer-Based Infrared Cameras. Sensors. 2024; 24(19):6387. https://doi.org/10.3390/s24196387
Chicago/Turabian StyleGazzano, Olivier, Mathieu Chambon, Yann Ferrec, and Guillaume Druart. 2024. "Long-Term Radiometric Stability of Uncooled and Shutterless Microbolometer-Based Infrared Cameras" Sensors 24, no. 19: 6387. https://doi.org/10.3390/s24196387
APA StyleGazzano, O., Chambon, M., Ferrec, Y., & Druart, G. (2024). Long-Term Radiometric Stability of Uncooled and Shutterless Microbolometer-Based Infrared Cameras. Sensors, 24(19), 6387. https://doi.org/10.3390/s24196387
